Ecological Risk Assessment and Prediction Based on Scale Optimization—A Case Study of Nanning, a Landscape Garden City in China
Abstract
1. Introduction
2. Materials and Methods
2.1. Study Area
2.2. Data Source and Pre-Processing
2.2.1. Remote Sensing Product Data
2.2.2. Other Data
2.3. Research Methodology
2.3.1. Scale Conversion
2.3.2. Landscape Pattern Index Selection
2.3.3. Semi-Variance Functions
2.3.4. LU Change
2.3.5. ERA Models
2.3.6. The PLUS Model
- (1)
- Selection of driving factors for LU
- (2)
- Neighborhood parameter settings
- (3)
- Scenario setting
- (4)
- Model accuracy verification
3. Results and Analysis
3.1. Optimal Scale Analysis of Ecological Risk
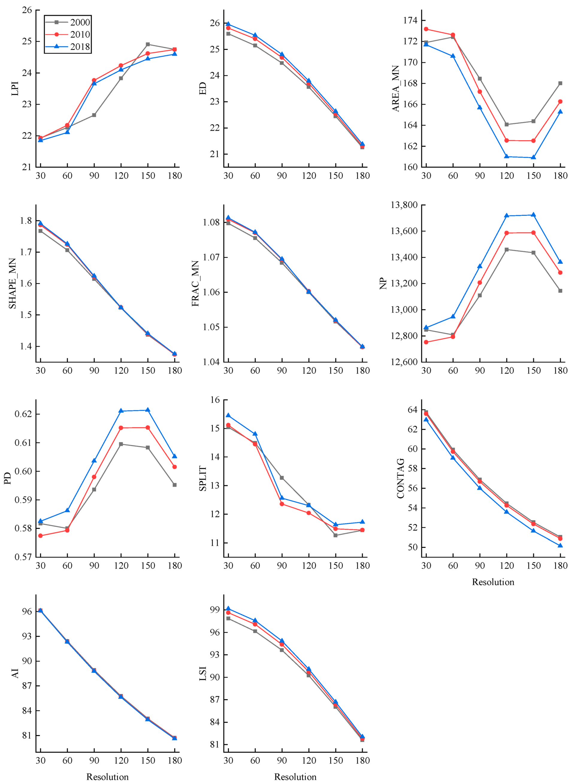
3.1.1. Optimal Granularity Analysis of Landscape Pattern Index
3.1.2. Analysis of the Optimal Extent of Ecological Risk
3.2. Analysis of Temporal and Spatial Variation Characteristics of LU and Ecological Risk at the Optimal Scale
3.2.1. Analysis of Temporal and Spatial Changes in LU
3.2.2. Ecological Risk Change
3.2.3. Distribution of Ecological Risk Land Types
3.3. Ecological Risk Simulation and Prediction
3.3.1. Ecological Risk Prediction in Different Scenarios
3.3.2. Spatial Changes in Ecological Risks under Different Scenarios
4. Discussion
4.1. Analysis of the Impact of Scale Effect on Ecological Risk
4.2. Analysis of Temporal and Spatial Changes in Ecological Risk
4.3. Ecological Risk Prediction and Control
4.4. Study Shortcomings and Recommended Process Improvements
5. Conclusions
- (1)
- SPLIT, SHAPE_MN, and CONTAG indices were sensitive to spatial granularity changes. The spatial granularity of 120 m was the inflection point of each landscape pattern’s grain size response curve. When the spatial extent was 7 km, the semi-variance function fitting model of landscape ecological risk had the best effect. Therefore, the spatial granularity of 120 m and the spatial extent of 7 km make the best scale for ERA in Nanning.
- (2)
- From 2000 to 2018, the area of construction land in Nanning increased significantly, mainly from arable land and woodland. The high-risk areas were mainly distributed on unused land, construction land, and waters. From 2000 to 2018, the ecological risk of Nanning was improved, and the improvement areas were mainly concentrated in the seven districts under the jurisdiction of Nanning.
- (3)
- The temporal and spatial variation characteristics of ecological risk in Nanning under different scenarios in 2036 are different. The overall ecological risk in the EPS was lower than that in the NDS, and the high-risk region’s area was 153.54 km2 less than that of the NDS.
Author Contributions
Funding
Data Availability Statement
Acknowledgments
Conflicts of Interest
References
- Keenan, R.J.; Reams, G.A.; Achard, F.; de Freitas, J.V.; Grainger, A.; Lindquist, E. Dynamics of global forest area: Results from the FAO Global Forest Resources Assessment 2015. For. Ecol. 2015, 352, 9–20. [Google Scholar] [CrossRef]
- De Marinis, P.; De Petris, S.; Sarvia, F.; Manfron, G.; Momo, E.J.; Orusa, T.; Corvino, G.; Sali, G.; Borgogno, E.M. Supporting Pro-Poor Reforms of Agricultural Systems in Eastern DRC (Africa) with Remotely Sensed Data: A Possible Contribution of Spatial Entropy to Interpret Land Management Practices. Land 2021, 10, 1368. [Google Scholar] [CrossRef]
- Yang, Y.; Chen, J.; Huang, R.; Feng, Z.; Zhou, G.; You, H.; Han, X. Construction of Ecological Security Pattern Based on the Importance of Ecological Protection—A Case Study of Guangxi, a Karst Region in China. Int. J. Environ. Res. Public Health 2022, 19, 5699. [Google Scholar] [CrossRef]
- Mantyka-Pringle, C.S.; Visconti, P.; Di Marco, M.; Martin, T.G.; Rondinini, C.; Rhodes, J.R. Climate change modifies risk of global biodiversity loss due to land-cover change. Biol. Conserv. 2015, 187, 103–111. [Google Scholar] [CrossRef]
- Orusa, T.; Cammareri, D.; Borgogno Mondino, E. A Possible Land Cover EAGLE Approach to Overcome Remote Sensing Limitations in the Alps Based on Sentinel-1 and Sentinel-2: The Case of Aosta Valley (NW Italy). Remote Sens. 2023, 15, 178. [Google Scholar] [CrossRef]
- Orusa, T.; Cammareri, D.; Borgogno Mondino, E. A Scalable Earth Observation Service to Map Land Cover in Geomorphological Complex Areas beyond the Dynamic World: An Application in Aosta Valley (NW Italy). Appl. Sci. 2023, 13, 390. [Google Scholar] [CrossRef]
- Mersal, A. Sustainable urban futures: Environmental planning for sustainable urban development. Procedia Environ. Sci. 2016, 34, 49–61. [Google Scholar] [CrossRef]
- Zhao, Z.; Chang, R.; Zillante, G. Challenges for China’s energy conservation and emission reduction. Energy Policy 2014, 74, 709–713. [Google Scholar] [CrossRef]
- Zhao, X.; Ma, X.; Chen, B.; Shang, Y.; Song, M. Recycling, Challenges toward carbon neutrality in China: Strategies and countermeasures. Resour. Conserv. 2022, 176, 105959. [Google Scholar] [CrossRef]
- Lan, Y.; Chen, J.; Yang, Y.; Ling, M.; You, H.; Han, X. Landscape Pattern and Ecological Risk Assessment in Guilin Based on Land Use Change. Int. J. Environ. Res. Public Health 2023, 20, 2045. [Google Scholar] [CrossRef]
- Ji, Y.; Bai, Z.; Hui, J. Landscape Ecological Risk Assessment Based on LUCC—A Case Study of Chaoyang County, China. Forests 2021, 12, 1157. [Google Scholar] [CrossRef]
- Jin, X.; Jin, Y.; Mao, X. Ecological risk assessment of cities on the Tibetan Plateau based on land use/land cover changes—Case study of Delingha City. Ecol. Indic. 2019, 101, 185–191. [Google Scholar] [CrossRef]
- Parent, J.R.; Volin, J.C. Validating Landsat-based landscape metrics with fine-grained land cover data. Ecol. Indic. 2016, 60, 668–677. [Google Scholar] [CrossRef]
- Fu, B.; Liang, D.; Lu, N. Landscape ecology: Coupling of pattern, process, and scale. Chin. Geogr. Sci. 2011, 21, 385–391. [Google Scholar] [CrossRef]
- Chen, J.; Chen, Z.; Huang, R.; You, H.; Han, X.; Yue, T.; Zhou, G. The Effects of Spatial Resolution and Resampling on the Classification Accuracy of Wetland Vegetation Species and Ground Objects: A Study Based on High Spatial Resolution UAV Images. Drones 2023, 7, 61. [Google Scholar] [CrossRef]
- Orusa, T.; Orusa, R.; Viani, A.; Carella, E.; Borgogno Mondino, E. Geomatics and EO Data to Support Wildlife Diseases Assessment at Landscape Level: A Pilot Experience to Map Infectious Keratoconjunctivitis in Chamois and Phenological Trends in Aosta Valley (NW Italy). Remote Sens. 2020, 12, 3542. [Google Scholar] [CrossRef]
- Murray, N.; Keith, D.A.; Bland, L.M.; Ferrari, R.; Lyons, M.B.; Lucas, R.; Pettorelli, N.; Nicholson, E. The role of satellite remote sensing in structured ecosystem risk assessments. Sci. Total Environ. 2018, 619, 249–257. [Google Scholar] [CrossRef]
- Carella, E.; Orusa, T.; Viani, A.; Meloni, D.; Borgogno-Mondino, E.; Orusa, R. Animals. Tentative Remote-Sensing Approach Based on NDVI Entropy to Model Canine Distemper Virus in Wildlife and to Prompt Science-Based Management Policies. Anim. Integr. 2022, 12, 1049. [Google Scholar]
- Fang, S.; Zhao, Y.; Han, L.; Ma, C. Analysis of landscape patterns of arid valleys in China, based on grain size effect. Sustainability 2017, 9, 2263. [Google Scholar] [CrossRef]
- Alhamad, M.N.; Alrababah, M.A.; Feagin, R.A.; Gharaibeh, A. Mediterranean drylands: The effect of grain size and domain of scale on landscape metrics. Ecol. Indic. 2011, 11, 611–621. [Google Scholar] [CrossRef]
- Tian, P.; Cao, L.; Li, J.; Pu, R.; Shi, X.; Wang, L.; Liu, R.; Xu, H.; Tong, C.; Zhou, Z. Landscape grain effect in Yancheng coastal wetland and its response to landscape changes. Int. J. Environ. Res. Public Health 2019, 16, 2225. [Google Scholar] [CrossRef] [PubMed]
- Bailey, D.; Herzog, F.; Augenstein, I.; Aviron, S.p.; Billeter, R.; Szerencsits, E.; Baudry, J. Thematic resolution matters: Indicators of landscape pattern for European agro-ecosystems. Ecol. Indic. 2007, 7, 692–709. [Google Scholar] [CrossRef]
- Li, Z.; Guan, D.; Cheng, L. Study on the gradient change of the landscape pattern in the Three Gorges Reservoir area by coupling the optimal grain size method and multidirectional gradient transect method. Environ. Sci. Pollut. Res. 2020, 27, 44585–44603. [Google Scholar] [CrossRef]
- Smith, A.C.; Koper, N.; Francis, C.M.; Fahrig, L. Confronting collinearity: Comparing methods for disentangling the effects of habitat loss and fragmentation. Landsc. Ecol. 2009, 24, 1271–1285. [Google Scholar] [CrossRef]
- Wang, H.; Li, C. Analysis of scale effect and change characteristics of ecological landscape pattern in urban waters. Arab. J. Geosci. 2021, 14, 1–8. [Google Scholar] [CrossRef]
- Shang, Y.; Ye, X.; Dong, L.; Liu, S.; Du, T.; Wang, G. Landscape Pattern Evolution in a Mining Citiy: An Urban Life Cycle Perspective. Sustainability 2022, 14, 8492. [Google Scholar] [CrossRef]
- Ai, J.; Yu, K.; Zeng, Z.; Yang, L.; Liu, Y.; Liu, J. Assessing the dynamic landscape ecological risk and its driving forces in an island city based on optimal spatial scales: Haitan Island, China. Ecol. Indic. 2022, 137, 108771. [Google Scholar] [CrossRef]
- Wu, J.; Zhu, Q.; Qiao, N.; Wang, Z.; Sha, W.; Luo, K.; Wang, H.; Feng, Z. Ecological risk assessment of coal mine area based on “source-sink” landscape theory—A case study of Pingshuo mining area. J. Clean. Prod. 2021, 295, 126371. [Google Scholar] [CrossRef]
- Zhang, W.; Chang, W.J.; Zhu, Z.C.; Hui, Z. Landscape ecological risk assessment of Chinese coastal cities based on land use change. Appl. Geogr. 2020, 117, 102174. [Google Scholar] [CrossRef]
- Liu, D.; Chen, H.; Zhang, H.; Geng, T.; Shi, Q. Spatiotemporal evolution of landscape ecological risk based on geomorphological regionalization during 1980–2017: A case study of Shaanxi Province, China. Sustainability 2020, 12, 941. [Google Scholar] [CrossRef]
- Leuven, R.S.; Poudevigne, I. Riverine landscape dynamics and ecological risk assessment. Freshw. Biol. 2002, 47, 845–865. [Google Scholar] [CrossRef]
- Li, W.; Wang, Y.; Xie, S.; Sun, R.; Cheng, X. Impacts of landscape multifunctionality change on landscape ecological risk in a megacity, China: A case study of Beijing. Ecol. Indic. 2020, 117, 106681. [Google Scholar] [CrossRef]
- Wang, H.; Liu, X.; Zhao, C.; Chang, Y.; Liu, Y.; Zang, F. Spatial-temporal pattern analysis of landscape ecological risk assessment based on land use/land cover change in Baishuijiang National nature reserve in Gansu Province, China. Ecol. Indic. 2021, 124, 107454. [Google Scholar] [CrossRef]
- Xu, W.; Wang, J.; Zhang, M.; Li, S. Construction of landscape ecological network based on landscape ecological risk assessment in a large-scale opencast coal mine area. J. Clean. Prod. 2021, 286, 125523. [Google Scholar] [CrossRef]
- Guan, D.; Li, H.; Inohae, T.; Su, W.; Nagaie, T.; Hokao, K. Modeling urban land use change by the integration of cellular automaton and Markov model. Ecol. Model. 2011, 222, 3761–3772. [Google Scholar] [CrossRef]
- Batty, M.; Couclelis, H.; Eichen, M.J.E.; Planning, P.B. Urban systems as cellular automata. Environ. Plan. B Plan. Des. 1997, 24, 159–164. [Google Scholar] [CrossRef]
- Verburg, P.H.; Soepboer, W.; Veldkamp, A.; Limpiada, R.; Espaldon, V.; Mastura, S.S. Modeling the spatial dynamics of regional land use: The CLUE-S model. Environ. Manag. 2002, 30, 391–405. [Google Scholar] [CrossRef]
- Liang, X.; Guan, Q.; Clarke, K.C.; Liu, S.; Wang, B.; Yao, Y. Understanding the drivers of sustainable land expansion using a patch-generating land use simulation (PLUS) model: A case study in Wuhan, China. Comput. Environ. 2021, 85, 101569. [Google Scholar] [CrossRef]
- Wang, Z.; Li, X.; Mao, Y.; Li, L.; Wang, X.; Lin, Q. Dynamic simulation of land use change and assessment of carbon storage based on climate change scenarios at the city level: A case study of Bortala, China. Ecol. Indic. 2022, 134, 108499. [Google Scholar] [CrossRef]
- Xie, L.; Wang, H.; Liu, S. The ecosystem service values simulation and driving force analysis based on land use/land cover: A case study in inland rivers in arid areas of the Aksu River Basin, China. Ecol. Indic. 2022, 138, 108828. [Google Scholar] [CrossRef]
- Xiao, Z.; Wang, Z.; Huang, M.; Luo, X.; Liang, Y.; Lin, Z. Urbanization in an underdeveloped city—Nanning, China and its impact on a heavy rainfall event in July. Earth Space Sci. 2020, 7, e2019EA000991. [Google Scholar] [CrossRef]
- Wu, H.; Long, K.; Lu, D.; Mo, Y.; Yang, Q.; Wei, X. Occurrence and formation of halobenzoquinones in indoor and outdoor swimming pool waters of Nanning City, Southwest China. Environ. Sci. Pollut. Res. 2019, 26, 31537–31545. [Google Scholar] [CrossRef] [PubMed]
- Yin, L.; Chen, H.; Li, W. Multi-scale analysis of landscape pattern of Hunan Province. In Proceedings of the 2014 Third International Workshop on Earth Observation and Remote Sensing Applications (EORSA), Changsha, China, 11–14 June 2014; pp. 309–313. [Google Scholar]
- Liu, Y.; Liu, Y.; Li, J.; Lu, W.; Wei, X.; Sun, C. Evolution of landscape ecological risk at the optimal scale: A case study of the open coastal wetlands in Jiangsu, China. Int. J. Environ. Res. Public Health 2018, 15, 1691. [Google Scholar] [CrossRef] [PubMed]
- Ju, H.; Niu, C.; Zhang, S.; Jiang, W.; Zhang, Z.; Zhang, X.; Cui, Y. Spatiotemporal patterns and modifiable areal unit problems of the landscape ecological risk in coastal areas: A case study of the Shandong Peninsula. J. Clean. Prod. 2021, 310, 127522. [Google Scholar] [CrossRef]
- O’Neill, R.V.; Krummel, J.; Gardner, R.; Sugihara, G.; Jackson, B.; DeAngelis, D.; Milne, B.; Turner, M.G.; Zygmunt, B.; Christensen, S. Indices of landscape pattern. Landsc. Ecol. 1988, 1, 153–162. [Google Scholar] [CrossRef]
- Zhang, Q.; Chen, C.; Wang, J.; Yang, D.; Zhang, Y.; Wang, Z.; Gao, M. The spatial granularity effect, changing landscape patterns, and suitable landscape metrics in the Three Gorges Reservoir Area, 1995–2015. Ecol. Indic. 2020, 114, 106259. [Google Scholar] [CrossRef]
- Yao, X.; Yu, K.; Deng, Y.; Liu, J.; Lai, Z. Spatial variability of soil organic carbon and total nitrogen in the hilly red soil region of Southern China. J. For. Res. 2020, 31, 2385–2394. [Google Scholar] [CrossRef]
- Yang, Y.; Chen, J.; Lan, Y.; Zhou, G.; You, H.; Han, X.; Wang, Y.; Shi, X. Landscape Pattern and Ecological Risk Assessment in Guangxi Based on Land Use Change. Int. J. Environ. Res. Public Health 2022, 19, 1595. [Google Scholar] [CrossRef]
- Li, C.; Wu, Y.; Gao, B.; Zheng, K.; Wu, Y.; Li, C. Multi-scenario simulation of ecosystem service value for optimization of land use in the Sichuan-Yunnan ecological barrier, China. Ecol. Indic. 2021, 132, 108328. [Google Scholar] [CrossRef]
- Gibson, C.C.; Ostrom, E.; Ahn, T.-K. The concept of scale and the human dimensions of global change: A survey. Ecol. Econ. 2000, 32, 217–239. [Google Scholar] [CrossRef]
- Castilla, G.; Larkin, K.; Linke, J.; Hay, G. The impact of thematic resolution on the patch-mosaic model of natural landscapes. Landsc. Ecol. 2009, 24, 15–23. [Google Scholar] [CrossRef]
- Li, Q.; Jin, T.; Peng, Q.; Lin, J.; Zhang, D.; Huang, J.; Liu, B. Identifying the extent of the spatial expression of landscape fragmentation based on scale effect analysis in Southwest China. Ecol. Indic. 2022, 141, 109120. [Google Scholar] [CrossRef]
- Fu, B.; Lu, Y. The progress and perspectives of landscape ecology in China. Prog. Phys. Geogr. 2006, 30, 232–244. [Google Scholar] [CrossRef]










| 2018–2036 | NDS | EPS | ||||||||||
|---|---|---|---|---|---|---|---|---|---|---|---|---|
| T1 | T2 | T3 | T4 | T5 | T6 | T1 | T2 | T3 | T4 | T5 | T6 | |
| T1 | 1 | 1 | 1 | 1 | 1 | 0 | 1 | 1 | 1 | 0 | 1 | 0 |
| T2 | 1 | 1 | 1 | 0 | 1 | 0 | 0 | 1 | 1 | 0 | 0 | 0 |
| T3 | 1 | 1 | 1 | 1 | 1 | 0 | 0 | 1 | 1 | 0 | 0 | 0 |
| T4 | 1 | 1 | 1 | 1 | 1 | 1 | 0 | 0 | 1 | 1 | 0 | 0 |
| T5 | 1 | 1 | 0 | 0 | 1 | 0 | 1 | 0 | 1 | 0 | 1 | 0 |
| T6 | 0 | 0 | 0 | 1 | 0 | 1 | 1 | 1 | 1 | 1 | 1 | 1 |
| Spatial Extent/km | Year | C0 | C0 + C | C/(C0 + C) | A/m | RSS | R2 |
|---|---|---|---|---|---|---|---|
| 4 | 2000 | 0.652 | 2.098 | 0.689 | 31,900 | 0.0250 | 0.975 |
| 2010 | 0.709 | 2.084 | 0.660 | 32,900 | 0.0557 | 0.944 | |
| 2018 | 0.690 | 1.974 | 0.650 | 31,400 | 0.0466 | 0.943 | |
| 5 | 2000 | 0.399 | 1.881 | 0.788 | 32,300 | 0.0431 | 0.965 |
| 2010 | 0.437 | 1.85 | 0.764 | 32,600 | 0.106 | 0.919 | |
| 2018 | 0.431 | 1.767 | 0.756 | 31,400 | 0.0921 | 0.918 | |
| 6 | 2000 | 0.3 | 1.600 | 0.813 | 32,100 | 0.0189 | 0.976 |
| 2010 | 0.204 | 1.631 | 0.875 | 27,800 | 0.0474 | 0.958 | |
| 2018 | 0.294 | 1.455 | 0.798 | 31,100 | 0.0245 | 0.96 | |
| 7 | 2000 | 0.208 | 1.447 | 0.856 | 33,500 | 0.0560 | 0.976 |
| 2010 | 0.165 | 1.352 | 0.878 | 32,700 | 0.0331 | 0.959 | |
| 2018 | 0.172 | 1.277 | 0.865 | 31,800 | 0.0199 | 0.959 | |
| 8 | 2000 | 0.291 | 1.481 | 0.804 | 39,000 | 0.0245 | 0.969 |
| 2010 | 0.349 | 1.477 | 0.764 | 40,900 | 0.0682 | 0.927 | |
| 2018 | 0.331 | 1.382 | 0.76 | 39,300 | 0.065 | 0.916 | |
| 9 | 2000 | 0.123 | 1.477 | 0.917 | 36,400 | 0.0333 | 0.962 |
| 2010 | 0.177 | 1.487 | 0.881 | 36,700 | 0.0538 | 0.908 | |
| 2018 | 0.192 | 1.379 | 0.861 | 36,200 | 0.0429 | 0.938 | |
| 10 | 2000 | 0.218 | 1.504 | 0.855 | 35,000 | 0.0667 | 0.85 |
| 2010 | 0.323 | 1.517 | 0.787 | 36,600 | 0.1170 | 0.753 | |
| 2018 | 0.290 | 1.400 | 0.793 | 35,200 | 0.0972 | 0.745 |
| Land-Use Types | 2000 | 2010 | 2018 |
|---|---|---|---|
| Arable land | 7592.08 | 7547.30 | 7385.76 |
| Woodland | 11,663.80 | 11,663.63 | 11,612.40 |
| Grassland | 1350.19 | 1322.44 | 1301.52 |
| Waters | 648.20 | 621.06 | 617.41 |
| Construction Land | 827.60 | 928.40 | 1163.92 |
| Unused land | 2.29 | 1.93 | 3.73 |
| 2000 | 2018 | ||||||
|---|---|---|---|---|---|---|---|
| Arable Land | Woodland | Grassland | Waters | Construction Land | Unused Land | Sum | |
| Arable land | 7273.60 | 59.27 | 9.09 | 10.12 | 239.85 | 0.16 | 7592.08 |
| Woodland | 54.66 | 11,508.72 | 21.12 | 7.75 | 71.52 | 0.01 | 11,663.80 |
| Grassland | 7.57 | 32.52 | 1268.57 | 1.56 | 39.97 | 0 | 1350.19 |
| Waters | 33.49 | 7.00 | 2.10 | 596.26 | 7.69 | 1.66 | 648.20 |
| Construction Land | 16.21 | 4.54 | 0.62 | 1.34 | 804.89 | 0 | 827.60 |
| Unused land | 0 | 0 | 0 | 0.39 | 0 | 1.911 | 2.29 |
| Sum | 7385.54 | 11,612.04 | 1301.50 | 617.41 | 1163.92 | 3.73 | 22,084.16 |
| Year | Scenario | Low-Risk | Low-Medium-Risk | Medium-Risk | Medium-High-Risk | High Risk |
|---|---|---|---|---|---|---|
| 2018 | 3841.10 | 5670.81 | 5249.15 | 4689.27 | 2600.53 | |
| 2036 | NDS | 4134.67 | 5680.27 | 5316.57 | 4203.14 | 2715.11 |
| EPS | 4049.74 | 5786.77 | 5353.92 | 4297.75 | 2561.57 | |
| 2018–2036 | NDS | 293.57 | 9.46 | 67.42 | −486.13 | 114.58 |
| EPS | 208.64 | 115.96 | 104.77 | −391.52 | −38.95 |
| Type | Year | NP | Ci | DOi | Si | Ei | Fi |
|---|---|---|---|---|---|---|---|
| Arable land | 2000 | 5584 | 0.0074 | 0.2945 | 0.0731 | 0.0852 | 0.1905 |
| 2010 | 5629 | 0.0075 | 0.2971 | 0.0739 | 0.0853 | 0.1905 | |
| 2018 | 5764 | 0.0078 | 0.2946 | 0.0764 | 0.0857 | 0.1905 | |
| Woodland | 2000 | 3436 | 0.0029 | 0.3647 | 0.0373 | 0.0856 | 0.0952 |
| 2010 | 3424 | 0.0029 | 0.3642 | 0.0373 | 0.0855 | 0.0952 | |
| 2018 | 3400 | 0.0029 | 0.3623 | 0.0373 | 0.0851 | 0.0952 | |
| Grassland | 2000 | 3161 | 0.0234 | 0.1216 | 0.3094 | 0.1288 | 0.1429 |
| 2010 | 3212 | 0.0243 | 0.1212 | 0.3184 | 0.1319 | 0.1429 | |
| 2018 | 3216 | 0.0247 | 0.1203 | 0.3238 | 0.1335 | 0.1429 | |
| Waters | 2000 | 2372 | 0.0366 | 0.0872 | 0.5583 | 0.2032 | 0.2381 |
| 2010 | 2428 | 0.0391 | 0.0872 | 0.5895 | 0.2138 | 0.2381 | |
| 2018 | 2389 | 0.0387 | 0.0864 | 0.5882 | 0.2131 | 0.2381 | |
| Construction Land | 2000 | 4712 | 0.0569 | 0.1280 | 0.6163 | 0.2390 | 0.0476 |
| 2010 | 4706 | 0.0507 | 0.1299 | 0.5490 | 0.2160 | 0.0476 | |
| 2018 | 4774 | 0.0410 | 0.1357 | 0.4411 | 0.1800 | 0.0476 | |
| Unused land | 2000 | 3 | 0.0131 | 0.0004 | 5.6210 | 1.6929 | 0.2857 |
| 2010 | 5 | 0.0259 | 0.0004 | 8.6106 | 2.5962 | 0.2857 | |
| 2018 | 8 | 0.0215 | 0.0008 | 5.6351 | 1.7014 | 0.2857 |
Disclaimer/Publisher’s Note: The statements, opinions and data contained in all publications are solely those of the individual author(s) and contributor(s) and not of MDPI and/or the editor(s). MDPI and/or the editor(s) disclaim responsibility for any injury to people or property resulting from any ideas, methods, instructions or products referred to in the content. |
© 2023 by the authors. Licensee MDPI, Basel, Switzerland. This article is an open access article distributed under the terms and conditions of the Creative Commons Attribution (CC BY) license (https://creativecommons.org/licenses/by/4.0/).
Share and Cite
Chen, J.; Yang, Y.; Feng, Z.; Huang, R.; Zhou, G.; You, H.; Han, X. Ecological Risk Assessment and Prediction Based on Scale Optimization—A Case Study of Nanning, a Landscape Garden City in China. Remote Sens. 2023, 15, 1304. https://doi.org/10.3390/rs15051304
Chen J, Yang Y, Feng Z, Huang R, Zhou G, You H, Han X. Ecological Risk Assessment and Prediction Based on Scale Optimization—A Case Study of Nanning, a Landscape Garden City in China. Remote Sensing. 2023; 15(5):1304. https://doi.org/10.3390/rs15051304
Chicago/Turabian StyleChen, Jianjun, Yanping Yang, Zihao Feng, Renjie Huang, Guoqing Zhou, Haotian You, and Xiaowen Han. 2023. "Ecological Risk Assessment and Prediction Based on Scale Optimization—A Case Study of Nanning, a Landscape Garden City in China" Remote Sensing 15, no. 5: 1304. https://doi.org/10.3390/rs15051304
APA StyleChen, J., Yang, Y., Feng, Z., Huang, R., Zhou, G., You, H., & Han, X. (2023). Ecological Risk Assessment and Prediction Based on Scale Optimization—A Case Study of Nanning, a Landscape Garden City in China. Remote Sensing, 15(5), 1304. https://doi.org/10.3390/rs15051304

