Diurnal and Seasonal Variability of the Atmospheric Boundary-Layer Height in Marseille (France) for Mistral and Sea/Land Breeze Conditions
Abstract
1. Introduction
2. Materials and Methods
2.1. Instrumentation and Measurement Sites
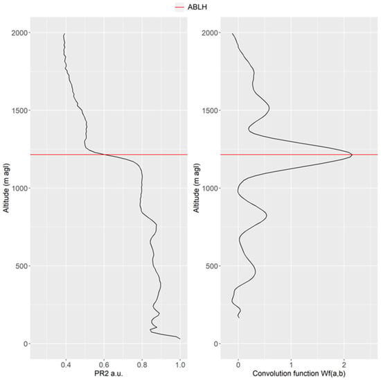
2.2. Haar Method: Definition and Choice of Parameters
2.3. Calculation of Depolarisation Ratio
2.4. Models
2.5. Description of Meteorological Conditions
3. Results and Discussion
3.1. Overview of the ABLH Timeseries and the PR2 Quicklooks
3.2. Diurnal Cycle, Characteristics, and Seasonal Variability
3.3. Aerosol Layer Composition and Dynamics
3.4. Comparison with the Literature
3.4.1. Mistral
3.4.2. Sea/Land Breezes
4. Advantages and Limitations of Instruments and Methods
4.1. Lidar Limitations
4.2. Haar Wavelet Method Limitations
4.3. Impact of the Choice of Dilation on the ABLH
4.4. Recommendations for Undetermined Situations
5. Conclusions
- The ABLH retrieval calculations need to be carefully assessed. In cases when the Haar method is chosen, there is no overall difference whatever the chosen dilation. However, dense aerosol layers on top of the ABL and/or a weak aerosol gradient between the atmospheric boundary layer and the free atmosphere could limit the detection of the ABLH by algorithms.
- The blind zone associated with lidar instruments is a limitation in cases of an ABLH lower than the blind zone (e.g., winter nighttime ABLH); therefore, using a complementary instrument that can detect low ABLH, such as a ceilometer, is suggested.
- A combination of green and near-infrared channels, as performed in this study, is found to be helpful when improving the detection and study of the ABLH.
- Enhancing the lidar performance to separate the parallel and perpendicular components of the near-infrared signal would be of benefit.
- Lidar measurements alone are limited when used to determine the ABLH in complex cases; for example, when there are multiple aerosol layers in the lower part of the atmosphere. Therefore, 3D models and/or complementary measurements, such as thermodynamic variables, are necessary to understand the atmospheric dynamics of the region of study.
Author Contributions
Funding
Data Availability Statement
Acknowledgments
Conflicts of Interest
References
- Stull, R.B. An Introduction to Boundary Layer Meteorology; Springer Science & Business Media: Berlin/Heidelberg, Germany, 1988. [Google Scholar]
- Gu, J.; Zhang, Y.; Yang, N.; Wang, R. Diurnal Variability of the Planetary Boundary Layer Height Estimated from Radiosonde Data. Earth Planet. Phys. 2020, 4, 479–492. [Google Scholar] [CrossRef]
- Wang, M.; Tang, G.; Liu, Y.; Ma, M.; Yu, M.; Hu, B.; Zhang, Y.; Wang, Y.; Wang, Y. The Difference in the Boundary Layer Height between Urban and Suburban Areas in Beijing and Its Implications for Air Pollution. Atmos. Environ. 2021, 260, 118552. [Google Scholar] [CrossRef]
- Brahmanandam, P.S.; Kumar, V.N.; Kumar, G.A.; Rao, M.P.; Samatha, K.; Ram, S.T. A Few Important Features of Global Atmospheric Boundary Layer Heights Estimated Using COSMIC Radio Occultation Retrieved Data. Indian J. Phys. 2020, 94, 555–563. [Google Scholar] [CrossRef]
- Alexiou, D.; Kokkalis, P.; Papayannis, A.; Rocadenbosch, F.; Argyrouli, A.; Tsaknakis, G.; Tzanis, C.G. Planetary Boundary Layer Height Variability over Athens, Greece, Based on the Synergy of Raman Lidar and Radiosonde Data: Application of the Kalman Filter and Other Techniques (2011–2016). EPJ Web Conf. 2018, 176, 06007. [Google Scholar] [CrossRef]
- Sicard, M.; Perez, C.; Comeren, A.; Baldasano, J.M.; Rocadenbosch, F. Determination of the Mixing Layer Height from Regular Lidar Measurements in the Barcelona Area. In Remote Sensing of Clouds and the Atmosphere VIII; SPIE: Barcelona, Spain, 2004; Volume 5235, pp. 505–516. [Google Scholar]
- Pandolfi, M.; Martucci, G.; Querol, X.; Alastuey, A.; Wilsenack, F.; Frey, S.; O’Dowd, C.D.; Dall’Osto, M. Continuous Atmospheric Boundary Layer Observations in the Coastal Urban Area of Barcelona during SAPUSS. Atmos. Chem. Phys. 2013, 13, 4983–4996. [Google Scholar] [CrossRef]
- Peña, A.; Gryning, S.-E.; Hahmann, A.N. Observations of the Atmospheric Boundary Layer Height under Marine Upstream Flow Conditions at a Coastal Site: COASTAL BOUNDARY LAYER HEIGHT. J. Geophys. Res. Atmos. 2013, 118, 1924–1940. [Google Scholar] [CrossRef]
- Lelandais, L.; Xueref-Remy, I.; Riandet, A.; Blanc, P.E.; Armengaud, A.; Oppo, S.; Yohia, C.; Ramonet, M.; Delmotte, M. Analysis of 5.5 Years of Atmospheric CO2, CH4, CO Continuous Observations (2014–2020) and Their Correlations, at the Observatoire de Haute Provence, a Station of the ICOS-France National Greenhouse Gases Observation Network. Atmos. Environ. 2022, 277, 119020. [Google Scholar] [CrossRef]
- Marley, H.G.; Dirks, K.N.; Neverman, A.J.; McKendry, I.; Salmond, J.A. The Relationship between Brown Haze, Atmospheric Boundary Layer Structure, and Air Pollution in an Urban Area of Complex Coastal Terrain. Atmos. Pollut. Res. 2021, 12, 101057. [Google Scholar] [CrossRef]
- Banks, R.F.; Baldasano, J.M. Impact of WRF Model PBL Schemes on Air Quality Simulations over Catalonia, Spain. Sci. Total Environ. 2016, 572, 98–113. [Google Scholar] [CrossRef]
- Kotthaus, S.; Bravo-Aranda, J.A.; Collaud Coen, M.; Guerrero-Rascado, J.L.; Costa, M.J.; Cimini, D.; O’Connor, E.J.; Hervo, M.; Alados-Arboledas, L.; Jiménez-Portaz, M.; et al. Atmospheric Boundary Layer Height from Ground-Based Remote Sensing: A Review of Capabilities and Limitations. Atmos. Meas. Tech. 2022, 16, 433–479. [Google Scholar] [CrossRef]
- Li, D.; Wu, Y.; Gross, B.; Moshary, F. Capabilities of an Automatic Lidar Ceilometer to Retrieve Aerosol Characteristics within the Planetary Boundary Layer. Remote Sens. 2021, 13, 3626. [Google Scholar] [CrossRef]
- Dang, R.; Yang, Y.; Li, H.; Hu, X.-M.; Wang, Z.; Huang, Z.; Zhou, T.; Zhang, T. Atmosphere Boundary Layer Height (ABLH) Determination under Multiple-Layer Conditions Using Micro-Pulse Lidar. Remote Sens. 2019, 11, 263. [Google Scholar] [CrossRef]
- Cros, B.; Durand, P.; Cachier, H.; Drobinski, P.; Fréjafon, E.; Kottmeier, C.; Perros, P.E.; Peuch, V.-H.; Ponche, J.-L.; Robin, D.; et al. The ESCOMPTE Program: An Overview. Atmos. Res. 2004, 69, 241–279. [Google Scholar] [CrossRef]
- Corsmeier, U.; Behrendt, R.; Drobinski, P.; Kottmeier, C. The Mistral and Its Effect on Air Pollution Transport and Vertical Mixing. Atmos. Res. 2005, 74, 275–302. [Google Scholar] [CrossRef]
- Drobinski, P.; Bastin, S.; Guenard, V.; Caccia, J.-L.; Dabas, A.M.; Delville, P.; Protat, A.; Reitebuch, O.; Werner, C. Summer Mistral at the Exit of the Rhône Valley. Q. J. R. Meteorol. Soc. 2005, 131, 353–375. [Google Scholar] [CrossRef]
- Pettre, P. On the Problem of Violent Valley Winds. J. Atmos. Sci. 1982, 39, 542–554. [Google Scholar] [CrossRef]
- Miller, S.T.K.; Keim, B.D.; Talbot, R.W.; Mao, H. Sea Breeze: Structure, Forecasting, and Impacts. Rev. Geophys. 2003, 41, 1–31. [Google Scholar] [CrossRef]
- Bastin, S.; Drobinski, P. Sea-Breeze-Induced Mass Transport over Complex Terrain in South-Eastern France: A Case-Study. Q. J. R. Meteorol. Soc. 2006, 132, 405–423. [Google Scholar] [CrossRef]
- Augustin, P.; Delbarre, H.; Lohou, F.; Campistron, B.; Puygrenier, V.; Cachier, H.; Lombardo, T. Investigation of Local Meteorological Events and Their Relationship with Ozone and Aerosols during an ESCOMPTE Photochemical Episode. Ann. Geophys. 2006, 24, 2809–2822. [Google Scholar] [CrossRef]
- Mestayer, P.G.; Durand, P.; Augustin, P.; Bastin, S.; Bonnefond, J.-M.; Bénech, B.; Campistron, B.; Coppalle, A.; Delbarre, H.; Dousset, B.; et al. The Urban Boundary-Layer Field Campaign in Marseille (Ubl/Clu-Escompte): Set-up and First Results. Bound.-Layer Meteorol. 2005, 114, 315–365. [Google Scholar] [CrossRef]
- Lee, Y.-H.; Park, M.-S.; Choi, Y. Planetary Boundary-Layer Structure at an Inland Urban Site under Sea Breeze Penetration. Asia-Pac. J. Atmos. Sci. 2021, 57, 701–715. [Google Scholar] [CrossRef]
- Puygrenier, V.; Lohou, F.; Campistron, B.; Saïd, F.; Pigeon, G.; Bénech, B.; Serça, D. Investigation on the Fine Structure of Sea-Breeze during ESCOMPTE Experiment. Atmos. Res. 2005, 74, 329–353. [Google Scholar] [CrossRef]
- Brooks, I.M. Finding Boundary Layer Top: Application of a Wavelet Covariance Transform to Lidar Backscatter Profiles. J. Atmos. Ocean. Technol. 2003, 20, 1092–1105. [Google Scholar] [CrossRef]
- Baars, H.; Ansmann, A.; Engelmann, R.; Althausen, D. Continuous Monitoring of the Boundary-Layer Top with Lidar. Atmos. Chem. Phys. 2008, 8, 7281–7296. [Google Scholar] [CrossRef]
- Koffi, E.N.; Bergamaschi, P.; Karstens, U.; Krol, M.; Segers, A.; Schmidt, M.; Levin, I.; Vermeulen, A.T.; Fisher, R.E.; Kazan, V.; et al. Evaluation of the Boundary Layer Dynamics of the TM5 Model over Europe. Geosci. Model Dev. 2016, 9, 3137–3160. [Google Scholar] [CrossRef]
- Toledo, D.; Córdoba-Jabonero, C.; Adame, J.A.; De La Morena, B.; Gil-Ojeda, M. Estimation of the Atmospheric Boundary Layer Height during Different Atmospheric Conditions: A Comparison on Reliability of Several Methods Applied to Lidar Measurements. Int. J. Remote Sens. 2017, 38, 3203–3218. [Google Scholar] [CrossRef]
- Wang, D.; Stachlewska, I.S.; Song, X.; Heese, B.; Nemuc, A. Variability of the Boundary Layer Over an Urban Continental Site Based on 10 Years of Active Remote Sensing Observations in Warsaw. Remote Sens. 2020, 12, 340. [Google Scholar] [CrossRef]
- Caicedo, V.; Rappenglück, B.; Lefer, B.; Morris, G.; Toledo, D.; Delgado, R. Comparison of Aerosol Lidar Retrieval Methods for Boundary Layer Height Detection Using Ceilometer Aerosol Backscatter Data. Atmos. Meas. Tech. 2017, 10, 1609–1622. [Google Scholar] [CrossRef]
- Davis, K.J.; Gamage, N.; Hagelberg, C.R.; Kiemle, C. An Objective Method for Deriving Atmospheric Structure from Airborne Lidar Observations. J. Atmos. Ocean. Technol. 2000, 17, 1455–1468. [Google Scholar] [CrossRef]
- Mortier, A. Tendances et Variabilités de l’aérosol Atmosphérique à l’aide Du Couplage Lidar/Photomètre Sur Les Sites de Lille et Dakar. Ph.D. Thesis, Lille 1, Villeneuve-d’Ascq, France, 2013. [Google Scholar]
- Compton, J.C.; Delgado, R.; Berkoff, T.A.; Hoff, R.M. Determination of Planetary Boundary Layer Height on Short Spatial and Temporal Scales: A Demonstration of the Covariance Wavelet Transform in Ground-Based Wind Profiler and Lidar Measurements. J. Atmos. Ocean. Technol. 2013, 30, 1566–1575. [Google Scholar] [CrossRef]
- Bohlmann, S.; Baars, H.; Radenz, M.; Engelmann, R.; Macke, A. Ship-Borne Aerosol Profiling with Lidar over the Atlantic Ocean: From Pure Marine Conditions to Complex Dust–Smoke Mixtures. Atmos. Chem. Phys. 2018, 18, 9661–9679. [Google Scholar] [CrossRef]
- Groß, S.; Esselborn, M.; Weinzierl, B.; Wirth, M.; Fix, A.; Petzold, A. Aerosol Classification by Airborne High Spectral Resolution Lidar Observations. ACP 2013, 13, 2487–2505. [Google Scholar] [CrossRef]
- Xie, C.; Nishizawa, T.; Sugimoto, N.; Matsui, I.; Wang, Z. Characteristics of Aerosol Optical Properties in Pollution and Asian Dust Episodes over Beijing, China. Appl. Opt. 2008, 47, 4945. [Google Scholar] [CrossRef]
- Freudenthaler, V.; Esselborn, M.; Wiegner, M.; Heese, B.; Tesche, M.; Ansmann, A.; MüLLER, D.; Althausen, D.; Wirth, M.; Fix, A.; et al. Depolarization Ratio Profiling at Several Wavelengths in Pure Saharan Dust during SAMUM 2006. Tellus B Chem. Phys. Meteorol. 2009, 61, 165–179. [Google Scholar] [CrossRef]
- Rupakheti, D.; Kang, S.; Rupakheti, M.; Cong, Z.; Tripathee, L.; Panday, A.K.; Holben, B.N. Observation of Optical Properties and Sources of Aerosols at Buddha’s Birthplace, Lumbini, Nepal: Environmental Implications. Environ. Sci. Pollut. Res. 2018, 25, 14868–14881. [Google Scholar] [CrossRef] [PubMed]
- Groß, S.; Tesche, M.; Freudenthaler, V.; Toledano, C.; Wiegner, M.; Ansmann, A.; Althausen, D.; Seefeldner, M. Characterization of Saharan Dust, Marine Aerosols and Mixtures of Biomass-Burning Aerosols and Dust by Means of Multi-Wavelength Depolarization and Raman Lidar Measurements during SAMUM 2. Tellus B Chem. Phys. Meteorol. 2011, 63, 706–724. [Google Scholar] [CrossRef]
- Holben, B.N.; Eck, T.F.; Slutsker, I.; Tanré, D.; Buis, J.P.; Setzer, A.; Vermote, E.; Reagan, J.A.; Kaufman, Y.J.; Nakajima, T.; et al. AERONET—A Federated Instrument Network and Data Archive for Aerosol Characterization. Remote Sens. Environ. 1998, 66, 1–16. [Google Scholar] [CrossRef]
- Lemonsu, A.; Grimmond, C.S.B.; Masson, V. Modeling the Surface Energy Balance of the Core of an Old Mediterranean City: Marseille. J. Appl. Meteorol. 2004, 43, 312–327. [Google Scholar] [CrossRef]
- Lemonsu, A.; Bastin, S.; Masson, V.; Drobinski, P. Vertical Structure of the Urban Boundary Layer over Marseille Under Sea-Breeze Conditions. Bound.-Layer Meteorol. 2006, 118, 477–501. [Google Scholar] [CrossRef]
- Bastin, S.; Drobinski, P.; Guénard, V.; Caccia, J.-L.; Campistron, B.; Dabas, A.M.; Delville, P.; Reitebuch, O.; Werner, C. On the Interaction between Sea Breeze and Summer Mistral at the Exit of the Rhône Valley. Mon. Weather Rev. 2006, 134, 1647–1668. [Google Scholar] [CrossRef]
- Groß, S.; Freudenthaler, V.; Wirth, M.; Weinzierl, B. Towards an Aerosol Classification Scheme for Future EarthCARE Lidar Observations and Implications for Research Needs. Atmos. Sci. Lett. 2015, 16, 77–82. [Google Scholar] [CrossRef]
- Mylonaki, M.; Giannakaki, E.; Papayannis, A.; Papanikolaou, C.-A.; Komppula, M.; Nicolae, D.; Papagiannopoulos, N.; Amodeo, A.; Baars, H.; Soupiona, O. Aerosol Type Classification Analysis Using EARLINET Multiwavelength and Depolarization Lidar Observations. Atmos. Chem. Phys. 2021, 21, 2211–2227. [Google Scholar] [CrossRef]
- Guenard, V.; Drobinski, P.; Caccia, J.-L.; Campistron, B.; Bench, B. An Observational Study of the Mesoscale Mistral Dynamics. Bound.-Layer Meteorol. 2005, 115, 263–288. [Google Scholar] [CrossRef]
- Jiang, Q.; Smith, R.B.; Doyle, J. The Nature of the Mistral: Observations and Modelling of Two MAP Events. Q. J. R. Meteorol. Soc. 2003, 129, 857–875. [Google Scholar] [CrossRef]
- Menut, L.; Flamant, C.; Pelon, J.; Flamant, P.H. Urban Boundary-Layer Height Determination from Lidar Measurements over the Paris Area. Appl. Opt. 1999, 38, 945. [Google Scholar] [CrossRef] [PubMed]
- Barlow, J.F.; Dunbar, T.M.; Nemitz, E.G.; Wood, C.R.; Gallagher, M.W.; Davies, F.; O’Connor, E.; Harrison, R.M. Boundary Layer Dynamics over London, UK, as Observed Using Doppler Lidar during REPARTEE-II. Atmos. Chem. Phys. 2011, 11, 2111–2125. [Google Scholar] [CrossRef]
- Kotthaus, S.; Grimmond, C.S.B. Atmospheric Boundary-layer Characteristics from Ceilometer Measurements. Part 2: Application to London’s Urban Boundary Layer. Q. J. R. Meteorol. Soc. 2018, 144, 1511–1524. [Google Scholar] [CrossRef]
- Wang, L.; Fan, S.; Miao, S.; Yang, A.; Li, Y.; Liu, J.; Liu, C.; Chen, S.; Ho, H.C.; Gao, Z.; et al. Vertical Gradient Variations in Radiation Budget and Heat Fluxes in the Urban Boundary Layer: A Comparison Study between Polluted and Clean Air Episodes in Bejing during Winter. Atmospheres 2020, 125, e2020JD032478. [Google Scholar] [CrossRef]
- De Arruda Moreira, G.; Guerrero-Rascado, J.L.; Bravo-Aranda, J.A.; Foyo-Moreno, I.; Cazorla, A.; Alados, I.; Lyamani, H.; Landulfo, E.; Alados-Arboledas, L. Study of the Planetary Boundary Layer Height in an Urban Environment Using a Combination of Microwave Radiometer and Ceilometer. Atmos. Res. 2020, 240, 104932. [Google Scholar] [CrossRef]
- Pichelli, E.; Ferretti, R.; Cacciani, M.; Siani, A.M.; Ciardini, V.; Di Iorio, T. The Role of Urban Boundary Layer Investigated with High-Resolution Models and Ground-Based Observations in Rome Area: A Step towards Understanding Parameterization Potentialities. Atmos. Meas. Tech. 2014, 7, 315–332. [Google Scholar] [CrossRef]
- Pal, S.; Haeffelin, M. Forcing Mechanisms Governing Diurnal, Seasonal, and Interannual Variability in the Boundary Layer Depths: Five Years of Continuous Lidar Observations over a Suburban Site near Paris. J. Geophys. Res. Atmos. 2015, 120, 11936–11956. [Google Scholar] [CrossRef]
- De Tomasi, F.; Miglietta, M.M.; Perrone, M.R. The Growth of the Planetary Boundary Layer at a Coastal Site: A Case Study. Bound.-Layer Meteorol. 2011, 139, 521–541. [Google Scholar] [CrossRef]
- Lotteraner, C.; Piringer, M. Mixing-Height Time Series from Operational Ceilometer Aerosol-Layer Heights. Bound.-Layer Meteorol. 2016, 161, 265–287. [Google Scholar] [CrossRef]
- Granados-Muñoz, M.J.; Navas-Guzmán, F.; Bravo-Aranda, J.A.; Guerrero-Rascado, J.L.; Lyamani, H.; Fernández-Gálvez, J.; Alados-Arboledas, L. Automatic Determination of the Planetary Boundary Layer Height Using Lidar: One-Year Analysis over Southeastern Spain: DETERMINATION OF THE PBL HEIGHT. J. Geophys. Res. Atmos. 2012, 117, D18208. [Google Scholar] [CrossRef]
- Savov, P.; Kolev, N.; Kolarova, M.; Batchvarova, E.; Barantiev, D. Aerosols, Ozone and CO2 under Sea-Breeze Conditions at a Black Sea Coastal Site; AIP Publishing LLC: Sofia, Bulgaria, 2019; p. 120003. [Google Scholar]
- Azorin-Molina, C.; Chen, D.; Tijm, S.; Baldi, M. A Multi-Year Study of Sea Breezes in a Mediterranean Coastal Site: Alicante (Spain): Multi-Year Study of Sea Breezes in a Mediterranean Coastal Site. Int. J. Climatol. 2011, 31, 468–486. [Google Scholar] [CrossRef]
- Cantos, J.O.; Molina, C.A. The Meteorological Importance of Sea-Breezes in the Levant Region of Spain: The Meteorological Importance of Sea-Breezes in the Levant Region of Spain. Weather 2004, 59, 282–286. [Google Scholar] [CrossRef]
- Shang, F.; Chen, D.; Guo, X.; Lang, J.; Zhou, Y.; Li, Y.; Fu, X. Impact of Sea Breeze Circulation on the Transport of Ship Emissions in Tangshan Port, China. Atmosphere 2019, 10, 723. [Google Scholar] [CrossRef]
- Manninen, A.J.; Marke, T.; Tuononen, M.; O’Connor, E.J. Atmospheric Boundary Layer Classification With Doppler Lidar. J. Geophys. Res. Atmos. 2018, 123, 8172–8189. [Google Scholar] [CrossRef]
- Haman, C.L.; Lefer, B.; Morris, G.A. Seasonal Variability in the Diurnal Evolution of the Boundary Layer in a Near-Coastal Urban Environment. J. Atmos. Ocean. Technol. 2012, 29, 697–710. [Google Scholar] [CrossRef]
- Tsaknakis, G.; Papayannis, A.; Kokkalis, P.; Amiridis, V.; Kambezidis, H.D.; Mamouri, R.E.; Georgoussis, G.; Avdikos, G. Inter-Comparison of Lidar and Ceilometer Retrievals for Aerosol and Planetary Boundary Layer Profiling over Athens, Greece. Atmos. Meas. Tech. 2011, 4, 1261–1273. [Google Scholar] [CrossRef]
- Melas, D.; Lavagnini, A.; Sempreviva, A.-M. An Investigation of the Boundary Layer Dynamics of Sardinia Island under Sea-Breeze Conditions. J. Appl. Meteorol. 2000, 39, 516–524. [Google Scholar] [CrossRef]
- Augustin, P.; Billet, S.; Crumeyrolle, S.; Deboudt, K.; Dieudonné, E.; Flament, P.; Fourmentin, M.; Guilbaud, S.; Hanoune, B.; Landkocz, Y.; et al. Impact of Sea Breeze Dynamics on Atmospheric Pollutants and Their Toxicity in Industrial and Urban Coastal Environments. Remote Sens. 2020, 12, 648. [Google Scholar] [CrossRef]
- Zhang, D.; Comstock, J.; Morris, V. Comparisons of Planetary Boundary Layer Height from Ceilometer with ARM Radiosonde Data. Atmos. Meas. Tech. 2022, 15, 4735–4749. [Google Scholar] [CrossRef]
- Halios, C.H.; Barlow, J.F. Observations of the Morning Development of the Urban Boundary Layer Over London, UK, Taken During the ACTUAL Project. Bound.-Layer Meteorol. 2018, 166, 395–422. [Google Scholar] [CrossRef] [PubMed]
- Rotach, M.W.; Vogt, R.; Bernhofer, C.; Batchvarova, E.; Christen, A.; Clappier, A.; Feddersen, B.; Gryning, S.-E.; Martucci, G.; Mayer, H.; et al. BUBBLE—An Urban Boundary Layer Meteorology Project. Theor. Appl. Climatol. 2005, 81, 231–261. [Google Scholar] [CrossRef]
- Pal, S.; Xueref-Remy, I.; Ammoura, L.; Chazette, P.; Gibert, F.; Royer, P.; Dieudonné, E.; Dupont, J.-C.; Haeffelin, M.; Lac, C.; et al. Spatio-Temporal Variability of the Atmospheric Boundary Layer Depth over the Paris Agglomeration: An Assessment of the Impact of the Urban Heat Island Intensity. Atmos. Environ. 2012, 63, 261–275. [Google Scholar] [CrossRef]
- Haeffelin, M.; Angelini, F.; Morille, Y.; Martucci, G.; Frey, S.; Gobbi, G.P.; Lolli, S.; O’Dowd, C.D.; Sauvage, L.; Xueref-Rémy, I.; et al. Evaluation of Mixing-Height Retrievals from Automatic Profiling Lidars and Ceilometers in View of Future Integrated Networks in Europe. Bound.-Layer Meteorol. 2012, 143, 49–75. [Google Scholar] [CrossRef]
- Martucci, G.; Matthey, R.; Mitev, V.; Richner, H. Comparison between Backscatter Lidar and Radiosonde Measurements of the Diurnal and Nocturnal Stratification in the Lower Troposphere. J. Atmos. Ocean. Technol. 2007, 24, 1231–1244. [Google Scholar] [CrossRef]
- Kotthaus, S.; Haeffelin, M.; Drouin, M.-A.; Dupont, J.-C.; Grimmond, S.; Haefele, A.; Hervo, M.; Poltera, Y.; Wiegner, M. Tailored Algorithms for the Detection of the Atmospheric Boundary Layer Height from Common Automatic Lidars and Ceilometers (ALC). Remote Sens. 2020, 12, 3259. [Google Scholar] [CrossRef]
- Danchovski, V. Summertime Urban Mixing Layer Height over Sofia, Bulgaria. Atmosphere 2019, 10, 36. [Google Scholar] [CrossRef]
- Liu, Z.; Chang, J.; Li, H.; Chen, S.; Dai, T. Estimating Boundary Layer Height from LiDAR Data under Complex Atmospheric Conditions Using Machine Learning. Remote Sens. 2022, 14, 418. [Google Scholar] [CrossRef]
- Pal, S.; Haeffelin, M.; Batchvarova, E. Exploring a Geophysical Process-Based Attribution Technique for the Determination of the Atmospheric Boundary Layer Depth Using Aerosol Lidar and near-Surface Meteorological Measurements: New Attribution Lidar-derived ABL Depth. J. Geophys. Res. Atmos. 2013, 118, 9277–9295. [Google Scholar] [CrossRef]
- Hennemuth, B.; Lammert, A. Determination of the Atmospheric Boundary Layer Height from Radiosonde and Lidar Backscatter. Bound. -Layer Meteorol. 2006, 120, 181–200. [Google Scholar] [CrossRef]
- Mao, F.; Gong, W.; Song, S.; Zhu, Z. Determination of the Boundary Layer Top from Lidar Backscatter Profiles Using a Haar Wavelet Method over Wuhan, China. Opt. Laser Technol. 2013, 49, 343–349. [Google Scholar] [CrossRef]
- Luo, T.; Yuan, R.; Wang, Z. Lidar-Based Remote Sensing of Atmospheric Boundary Layer Height over Land and Ocean. Atmos. Meas. Tech. 2014, 7, 173–182. [Google Scholar] [CrossRef]
- Sivaraman, C.; McFarlane, S.; Chapman, E.; Jesen, M.; Toto, T.; Liu, S.; Fischer, M. Planetary Boundary Layer (PBL) Height Value Added Product (VAP): Radiosounde Retrievals. 2013. Available online: https://www.osti.gov/biblio/1808688 (accessed on 20 February 2023).
- Seidel, D.J.; Ao, C.O.; Li, K. Estimating Climatological Planetary Boundary Layer Heights from Radiosonde Observations: Comparison of Methods and Uncertainty Analysis. J. Geophys. Res. 2010, 115, D16113. [Google Scholar] [CrossRef]
- Moppert, C.; Saïd, F.; Augustin, P.; Geffroy, S.; Delbarre, H.; Freville, P.; Fievert, A.; Campistron, B.; Frejafon, E. Urban Atmospheric Stratification and Its Dynamics: ABL Development above the City of Marseille and in the Surroundings. In Proceedings of the International Conference on Urban Air QUality Measurement Modelling and Management, Prague, Czech Republic, 25–27 March 2003. [Google Scholar]
- Delbarre, H.; Augustin, P.; Saïd, F.; Campistron, B.; Bénech, B.; Lohou, F.; Puygrenier, V.; Moppert, C.; Cousin, F.; Fréville, P.; et al. Ground-Based Remote Sensing Observation of the Complex Behaviour of the Marseille Boundary Layer during ESCOMPTE. Atmos. Res. 2005, 74, 403–433. [Google Scholar] [CrossRef]










| Summer 2021 | Winter 2021–2022 | ||
|---|---|---|---|
| Lidar model | CE376-GP | CE376-GPN | |
| Wavelength | 532 nm | 532 nm | 808 nm |
| Polarization | Parallel and perpendicular | Parallel and perpendicular | Parallel |
| Period of measurement | 16 July–14 September 2021 | 14 December 2021–28 February 2022 | |
| Range resolution Δz | 15 m | 15 m | |
| Temporal resolution | 1 min | 1 min | |
| Altitude of blind zone | 100 m | 250 m | 150 m |
| Altitude of full overlap | 1100 m | 3000 m | 1500 m |
| Marseille Airport Station (AER) | Corniche (COR) | La Valentine (LAV) | |
|---|---|---|---|
| Coordinates | 43°26′16″N 5°12′58″E | 43°16′12″N 5°21′36″E | 43°18′38″N 5°28′45″E |
| Height of the station (m ASL) | 9 | 10 | 192 |
| Meteorological parameters available | Temperature (°C) Wind speeds (°) Wind direction (m/s) | ||
| Instrumentation | Temperature: OPALE station Wind speeds and directions: Alizia 312 | Temperature/wind: Davis Instruments Vantage Pro 2 | Temperature: MERCURY station Wind speeds and directions: Deolia 96 |
| Time resolution (min) | 60 | 30 | 60 |
| Sampling height (m AGL) | Temperature: 1.5 Wind speeds and directions: 10 | 1.5 | Temperature: 1.5 Wind speeds and directions: 10 |
| Type of Aerosols | Summer 2021 Winter 2021–2022 |
|---|---|
| Air molecules | 0.0034 |
| Clean marine | <0.04 |
| Anthropogenic | 0–0.15 |
| Dust | 0.25–0.31 |
| Abbreviation | Events | Dates (UTC) |
|---|---|---|
| SM | Summer 2021 mistral | 16 August 2021 00:00–19 August 2021 04:00 |
| WM | Winter 2021–2022 mistral | 18 February 2022 22:00–23 February 2022 23:59 |
| SB | Summer 2021 sea/land breezes | 4 September 2021 00:00–6 September 2021 23:59 |
| WB | Winter 2021–2022 Sea/land breezes | 14 December 2021 00:00–17 December 2021 23:59 |
| Event | Dilation of Reference | Dilation for the Sensibility Study | Mean Sensibility (%/%) | Standard Deviation of Sensibility (%/%) |
|---|---|---|---|---|
| SM | 270 | 240 | 0.09 | 1 |
| WM | 270 | 240 | 0.80 | 5 |
| SB | 240 | 210 | 0.10 | 10 |
| WB | 270 | 240 | −0.20 | 1 |
Disclaimer/Publisher’s Note: The statements, opinions and data contained in all publications are solely those of the individual author(s) and contributor(s) and not of MDPI and/or the editor(s). MDPI and/or the editor(s) disclaim responsibility for any injury to people or property resulting from any ideas, methods, instructions or products referred to in the content. |
© 2023 by the authors. Licensee MDPI, Basel, Switzerland. This article is an open access article distributed under the terms and conditions of the Creative Commons Attribution (CC BY) license (https://creativecommons.org/licenses/by/4.0/).
Share and Cite
Riandet, A.; Xueref-Remy, I.; Popovici, I.; Lelandais, L.; Armengaud, A.; Goloub, P. Diurnal and Seasonal Variability of the Atmospheric Boundary-Layer Height in Marseille (France) for Mistral and Sea/Land Breeze Conditions. Remote Sens. 2023, 15, 1185. https://doi.org/10.3390/rs15051185
Riandet A, Xueref-Remy I, Popovici I, Lelandais L, Armengaud A, Goloub P. Diurnal and Seasonal Variability of the Atmospheric Boundary-Layer Height in Marseille (France) for Mistral and Sea/Land Breeze Conditions. Remote Sensing. 2023; 15(5):1185. https://doi.org/10.3390/rs15051185
Chicago/Turabian StyleRiandet, Aurélie, Irène Xueref-Remy, Ioana Popovici, Ludovic Lelandais, Alexandre Armengaud, and Philippe Goloub. 2023. "Diurnal and Seasonal Variability of the Atmospheric Boundary-Layer Height in Marseille (France) for Mistral and Sea/Land Breeze Conditions" Remote Sensing 15, no. 5: 1185. https://doi.org/10.3390/rs15051185
APA StyleRiandet, A., Xueref-Remy, I., Popovici, I., Lelandais, L., Armengaud, A., & Goloub, P. (2023). Diurnal and Seasonal Variability of the Atmospheric Boundary-Layer Height in Marseille (France) for Mistral and Sea/Land Breeze Conditions. Remote Sensing, 15(5), 1185. https://doi.org/10.3390/rs15051185

