GNSS High-Precision Augmentation for Autonomous Vehicles: Requirements, Solution, and Technical Challenges
Abstract
1. Introduction
2. Survey of AIV Requirements
2.1. Application Characteristics of AIVs
- Globally, about 70 million cars are sold each year (https://www.statista.com/statistics/200002/international-car-sales-since-1990/ (accessed on 14 March 2023)). The proportion of high-level assistance vehicles is increasing. According to market forecasts, there will be 25 million AIVs at Level 3 or above by 2025 [33]. Thus, AIVs aim to reach tens to hundreds of millions of users.
- The emerging field of autonomous applications faces the global market, in which users may be active anywhere all over the world at any time, including in the air, on land, and at sea [18]. Different from professional work, it is almost intolerable for AIV users to wait too long to obtain positioning requirements. Therefore, instantaneous global wide-area positioning services are required.
- AIV often involves safety-of-life issues. AIVs of Level 3 and above will require shifting all the safety and legal responsibilities from humans to the automated driving system [34]. In addition, the ISO (International Organization for Standardization) formulated the standard “Road vehicles-Functional safety ISO 26262” guidance to mitigate safety-related risk caused by the complex system [35]. For AIVs, safety is critical.
- Currently, the government pays increasing attention to individuals’ rights to privacy [36], and the privacy principles for vehicle technologies and services clarify that consumer privacy should be considered and protected [37]. Location privacy protection in mass applications is becoming a key issue [18,38].
2.2. Integrity Requirements
2.3. Accuracy Requirements
2.4. Issues of Availability and Continuity
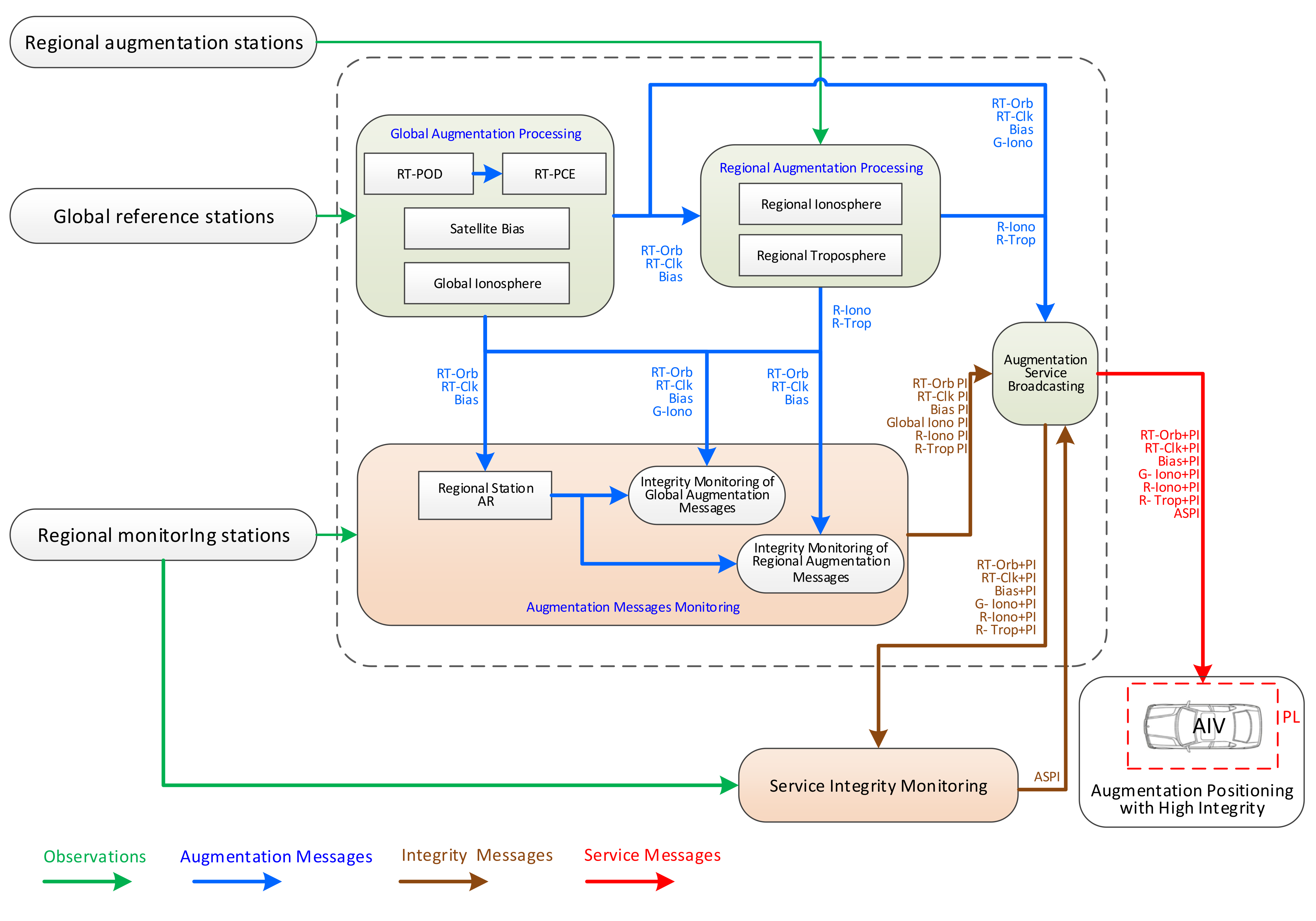
3. GNSS Augmentation Solution for AIV: A Case
- The global augmentation processing part is largely responsible for obtaining global real-time augmentation messages based on global reference stations, including real-time precise satellite orbit (RT-Orb) and clock (RT-Clk), satellite bias (Bias), global ionospheric (G-Iono), etc.;
- The regional augmentation processing part mainly uses the global augmentation messages and the regional augmentation stations to obtain the regional ionospheric (R-Iono) and tropospheric delay (R-Trop), and then outputs the modeling information;
- The augmentation message monitoring part mainly uses the monitoring stations in the service area to monitor the integrity of global and regional augmentation messages and then generates the corresponding performance index (PI);
- The augmentation service broadcasting part is responsible for encoding global and regional augmentation messages and then broadcasting that information through the Internet or communication satellites;
- The service integrity monitoring part is responsible for monitoring the performance and generating the augmentation service performance factor (ASPI) by using regional monitoring stations’ known precise coordinates based on broadcasted wide-area and regional augmentation messages. If there is a service integrity problem, it will promptly alert the public;
- The augmentation positioning with high integrity part aims to achieve precise positioning for AIVs based on these global and regional augmentation messages as well as monitoring messages.
4. Progress and Challenges of Key Technologies
4.1. RT-POD
4.2. RT-PCE
4.3. Bias Estimations
4.4. Atmosphere Estimation and Modeling
4.5. Integrity Monitoring
4.6. RT Instant Precise Positioning
5. Conclusions
Author Contributions
Funding
Acknowledgments
Conflicts of Interest
Abbreviations
| AIV | Autonomous and Intelligent Vehicle |
| AR | Ambiguity Resolution |
| ASIL | Automotive Safety Integrity Level |
| BDS | BeiDou Navigation Satellite System |
| CLAS | Centimeter Level Augmentation Service |
| CORS | Continuously Operating Reference Stations |
| DCB | Differential Code Bias |
| EGNOS | European Geostationary Navigation Overlay Service |
| FCB | Fractional Cycle Bias |
| GAGAN | GPS Aided GEO Augmented Navigation |
| Galileo | Galileo Navigation Satellite System |
| GBAS | Ground-Based Augmentation System |
| GIM | Global Ionospheric Map |
| GLONASS | GLObal NAvigation Satellite System |
| GNSS | Global Navigation Satellite System |
| GPS | Global Positioning System |
| HAS | High Accuracy Service |
| IMU | Inertial Measurement Unit |
| LAAS | Local Area Augmentation System |
| LiDAR | Light Detection And Ranging |
| MAC | Master-Auxiliary Concept |
| MSAS | MTSAT Satellite-based Augmentation System |
| NRTK | Network Real-Time Kinematic |
| OSR | Observation Space Representation |
| PCE | Precise Clock Estimation |
| PI | Performance Index |
| PL | Protection Level |
| POD | Precise Orbit Determination |
| PPP | Precise Point Positioning |
| QZSS | Quasi-Zenith Satellite System |
| RADAR | RAdio Detection And Ranging |
| RAIM | Receiver Autonomous Integrity Monitoring |
| SBAS | Satellite-Based Augmentation System |
| SDB | Signal Distortion Bias |
| SIS | Signal-in-Space |
| SPP | Single Point Positioning |
| SPS | Standard Positioning Service |
| SSR | State Space Representation |
| TEC | Total Electron Content |
| TECU | Total Electron Content Unit |
| UPD | Uncalibrated Phase Delays |
| UPD | Uncalibrated Phase Delay |
| VRS | Virtual Reference Station |
| VTEC | Vertical TEC |
| WAAS | Wide Area Augmentation System |
| ZHD | Zenith Hydrostatic Delay |
| ZTD | Zenith Total Delay |
| ZWD | Zenith Wet Delay |
References
- Zhang, T.; Li, Q.; Zhang, C.; Liang, H.; Li, P.; Wang, T.; Li, S.; Zhu, Y.; Wu, C. Current trends in the development of intelligent unmanned autonomous systems. Front. Inf. Technol. Electron. Eng. 2017, 18, 68–85. [Google Scholar] [CrossRef]
- Yeong, D.J.; Velasco-Hernandez, G.; Barry, J.; Walsh, J. Sensor and Sensor Fusion Technology in Autonomous Vehicles: A Review. Sensors 2021, 21, 2140. [Google Scholar] [CrossRef] [PubMed]
- J3016-2021; Taxonomy and Definitions for Terms Related to Driving Automation Systems for On-Road Motor Vehicles. SAE International: Warrendale, PA, USA, 2021.
- Vargas, J.; Alsweiss, S.; Toker, O.; Razdan, R.; Santos, J. An Overview of Autonomous Vehicles Sensors and Their Vulnerability to Weather Conditions. Sensors 2021, 21, 5397. [Google Scholar] [CrossRef] [PubMed]
- Joubert, N.; Reid, T.G.R.; Noble, F. Developments in Modern GNSS and Its Impact on Autonomous Vehicle Architectures. In Proceedings of the 2020 IEEE Intelligent Vehicles Symposium (IV), Las Vegas, NV, USA, 19 April 2020; pp. 2029–2036. [Google Scholar]
- Varghese, J.Z. Overview of Autonomous Vehicle Sensors and Systems. In Proceedings of the 2015 International Conference on Operations Excellence and Service Engineering, Orlando, FL, USA, 10–11 September 2015. [Google Scholar]
- Gogineni, S. Multi-Sensor Fusion and Sensor Calibration for Autonomous Vehicles. Int. Res. J. Eng. Technol. (IRJET) 2020, 7, 1073–1078. [Google Scholar]
- Yang, D.; Jiang, K.; Zhao, D.; Yu, C.; Cao, Z.; Xie, S.; Xiao, Z.H.; Jiao, X.; Wang, S.; Zhang, K. Intelligent and connected vehicles: Current status and future perspectives. Sci. China Technol. Sci. 2018, 61, 1446–1471. [Google Scholar] [CrossRef]
- Toulminet, G.; Boussuge, J.; Laurgeau, C. Comparative Synthesis of the 3 Main European Projects Dealing with Cooperative Systems (CVIS, SAFESPOT and COOPERS) and Description of COOPERS Demonstration Site 4. In Proceedings of the 11th International IEEE Conference on Intelligent Transportation Systems, Beijing, China, 12–15 October 2008; pp. 809–814. [Google Scholar]
- Jahromi, B.S.; Tulabandhula, T.; Cetin, S. Real-Time Hybrid Multi-Sensor Fusion Framework for Perception in Autonomous Vehicles. Sensors 2019, 19, 4357. [Google Scholar] [CrossRef]
- Ayala, R.; Mohd, T.K. Sensors in Autonomous Vehicles: A Survey. ASME J. Auton. Veh. Syst. 2021, 1, 031003. [Google Scholar] [CrossRef]
- Langley, R.B.; Teunissen, P.J.G.; Montenbruck, O. Introduction to GNSS. In Springer Handbook of Global Navigation Satellite Systems; Teunissen, P.J., Montenbruck, O., Eds.; Springer: Cham, Switzerland, 2017; pp. 3–23. [Google Scholar]
- Wübbena, G.; Schmitz, M.; Bagge, A. PPP-RTK: Precise Point Positioning Using State-Space Representation in RTK Networks. In Proceedings of the 18th International Technical Meeting of the Satellite Division of the Institute of Navigation (ION GNSS 2005), Long Beach, CA, USA, 13–16 September 2005; pp. 2584–2594. [Google Scholar]
- Chen, L.; Zhou, G.; Chen, G.; Sun, W.; Pan, L. Signal-in-space and positioning performance of BDS open augmentation service. Math. Probl. Eng. 2022, 2022, 1112646. [Google Scholar] [CrossRef]
- GPS SPS. Global Positioning System Standard Positioning Service Performance Standard, 5th ed.; Department of Defense: Washington, DC, USA, 2020. [Google Scholar]
- BDS OS PS. BeiDou Navigation Satellite System Open Service Performance Standard; China Satellite Navigation Office: Beijing, China, 2021.
- Galileo OS SDD. European GNSS (Galileo) Open Service Service Definition Document Issue 1.2; European GNSS Service Centre: Madrid, Spain, 2021. [Google Scholar]
- Galileo GNSS Agency. GNSS User Technology Report, Issue 3; Publications Office of the EU, Galileo GNSS Agency: Paris, France, 2020. [Google Scholar]
- Zumberge, J.; Heflin, M.; Jefferson, D.; Watkins, M.; Webb, F. Precise point positioning for the efficient and robust analysis of GPS data from large networks. J. Geophys. Res. 1997, 102, 5005–5017. [Google Scholar] [CrossRef]
- Huisman, L.; Teunissen, P.J.G.; Hu, C. GNSS precise point positioning in regional reference frames using real-time broadcast corrections. J. Appl. Geod. 2012, 6, 15–23. [Google Scholar] [CrossRef]
- Walter, T. Satellite Based Augmentation Systems. In Springer Handbook of Global Navigation Satellite Systems; Teunissen, P.J., Montenbruck, O., Eds.; Springer: Cham, Switzerland, 2017; pp. 339–361. [Google Scholar]
- Yang, Y.; Ding, Q.; Gao, W.; Li, J.; Xu, Y.; Sun, B. Principle and performance of BDSBAS and PPP-B2b of BDS-3. Satell. Navig. 2022, 3, 5. [Google Scholar] [CrossRef]
- European GNSS Agency. Galileo High Accuracy Service (HAS); Publications Office of the EU, Galileo GNSS Agency: Paris, France, 2020. [Google Scholar]
- IS-QZSS-L6-003; Quasi-Zenith Satellite System Interface Specification Centimeter Level Augmentation Service. Cabinet Office: Tokyo, Japan, 2020.
- China Satellite Navigation Office. BeiDou Navigation Satellite System Signal in Space Interface Control Document Precise Point Positioning Service Signal PPP-B2b; China Satellite Navigation Office: Beijing, China, 2020. [Google Scholar]
- Odijk, D.; Wanninger, L. Differential Positioning. In Springer Handbook of Global Navigation Satellite Systems; Teunissen, P.J., Montenbruck, O., Eds.; Springer: Cham, Switzerland, 2017; pp. 753–780. [Google Scholar]
- Weng, D.; Ji, S.; Lu, Y.; Chen, W.; Li, Z. Improving DGNSS Performance through the Use of Network RTK Corrections. Remote Sens. 2021, 13, 1621. [Google Scholar] [CrossRef]
- Pervan, B.; Pullen, S.; Lawrence, D.G.; Gromov, K.; Christie, J.; Opshaug, G.; Lu, V.; Ko, P.; Enge, P.; Parkinson, B.W. Prototype LAAS Architecture Design Considerations. GPS Solut. 1998, 2, 49–61. [Google Scholar] [CrossRef]
- Bisnath, S.; Gao, Y. Current State of Precise Point Positioning and Future Prospects and Limitations. In Observing Our Changing Earth; Sideris, M.G., Ed.; Springer: New York, NY, USA, 2009; pp. 615–623. [Google Scholar]
- Geng, J.; Teferle, F.N.; Meng, X.; Dodson, A.H. Towards PPP-RTK: Ambiguity resolution in real-time precise point positioning. Adv. Space Res. 2011, 47, 1664–1673. [Google Scholar] [CrossRef]
- Li, X.; Ge, M.; Douša, J.; Wickert, J. Real-time precise point positioning regional augmentation for large GPS reference networks. GPS Solut. 2014, 18, 61–71. [Google Scholar] [CrossRef]
- Nardo, A.; Drescher, R.; Brandl, M.; Chen, X.; Landau, H.; Rodriguez-Solano, C.; Seeger, S.; Weinbach, U. Experiences with Trimble CenterPoint RTX with Fast Convergence. In Proceedings of the European Navigation Conference 2015, Bordeaux, France, 7–10 April 2015. [Google Scholar]
- Müller, F.; Nenninger, P.; Sax, E. Analysis of Requirements for Autonomous Driving Systems. In Proceedings of the 11th IEEE Annual Information Technology, Electronics and Mobile Communication Conference (IEMCON), Vancouver, BC, Canada, 4–7 November 2020; pp. 87–93. [Google Scholar]
- Ilkova, V.; Ilka, A. Legal Aspects of Autonomous Vehicles—An Overviewo. In Proceedings of the 21st International Conference on Process Control (PC), Strbske Pleso, Slovakia, 6–9 July 2017; pp. 428–433. [Google Scholar] [CrossRef]
- ISO26262; Road Vehicles-Functional Safety. The International Organization for Standardization. ISO: London, UK, 2018.
- NHTSA. Federal Automated Vehicles Policy. Accelerating the Next Revolution in Roadway Safety; U.S. Department of Transportation–National Highway Traffic Safety Administration: Washington, DC, USA, 2016. [Google Scholar]
- Alliance for Automotive Innovation, Inc. Consumer Privacy Protection Principles-Privacy Principles for Vehicle Technologies and Services; Alliance for Automotive Innovation: Washington, DC, USA, 2014. [Google Scholar]
- Chen, L.; Thombre, S.; Jarvinen, K.; Lohan, E.S.; Alen-Savikko, A.K.; Leppäkoski, H.; Bhuiyan, M.Z.H.; Bu-Pasha, S.; Ferrara, G.N.; Honkala, H. Robustness, Security and Privacy in Location-Based Services for Future IoT: A Survey. IEEE Access 2017, 5, 8956–8977. [Google Scholar] [CrossRef]
- AI Hage, J.; Xu, P.; Bonnifait, P.; Ibanez-Guzman, J. Localization Integrity for Intelligent Vehicles through Fault Detection and Position Error Characterization. IEEE Trans. Intell. Transp. Syst. 2022, 23, 2978–2990. [Google Scholar] [CrossRef]
- Salos, D.; Martineau, A.; Macabiau, C.; Bonhoure, B.; Kubrak, D. Receiver autonomous integrity monitoring of GNSS signals for electronic toll collection. IEEE Trans. Intell. Transp. Syst. 2014, 15, 94–103. [Google Scholar] [CrossRef]
- Farnworth, R. Aviation Applications. In Springer Handbook of Global Navigation Satellite Systems; Teunissen, P.J., Montenbruck, O., Eds.; Springer: Cham, Switzerland, 2017; pp. 877–903. [Google Scholar]
- International Civil Aviation Organization (ICAO). International Standards and Recommended Practices, Annex 10 to the Convention on Civil Aviation, Aeronautical Telecommunications; Radio Navigation Aids 7th edition; ICAO: Montreal, QC, Canada, 2018; Volume 1. [Google Scholar]
- Reid, T.; Houts, S.; Cammarata, R.; Mills, G.; Agarwal, S.; Vora, A.; Pandey, G. Localization Requirements for Autonomous Vehicles. SAE Int. J. Connect. Autom. Veh. 2019, 2, 173–190. [Google Scholar] [CrossRef]
- JTG D20-2017; Design Specification for Highway Alignment. China Ministry of Transport: Beijing, China, 2017.
- Chai, Z.; Nie, T.; Becker, J. Autonomous Driving Changes the Future. China Machine Press: Beijing, China; Springer Nature Singapore Pte Ltd.: Singapore, 2021. [Google Scholar]
- Zhu, N.; Marais, J.; Bétaille, D.; Berbineau, M. GNSS position integrity in urban environments: A review of literature. IEEE Trans. Intell. Transp. Syst. 2018, 19, 2762–2778. [Google Scholar] [CrossRef]
- Chen, X.; Allison, T.; Cao, W.; Ferguson, K.; Grünig, S.; Gomez, V.; Kipka, A.; Köhler, J.; Landau, H.; Leandro, R.; et al. Trimble RTX, an Innovative New Approach for Network RTK. In Proceedings of the 24th International Technical Meeting of the Satellite Division of the Institute of Navigation (ION GNSS 2011), Portland, OR, USA, 19–23 September 2011; pp. 2214–2219. [Google Scholar]
- Roturier, B.; Chatre, E.; Ventura-Traveset, J. The SBAS integrity concept standardised by ICAO-application to EGNOS. Navig. Paris 2001, 49, 65–77. [Google Scholar]
- Jin, B.; Chen, S.; Li, D.; Wang, Y.; Takka, E. Performance analysis of SBAS ephemeris corrections and integrity algorithms in China region. Satell. Navig. 2021, 2, 15. [Google Scholar] [CrossRef]
- Du, Y.; Wang, J.; Rizos, C.; EI-Mowafy, A. Vulnerabilities and integrity of precise point positioning for intelligent transport systems: Overview and analysis. Satell. Navig. 2021, 2, 3. [Google Scholar] [CrossRef]
- Choy, S.; Bisnath, S.; Rizos, C. Uncovering common misconceptions in GNSS Precise Point Positioning and its future prospect. GPS Solut. 2017, 21, 13–22. [Google Scholar] [CrossRef]
- Weinbach, U.; Brandl, M.; Chen, X.; Landau, H.; Pastor, F.; Reussner, N.; Rodriguez-Solano, C. Integrity of the Trimble® CenterPoint® RTX Correction Service. In Proceedings of the 31st International Technical Meeting of the Satellite Division of The Institute of Navigation (ION GNSS+ 2018), Miami, FL, USA, 24–28 September 2018; pp. 1902–1909. [Google Scholar]
- Johnston, G.; Riddell, A.; Hausler, G. The International GNSS Service. In Springer Handbook of Global Navigation Satellite Systems; Teunissen, P.J., Montenbruck, O., Eds.; Springer: Cham, Switzerland, 2017; pp. 967–982. [Google Scholar]
- Weiss, J.P.; Steigenberger, P.; Springer, T. Orbit and Clock Product Generation. In Springer Handbook of Global Navigation Satellite Systems; Teunissen, P.J., Montenbruck, O., Eds.; Springer: Cham, Switzerland, 2017; pp. 983–1010. [Google Scholar]
- Li, B.; Ge, H.; Bu, Y.; Zheng, Y.; Yuan, L. Comprehensive assessment of real-time precise products from IGS analysis centers. Satell. Navig. 2022, 3, 12. [Google Scholar] [CrossRef]
- Montenbruck, O.; Steigenberger, P.; Parange, L.; Deng, Z.; Zhao, Q.; Perosanz, F.; Romero, I.; Noll, C.; Stürze, A.; Weber, G.; et al. The multi-GNSS experiment (MGEX) of the international GNSS service (IGS)-achievements, prospects and challenges. Adv. Space Res. 2017, 59, 1671–1697. [Google Scholar] [CrossRef]
- Weber, G.; Mervart, L.; Lukes, Z.; Rocken, C.; Dousa, J. Real-Time Clock and Orbit Corrections for Improved Point Positioning via NTRIP. In Proceedings of the 20th International Technical Meeting of the Satellite Division of The Institute of Navigation (ION GNSS 2007), Fort Worth, TX, USA, 25–28 September 2007; pp. 1992–1998. [Google Scholar]
- Chen, L.; Zhao, Q.; Hu, Z.; Ge, M.; Shi, C. GNSS global real-time augmentation positioning: Real-time precise satellite clock estimation, prototype system construction and performance analysis. Adv. Space Res. 2018, 61, 367–384. [Google Scholar] [CrossRef]
- Hauschild, A.; Montenbruck, O. Real-Time clock Estimation for Precise Orbit Determination of LEO-Satellites. In Proceedings of the 21st International Technical Meeting of the Satellite Division of the Institute of Navigation (ION GNSS 2008), Savannah, GA, USA, 16–19 September 2008; pp. 581–589. [Google Scholar]
- Liu, J.; Ge, M. PANDA software and its preliminary result of positioning and orbit determination. Wuhan Univ. J. Nat. Sci. 2003, 8, 603–609. [Google Scholar]
- Shi, C.; Zhao, Q.; Geng, J.; Lou, Y.; Ge, M.; Liu, J. Recent Development of PANDA Software in GNSS Data Processing. In Proceedings of the International Conference on Earth Observation Data Processing and Analysis (ICEODPA), Bellingham, WA, USA, 28–30 December 2008. [Google Scholar]
- Shi, C.; Zhao, Q.; Li, M.; Tang, W.; Hu, Z.; Lou, Y.; Zhang, H.; Niu, X.; Liu, J. Precise orbit determination of Beidou Satellites with precise positioning. Sci. China Earth Sci. 2012, 55, 1079–1086. [Google Scholar] [CrossRef]
- Zhao, Q.; Guo, J.; Li, M.; Qu, L.; Hu, Z.; Shi, C.; Liu, J. Initial results of precise orbit and clock determination for COMPASS navigation satellite system. J. Geod. 2013, 87, 475–486. [Google Scholar] [CrossRef]
- Dai, X.; Ge, M.; Lou, Y.; Shi, C.; Wickert, J.; Schuh, H. Estimating the yaw-attitude of BDS IGSO and MEO satellites. J. Geod. 2015, 89, 1005–1018. [Google Scholar] [CrossRef]
- Guo, J.; Chen, G.; Zhao, Q.; Liu, J.; Liu, X. Comparison of solar radiation pressure models for BDS IGSO and MEO satellites with emphasis on improving orbit quality. GPS Solut. 2016, 21, 511–522. [Google Scholar] [CrossRef]
- Liu, Y.; Ge, M.; Shi, C.; Lou, Y.; Wickert, J.; Schuh, H. Improving integer ambiguity resolution for GLONASS precise orbit determination. J. Geod. 2016, 90, 715–726. [Google Scholar] [CrossRef]
- Griffiths, J.; Ray, J. On the precision and accuracy of IGS orbits. J. Geod. 2009, 83, 277–287. [Google Scholar] [CrossRef]
- Bock, H.; Dach, R.; Jaggi, A.; Beutler, G. High-rate GPS clock corrections from CODE: Support of 1 Hz applications. J. Geod. 2009, 83, 1083–1094. [Google Scholar] [CrossRef]
- Zhang, X.; Li, X.; Guo, F. Satellite clock estimation at 1 Hz for realtime kinematic PPP applications. GPS Solut. 2011, 15, 315–324. [Google Scholar] [CrossRef]
- Ge, M.; Chen, J.; Dousa, J.; Gendt, G.; Wickert, J. A computationally efficient approach for estimating high-rate satellite clock corrections in realtime. GPS Solut. 2012, 16, 9–17. [Google Scholar] [CrossRef]
- Chen, L.; Li, M.; Zhao, Y.; Hu, Z.; Zheng, F.; Shi, C. Multi-GNSS real-time precise clock estimation considering the correction of inter-satellite code biases. GPS Solut. 2021, 25, 32. [Google Scholar] [CrossRef]
- Gong, X.; Gu, S.; Zheng, F.; Wu, Q.; Liu, S.; Lou, Y. Improving GPS and Galileo Precise Data Processing Based on Calibration of Signal Distortion Biases. Measurement 2021, 174, 108981. [Google Scholar] [CrossRef]
- Montenbruck, O.; Hauschild, A.; Hessels, U. Characterization of GPS/GIOVE sensor stations in the CONGO network. GPS Solut. 2011, 15, 193–205. [Google Scholar] [CrossRef]
- Chen, L.; Li, M.; Zhao, Y.; Zheng, F.; Zhang, X.; Shi, C. Clustering Code Biases between BDS-2 and BDS-3 Satellites and Effects on Joint Solution. Remote Sens. 2021, 12, 15. [Google Scholar] [CrossRef]
- Geng, J.; Meng, X.; Dodson, A.; Teferle, F. Integer ambiguity resolution in precise point positioning: Method comparison. J. Geod. 2010, 84, 569–581. [Google Scholar] [CrossRef]
- Loyer, S.; Perosanz, F.; Mercier, F.; Capdeville, H.; Marty, J.C. Zero-difference GPS ambiguity resolution at CNES–CLS IGS Analysis Center. J. Geod. 2012, 86, 991–1003. [Google Scholar] [CrossRef]
- Li, Z.; Yuan, Y.; Wang, N.; Hernandez-Pajares, M.; Huo, X. SHPTS:towards a new method for generating precise global ionospheric TEC map based on spherical harmonic and generalized trigonometric series functions. J. Geod. 2015, 89, 331–345. [Google Scholar] [CrossRef]
- Schaer, S.; Gurtner, W.; Feltens, J. IONEX: The Ionosphere Map Exchange Format Version 1. In Proceedings of the IGS AC Workshop, Darmstadt, Germany, 9–11 February 1998. [Google Scholar]
- Montenbruck, O.; Hauschild, A.; Steigenberger, P. Differential code bias estimation using multi-GNSS observations and global ionosphere maps. Navigation 2014, 61, 191–201. [Google Scholar] [CrossRef]
- Wang, N.; Yuan, Y.; Li, Z.; Montenbruck, O.; Tan, B. Determination of differential code biases with multi-GNSS observations. J. Geod. 2016, 90, 209–228. [Google Scholar] [CrossRef]
- Ge, Y.; Zhou, F.; Sun, B.; Wang, S.; Shi, B. The Impact of Satellite Time Group Delay and Inter-Frequency Differential Code Bias Corrections on Multi-GNSS Combined Positioning. Sensors 2017, 17, 602. [Google Scholar] [CrossRef]
- Hauschild, A.; Steigenberger, P.; Montenbruck, O. Inter-Receiver GNSS Pseudorange Biases and Their Effect on Clock and DCB Estimation. In Proceedings of the ION GNSS+ 2019, Institute of Navigation, Miami, FL, USA, 16–20 September 2019; pp. 3675–3685. [Google Scholar]
- Hauschild, A.; Montenbruck, O. A study on the dependency of GNSS pseudorange biases on correlator spacing. GPS Solut. 2016, 20, 159–171. [Google Scholar] [CrossRef]
- Gong, X.; Zheng, F.; Gu, S.; Zhang, Z.; Lou, Y. The long-term characteristics of GNSS signal distortion biases and their empirical corrections. GPS Solut. 2022, 26, 52. [Google Scholar] [CrossRef]
- Ge, M.; Gendt, G.; Rothacher, M.; Shi, C.; Liu, J. Resolution of GPS carrier-phase ambiguities in precise point positioning (PPP) with daily observations. J. Geod. 2008, 82, 389–399. [Google Scholar] [CrossRef]
- Xiao, G.; Sui, L.; Heck, B.; Zeng, T.; Tian, Y. Estimating satellite phase fractional cycle biases based on Kalman filter. GPS Solut. 2018, 22, 82. [Google Scholar] [CrossRef]
- Gabor, M.J.; Nerem, R.S. GPS carrier phase AR Using Satellite-Satellite Single Difference. In Proceedings of the ION GPS 1999, 14–17 September 1999; pp. 1569–1578. [Google Scholar]
- Banville, S.; Collins, P.; Zhang, W.; Langley, R. Global and regional ionospheric corrections for faster PPP convergence. Navigation 2014, 61, 115–124. [Google Scholar] [CrossRef]
- Zhang, X.; Ren, X.; Chen, J.; Zuo, X.; Mei, D.; Liu, W. Investigating GNSS PPP–RTK with external ionospheric constraints. Satell. Navig. 2022, 3, 6. [Google Scholar] [CrossRef]
- Shi, J.; Xu, C.; Guo, J.; Gao, Y. Local troposphere augmentation for real-time precise point positioning. Earth Planets Space 2014, 66, 1–13. [Google Scholar] [CrossRef]
- Yao, Y.; Peng, W.; Xu, C.; Cheng, S. Enhancing real-time precise point positioning with zenith troposphere delay products and the determination of corresponding tropospheric stochastic models. Geophys. J. Int. 2017, 208, 1217–1230. [Google Scholar] [CrossRef]
- Cui, B.; Wang, J.; Li, P.; Ge, M.; Schuh, H. Modeling wide-area tropospheric delay corrections for fast PPP ambiguity resolution. GPS Solut. 2022, 26, 56. [Google Scholar] [CrossRef]
- Li, Z.; Wang, N.; Hernández-Pajares, M.; Yuan, Y.; Krankowski, A.; Liu, A.; Zha, J.; García-Rigo, A.; Roma-Dollase, D.; Yang, H.; et al. IGS real-time service for global ionospheric total electron content modeling. J. Geod. 2020, 94, 32. [Google Scholar] [CrossRef]
- Xiang, Y.; Gao, Y.; Li, Y. Ionospheric STEC and VTEC Constraints for Fast PPP. In Proceeding of the China Satellite Navigation Conference (CSNC), CSNC 2017: Volume II; Lecture Notes in Electrical Engineering; Springer: Singapore, 2017; Volume 438, pp. 257–269. [Google Scholar]
- Schaer, S. Mapping and Predicting the Earth’s Ionosphere Using the Global Positioning System. Ph.D. Thesis, Astronomical Institute, University of Bernese, Bern, Switzerland, 1999. [Google Scholar]
- Roma-Dollase, D.; Hernández-Pajares, M.; Krankowski, A.; Kotulak, K.; Ghoddousi-Fard, R.; Yuan, Y.; Li, Z.; Zhang, H.; Shi, C.; Wang, C. Consistency of seven different GNSS global ionospheric mapping techniques during one solar cycle. J. Geod. 2018, 92, 691–706. [Google Scholar] [CrossRef]
- Liu, Q.; Hernández-Pajares, M.; Yang, H.; Monte-Moreno, E.; Roma-Dollase, D.; García-Rigo, A.; Li, Z.; Wang, N.; Laurichesse, D.; Blot, A.; et al. The cooperative IGS RT-GIMs: A reliable estimation of the global ionospheric electron content distribution in real time. Earth Syst. Sci. Data 2021, 13, 4567–4582. [Google Scholar] [CrossRef]
- Li, W.; Li, Z.; Wang, N.; Liu, A.; Zhou, K.; Yuan, H.; Krankowski, A. A satellite-based method for modeling ionospheric slant TEC from GNSS observations: Algorithm and validation. GPS Solut. 2022, 26, 14. [Google Scholar] [CrossRef]
- Abdelazeem, M.; Çelik, R.N.; Elrabbany, A. An Enhanced Real-Time Regional Ionospheric Model Using IGS Real-Time Service (IGS-RTS) Products. J. Navig. 2016, 69, 521–530. [Google Scholar] [CrossRef]
- Zhang, H.; Gao, Z.; Ge, M.; Niu, X.; Huang, L.; Tu, R.; Li, X. On the convergence of ionospheric constrained precise point positioning (IC-PPP) based on undifferential uncombined raw GNSS observations. Sensors 2013, 13, 15708–15725. [Google Scholar] [CrossRef] [PubMed]
- Rovira-Garcia, A.; Juan, J.; Sanz, J.; González-Casado, G. A worldwide ionospheric model for fast precise point positioning. IEEE Trans. Geosci. Remote Sens. 2015, 53, 4596–4604. [Google Scholar] [CrossRef]
- Davis, J.L.; Herring, T.A.; Shapiro, I.I.; Rogers, A.E.E.; Elgered, G. Geodesy by radio interferometry: Effects of atmospheric modeling errors on estimates of baseline length. Radio Sci. 1985, 20, 1593–1607. [Google Scholar] [CrossRef]
- Saastamoinen, J. Atmospheric correction for the troposphere and stratosphere in radio ranging satellites. Geophys. Monogr. Ser. 1972, 15, 247–251. [Google Scholar]
- Collins, J.P.; Langley, R.B. A Tropospheric Delay Model for the User of the Wide Area Augmentation System; Department of Geodesy and Geomatics Engineering, University of New Brunswick: Fredericton, NB, Canada, 1997. [Google Scholar]
- Lagler, K.; Schindelegger, M.; Böhm, J.; Krásná, H.; Nilsson, T. GPT2: Empirical slant delay model for radio space geodetic techniques. Geophys. Res. Lett. 2013, 40, 1069–1073. [Google Scholar] [CrossRef]
- Schüler, T. The TropGrid2 standard tropospheric correction model. GPS Solut. 2014, 18, 123–131. [Google Scholar] [CrossRef]
- Yao, Y.; Xu, C.; Shi, J.; Cao, N.; Zhang, B.; Yang, J. ITG: A new global GNSS tropospheric correction model. Sci. Rep. 2015, 5, 10273. [Google Scholar] [CrossRef]
- Lu, C.; Zus, F.; Ge, M.; Heinkelmann, R.; Dick, G.; Wickert, J.; Schuh, H. Tropospheric delay parameters from numerical weather models for multi-GNSS precise positioning. Atmos. Meas. Tech. 2016, 9, 5965–5973. [Google Scholar] [CrossRef]
- Wilgan, K.; Hadas, T.; Hordyniec, P.; Bosy, J. Real-time precise point positioning augmented with high-resolution numerical weather prediction model. GPS Solut. 2017, 21, 1341–1353. [Google Scholar] [CrossRef]
- Li, X.; Zhang, X.; Ge, M. Regional reference network augmented precise point positioning for instantaneous ambiguity resolution. J. Geod. 2011, 85, 151–158. [Google Scholar] [CrossRef]
- de Oliveira, P.S.; Morel, L.; Fund, F.; Legros, R.; Monico, J.F.G.; Durand, S.; Durand, F. Modeling tropospheric wet delays with dense and sparse network configurations for PPP-RTK. GPS Solut. 2017, 21, 237–250. [Google Scholar] [CrossRef]
- Zheng, F.; Lou, Y.; Gu, S.; Gong, X.; Shi, C. Modeling tropospheric wet delays with national GNSS reference network in China for BeiDou precise point positioning. J. Geod. 2018, 92, 545–560. [Google Scholar] [CrossRef]
- Takeichi, N.; Sakai, T.; Fukushima, S.; Ito, K. Tropospheric delay correction with dense GPS network in L1-SAIF augmentation. GPS Solut. 2010, 14, 185–192. [Google Scholar] [CrossRef]
- Zhang, B.; Ou, J.; Yuan, Y.; Li, Z. Extraction of line-of-sight ionospheric observables from GPS data using precise point positioning. Sci. China Earth Sci. 2012, 55, 1919–1928. [Google Scholar] [CrossRef]
- Li, X.; Wang, B.; Li, X.; Huang, J.; Lyu, H.; Han, X. Principle and performance of multi-frequency and multi-GNSS PPP-RTK. Satell. Navig. 2022, 3, 7. [Google Scholar] [CrossRef]
- Weiss, M.; Shome, P.; Beard, R. On-board Signal Integrity for GPS. In Proceedings of the 23rd International Technical Meeting of the Satellite Division of the Institute of Navigation (ION GNSS 2010), Portland, OR, USA, 21–24 September 2010; pp. 3199–3212. [Google Scholar]
- Kovach, K.; Dobyne, J.; Crews, M.; Miles, C. GPS III Integrity Concept. In Proceedings of the 21st International Technical Meeting of the Satellite Division of the Institute of Navigation (ION GNSS 2008), Savannah, GA, USA, 16–19 September 2008; pp. 2250–2257. [Google Scholar]
- Gunning, K.; Blanch, J.; Walter, T.; de Groot, L.; Norman, L. Design and Evaluation of Integrity Algorithms for PPP in Kinematic Applications. In Proceedings of the 31st International Technical Meeting of the Satellite Division of the Institute of Navigation (ION GNSS+2018), Miami, FL, USA, 24–28 September 2018; pp. 1910–1939. [Google Scholar]
- Speidel, J.; Tossaint, M.; Wallner, S.; Ávila-Rodríguez, J. Integrity for aviation: Comparing future concepts. Inside GNSS 2013, 4, 54–64. [Google Scholar]
- Brown, R.G. Receiver Autonomous Integrity Monitoring. Global Positioning System: Theory and Applications American Institute of Aeronautics and Astronautics; Parkinson, B.W., Spilker, J.J., Jr., Eds.; American Institute of Aeronautics and Astronautics: National Harbor, MD, USA, 1996; Volume II, pp. 143–165. [Google Scholar]
- Blanch, J.; Walter, T.; Enge, P.; Lee, Y.; Pervan, B.; Rippl, M.; Spletter, A. Advanced RAIM User Algorithm Description: Integrity Support Message Processing, Fault Detection, Exclusion, and Protection Level Calculation. In Proceedings of the 25th International Technical Meeting of the Satellite Division of the Institute of Navigation (ION GNSS 2012), Nashville, TN, USA, 17–21 September 2012; pp. 2828–2849. [Google Scholar]
- Seepersad, G.; Bisnath, S. Integrity Monitoring in Precise Point Positioning. In Proceedings of the 26th International Technical Meeting of the Satellite Division of the Institute of Navigation (ION GNSS 2013), Nashville, TN, USA, 16–20 September 2013; pp. 1164–1175. [Google Scholar]
- Jokinen, A.; Feng, S.; Schuster, W.; Ochieng, W.; Hide, C.; Moore, T.; Hill, C. Integrity monitoring of fixed ambiguity Precise Point Positioning (PPP) solutions. Geospat. Inf. Sci. 2013, 16, 141–148. [Google Scholar] [CrossRef]
- Laurichesse, D.; Privat, A. An Open-Source PPP Client Implementation for the CNES PPP-WIZARD Demonstrator. In Proceedings of the 28th International Technical Meeting of the Satellite Division of the Institute of Navigation (ION GNSS+2015), Tampa, FL, USA, 14–18 September 2015; pp. 2780–2789. [Google Scholar]
- Gunning, K.; Blanch, J.; Walter, T. SBAS Corrections for PPP Integrity with Solution Separation. In Proceedings of the 2019 International Technical Meeting of the Institute of Navigation, Reston, VA, USA, 28–31 January 2019; pp. 707–719. [Google Scholar]
- Gunning, K.; Blanch, J.; Walter, T.; de Groot, L.; Norman, L. Integrity for Tightly Coupled PPP and IMU. In Proceedings of the 32nd International Technical Meeting of the Satellite Division of the Institute of Navigation (ION GNSS + 2019), Miami, FL, USA, 16–20 September 2019; pp. 3066–3078. [Google Scholar]
- Blanch, J.; Walter, T.; Norman, L.; Gunning, K.; de Groot, L. Solution Separation-Based FD to Mitigate the Effects of Local Threats on PPP Integrity. In Proceedings of the 2020 IEEE/ION Position, Location and Navigation Symposium (PLANS), Portland, OR, USA, 20–23 April 2020; pp. 1085–1092. [Google Scholar]
- Teunissen, P.J.G.; Khodabandeh, A. Review and principles of PPP-RTK methods. J. Geod. 2015, 89, 217–240. [Google Scholar] [CrossRef]
- Geng, J.; Guo, J.; Meng, X.; Gao, K. Speeding up PPP ambiguity resolution using triple-frequency GPS/BeiDou/Galileo/QZSS data. J. Geod. 2020, 94, 6. [Google Scholar] [CrossRef]
- Naciri, N.; Bisnath, S. An uncombined triple-frequency user implementation of the decoupled clock model for PPP-AR. J. Geod. 2021, 95, 60. [Google Scholar] [CrossRef]
- Wu, Z.; Wang, Q.; Hu, C.; Yu, Z.; Wu, W. Modeling and assessment of five-frequency BDS precise point positioning. Satell. Navig. 2022, 3, 8. [Google Scholar] [CrossRef]
- Laurichesse., D.; Mercier, F. Integer Ambiguity Resolution on Undifferenced GPS Phase Measurements and its Application to PPP. In Proceedings of the 20th International Technical Meeting of the Satellite Division of the Institute of Navigation (ION GNSS 2007), Fort Worth, TX, USA, 25–28 September 2007; pp. 839–848. [Google Scholar]
- Collins, P. Isolating and estimating undifferenced GPS integer ambiguities. In Proceedings of the ION NTM, Savannah, GA, USA, 16–19 September 2008; pp. 720–732. [Google Scholar]
- Liu, Y.; Lou, Y.; Ye, S.; Zhang, R.; Song, W.; Zhang, X.; Li, Q. Assessment of PPP integer ambiguity resolution using GPS, GLONASS and BeiDou (IGSO, MEO) constellations. GPS Solut. 2017, 21, 1647–1659. [Google Scholar] [CrossRef]
- Zhao, Q.; Guo, J.; Liu, S.; Tao, J.; Hu, Z.; Chen, G. A variant of raw observation approach for BDS/GNSS precise point positioning with fast integer ambiguity resolution. Satell. Navig. 2021, 2, 29. [Google Scholar] [CrossRef]
- Collins, P.; Bisnath, S. Issues in Ambiguity Resolution for Precise Point Positioning. In Proceedings of the ION GNSS Meeting, Portland, OR, USA, 19–23 September 2011; pp. 679–687. [Google Scholar]
- Geng, J.; Guo, J.; Chang, H.; Li, X. Toward global instantaneous decimeter-level positioning using tightly coupled multi-constellation and multi-frequency GNSS. J. Geod. 2019, 93, 977–991. [Google Scholar] [CrossRef]
- Geng, J.; Meng, X.; Dodson, A.; Ge, M.; Teferle, F. Rapid re-convergences to ambiguity-fixed solutions in precise point positioning. J. Geod. 2010, 84, 705–714. [Google Scholar] [CrossRef]
- Geng, J.; Shi, C. Rapid initialization of real-time PPP by resolving undifferenced GPS and GLONASS ambiguities simultaneously. J. Geod. 2017, 91, 361–374. [Google Scholar] [CrossRef]
- Zhang, B.; Hou, P.; Zha, J.; Liu, T. PPP–RTK functional models formulated with undifferenced and uncombined GNSS observations. Satell. Navig. 2022, 3, 3. [Google Scholar] [CrossRef]
- Seepersad, G.; Aggrey, J.; Bisnath, S. Do We Need Ambiguity Resolution in Multi-GNSS PPP for Accuracy or Integrity? In Proceedings of the 30th International Technical Meeting of the Satellite Division of the Institute of Navigation (ION GNSS+ 2017), Portland, OR, USA, 25–29 September 2017; pp. 2204–2218. [Google Scholar]





| Routes | SSR | OSR | |||||
|---|---|---|---|---|---|---|---|
| Mode | SPP (SPS) | SBAS (WAAS) | PPP | PPP-RTK | LAAS (DGNSS) | RTK | CORS (NRTK) |
| Observations | UD Pseudorange | UD Pseudorange + carrier-phase | DD Pseudorange | DD Pseudorange + carrier-phase | |||
| Corrections | None | Orbit, clock, ionospheric | Orbit, clock | Orbit, clock, bias, ionospheric, tropospheric | Combined range correction | ||
| Communication Link | No | Yes | Yes | Yes | Yes | ||
| Service Area | Global | Regional | Global | Global/regional | Local | Local | Regional |
| Convergence | Instant | Instant | Minutes to tens of minutes | Seconds to Tens of seconds | Instant | Several seconds | |
| Accuracy | Meter-level | Decimeter to meter-level | Centimeter-level | Decimeter to meter-level | Centimeter-level | ||
| Application fields | Mass market | Aviation | Maritime and ocean-going operations | Aviation | Surveying and mapping | ||
| Typical Operation | Horizontal Accuracy | Vertical Accuracy | Integrity Risk | Time-to-Alert | ||
|---|---|---|---|---|---|---|
| 95% | Alert Limit | 95% | Alert Limit | |||
| En-route | 3.7 km | 7.4 km (oceanic/continental low density) 3.7 km (continental) | / | / | 10−7/h | 5 min |
| Terminal | 740 m | 1.85 km | / | / | 10−7/h | 15 s |
| NPA * | 220 m | 556 m | / | / | 10−7/h | 10 s |
| APV-I ** | 16 m | 40 m | 20 m | 50 m | 2 × 10−7 in any approach | 10 s |
| APV-II | 16 m | 40 m | 8 m | 20 m | 6 s | |
| CAT-I *** | 16 m | 40 m | 4–6 m | 10–35 m | 6 s | |
| Safety Level | Integrity Risk |
|---|---|
| ASIL-A | 10−6–10−5/h |
| ASIL-B/C | 10−7–10−6/h |
| ASIL-D | 10−8–10−7/h |
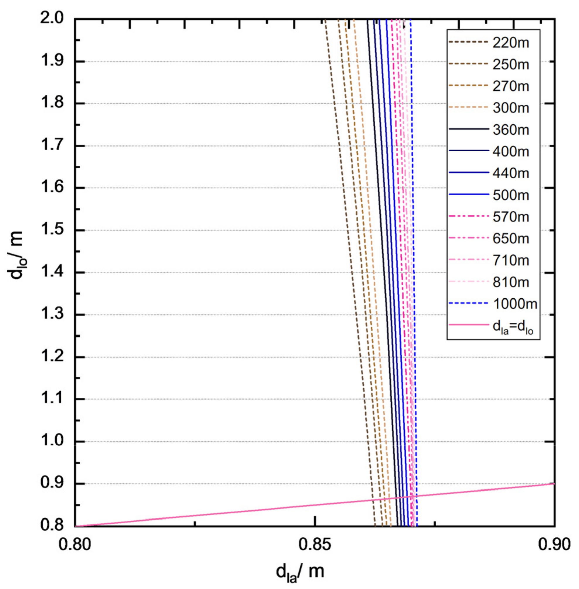
| Design Speed (km/h) | 120 | 100 | 80 | 60 | |||
|---|---|---|---|---|---|---|---|
| Minimum radius of circular curve (m) | 1000 | 700 | 400 | 200 | |||
| Minimum radius of circular curve (m) | Maximum of road superelevation * | 4% | 810 | 500 | 300 | 150 | |
| 6% | 710 | 440 | 270 | 135 | |||
| 8% | 650 | 400 | 250 | 125 | |||
| 10% | 570 | 360 | 220 | 115 | |||
Disclaimer/Publisher’s Note: The statements, opinions and data contained in all publications are solely those of the individual author(s) and contributor(s) and not of MDPI and/or the editor(s). MDPI and/or the editor(s) disclaim responsibility for any injury to people or property resulting from any ideas, methods, instructions or products referred to in the content. |
© 2023 by the authors. Licensee MDPI, Basel, Switzerland. This article is an open access article distributed under the terms and conditions of the Creative Commons Attribution (CC BY) license (https://creativecommons.org/licenses/by/4.0/).
Share and Cite
Chen, L.; Zheng, F.; Gong, X.; Jiang, X. GNSS High-Precision Augmentation for Autonomous Vehicles: Requirements, Solution, and Technical Challenges. Remote Sens. 2023, 15, 1623. https://doi.org/10.3390/rs15061623
Chen L, Zheng F, Gong X, Jiang X. GNSS High-Precision Augmentation for Autonomous Vehicles: Requirements, Solution, and Technical Challenges. Remote Sensing. 2023; 15(6):1623. https://doi.org/10.3390/rs15061623
Chicago/Turabian StyleChen, Liang, Fu Zheng, Xiaopeng Gong, and Xinyuan Jiang. 2023. "GNSS High-Precision Augmentation for Autonomous Vehicles: Requirements, Solution, and Technical Challenges" Remote Sensing 15, no. 6: 1623. https://doi.org/10.3390/rs15061623
APA StyleChen, L., Zheng, F., Gong, X., & Jiang, X. (2023). GNSS High-Precision Augmentation for Autonomous Vehicles: Requirements, Solution, and Technical Challenges. Remote Sensing, 15(6), 1623. https://doi.org/10.3390/rs15061623

