Nonlinear Effects of Landscape Patterns on Ecosystem Services at Multiple Scales Based on Gradient Boosting Decision Tree Models
Abstract
1. Introduction
2. Materials and Methods
2.1. Study Area
2.2. Data Sources
2.3. Quantification of ESs
2.4. Calculation of Landscape Metrics
2.5. GBDT Model
3. Results
3.1. Spatial Patterns of ESs
3.2. Spatial Characteristics of Landscape Patterns
3.3. Comparison of the GBDT and Linear Regression Models
3.4. Relative Importance of Explanatory Variables
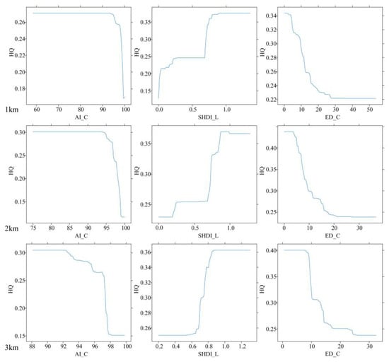
3.5. The Impacts of Landscape Patterns on ESs
4. Discussion
4.1. The Nonlinear Impacts of Landscape Patterns on ESs
4.2. Scale Effect of the Relationships between Landscape Patterns and ESs
4.3. Policy Implications
4.4. Limitations and Future Work
5. Conclusions
Supplementary Materials
Author Contributions
Funding
Data Availability Statement
Conflicts of Interest
References
- Costanza, R.; d’Arge, R.; de Groot, R.; Farber, S.; Grasso, M.; Hannon, B.; Limburg, K.; Naeem, S.; O’Neill, R.V.; Paruelo, J.; et al. The value of the world’s ecosystem services and natural capital. Nature 1997, 387, 253–260. [Google Scholar] [CrossRef]
- Daily, G.C. Nature’s Services: Societal Dependence on Natural Ecosystems; Island Press: Washington, DC, USA, 1997; pp. 454–464. [Google Scholar]
- Ding, T.; Chen, J.; Fang, Z.; Chen, J. Assessment of coordinative relationship between comprehensive ecosystem service and urbanization: A case study of Yangtze River Delta urban Agglomerations, China. Ecol. Indic. 2021, 133, 108454. [Google Scholar] [CrossRef]
- Vitousek, P.M.; Mooney, H.A.; Lubchenco, J.; Melillo, J.M. Human domination of earth’s ecosystems. Science 1997, 277, 494–499. [Google Scholar] [CrossRef]
- Millennium Ecosystem Assessment (MEA). Ecosystems and Human Well-Being: Synthesis; Island Press: Washington, DC, USA, 2005. [Google Scholar]
- Cord, A.F.; Bartkowski, B.; Beckmann, M.; Dittrich, A.; Hermans-Neumann, K.; Kaim, A.; Lienhoop, N.; Locher-Krause, K.; Priess, J.; Schröter-Schlaack, C.; et al. Towards systematic analyses of ecosystem service trade-offs and synergies: Main concepts, methods and the road ahead. Ecosyst. Serv. 2017, 28, 264–272. [Google Scholar] [CrossRef]
- Mitchell, M.G.E.; Bennett, E.M.; Gonzalez, A. Strong and nonlinear effects of fragmentation on ecosystem service provision at multiple scales. Environ. Res. Lett. 2015, 10, 094014. [Google Scholar] [CrossRef]
- Lyu, R.; Zhao, W.; Tian, X.; Zhang, J. Non-linearity impacts of landscape pattern on ecosystem services and their trade-offs: A case study in the City Belt along the Yellow River in Ningxia, China. Ecol. Indic. 2022, 136, 108608. [Google Scholar] [CrossRef]
- Qiu, J.; Turner, M.G. Importance of landscape heterogeneity in sustaining hydrologic ecosystem services in an agricultural watershed. Ecosphere 2015, 6, art229. [Google Scholar] [CrossRef]
- Yohannes, H.; Soromessa, T.; Argaw, M.; Dewan, A. Impact of landscape pattern changes on hydrological ecosystem services in the Beressa watershed of the Blue Nile Basin in Ethiopia. Sci. Total Environ. 2021, 793, 148559. [Google Scholar] [CrossRef]
- Eigenbrod, F. 2016. Redefining landscape structure for ecosystem services. Curr. Landsc. Ecol. Rep. 2016, 1, 80–86. [Google Scholar] [CrossRef]
- Shrestha, R.P.; Schmidt-Vogt, D.; Gnanavelrajah, N. Relating plant diversity to biomass and soil erosion in a cultivated landscape of the eastern seaboard region of Thailand. Appl. Geogr. 2010, 30, 606–617. [Google Scholar] [CrossRef]
- Guo, S.; Wu, C.; Wang, Y.; Qiu, G.; Zhu, D.; Niu, Q.; Liu, Q. Threshold effect of ecosystem services in response to climate change, human activity and landscape pattern in the upper and middle Yellow River of China. Ecol. Indic. 2022, 136, 108603. [Google Scholar] [CrossRef]
- Jordan, G.; Rompaey, A.V.; Szilassi, P.; Csillag, G.; Mannaerts, C.; Woldai, T. Historical land use changes and their impact on sediment fluxes in the Balaton basin (Hungary). Agric. Ecosyst. Environ. 2005, 108, 119–133. [Google Scholar] [CrossRef]
- Kuriqi, A.; Pinheiro, A.N.; Sordo-Ward, A.; Garrote, L. Influence of hydrologically based environmental flow methods on flow alteration and energy production in a run-of-river hydropower plant. J. Clean. Prod. 2019, 232, 1028–1042. [Google Scholar] [CrossRef]
- Hao, R.; Yu, D.; Liu, Y.; Liu, Y.; Qiao, J.; Wang, X.; Du, J. Impacts of changes in climate and landscape pattern on ecosystem services. Sci. Total Environ. 2017, 579, 718–728. [Google Scholar] [CrossRef]
- Zhang, Y.; Zhang, R.; Ma, Q.; Wang, Y.; Wang, Q.; Huang, Z.; Huang, L. A feature selection and multi-model fusion-based approach of predicting air quality. ISA Trans. 2020, 100, 210–220. [Google Scholar] [CrossRef]
- Hou, L.; Wu, F.; Xie, X. The spatial characteristics and relationships between landscape pattern and ecosystem service value along an urban-rural gradient in Xi’an city, China. Ecol. Indic. 2020, 108, 105720. [Google Scholar] [CrossRef]
- Yushanjiang, Y.; Zhang, F.; Yu, H.Y.; Kung, H.T. Quantifying the spatial correlations between landscape pattern and ecosystem service value: A case study in Ebinur Lake Basin, Xinjiang, China. Ecol. Eng. 2018, 113, 94–104. [Google Scholar] [CrossRef]
- Shen, J.; Li, S.; Liu, L.; Liang, Z.; Wang, Y.; Wang, H.; Wu, S. Uncovering the relationships between ecosystem services and socialecological drivers at different spatial scales in the Beijing-Tianjin-Hebei region. J. Clean. Prod. 2021, 290, 125193. [Google Scholar] [CrossRef]
- Tran, D.X.; Pearson, D.; Palmer, A.; Lowry, J.; Gray, D.; Dominati, E.J. Quantifying spatial non-stationarity in the relationship between landscape structure and the provision of ecosystem services: An example in the New Zealand hill country. Sci. Total Environ. 2022, 808, 152126. [Google Scholar] [CrossRef]
- Foudi, S.; Spadaro, J.C.; Chiabai, A.; Polanco-Martinez, J.M.; Neumann, M.B. The climatic dependencies of urban ecosystem services from green roofs: Threshold effects and non-linearity. Ecosyst. Serv. 2017, 24, 223–233. [Google Scholar] [CrossRef]
- Peng, J.; Tian, L.; Liu, Y.X.; Zhao, M.Y.; Hu, Y.N.; Wu, J.S. Ecosystem services response to urbanization in metropolitan areas: Thresholds identification. Sci. Total Environ. 2017, 607, 706–714. [Google Scholar] [CrossRef] [PubMed]
- Obiang Ndong, G.; Villerd, J.; Cousin, I.; Therond, O. Using a multivariate regression tree to analyze trade-offs between ecosystem services: Application to the main cropping area in France. Sci. Total Environ. 2021, 764, 142815. [Google Scholar] [CrossRef] [PubMed]
- Berdugo, M.; Delgado-Baquerizo, M.; Soliveres, S.; Hernandez-Clemente, R.; Zhao, Y.C.; Gaitan, J.J.; Gross, N.; Saiz, H.; Maire, V.; Lehman, A.; et al. Global ecosystem thresholds driven by aridity. Science 2020, 367, 787–790. [Google Scholar] [CrossRef] [PubMed]
- Alaboz, P.; Dengiz, O.; Demir, S.; Şenol, H. Digital mapping of soil erodibility factors based on decision tree using geostatistical approaches in terrestrial ecosystem. Catena 2021, 207, 105634. [Google Scholar] [CrossRef]
- Shi, G.; Zhou, Y.; Sang, Y.; Huang, H.; Zhang, J.; Meng, P.; Cai, L. Modeling the response of negative air ions to environmental factors using multiple linear regression and random forest. Ecol. Inform. 2021, 66, 101464. [Google Scholar] [CrossRef]
- Qu, J.; Cai, W.; Zhao, Y. Learning time-dependent PDEs with a linear and nonlinear separate convolutional neural network. J. Comput. Phys. 2022, 453, 110928. [Google Scholar] [CrossRef]
- An, R.; Tong, Z.; Ding, Y.; Tan, B.; Wu, Z.; Xiong, Q.; Liu, Y. Examining non-linear built environment effects on injurious traffic collisions: A gradient boosting decision tree analysis. J. Transp. Health 2022, 24, 101296. [Google Scholar] [CrossRef]
- Elith, J.; Leathwick, J.R.; Hastie, T. A working guide to boosted regression trees. J. Anim. Ecol. 2008, 77, 802–813. [Google Scholar] [CrossRef]
- Liu, M.; Chen, H.; Wei, D.; Wu, Y.; Li, C. Nonlinear relationship between urban form and street-level PM2.5 and CO based on mobile measurements and gradient boosting decision tree models. Build. Environ. 2021, 205, 108265. [Google Scholar] [CrossRef]
- Friedman, J.H. Greedy function approximation: A gradient boosting machine. Ann. Stat. 2001, 29, 1189–1232. [Google Scholar] [CrossRef]
- Bai, Y.; Chen, Y.; Alatalo, J.M.; Yang, Z.; Jiang, B. Scale effects on the relationships between land characteristics and ecosystem services- a case study in Taihu Lake Basin, China. Sci. Total Environ. 2020, 716, 137083. [Google Scholar] [CrossRef] [PubMed]
- Raudsepp-Hearne, C.; Peterson, G. Scale and ecosystem services: How do observation, management, and analysis shift with scale—Lessons from Québec. Ecol. Soc. 2016, 21, 16. [Google Scholar] [CrossRef]
- Qi, Y.; Lian, X.; Wang, H.; Zhang, J.; Yang, R. Dynamic mechanism between human activities and ecosystem services: A case study of Qinghai lake watershed, China. Ecol. Indic. 2020, 117, 106528. [Google Scholar] [CrossRef]
- Mehring, M.; Ott, E.; Hummel, D. Ecosystem services supply and demand assessment: Why social-ecological dynamics matter. Ecosyst. Serv. 2018, 30, 124–125. [Google Scholar] [CrossRef]
- Chen, W.; Chi, G. Urbanization and ecosystem services: The multi-scale spatial spillover effects and spatial variations. Land Use Policy 2022, 114, 105964. [Google Scholar] [CrossRef]
- Felipe-Lucia, M.R.; Comín, F.A.; Bennett, E.M. Interactions among ecosystem services across land uses in a floodplain agroecosystem. Ecol. Soc. 2014, 19, 360–375. [Google Scholar] [CrossRef]
- Roces-Díaz, J.V.; Vayreda, J.; Banqué-Casanovas, M.; Díaz-Varela, E.; Bonet, J.A.; Brotons, L.; de-Miguel, S.; Herrando, S.; Martínez-Vilalta., J. The spatial level of analysis affects the patterns of forest ecosystem services supply and their relationships. Sci. Total Environ. 2018, 626, 1270–1283. [Google Scholar] [CrossRef]
- Xing, L.; Zhu, Y.; Wang, J. Spatial spillover effects of urbanization on ecosystem services value in Chinese cities. Ecol. Indic. 2021, 121, 107028. [Google Scholar] [CrossRef]
- Huainan Bureau of Statistics. Huainan Statistical Yearbook 2021; China Statistics Press: Beijing, China, 2021. [Google Scholar]
- He, T.T.; Xiao, W.; Zhao, Y.L.; Deng, X.Y.; Hu, Z.Q. Identification of waterlogging in eastern China induced by mining subsidence: A case study of Google earth engine time-series analysis applied to the Huainan coal field. Remote Sens. Environ. 2020, 242, 111742. [Google Scholar] [CrossRef]
- Lei, J.; Wang, S.; Wu, J.; Wang, J.; Xiong, X. Land-use configuration has significant impacts on water-related ecosystem services. Ecol. Eng. 2021, 160, 106133. [Google Scholar] [CrossRef]
- Tao, T.; Wang, J.; Cao, X. Exploring the non-linear associations between spatial attributes and walking distance to transit. J. Transp. Geogr. 2020, 82, 102560. [Google Scholar] [CrossRef]
- Huang, F.; Ochoa, C.G.; Todd Jarvis, W.; Zhong, R.; Guo, L. Evolution of landscape pattern and the association with ecosystem services in the Ili-Balkhash Basin. Environ. Monit. Assess. 2022, 194, 171. [Google Scholar] [CrossRef] [PubMed]
- Taylor, P.D.; Fahrig, L.; Henein, K.; Merriam, G. Connectivity is a vital element of landscape structure. Oikos 1993, 68, 571–573. [Google Scholar] [CrossRef]
- Amaral, Y.T.; Santos, E.M.D.; Ribeiro, M.C.; Barreto, L. Landscape structural analysis of the Lençois Maranhenses national park: Implications for conservation. J. Nat. Conserv. 2019, 51, 125725. [Google Scholar] [CrossRef]
- Lee, S.W.; Hwang, S.J.; Lee, S.B.; Hwang, H.S.; Sung, H.C. Landscape ecological approach to the relationshipsof land use patterns in watersheds to water quality characteristics. Landsc. Urban Plan. 2009, 92, 80–89. [Google Scholar] [CrossRef]
- Liu, J.; Xu, J.; Zhang, X.; Liang, Z.; Rao, K. Nonlinearity and threshold effects of landscape pattern on water quality in a rapidly urbanized headwater watershed in China. Ecol. Indic. 2021, 124, 107389. [Google Scholar] [CrossRef]
- Wang, B.; Liu, Z.; Mei, Y.; Li, W. Assessment of ecosystem service quality and its correlation with landscape patterns in Haidian District, Beijing. Int. J. Environ. Res. Public Health 2019, 16, 1248. [Google Scholar] [CrossRef]
- Tu, M.; Li, W.; Orfila, O.; Li, Y.; Gruyer, D. Exploring nonlinear effects of the built environment on ridesplitting: Evidence from Chengdu. Transp. Res. Part D 2021, 93, 102776. [Google Scholar] [CrossRef]
- Leitão, I.A.; Ferreira, C.S.S.; Ferreira, A.J.D. Assessing long-term changes in potential ecosystem services of a peri-urbanizing Mediterranean catchment. Sci. Total Environ. 2019, 660, 993–1003. [Google Scholar] [CrossRef]
- Qiao, X.; Gu, Y.; Zou, C.; Xu, D.; Wang, L.; Ye, X.; Yang, Y.; Huang, X. Temporal variation and spatial scale dependency of the trade-offs and synergies among multiple ecosystem services in the Taihu Lake Basin of China. Sci. Total Environ. 2019, 651, 218–229. [Google Scholar] [CrossRef]
- Scholes, R.J.; Reyers, B.; Biggs, R.; Spierenburg, M.J.; Duriappah, A. Multi-scale and cross-scale assessments of social–ecological systems and their ecosystem services. Curr. Opin. Environ. Sustain. 2013, 5, 16–25. [Google Scholar] [CrossRef]
- de Groot, R.S.; Alkemade, R.; Braat, L.; Hein, L.; Willemen, L. Challenges in integrating the concept of ecosystem services and values in landscape planning, management and decision making. Ecol. Complex. 2010, 7, 260–272. [Google Scholar] [CrossRef]
- McKenzie, E.; Posner, S.; Tillmann, P.; Bernhardt, J.R.; Howard, K.; Rosenthal, A. Understanding the use of ecosystem service knowledge in decision making: Lessons from international experiences of spatial planning. Environ. Plan. C Gov. Policy 2014, 32, 320–340. [Google Scholar] [CrossRef]
- Chuai, X.; Huang, X.; Lai, L.; Wang, W.; Peng, J.; Zhao, R. Land use structure optimization based on carbon storage in several regional terrestrial ecosystems across China. Environ. Sci. Policy 2013, 25, 50–61. [Google Scholar] [CrossRef]
- Donohue, R.J.; Roderick, M.L.; McVicar, T.R. Roots, storms and soil pores: Incorporating key ecohydrological processes into Budyko’s hydrological model. J. Hydrol. 2012, 436–437, 35–50. [Google Scholar] [CrossRef]
- Fu, B.P. On the calculation of the evaporation from land surface (in Chinese). Chin. J. Atmos. Sci. 1981, 5, 23–31. [Google Scholar]
- Sharp, R.; Douglass, J.; Wolny, S.; Arkema, K.; Bernhardt, J.; Bierbower, W.; Chaumont, N.; Denu, D.; Fisher, D.; Glowinski, K.; et al. InVEST 3.10.2 User’s Guide 2020, The Natural Capital Project, Stanford University, University of Minnesota, The Nature Conservancy, and World Wildlife Fund. Available online: https://naturalcapitalproject.stanford.edu/software/invest (accessed on 12 November 2022).
- Zhang, L.; Hickel, K.; Dawes, W.R.; Chiew, F.H.S.; Western, A.W.; Briggs, P.R. A rational function approach for estimating mean annual evapotranspiration. Water Resour. Res. 2004, 40, W02502. [Google Scholar] [CrossRef]
- Zhang, Y.; Liu, Y.; Zhang, Y.; Liu, Y.; Zhang, G. On the spatial relationship between ecosystem services and urbanization: A case study in Wuhan, China. Sci. Total Environ. 2018, 637–638, 780–790. [Google Scholar] [CrossRef]
- Liu, W.; Zhan, J.; Zhao, C.; Zhang, F.; Teng, Y.; Chu, X.; Kumi, M.A. Spatio-temporal variations of ecosystem services and their drivers in the Pearl River Delta, China. J. Clean. Prod. 2022, 337, 130466. [Google Scholar] [CrossRef]








| Data | Type | Resolution | Data Source |
|---|---|---|---|
| Land cover data | Raster | 30 m | Data Center for Resources and Environmental Sciences, Chinese Academy of Sciences (RESDC) “http://www.resdc.cn/Default.aspx (accessed on 12 October 2022)” |
| Digital elevation model (DEM) | Raster | 12.5 m | ALOS “https://alos-pasco.com/ (accessed on 12 October 2022)” |
| Meteorological data (annual average temperature and precipitation) | Raster | 1 km | Chinese National Meteorological Science Data Service Center “http://data.cma.cn/ (accessed on 12 October 2022)” |
| Soil type data | Raster | 1 km | Harmonized World Soil Databased (HWSD) “https://www.fao.org/home/en/ (accessed on 12 October 2022)” |
| Population and GDP data | Numeric | — | Huainan Statistical Yearbook 2021 |
| Types | PD | ED | SHAPE_MN | AI |
|---|---|---|---|---|
| Cropland | 0.017 | 19.6782 | 2.7604 | 97.8972 |
| Forestland | 0.0074 | 0.6940 | 1.7807 | 96.6633 |
| Grassland | 0.0089 | 0.6240 | 1.7712 | 95.8261 |
| Waterbody | 0.0426 | 4.0284 | 1.7978 | 96.4201 |
| Built-up land | 0.6971 | 15.8244 | 1.2676 | 93.3932 |
| Scale | Model | Metric | CS | HQ | NE | WY |
|---|---|---|---|---|---|---|
| 1 km | Linear | R2 | 0.2951 | 0.5860 | 0.1716 | 0.4062 |
| RMSE | 17.1376 (Mg/hm2) | 0.0706 (Unitless) | 0.1483 (kg/hm2) | 87.1089 (mm) | ||
| GBDT | R2 | 0.4986 | 0.7627 | 0.3018 | 0.4859 | |
| RMSE | 14.4936 (Mg/hm2) | 0.0538 (Unitless) | 0.1356 (kg/hm2) | 81.9808 (mm) | ||
| 2 km | Linear | R2 | 0.2117 | 0.6295 | 0.3305 | 0.4462 |
| RMSE | 16.1699 (Mg/hm2) | 0.0669 (Unitless) | 0.1030 (kg/hm2) | 71.8694 (mm) | ||
| GBDT | R2 | 0.4436 | 0.7635 | 0.4237 | 0.6368 | |
| RMSE | 13.9704 (Mg/hm2) | 0.0506 (Unitless) | 0.0864 (kg/hm2) | 58.7452 (mm) | ||
| 3 km | Linear | R2 | 0.2150 | 0.7357 | 0.4392 | 0.4383 |
| RMSE | 13.7860 (Mg/hm2) | 0.0488 (Unitless) | 0.0740 (kg/hm2) | 66.0749 (mm) | ||
| GBDT | R2 | 0.3442 | 0.8280 | 0.5285 | 0.5864 | |
| RMSE | 12.5798 (Mg/hm2) | 0.0437 (Unitless) | 0.0634 (kg/hm2) | 55.3898 (mm) |
Disclaimer/Publisher’s Note: The statements, opinions and data contained in all publications are solely those of the individual author(s) and contributor(s) and not of MDPI and/or the editor(s). MDPI and/or the editor(s) disclaim responsibility for any injury to people or property resulting from any ideas, methods, instructions or products referred to in the content. |
© 2023 by the authors. Licensee MDPI, Basel, Switzerland. This article is an open access article distributed under the terms and conditions of the Creative Commons Attribution (CC BY) license (https://creativecommons.org/licenses/by/4.0/).
Share and Cite
Li, C.; Zhao, J.; Hou, W. Nonlinear Effects of Landscape Patterns on Ecosystem Services at Multiple Scales Based on Gradient Boosting Decision Tree Models. Remote Sens. 2023, 15, 1919. https://doi.org/10.3390/rs15071919
Li C, Zhao J, Hou W. Nonlinear Effects of Landscape Patterns on Ecosystem Services at Multiple Scales Based on Gradient Boosting Decision Tree Models. Remote Sensing. 2023; 15(7):1919. https://doi.org/10.3390/rs15071919
Chicago/Turabian StyleLi, Cheng, Jie Zhao, and Wei Hou. 2023. "Nonlinear Effects of Landscape Patterns on Ecosystem Services at Multiple Scales Based on Gradient Boosting Decision Tree Models" Remote Sensing 15, no. 7: 1919. https://doi.org/10.3390/rs15071919
APA StyleLi, C., Zhao, J., & Hou, W. (2023). Nonlinear Effects of Landscape Patterns on Ecosystem Services at Multiple Scales Based on Gradient Boosting Decision Tree Models. Remote Sensing, 15(7), 1919. https://doi.org/10.3390/rs15071919

