Multi-Angle Detection of Spatial Differences in Tea Physiological Parameters
Abstract
1. Introduction
2. Materials and Methods
2.1. Experimental Design
2.2. Data Collection
2.2.1. Spectral Data
2.2.2. Tea Physiological Data
2.3. Method
2.3.1. Registration and Fusion
2.3.2. Raster Sampling
2.3.3. Vegetation Index Construction
2.3.4. Model Training
2.3.5. Accuracy Evaluation
3. Results
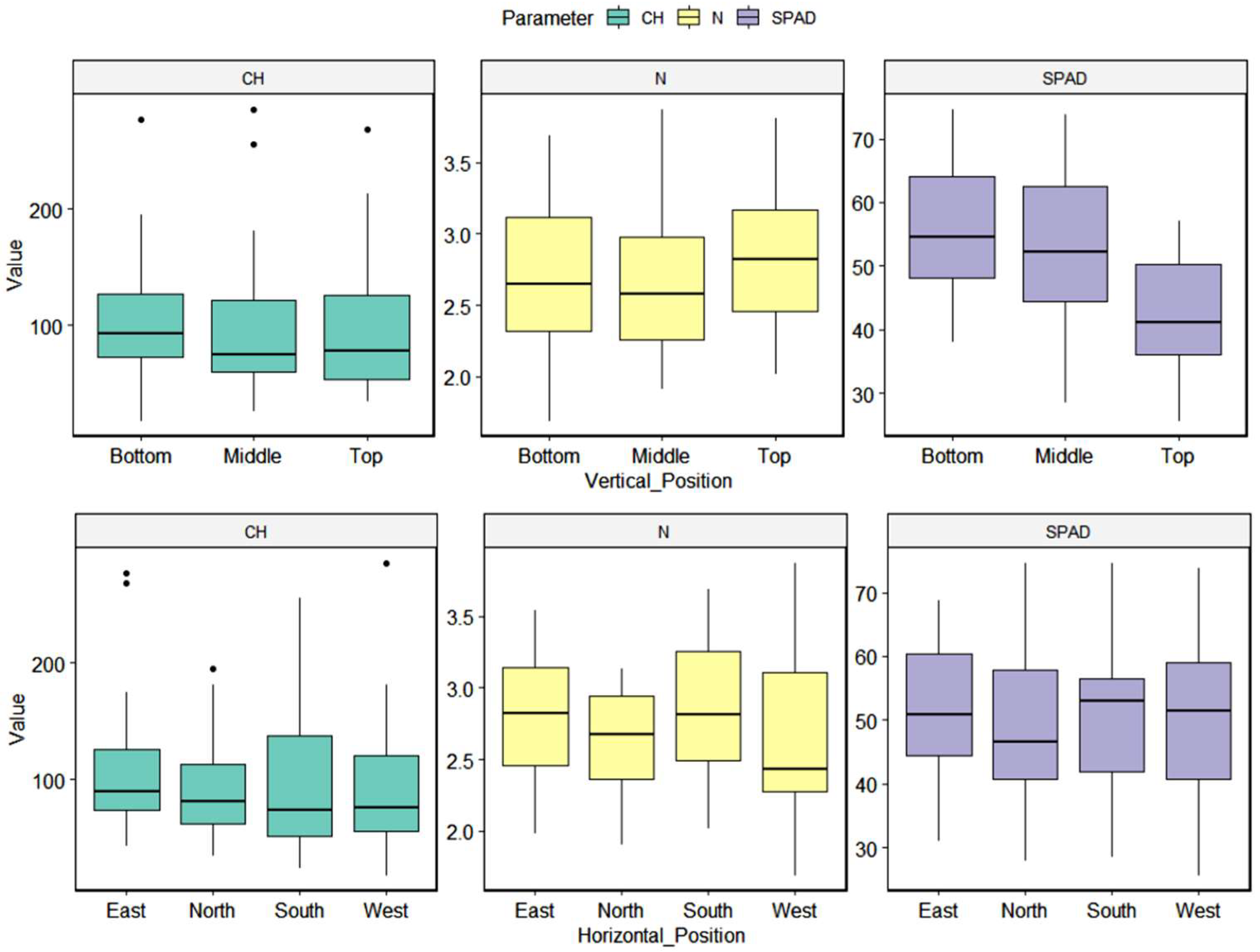
3.1. Spatial Differences in the Physiological Parameters of Tea Leaves
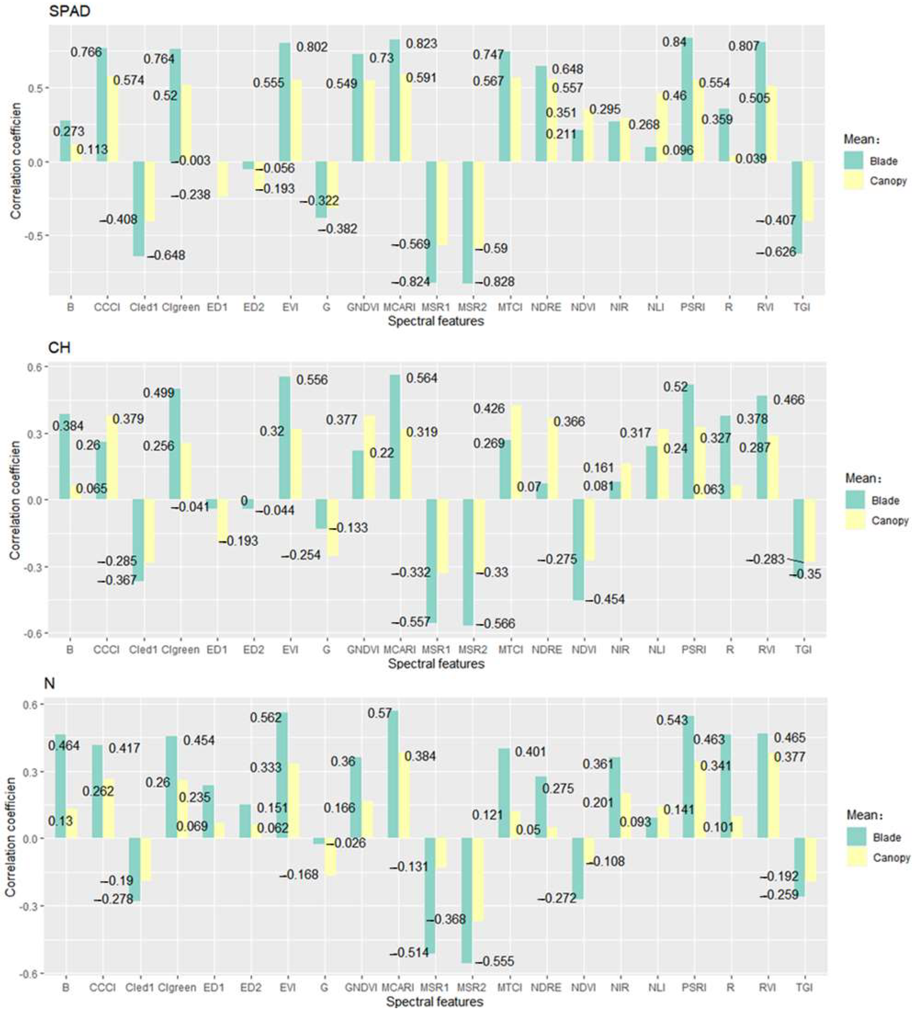
3.2. Correlation Analysis
3.3. Detection Model for Leaf Scale
3.4. Optimal Detection Angle for Physiological Parameters of Tea Leaves
4. Discussion
4.1. Multispectral Imagery
4.2. Machine Learning
4.3. Physiological Parameters of Tea
5. Conclusions
Author Contributions
Funding
Data Availability Statement
Acknowledgments
Conflicts of Interest
References
- Yang, C.S.; Lambert, J.D.; Sang, S. Antioxidative and anti-carcinogenic activities of tea polyphenols. Arch. Toxicol. 2009, 83, 11–21. [Google Scholar] [CrossRef]
- Han, N.; Mukhtar, H. Green Tea Polyphenols and Metabolites in Prostatectomy. Natl. Health Inst. 2011, 81, 519–533. [Google Scholar]
- Khan, N.; Mukhtar, H. Tea Polyphenols in Promotion of Human Health. Nutrients 2019, 11, 39. [Google Scholar] [CrossRef] [PubMed]
- Shao, C.Y.; Zhang, C.Y.; Lv, Z.D. Pre- and post-harvest exposure to stress influence quality-related metabolites in fresh tea leaves. Sci. Hortic. 2021, 281, 109984. [Google Scholar] [CrossRef]
- Kowalska, J.; Marzec, A.; Domian, E. Influence of Tea Brewing Parameters on the Antioxidant Potential of Infusions and Extracts Depending on the Degree of Processing of the Leaves of Camellia sinensis. Molecules 2021, 26, 4773. [Google Scholar] [CrossRef] [PubMed]
- Zhang, L.; Zhang, H.D.; Chen, Y.D. Real-time monitoring of optimum timing for harvesting fresh tea leaves based on machine vision. Int. J. Agric. Biol. Eng. 2019, 12, 6–9. [Google Scholar] [CrossRef]
- Chen, Y.Z.; Wang, F.; Wu, Z.D. Effects of Long-Term Nitrogen Fertilization on the Formation of Metabolites Related to Tea Quality in Subtropical China. Metabolites 2021, 11, 146. [Google Scholar] [CrossRef]
- Gaudinier, A.; Rodriguez-Medina, J.; Zhang, L.F. Transcriptional regulation of nitrogen-associated metabolism and growth. Nature 2018, 563, 259–264. [Google Scholar] [CrossRef]
- Raya-Sereno, M.D.; Ortiz-Monasterio, J.I.; Alonso-Ayuso, M. High-Resolution Airborne Hyperspectral Imagery for Assessing Yield, Biomass, Grain N Concentration, and N Output in Spring Wheat. Remote Sens. 2021, 13, 1373. [Google Scholar] [CrossRef]
- Wu, C.Y.; Wang, L.; Niu, Z. Nondestructive estimation of canopy chlorophyll content using Hyperion and Landsat/TM images. Int. J. Remote Sens. 2010, 31, 2159–2167. [Google Scholar] [CrossRef]
- Li, W.; Xiang, F.; Su, Y. Gibberellin Increases the Bud Yield and Theanine Accumulation in Camellia sinensis (L.) Kuntze. Molecules 2021, 26, 3290. [Google Scholar] [CrossRef]
- Yue, C.N.; Wang, Z.H.; Yang, P.X. Review: The effect of light on the key pigment compounds of photosensitive etiolated tea plant. Bot. Stud. 2021, 62, 21. [Google Scholar] [CrossRef]
- Han, W.Y.; Ma, L.F.; Shi, Y.Z.; Ruan, J.Y.; Kemmitt, S.J. Nitrogen release dynamics and transformation of slow release fertiliser products and their effects on tea yield and quality. J. Sci. Food Agric. 2008, 88, 839–846. [Google Scholar] [CrossRef]
- Ni, Z.Y.; Lu, Q.F.; Huo, H.Y. Estimation of Chlorophyll Fluorescence at Different Scales: A Review. Sensors 2019, 19, 3000. [Google Scholar] [CrossRef]
- Saberioon, M.M.; Gholizadeh, A. Novel Approach for Estimating Nitrogen Content in Paddy Fields Using Low Altitude Remote Sensing System. In Proceedings of the 23rd Congress of the International-Society-for-Photogrammetry-and-Remote-Sensing, Prague, Czech Republic, 12–19 July 2016; pp. 1011–2016. [Google Scholar]
- Mesas-Carrascosa, F.J. UAS-Remote Sensing Methods for Mapping, Monitoring and Modeling Crops. Remote Sens. 2020, 12, 3873. [Google Scholar] [CrossRef]
- Jia, J.X.; Jiang, C.H.; Li, W. Hyperspectral LiDAR-Based Plant Spectral Profiles Acquisition: Performance Assessment and Results Analysis. Remote Sens. 2021, 13, 2521. [Google Scholar] [CrossRef]
- Chen, L.Y.; Xu, B.; Zhao, C.J. Application of Multispectral Camera in Monitoring the Quality Parameters of Fresh Tea Leaves. Remote Sens. 2021, 13, 3719. [Google Scholar] [CrossRef]
- Wilson, D.; Cooper, J.P. Apparent Photosynthesis and Leaf Characters in Relation to Leaf Position and Age, Among Contrasting Lolium Genotypes. New Phytol. 1969, 68, 645. [Google Scholar] [CrossRef]
- Shaoguan Municipal People’s Government. Available online: https://www.sg.gov.cn/sq/sgjj/lnmj/content/post_1350291.html (accessed on 9 February 2022).
- Wei, D.D.; Yang, X. Changguang Yuchen: Enriching Informatization with Spectrum. Sci-Tech Innov. Brand. 2020, 4, 62–63. [Google Scholar]
- Lowe, D.G. Distinctive image features from scale-invariant keypoints. Int. J. Comput. Vis. 2004, 60, 91–110. [Google Scholar] [CrossRef]
- Otsu, N. A threshold selection method from gray-level histogram. IEEE Trans. Syst. Man Cybern. 1979, 9, 62–66. [Google Scholar] [CrossRef]
- Rouse, J.W.; Haas, R.H.; Schell, J.A.; Deering, D.W. Monitoring vegetation systems in the great plains with ERTS. In Proceedings of the Third Earth Resources Technology Satellite—1 Symposium, Goddard Space Flight Center, Greenbelt, MD, USA, 10–14 December 1973; pp. 309–317. [Google Scholar]
- Barnes, E.M.; Clarke, T.R.; Richards, S.E.; Colaizzi, P.D.; Haberland, J.; Kostrzewski, M.; Waller, P.; Choi, C.; Riley, E.; Thompson, T.; et al. Coincident detection of crop water stress, nitrogen status and canopy density using ground based multispectral data. In Proceedings of the Fifth International Conference on Precision Agriculture, Bloomington, MN, USA, 16–19 July 2000; Volume 1619. [Google Scholar]
- Chen, J.M. Evaluation of Vegetation Indices and a Modified Simple Ratio for Boreal Applications. Can. J. Remote Sens. 1996, 22, 229–242. [Google Scholar] [CrossRef]
- Dash, J.; Curran, P.J. The MERIS terrestrial chlorophyll index. Int. J. Remote Sens. 2004, 25, 5403–5413. [Google Scholar] [CrossRef]
- Haboudane, D.; Miller, J.R.; Pattey, E.; Zarco-Tejada, P.J.; Strachan, I.B. Hyperspectral vegetation indices and novel algorithms for predicting green LAI of crop canopies: Modeling and validation in the context of precision agriculture. Remote Sens. Environ. 2004, 90, 337–352. [Google Scholar] [CrossRef]
- Huete, A.; Didan, J.; Miura, T.; Rodriguez, E.P.; Gao, X.; Ferreira, L.G. Overview of the radiometric and biophysical performance of the MODIS vegetation indices. Remote Sens. Environ. 2002, 83, 195–213. [Google Scholar] [CrossRef]
- Haboudane, D.; Miller, J.R.; Tremblay, N. Integrated narrow-band vegetation indices for prediction of crop chlorophyll content for application to precision agriculture. Remote Sens. Environ. 2002, 81, 416–426. [Google Scholar] [CrossRef]
- Xie, Q.Y.; Huang, W.J.; Zhang, B.; Chen, P.F.; Song, X.Y.; Pascucci, S.; Pignatti, S.; Laneve, G.; Dong, Y.Y. Estimating Winter Wheat Leaf Area Index From Ground and Hyperspectral Observations Using Vegetation Indices. IEEE J. Sel. Top. Appl. Earth Observ. Remote Sens. 2016, 9, 771–780. [Google Scholar] [CrossRef]
- Gitelson, A.A.; Kaufman, Y.J.; Merzlyak, M.N. Use of a green channel in remote sensing of global vegetation from EOS-MODIS. Remote Sens. Environ. 1996, 58, 289–298. [Google Scholar] [CrossRef]
- Merzlyak, M.N.; Gitelson, A.A.; Chivkunova, O.B.; Rakitin, V.Y. Non-destructive optical detection of pigment changes during leaf senescence and fruit ripening. Physiol. Plant. 1999, 106, 135–141. [Google Scholar] [CrossRef]
- El-Shikha, D.M.; Barnes, E.M.; Clarke, T.R.; Hunsaker, D.J.; Haberland, J.A.; Pinter, P.J., Jr.; Waller, P.M.; Thompson, T.L. Remote sensing of cotton nitrogen status using the canopy chlorophyll content index (CCCI). Trans. ASABE 2008, 51, 73–82. [Google Scholar] [CrossRef]
- Goel, N.S.; Qin, W. Influences of canopy architecture on relationships between various vegetation indices and LAI and Fpar: A computer simulation. Int. J. Remote Sens. 1994, 10, 309–347. [Google Scholar] [CrossRef]
- Hunt, E.R.; Doraiswamy, P.C.; McMurtrey, J.E.; Daughtry, C.S.T.; Perry, E.M.; Akhmedov, B. A visible band index for remote sensing leaf chlorophyll content at the canopy scale. Int. J. Appl. Earth Obs. Geoinf. 2013, 21, 103–112. [Google Scholar] [CrossRef]
- Wold, S.; Ruhe, A.; Wold, H.; Dunn, W.J. The collinearity problem in linear regression. The partial least squares (PLS) approach to generalized inverses. SIAM J. Sci. Stat. Comput. 1984, 5, 735–743. [Google Scholar] [CrossRef]
- Abdi, H. Partial least square regression (PLS Regression). In Encyclopedia of Social Science Research Methods; SAGE: Thousand Oaks, CA, USA, 2003; pp. 792–795. [Google Scholar]
- Peng, X.; Shi, T.; Song, A.; Chen, Y.; Gao, W. Estimating soil organic carbon using VIS/NIR spectroscopy with SVMR and SPA methods. Remote Sens. 2014, 6, 2699–2717. [Google Scholar] [CrossRef]
- Walczak, B.; Massart, D.L. The radial basis functions—Partial least squares approach as a flexible non-linear regression technique. Anal. Chim. Acta. 1996, 331, 177–185. [Google Scholar] [CrossRef]
- Viscarra, R.R.; Behrens, T. Using data mining to model and interpret soil diffuse reflectance spectra. Geoderma 2010, 158, 46–54. [Google Scholar]
- Zhu, D.; Ji, B.; Meng, C.; Shi, B.; Tu, Z.; Qing, Z. The performance of ν-support vector regression on determination of soluble solids content of apple by acousto-optic tunable filter near-infrared spectroscopy. Anal. Chim. Acta 2007, 598, 227–234. [Google Scholar] [CrossRef]
- Balabin, R.M.; Safieva, R.Z.; Lomakina, E.I. Comparison of linear and nonlinear calibration models based on near infrared (NIR) spectroscopy data for gasoline properties prediction. Chemom. Intell. Lab. Syst. 2007, 88, 183–188. [Google Scholar] [CrossRef]
- Li, Y.; Shao, X.; Cai, W. A consensus least squares support vector regression (LS-SVR) for analysis of near-infrared spectra of plant samples. Talanta 2007, 72, 217–222. [Google Scholar] [CrossRef]
- Breiman, L. Random forests. Mach. Learn. 2001, 45, 5–32. [Google Scholar] [CrossRef]
- Rodriguez-Galiano, V.; Mendes, M.P.; Garcia-Soldado, M.J.; Chica-Olmo, M.; Ribeiro, L. Predictive modeling of groundwater nitrate pollution using random forest and multisource variables related to intrinsic and specific vulnerability: A case study in an agricultural setting (southern Spain). Sci. Total Environ. 2014, 476, 189–206. [Google Scholar] [CrossRef] [PubMed]
- Rumelhart, D.E.; Hinton, G.E.; Williams, R.J. Learning representations by back-propagation errors. Nature 1986, 323, 533–536. [Google Scholar] [CrossRef]
- Liang, P.; Shi, W.Z.; Zhang, X.K. Remote Sensing Image Classification Based on Stacked Denoising Autoencoder. Remote Sens. 2018, 10, 16. [Google Scholar] [CrossRef]
- Kohavi, R. A study of cross-validation and bootstrap for accuracy estimation and model selection. In Proceedings of the International Joint Conference on Artificial Intelligence, Montreal, QC, Canada, 1 January 1995; pp. 1137–1143. [Google Scholar]
- Zhang, Y.F.; Zhao, F.; Kou, W.L. Application of UAV in Forest Disaster Monitoring. World For. Res. 2020, 33, 2. [Google Scholar]
- Zhu, W.X.; Sun, Z.G.; Li, B.B. Soil spatial heterogeneity analysis and crop spectral index response stress diagnosis in coastal saline-alkali land based on UAV remote sensing. J. Geo-Inf. Sci. 2021, 23, 3. [Google Scholar]
- Liu, C.; Xue, Y. Analysis on performance evaluation method of airborne low-altitude multispectral sensor. Geotech. Investig. Surv. 2021, 11, 201–231. [Google Scholar]
- Qin, J.W.; Chao, K.L.; Kim, M.S.; Lu, R.F.; Burks, T.F. Hyperspectral andmultispectral imaging for evaluating food safety and quality. J. Food Eng. 2013, 118, 157–171. [Google Scholar] [CrossRef]
- Feng, C.H.; Makino, Y.; Oshita, S.; Martín, J.F.G. Hyperspectral imaging and multispectral imaging as the novel techniques for detecting defects in raw and processed meat products: Current state-of-the-art research advances. Food Control 2018, 84, 165–176. [Google Scholar] [CrossRef]
- Zhang, F.Y.; Hu, Y.M.; Xie, Y.K. Integrated design of mobile laboratory for quality monitoring of cultivated land in the sky and land. J. Agric. Res. Environ. 2021, 38, 1029–1038. [Google Scholar]
- Zhao, J.; Yan, C.Y.; Yang, D.J. Extraction of corn lodging information after typhoon based on UAV multispectral remote sensing. Trans. Chin. Soc. Agric. Eng. 2021, 37, 56–64. [Google Scholar]
- Xue, J.R.; Su, B.F. Significant remote sensing vegetation indices: A review of developments and applications. J. Sens. 2017, 2017, 1353691. [Google Scholar] [CrossRef]
- Kamble, B.; Kilic, A.; Hubbard, K. Estimating crop coefficients using remote sensing-based vegetation index. Remote Sens. 2012, 4, 1588–1602. [Google Scholar] [CrossRef]
- Su, J.Y.; Liu, C.C.; Hu, X.P.; Xu, X.M.; Guo, L.; Chen, W.H. Spatio-temporal monitoring of wheat yellow rust using UAV multispectral imagery. Comput. Electron. Agric. 2019, 167, 105035. [Google Scholar] [CrossRef]
- Belgiu, M.; Dragut, L. Random forest in remote sensing: A review of applications and future directions. ISPRS—J. Photogramm. Remote Sens. 2016, 114, 24–31. [Google Scholar] [CrossRef]
- Kawamura, K.; Asai, H.; Yasuda, T.; Soisouvanh, P.; Phongchanmixay, S. Discriminating crops/weeds in an upland rice field from UAV images with the SLIC-RF algorithm. Plant Prod. Sci. 2021, 24, 198–215. [Google Scholar] [CrossRef]
- Zhang, L.P.; Huang, X.; Huang, B.; Li, P.X. A pixel shape index coupled with spectral information for classification of high spatial resolution remotely sensed imagery. IEEE Trans. Geosci. Remote Sens. 2006, 44, 2950–2961. [Google Scholar] [CrossRef]
- Pla, F.; Gracia, G.; Garcia-Sevilla, P.; Mirmehdi, M.; Xie, X.H. Multi-spectral texture characterisation for remote sensing image segmentation. In Proceedings of the Lecture Notes in Computer Science, Pattern Recognition and Image Analysis, IbPRIA 2009, Povoa de Varzim, Portugal, 10–12 June 2009; Springer: Berlin/Heidelberg, Germany, 2009; p. 257. [Google Scholar]
- Guo, J.M.; Gao, Y.; Li, S.T. Estimation model of winter wheat leaf moisture content based on multi-angle hyperspectral remote sensing. J. Anhui Agric. Univ. 2019, 46, 124–132. [Google Scholar]
- Camps-Valls, G.; Bruzzone, L.; Rojo-Alvarez, J.L.; Melgani, F. Robust support vector regression for biophysical variable estimation from remotely sensed images. IEEE Geosci. Remote Sens. Lett. 2006, 3, 339–343. [Google Scholar] [CrossRef]
- Lary, D.J.; Alavi, A.H.; Gandomi, A.H.; Walker, A.L. Machine learning in geosciences and remote sensing. Geosci. Front. 2016, 7, 3–10. [Google Scholar] [CrossRef]
- Maimaitijiang, M.; Sagan, V.; Sidike, P. Comparing support vector machines to PLS for spectral regression applications. Remote Sens. 2020, 12, 1357. [Google Scholar] [CrossRef]
- Sun, J.; Lu, X.Z.; Mao, H.P.; Wu, X.H.; Gao, H.Y. Quantitative Determination of Rice Moisture Based on Hyperspectral Imaging Technology and BCC-LS-SVR Algorithm. J. Food Process Eng. 2017, 40, e12446. [Google Scholar] [CrossRef]
- Bischof, H.; Schneider, W.; Pinz, A.J. Multispectral classification of Landsat-images using neural networks. IEEE Trans. Geosci. Remote Sens. 1992, 30, 482–490. [Google Scholar] [CrossRef]
- Zhang, J.; Fang, S.; Liu, H.H. Machine Learning Approach for Estimation of Crop Yield Combining Use of Optical and Microwave Remote Sensing Data. J. Geo-Inf. Sci. 2021, 23, 1082–1091. [Google Scholar]
- Shibaeva, T.G.; Mamaev, A.V.; Sherudilo, E.G. Evaluation of a SPAD-502 Plus Chlorophyll Meter to Estimate Chlorophyll Content in Leaves with Interveinal Chlorosis. Russ. J. Plant Physiol. 2020, 67, 690–696. [Google Scholar] [CrossRef]
- Chen, C.; Zhang, Y.C. The Difference Between Stomatal Density and Chlorophyll Content of Different Potato Varieties. Chin. Agric. Sci. Bull. 2013, 29, 83–87. [Google Scholar]
- Khorramnia, K.; Khot, L.R.; Shariff, A.R. Oil Palm Leaf Nutrient Estimation by Optical Sensing Techniques. Trans. ASABE 2014, 57, 1267–1277. [Google Scholar]
- Verkroost, A.W.; Wassen, M.J. A simple model for nitrogen-limited plant growth and nitrogen allocation. Ann. Bot. 2005, 95, 871–876. [Google Scholar] [CrossRef]
- Xu, K.; Zhang, J.C.; Li, H.M. Spectrum- and RGB-D-Based Image Fusion for the Prediction of Nitrogen Accumulation in Wheat. Remote Sens. 2021, 12, 4040. [Google Scholar] [CrossRef]
- Tan, C.W.; Du, Y.; Zhou, J. Analysis of Different Hyperspectral Variables for Diagnosing Leaf Nitrogen Accumulation in Wheat. Front. Plant Sci. 2018, 9, 674. [Google Scholar] [CrossRef]
- Zheng, H.B.; Cheng, T.; Li, D. Evaluation of RGB, Color-Infrared and Multispectral Images Acquired from Unmanned Aerial Systems for the Estimation of Nitrogen Accumulation in Rice. Remote Sens. 2018, 10, 824. [Google Scholar] [CrossRef]
- Wilhelm, S.; Stober, G.; Matthias, V. Connection between the length of day and wind measurements in the mesosphere and lower thermosphere at mid- and high latitudes. Ann. Geophys. 2019, 37, 1–14. [Google Scholar] [CrossRef]
- Ainsworth, E.A.; Long, S.P. What have we learned from 15 years of free-air CO2 enrichment (FACE)? A meta-analytic review of the responses of photosynthesis, canopy. New Phytol. 2005, 165, 351–371. [Google Scholar] [CrossRef]












| Sensor | CMOS, 1/3″ active pixel: 1.2 MP; global shutter | |||
| Angle of Field | HFOV: 49.5°, VFOV: 38.1°; aperture: f/2.2 | |||
| Spatial Resolution | 0.1 cm @ h = 1 m | |||
| Image Storage Format | 16 bit TIFF, JPEG (reflectivity) | |||
| Memory Device | MicroSD card | |||
| Operating Temperature Range | −10 °C to 50 °C | |||
| Operating Humidity Range | ≦85% | |||
| Storage Temperature Range | −30 °C to 70 °C | |||
| Trigger Mode | Timed trigger, overlap rate trigger, external trigger | |||
| Voltage | 7–30 V DC | |||
| Power Dissipation | 7–10 W | |||
| Battery Duration | More than 4 h | |||
| Size | 79 mm × 74 mm × 52 mm | |||
| Weight | 275 g | |||
| Control Software | A web interface accessible by any Wi-Fi device | |||
| Attestation | CE, FCC, RoHS | |||
| Band Range | Band Number | Band Name | Centre Wavelength (nm) | Bandwidth FWHM (nm) |
| 1 | Blue | 450 | 35 | |
| 2 | Green | 555 | 25 | |
| 3 | Red | 660 | 22.5 | |
| 4 | Red Edge | 720 | 10 | |
| 5 | Red Edge LP | 750 | 10 | |
| 6 | Near-infrared | 840 | 30 | |
| Name | Short Name | Formula | Reference |
|---|---|---|---|
| Normalised difference vegetation index | NDVI | NIR − R/NIR + R | [24] |
| Normalised difference red edge | NDRE | (NIR − ED)/(NIR + ED) | [25] |
| Chlorophyll index red edge | CIred edge | (NIR/ED1) − 1 | [26] |
| MERIS terrestrial chlorophyll index | MTCI | (B − G)/(R − ED) | [27] |
| Modified chlorophyll absorption ratio index | MCARI | (B − G − 0.2(B − R))(B/G) | [28] |
| Enhanced vegetation index | EVI | 2.5(B − G)/(B + 6G − 7.5R + 1) | [29] |
| Transformed CARI | TCARI | 3[(ED1 − R) − 0.2(ED1 − G) ×ED1/R)] | [30] |
| Modified simple ratio 1 | MSR1 | (ED2 − B)/(ED1 − B) | [31] |
| Modified simple ratio 2 | MSR2 | (NIR/ED1 − 1)/SQRT(NIR/ED1 + 1) | [31] |
| Chlorophyll index green | CIgreen | (NIR − /G) − 1 | [26] |
| Green normalised difference vegetation index | GNDVI | (NIR − G)/(NIR + G) | [32] |
| Plant senescence reflectance index | PSRI | (R − G)/ED | [33] |
| Canopy chlorophyll content index | CCCI | (NIR − ED)/NIR + ED)/(NIR − R)/(NIR + R) | [34] |
| Nonlinear vegetation index | NLI | (NIR2 − ED)/(NIR2 + ED) | [35] |
| Triangular greenness index | TGI | G + 0.39×R − 0.61×B | [36] |
Disclaimer/Publisher’s Note: The statements, opinions and data contained in all publications are solely those of the individual author(s) and contributor(s) and not of MDPI and/or the editor(s). MDPI and/or the editor(s) disclaim responsibility for any injury to people or property resulting from any ideas, methods, instructions or products referred to in the content. |
© 2023 by the authors. Licensee MDPI, Basel, Switzerland. This article is an open access article distributed under the terms and conditions of the Creative Commons Attribution (CC BY) license (https://creativecommons.org/licenses/by/4.0/).
Share and Cite
Duan, D.; Chen, L.; Zhao, C.; Wang, F.; Cao, Q. Multi-Angle Detection of Spatial Differences in Tea Physiological Parameters. Remote Sens. 2023, 15, 935. https://doi.org/10.3390/rs15040935
Duan D, Chen L, Zhao C, Wang F, Cao Q. Multi-Angle Detection of Spatial Differences in Tea Physiological Parameters. Remote Sensing. 2023; 15(4):935. https://doi.org/10.3390/rs15040935
Chicago/Turabian StyleDuan, Dandan, Longyue Chen, Chunjiang Zhao, Fan Wang, and Qiong Cao. 2023. "Multi-Angle Detection of Spatial Differences in Tea Physiological Parameters" Remote Sensing 15, no. 4: 935. https://doi.org/10.3390/rs15040935
APA StyleDuan, D., Chen, L., Zhao, C., Wang, F., & Cao, Q. (2023). Multi-Angle Detection of Spatial Differences in Tea Physiological Parameters. Remote Sensing, 15(4), 935. https://doi.org/10.3390/rs15040935
