Continuous Intra-Annual Changes of Lake Water Level and Water Storage from 2000 to 2018 on the Tibetan Plateau
Abstract
1. Introduction
2. Materials
3. Methods
3.1. Lake Area Extraction from the GSW
3.2. LWL and LWSC Estimation Based on the GSW and SRTM
4. Results
4.1. Accuracy Verification of Lake Water Level Changes
4.2. The Change of LWL and LWSC on the TP
4.3. The LWLC of Typical Lakes on the TP
4.4. Spatial Difference Analysis of Lake Changes on the TP
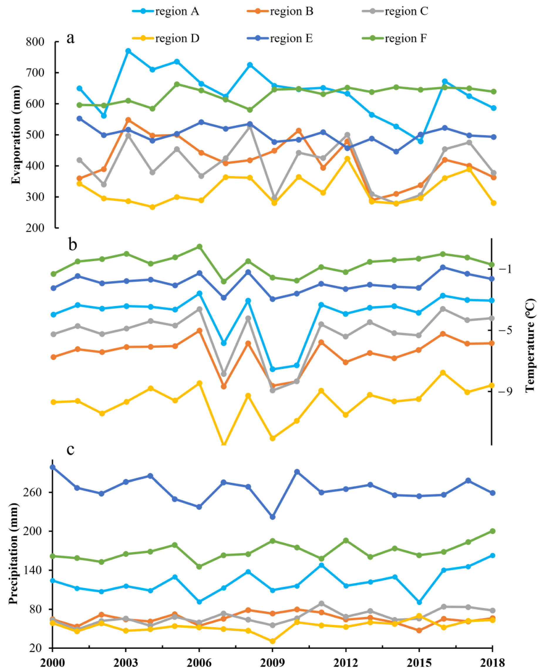
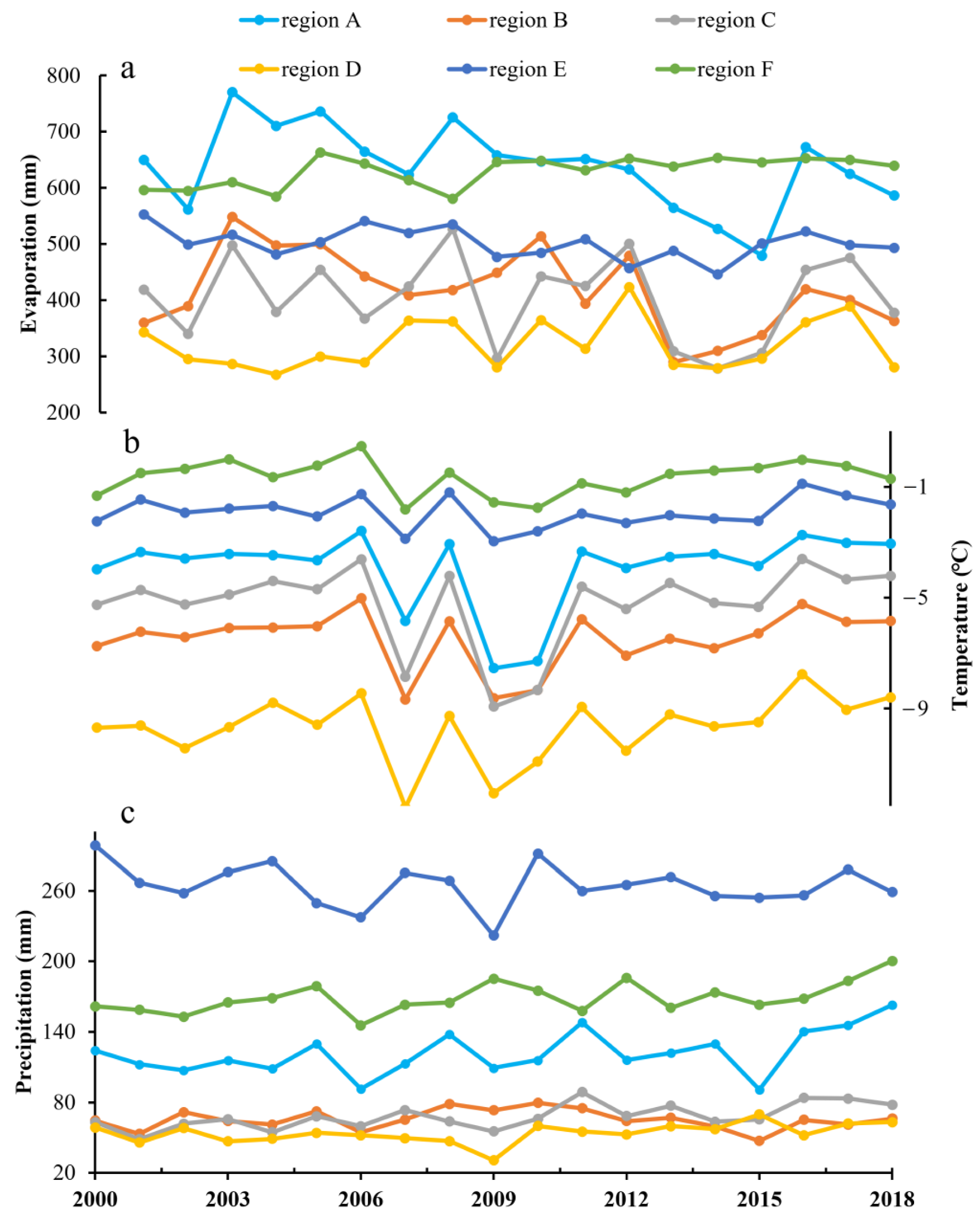
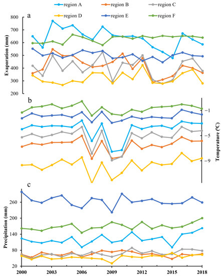
4.5. Climate Change on the TP
5. Discussion
5.1. Effects of Meteorological Factors on LWLC
5.2. Effects of Glacieal Water Supply on LWSC
6. Conclusions
Author Contributions
Funding
Data Availability Statement
Conflicts of Interest
References
- Yao, T.; Thompson, L.; Yang, W.; Yu, W.; Gao, Y.; Guo, X.; Yang, X.; Duan, K.; Zhao, H.; Xu, B. Different glacier status with atmospheric circulations in Tibetan Plateau and surroundings. Nat. Clim. Chang. 2012, 2, 663–667. [Google Scholar] [CrossRef]
- Deng, H.; Pepin, N.; Chen, Y. Changes of snowfall under warming in the Tibetan Plateau. J. Geophys. Res. Atmos. 2017, 122, 7323–7341. [Google Scholar] [CrossRef]
- Pepin, N.; Lundquist, J. Temperature trends at high elevations: Patterns across the globe. Geophys. Res. Lett. 2008, 35, L14701. [Google Scholar] [CrossRef]
- Guo, D.; Wang, H. The significant climate warming in the northern Tibetan Plateau and its possible causes. Int. J. Climatol. 2011, 32, 1775–1781. [Google Scholar] [CrossRef]
- Zhang, G.; Yao, T.; Xie, H.; Wang, W.; Yang, W. An inventory of glacial lakes in the Third Pole region and their changes in response to global warming. Glob. Planet. Chang. 2015, 131, 148–157. [Google Scholar] [CrossRef]
- Yang, K.; Wu, H.; Qin, J.; Lin, C.; Tang, W.; Chen, Y. Recent climate changes over the Tibetan Plateau and their impacts on energy and water cycle: A review. Glob. Planet. Chang. 2014, 112, 79–91. [Google Scholar] [CrossRef]
- Han, C.; Ma, Y.; Wang, B.; Zhong, L.; Ma, W.; Chen, X.; Su, Z. Long-term variations in actual evaporation over the Tibetan Plateau. Earth Syst. Sci. Data 2021, 13, 3513–3524. [Google Scholar] [CrossRef]
- Williamson, C.E.; Saros, J.E.; Vincent, W.F.; Smol, J.P. Lakes and reservoirs as sentinels, integrators, and regulators of climate change. Limnol. Oceanogr. 2009, 54, 2273–2282. [Google Scholar] [CrossRef]
- Liu, J.; Wang, S.; Yu, S.; Yang, D.; Zhang, L. Climate warming and growth of high-elevation inland lakes on the Tibetan Plateau. Glob. Planet. Chang. 2009, 67, 209–217. [Google Scholar] [CrossRef]
- Luo, S.; Song, C.; Zhan, P.; Liu, K.; Chen, T.; Li, W.; Ke, L. Refined estimation of lake water level and storage changes on the Tibetan Plateau from ICESat/ICESat-2. Catena 2021, 200, 105177. [Google Scholar] [CrossRef]
- Wan, W.; Long, D.; Hong, Y.; Ma, Y.; Yuan, Y.; Xiao, P.; Duan, H.; Han, Z.; Gu, X. A lake data set for the Tibetan Plateau from the 1960s, 2005, and 2014. Sci. Data 2016, 3, 160039. [Google Scholar] [CrossRef]
- Marzeion, B.; Cogley, J.G.; Richter, K.; Parkes, D. Attribution of global glacier mass loss to anthropogenic and natural causes. Science 2014, 345, 919–921. [Google Scholar] [CrossRef]
- Niu, Z.; Zhang, H.; Gong, P. More protection for China’s wetlands. Nature 2011, 471, 305. [Google Scholar] [CrossRef]
- Yamazaki, D.; Trigg, M.A.; Ikeshima, D. Development of a global~ 90 m water body map using multi-temporal Landsat images. Remote Sens. Environ. 2015, 171, 337–351. [Google Scholar] [CrossRef]
- Qiu, J. China: The third pole. Nat. News 2008, 454, 393–396. [Google Scholar] [CrossRef]
- Zhang, G.; Yao, T.; Xie, H.; Zhang, K.; Zhu, F. Lakes’ state and abundance across the Tibetan Plateau. Chin. Sci. Bull. 2014, 59, 3010–3021. [Google Scholar] [CrossRef]
- Birkett, C. The contribution of TOPEX/POSEIDON to the global monitoring of climatically sensitive lakes. J. Geophys. Res. Ocean. 1995, 100, 25179–25204. [Google Scholar] [CrossRef]
- Morris, C.S.; Gill, S.K. Evaluation of the TOPEX/POSEIDON altimeter system over the Great Lakes. J. Geophys. Res. Ocean. 1994, 99, 24527–24539. [Google Scholar] [CrossRef]
- Crétaux, J.-F.; Jelinski, W.; Calmant, S.; Kouraev, A.; Vuglinski, V.; Bergé-Nguyen, M.; Gennero, M.-C.; Nino, F.; Del Rio, R.A.; Cazenave, A. SOLS: A lake database to monitor in the Near Real Time water level and storage variations from remote sensing data. Adv. Space Res. 2011, 47, 1497–1507. [Google Scholar] [CrossRef]
- Chen, T.; Song, C.; Ke, L.; Wang, J.; Liu, K.; Wu, Q. Estimating seasonal water budgets in global lakes by using multi-source remote sensing measurements. J. Hydrol. 2021, 593, 125781. [Google Scholar] [CrossRef]
- Jiang, L.; Nielsen, K.; Andersen, O.B.; Bauer-Gottwein, P. Monitoring recent lake level variations on the Tibetan Plateau using CryoSat-2 SARIn mode data. J. Hydrol. 2017, 544, 109–124. [Google Scholar] [CrossRef]
- Jiang, L.; Nielsen, K.; Andersen, O.B.; Bauer-Gottwein, P. A Bigger Picture of how the Tibetan Lakes Have Changed Over the Past Decade Revealed by CryoSat-2 Altimetry. J. Geophys. Res. Atmos. 2020, 125, e2020JD033161. [Google Scholar] [CrossRef]
- Song, C.; Huang, B.; Ke, L. Modeling and analysis of lake water storage changes on the Tibetan Plateau using multi-mission satellite data. Remote Sens. Environ. 2013, 135, 25–35. [Google Scholar] [CrossRef]
- Zhang, G.; Xie, H.; Kang, S.; Yi, D.; Ackley, S.F. Monitoring lake level changes on the Tibetan Plateau using ICESat altimetry data (2003–2009). Remote Sens. Environ. 2011, 115, 1733–1742. [Google Scholar] [CrossRef]
- Yuan, C.; Gong, P.; Bai, Y. Performance assessment of ICESat-2 laser altimeter data for water-level measurement over lakes and reservoirs in China. Remote Sens. 2020, 12, 770. [Google Scholar] [CrossRef]
- Xu, N.; Zheng, H.; Ma, Y.; Yang, J.; Liu, X.; Wang, X. Global Estimation and Assessment of Monthly Lake/Reservoir Water Level Changes Using ICESat-2 ATL13 Products. Remote Sens. 2021, 13, 2744. [Google Scholar] [CrossRef]
- Jacob, T.; Wahr, J.; Pfeffer, W.T.; Swenson, S. Recent contributions of glaciers and ice caps to sea level rise. Nature 2012, 482, 514–518. [Google Scholar] [CrossRef]
- Zhang, G.; Chen, W.; Xie, H. Tibetan Plateau’s lake level and volume changes from NASA’s ICESat/ICESat-2 and Landsat Missions. Geophys. Res. Lett. 2019, 46, 13107–13118. [Google Scholar] [CrossRef]
- Yang, R.; Zhu, L.; Wang, J.; Ju, J.; Ma, Q.; Turner, F.; Guo, Y. Spatiotemporal variations in volume of closed lakes on the Tibetan Plateau and their climatic responses from 1976 to 2013. Clim. Chang. 2017, 140, 621–633. [Google Scholar] [CrossRef]
- Yao, F.F.; Wang, J.D.; Yang, K.; Wang, C.; Walter, B.; Crétaux, J. Lake storage variation on the endorheic Tibetan Plateau and its attribution to climate change since the new millennium. Environ. Res. Lett. 2018, 13, 064011. [Google Scholar] [CrossRef]
- Qiao, B.; Zhu, L. Difference and cause analysis of water storage changes for glacier-fed and non-glacier-fed lakes on the Tibetan Plateau. Sci. Total Environ. 2019, 693, 133399. [Google Scholar] [CrossRef]
- Qiao, B.; Zhu, L.; Yang, R. Temporal-spatial differences in lake water storage changes and their links to climate change throughout the Tibetan Plateau. Remote Sens. Environ. 2019, 222, 232–243. [Google Scholar] [CrossRef]
- Zhang, G.Q.; Bolch, T.; Chen, W.F.; Crétaux, J.-F. Comprehensive estimation of lake volume changes on the Tibetan Plateau during 1976−2019 and basin-wide glacier contribution. Sci. Total Environ. 2021, 773, 145463. [Google Scholar] [CrossRef]
- Pekel, J.-F.; Cottam, A.; Gorelick, N.; Belward, A.S. High-resolution mapping of global surface water and its long-term changes. Nature 2016, 540, 418–422. [Google Scholar] [CrossRef]
- Yang, P.; Zhan, C.; Xia, J.; Han, J.; Hu, S. Analysis of the spatiotemporal changes in terrestrial water storage anomaly and impacting factors over the typical mountains in China. Int. J. Remote Sens. 2018, 39, 505–524. [Google Scholar] [CrossRef]
- Yu, S.; Lu, F.; Zhou, Y.; Wang, X.; Wang, L.; Song, X.; Zhang, M. Evaluation of Three High-Resolution Remote Sensing Precipitation Products on the Tibetan Plateau. Water 2022, 14, 2169. [Google Scholar] [CrossRef]
- The NCEP Climate Forecast System Version 2. J. Clim. 2012, 27, 2185–2208.
- Che, J.; Zhao, P. The NCEP and ERA-Interim reanalysis temperature and humidity errors and their relationships with atmospheric boundary layer in the Tibetan Plateau. Front. Earth Sci. 2023, 10, 1083006. [Google Scholar] [CrossRef]
- Junfeng, W.; Shiyin, L.; Wanqin, G.; Xiaojun, Y.; Junli, X.; Weijia, B.; Zongli, J. Surface-area changes of glaciers in the Tibetan Plateau interior area since the 1970s using recent Landsat images and historical maps. Ann. Glaciol. 2014, 55, 213–222. [Google Scholar] [CrossRef]
- Guo, W.; Liu, S.; Xu, J.; Wu, L.; Shangguan, D.; Yao, X.; Wei, J.; Bao, W.; Yu, P.; Liu, Q. The second Chinese glacier inventory: Data, methods and results. J. Glaciol. 2015, 61, 357–372. [Google Scholar] [CrossRef]
- Farr, T. The shuttle radar topography mission: Reviews of Geophys. Rev. Geophys. 2007, 45, 1–13. [Google Scholar] [CrossRef]
- Liu, K.; Song, C.; Ke, L.; Jiang, L.; Pan, Y.; Ma, R. Global open-access DEM performances in Earth’s most rugged region High Mountain Asia: A multi-level assessment. Geomorphology 2019, 338, 16–26. [Google Scholar] [CrossRef]
- Taube, C. Three Methods for Computing the Volume of a Lake. In Manual of Fisheries Survey Methods II: With Periodic Updates; Schneider, J.C., Ed.; Michigan Department of Natural Resources, Fisheries Division: Lansing, MI, USA, 2000. [Google Scholar]
- Chen, W.F.; Liu, Y.; Zhang, G.Q.; Yang, K.; Zhou, T.; Wang, J.D.; Shum, C.K. What Controls Lake Contraction and Then Expansion in Tibetan Plateau’s Endorheic Basin Over the Past Half Century? Geophys. Res. Lett. 2022, 49, e2022GL101200. [Google Scholar] [CrossRef]
- Zhang, G.Q.; Yao, T.D.; Shum, C.K.; Yi, S.; Yang, K.; Xie, H.J.; Feng, W.; Bolch, T.; Wang, L.; Behrangi, A.; et al. Lake volume and groundwater storage variations in tibetan plateau’s endorheic basin. Geophys. Res. Lett. 2017, 44, 5550–5560. [Google Scholar] [CrossRef]











| Area A | Area B | Area C | Area D | Area E | Area F | Total | |
|---|---|---|---|---|---|---|---|
| Number of lakes | 116 | 75 | 93 | 33 | 30 | 33 | 380 |
| LACmin (km2/yr) | 88.12 ± 9.84 | 105.33 ± 5.74 | 30.08 ± 3.08 | 25.78 ± 0.96 | −7.59 ± 1.05 | 20.28 ± 1.18 | 262.01 ± 17.42 |
| LACmax (km2/yr) | 92.29 ± 9.27 | 121.24 ± 4.90 | 35.48 ± 2.84 | 27.71 ± 0.63 | −5.80 ± 1.15 | 23.23 ± 1.41 | 294.15 ± 13.29 |
| Average of LACinter-year (km2) | 410.08 ± 54.43 | 624.02 ± 131.54 | 149.91 ± 67.60 | 56.16 ± 20.47 | 104.15 ± 22.97 | 147.52 ± 35.29 | 1491.83 ± 272.24 |
| LWLCmin (m/yr) | 0.18 ± 0.02 | 0.28 ± 0.01 | 0.15 ± 0.01 | 0.24 ± 0.01 | −0.04 ± 0.01 | 0.08 ± 0.01 | 0.17 ± 0.01 |
| LWLCmax (m/yr) | 0.20 ± 0.02 | 0.31 ± 0.01 | 0.17 ± 0.01 | 0.27 ± 0.01 | −0.06 ± 0.01 | 0.18 ± 0.02 | 0.20 ± 0.01 |
| Average of LWLCinter-year (m) | 0.88 ± 0.14 | 1.68 ± 0.35 | 0.60 ± 0.27 | 0.59 ± 0.19 | 0.89 ± 0.21 | 0.77 ± 0.70 | 0.97 ± 0.23 |
| LWSCmin (Gt/yr) | 2.95 ± 0.31 | 1.95 ± 0.08 | 0.43 ± 0.03 | 0.67 ± 0.02 | −0.11 ± 0.02 | 0.44 ± 0.06 | 6.32 ± 0.34 |
| LWSCmax (Gt/yr) | 3.34 ± 0.29 | 2.40 ± 0.08 | 0.53 ± 0.03 | 0.75 ± 0.02 | −0.19 ± 0.03 | 1.11 ± 0.14 | 7.94 ± 0.23 |
| Average of LWSCinter-year (Gt) | 14.70 ± 2.63 | 12.14 ± 3.20 | 1.74 ± 0.88 | 1.64 ± 0.59 | 2.74 ± 0.67 | 4.52 ± 4.16 | 37.48 ± 12.11 |
| No. | Type | Basin Area (km²) | Lake Number | Glacier Area (km²) | The LWSCmin (Gt) | The LWSCmax (Gt) |
|---|---|---|---|---|---|---|
| 1 | Non-glacier-fed | 12,839.7 | 9 | / | 1.02 ± 0.08 | 1.30 ± 0.18 |
| 2 | Non-glacier-fed | 10569.7 | 13 | / | 0.79 ± 0.09 | 0.99 ± 0.10 |
| 3 | Non-glacier-fed | 21,964.7 | 15 | / | 1.51 ± 0.12 | 1.72 ± 0.15 |
| 4 | Non-glacier-fed | 8046.4 | 7 | / | 0.63 ± 0.03 | 0.69 ± 0.03 |
| 5 | Non-glacier-fed | 17,773.8 | 15 | / | 3.16 ± 0.20 | 3.39 ± 0.28 |
| 6 | Non-glacier-fed | 23,980.3 | 16 | / | 4.76 ± 0.51 | 5.28 ± 0.57 |
| 7 | Non-glacier-fed | 15,837.8 | 9 | / | 0.97 ± 0.05 | 0.92 ± 0.05 |
| 8 | Glacier-fed | 32,329.2 | 14 | 330.7 | 10.22 ± 0.55 | 10.58 ± 0.57 |
| 9 | Glacier-fed | 43,197.1 | 19 | 366.2 | 3.90 ± 0.19 | 4.94 ± 0.33 |
| 10 | Glacier-fed | 23,898.3 | 8 | 379.7 | 7.32 ± 0.36 | 8.01 ± 0.30 |
| 11 | Glacier-fed | 13,515 | 7 | 336.9 | 5.39 ± 0.23 | 7.12 ± 0.39 |
| 12 | Glacier-fed | 29,057 | 5 | 169 | 16.85 ± 0.87 | 18.92 ± 0.96 |
| 13 | Glacier-fed | 4482.6 | 4 | 22.6 | 1.26 ± 0.35 | 1.32 ± 0.14 |
| 14 | Glacier-fed | 10,730.5 | 1 | 180 | 4.51 ± 0.52 | 5.58 ± 0.57 |
| 15 | Glacier-fed | 52,534.5 | 28 | 2682.4 | 11.81 ± 0.46 | 12.46 ± 0.45 |
| 16 | Glacier-fed | 54,781.9 | 17 | 259.3 | 11.62 ± 0.74 | 12.86 ± 0.76 |
| 17 | Glacier-fed | 56,152.5 | 17 | 639.2 | 3.06 ± 0.36 | 4.04 ± 0.50 |
Disclaimer/Publisher’s Note: The statements, opinions and data contained in all publications are solely those of the individual author(s) and contributor(s) and not of MDPI and/or the editor(s). MDPI and/or the editor(s) disclaim responsibility for any injury to people or property resulting from any ideas, methods, instructions or products referred to in the content. |
© 2023 by the authors. Licensee MDPI, Basel, Switzerland. This article is an open access article distributed under the terms and conditions of the Creative Commons Attribution (CC BY) license (https://creativecommons.org/licenses/by/4.0/).
Share and Cite
Guo, H.; Nie, B.; Yuan, Y.; Yang, H.; Dai, W.; Wang, X.; Qiao, B. Continuous Intra-Annual Changes of Lake Water Level and Water Storage from 2000 to 2018 on the Tibetan Plateau. Remote Sens. 2023, 15, 893. https://doi.org/10.3390/rs15040893
Guo H, Nie B, Yuan Y, Yang H, Dai W, Wang X, Qiao B. Continuous Intra-Annual Changes of Lake Water Level and Water Storage from 2000 to 2018 on the Tibetan Plateau. Remote Sensing. 2023; 15(4):893. https://doi.org/10.3390/rs15040893
Chicago/Turabian StyleGuo, Hengliang, Bingkang Nie, Yonghao Yuan, Hong Yang, Wenhao Dai, Xiaolei Wang, and Baojin Qiao. 2023. "Continuous Intra-Annual Changes of Lake Water Level and Water Storage from 2000 to 2018 on the Tibetan Plateau" Remote Sensing 15, no. 4: 893. https://doi.org/10.3390/rs15040893
APA StyleGuo, H., Nie, B., Yuan, Y., Yang, H., Dai, W., Wang, X., & Qiao, B. (2023). Continuous Intra-Annual Changes of Lake Water Level and Water Storage from 2000 to 2018 on the Tibetan Plateau. Remote Sensing, 15(4), 893. https://doi.org/10.3390/rs15040893

