Evaluation of Precipitation Estimates from Remote Sensing and Artificial Neural Network Based Products (PERSIANN) Family in an Arid Region
Abstract
1. Introduction
2. Material and Methods
2.1. Study Area
2.2. Datasets
2.2.1. Rain Gauge Data
2.2.2. Precipitation Estimation from Remotely Sensed Information Using Artificial Neural Networks (PERSIANN)
2.2.3. PERSIANN-Cloud Classification System (PERSIANN-CCS)
2.2.4. PERSIANN Climate Data Record (PERSIANN-CDR)
2.2.5. PDIR-Now
2.3. Materials and Methods
2.4. Coordinates Matching Process
2.5. Statistical and Contingency Measures
2.6. Climate and Extreme Indices
2.7. Intensity Duration Frequency (IDF) Curves
3. Results and Discussions
3.1. Daily, Monthly, and Annual Averages Rainfall Spatial Distribution
3.2. Statistical Performance of Datasets
3.3. Contingency Measures of Different Products
3.4. Extreme Climate Indices
3.5. Event-Based Analysis
3.6. Intensity Duration Frequency (IDF) Curve Analysis
4. Discussions
5. Conclusions
- Station-based analysis for annual average rainfall distribution revealed that PERSIANN and CCS products overestimated the rainfall in the western region of Abu Dhabi, while for the northern regions, they displayed the annual averages with less error margins. CDR and PDIR showed consistent performance in terms of spatial distribution throughout the country. The comparison of monthly average rainfall showed that CDR and PDIR portrayed a similar pattern for the monthly rainfall averages as compared to rain gauges. PERSIANN-CDR showed the best correlation with the gauge data with an average CC value of 0.7 throughout the study area followed by PDIR, which showed 0.65 as the average CC. However, the CC values for CCS and PERSIANN showed similar behavior with an average value of 0.4. CDR showed the best correlation for the northern emirates’ stations of Dubai and Umm ul Quwain, while the least correlation was observed in the western Abu Dhabi region. For CDR, the RMSE was almost consistent (~2 mm) for most of the stations except for a few stations in the eastern Abu Dhabi region. CDR, PDIR, and CCS revealed similar behavior in terms of MAE, and a consistent spatial distribution was shown. The MAE for all three products was in the range of 0.5–3 mm, while PERSIANN showed MAE values greater than 1.5 mm for almost all the stations.
- PDIR showed the highest POD values in the range of 0.7–0.9 for almost all the stations, while for CDR, the POD range was 0.6–0.9 with an average value of 0.85 and 0.78, respectively. PERSIANN showed the least POD values, and the highest detection probability was not more than 0.6. Similarly, CCS showed an average POD value of 0.6. Thus, the detection accuracy of the PDIR and CDR products was the best among all the products, showcasing their ability to accurately detect the actual rainfall events. FAR values were always in the range of 0.8–0.95 for all the products that show their tendency of capturing false events. Most of the products did not show very high HSS scores except for a few stations in the northeastern station of Abu Dhabi (Al-Faqa). Overall, the HSS score was in the range of 0–0.5 with an average value of 0.15–0.24 for all the products.
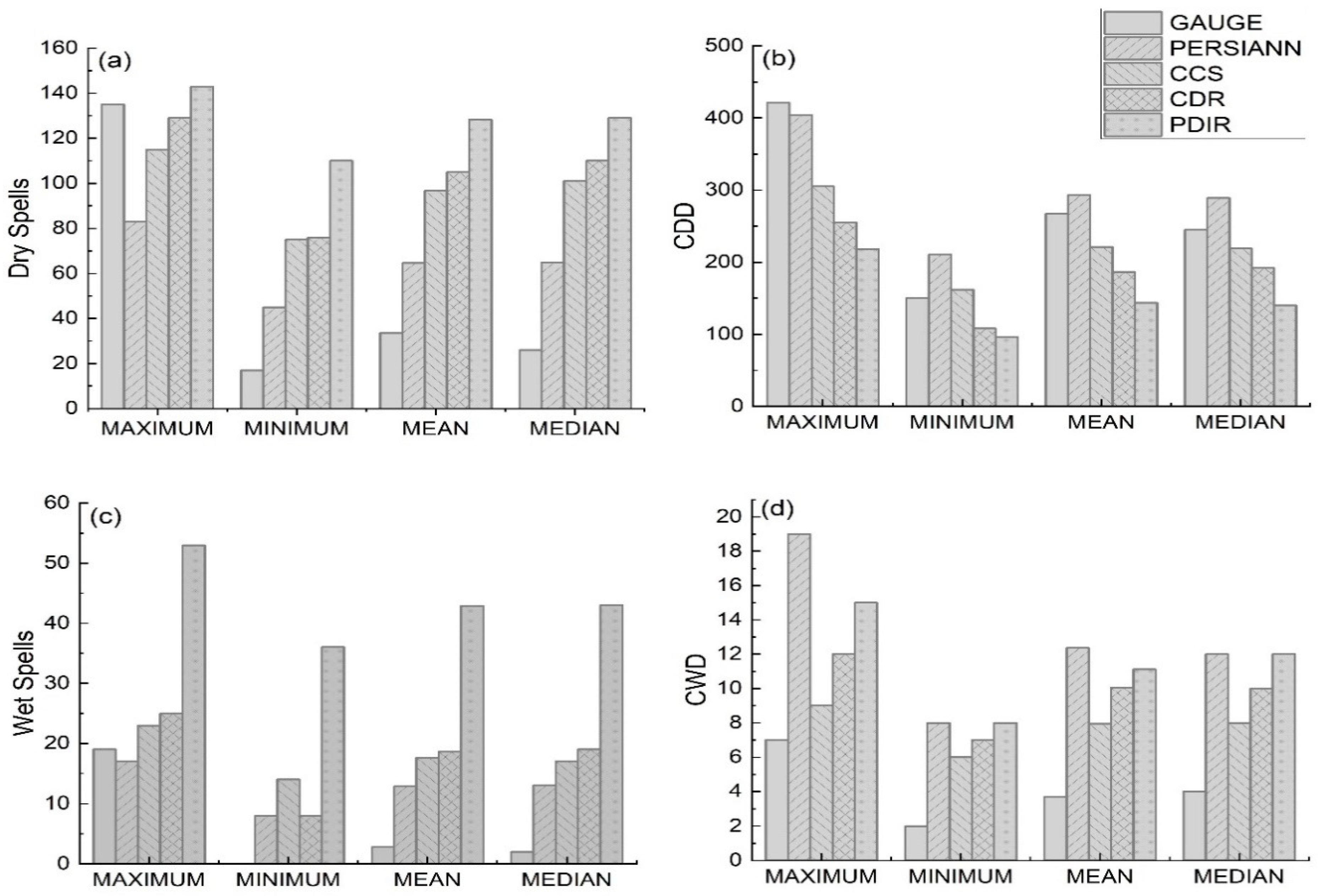
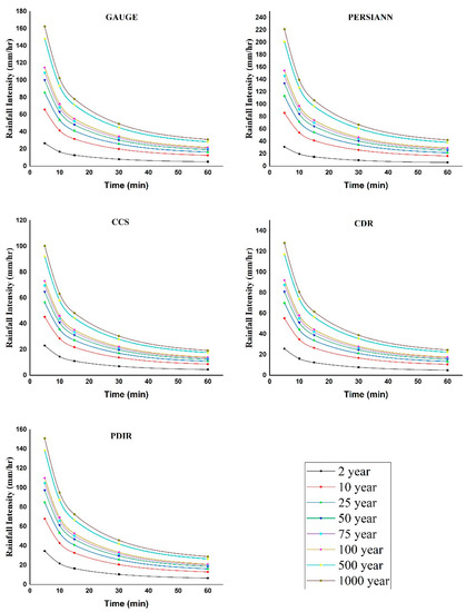
- Rx1day was found to be in the range of 11.6–127 for gauge observations. Out of the four products, CDR could closely follow the gauge Rx1day values followed by PDIR, CCS, and PERSIANN. A similar trend was observed for R10, R20, and R30 mm. However, the PERSIANN product significantly underperformed and highly exaggerated the number of days when the rainfall was more than 10 mm. All the products underestimated the mean and maximum values of CDD except for PERSIANN, which surpassed the mean values by almost 5%. The PERSIANN products highly overestimated CWD in terms of mean and maximum values. The errors for IDF values were considerable for PERSIANN and CCS products and were less significant for CDR and PDIR. For PERSIANN product, the error ranged from 17% to 25%, while for CCS, it ranged from −14% to −24%. For CDR and PDIR, the error ranged from 4% to −15% and from 6% to −14%, respectively. Additionally, it is deduced that errors are more obvious in high-return periods, which can be attributed to the shorter records of the rainfall data used for the analysis.
Author Contributions
Funding
Data Availability Statement
Acknowledgments
Conflicts of Interest
Appendix A

References
- Haile, A.T.; Yan, F.; Habib, E. Accuracy of the CMORPH Satellite-Rainfall Product over Lake Tana Basin in Eastern Africa. Atmos. Res. 2015, 163, 177–187. [Google Scholar] [CrossRef]
- Kim, J.; Han, H. Evaluation of the CMORPH High-Resolution Precipitation Product for Hydrological Applications over South Korea. Atmos. Res. 2021, 258, 105650. [Google Scholar] [CrossRef]
- Eini, M.R.; Rahmati, A.; Piniewski, M. Hydrological Application and Accuracy Evaluation of PERSIANN Satellite-Based Precipitation Estimates over a Humid Continental Climate Catchment. J. Hydrol. Reg. Stud. 2022, 41, 101109. [Google Scholar] [CrossRef]
- Prakash, S. Performance Assessment of CHIRPS, MSWEP, SM2RAIN-CCI, and TMPA Precipitation Products across India. J. Hydrol. 2019, 571, 50–59. [Google Scholar] [CrossRef]
- Hou, A.Y.; Kakar, R.K.; Neeck, S.; Azarbarzin, A.A.; Kummerow, C.D.; Kojima, M.; Oki, R.; Nakamura, K.; Iguchi, T. The Global Precipitation Measurement Mission. Bull. Am. Meteorol. Soc. 2014, 95, 701–722. [Google Scholar] [CrossRef]
- Stagl, J.; Mayr, E.; Koch, H.; Hattermann, F.F.; Huang, S. Effects of Climate Change on the Hydrological Cycle in Central and Eastern Europe. In Managing Protected Areas in Central and Eastern Europe Under Climate Change; Rannow, S., Neubert, M., Eds.; Advances in Global Change Research; Springer Netherlands: Dordrecht, The Netherlands, 2014; pp. 31–43. ISBN 978-94-007-7960-0. [Google Scholar]
- Gragnani, G.L.; Colli, M.; Tavanti, E.; Caviglia, D.D. Advanced Real-Time Monitoring of Rainfall Using Commercial Satellite Broadcasting Service: A Case Study. Sensors 2021, 21, 691. [Google Scholar] [CrossRef]
- Han, L.; Zhang, J.; Chen, H.; Zhang, W.; Yao, S. Toward the Predictability of a Radar-Based Nowcasting System for Different Precipitation Systems. IEEE Geosci. Remote Sens. Lett. 2022, 19, 1005705. [Google Scholar] [CrossRef]
- Huang, H.; Zhao, K.; Fu, P.; Chen, H.; Chen, G.; Zhang, Y. Validation of Precipitation Measurements from the Dual-Frequency Precipitation Radar Onboard the GPM Core Observatory Using a Polarimetric Radar in South China. IEEE Trans. Geosci. Remote Sens. 2022, 60, 4104216. [Google Scholar] [CrossRef]
- Ochoa-Rodriguez, S.; Wang, L.-P.; Willems, P.; Onof, C. A Review of Radar-Rain Gauge Data Merging Methods and Their Potential for Urban Hydrological Applications. Water Resour. Res. 2019, 55, 6356–6391. [Google Scholar] [CrossRef]
- Chen, H.; Chandrasekar, V.; Tan, H.; Cifelli, R. Rainfall Estimation From Ground Radar and TRMM Precipitation Radar Using Hybrid Deep Neural Networks. Geophys. Res. Lett. 2019, 46, 10669–10678. [Google Scholar] [CrossRef]
- Chen, H.; Chandrasekar, V.; Cifelli, R.; Xie, P. A Machine Learning System for Precipitation Estimation Using Satellite and Ground Radar Network Observations. IEEE Trans. Geosci. Remote Sens. 2020, 58, 982–994. [Google Scholar] [CrossRef]
- Han, L.; Zhao, Y.; Chen, H.; Chandrasekar, V. Advancing Radar Nowcasting through Deep Transfer Learning. IEEE Trans. Geosci. Remote Sens. 2022, 60, 4100609. [Google Scholar] [CrossRef]
- Ji, L.; Xu, W.; Chen, H.; Chen, H. Identification of convective precipitation feature observed by trmm/gpm pr using a revised unsupervised clustering proposal. In Proceedings of the 2021 IEEE International Geoscience and Remote Sensing Symposium IGARSS, Brussels, Belgium, 11–16 July 2021; pp. 370–371. [Google Scholar]
- Zhang, J.; Chen, H.; Han, L. An Investigation of a Probabilistic Nowcast System for Dual-Polarization Radar Applications. In Proceedings of the 2020 IEEE International Geoscience and Remote Sensing Symposium IGARSS, Waikoloa, HI, USA, 26 September–2 October 2020; pp. 5294–5297. [Google Scholar]
- Faiz, M.A.; Liu, D.; Fu, Q.; Sun, Q.; Li, M.; Baig, F.; Li, T.; Cui, S. How Accurate Are the Performances of Gridded Precipitation Data Products over Northeast China? Atmos. Res. 2018, 211, 12–20. [Google Scholar] [CrossRef]
- Jiang, S.; Zhou, M.; Ren, L.; Cheng, X.; Zhang, P. Evaluation of Latest TMPA and CMORPH Satellite Precipitation Products over Yellow River Basin. Water Sci. Eng. 2016, 9, 87–96. [Google Scholar] [CrossRef]
- Wang, Q.; Xia, J.; She, D.; Zhang, X.; Liu, J.; Zhang, Y. Assessment of Four Latest Long-Term Satellite-Based Precipitation Products in Capturing the Extreme Precipitation and Streamflow across a Humid Region of Southern China. Atmos. Res. 2021, 257, 105554. [Google Scholar] [CrossRef]
- Wehbe, Y.; Ghebreyesus, D.; Temimi, M.; Milewski, A.; Al Mandous, A. Assessment of the Consistency among Global Precipitation Products over the United Arab Emirates. J. Hydrol. Reg. Stud. 2017, 12, 122–135. [Google Scholar] [CrossRef]
- Cavalcante, R.B.L.; da Silva Ferreira, D.B.; Pontes, P.R.M.; Tedeschi, R.G.; da Costa, C.P.W.; de Souza, E.B. Evaluation of Extreme Rainfall Indices from CHIRPS Precipitation Estimates over the Brazilian Amazonia. Atmos. Res. 2020, 238, 104879. [Google Scholar] [CrossRef]
- Faiz, M.A.; Liu, D.; Fu, Q.; Wrzesiński, D.; Muneer, S.; Khan, M.I.; Li, T.; Cui, S. Assessment of Precipitation Variability and Uncertainty of Stream Flow in the Hindu Kush Himalayan and Karakoram River Basins of Pakistan. Meteorol. Atmos Phys. 2019, 131, 127–136. [Google Scholar] [CrossRef]
- López-Bermeo, C.; Montoya, R.D.; Caro-Lopera, F.J.; Díaz-García, J.A. Validation of the Accuracy of the CHIRPS Precipitation Dataset at Representing Climate Variability in a Tropical Mountainous Region of South America. Phys. Chem. Earth Parts A/B/C 2022, 127, 103184. [Google Scholar] [CrossRef]
- Nawaz, M.; Iqbal, M.F.; Mahmood, I. Validation of CHIRPS Satellite-Based Precipitation Dataset over Pakistan. Atmos. Res. 2021, 248, 105289. [Google Scholar] [CrossRef]
- Alsumaiti, T.S.; Hussein, K.; Ghebreyesus, D.T.; Sharif, H.O. Performance of the CMORPH and GPM IMERG Products over the United Arab Emirates. Remote Sens. 2020, 12, 1426. [Google Scholar] [CrossRef]
- Huffman, G.; Bolvin, D.; Braithwaite, D.; Hsu, K.-L.; Joyce, R.; Kidd, C.; Nelkin, E.J.; Sorooshian, S.; Tan, J.; Xie, P. NASA Global Precipitation Measurement (GPM) Integrated Multi-SatellitE Retrievals for GPM (IMERG); Global Precipitatoin Measurement; NASA: Washington, DC, USA, 2018; pp. 1–29. [Google Scholar]
- Nguyen, P.; Ombadi, M.; Sorooshian, S.; Hsu, K.; AghaKouchak, A.; Braithwaite, D.; Ashouri, H.; Thorstensen, A.R. The PERSIANN Family of Global Satellite Precipitation Data: A Review and Evaluation of Products. Hydrol. Earth Syst. Sci. 2018, 22, 5801–5816. [Google Scholar] [CrossRef]
- Tan, J.; Huffman, G.J.; Bolvin, D.T.; Nelkin, E.J. IMERG V06: Changes to the Morphing Algorithm. J. Atmos. Ocean. Technol. 2019, 36, 2471–2482. [Google Scholar] [CrossRef]
- Xiong, W.; Tang, G.; Wang, T.; Ma, Z.; Wan, W. Evaluation of IMERG and ERA5 Precipitation-Phase Partitioning on the Global Scale. Water 2022, 14, 1122. [Google Scholar] [CrossRef]
- Ma, Z.; Zhu, S.; Yang, J. FY4QPE-MSA: An All-Day Near-Real-Time Quantitative Precipitation Estimation Framework Based on Multispectral Analysis From AGRI Onboard Chinese FY-4 Series Satellites. IEEE Trans. Geosci. Remote Sens. 2022, 60, 4107215. [Google Scholar] [CrossRef]
- Huang, Z.; Zhang, Y.; Xu, J.; Fang, X.; Ma, Z. Can Satellite Precipitation Estimates Capture the Magnitude of Extreme Rainfall Events? Remote Sens. Lett. 2022, 13, 1048–1057. [Google Scholar] [CrossRef]
- Wang, N.; Liu, W.; Sun, F.; Yao, Z.; Wang, H.; Liu, W. Evaluating Satellite-Based and Reanalysis Precipitation Datasets with Gauge-Observed Data and Hydrological Modeling in the Xihe River Basin, China. Atmos. Res. 2020, 234, 104746. [Google Scholar] [CrossRef]
- Ougahi, J.H.; Mahmood, S.A. Evaluation of Satellite-Based and Reanalysis Precipitation Datasets by Hydrologic Simulation in the Chenab River Basin. J. Water Clim. Chang. 2022, 13, 1563–1582. [Google Scholar] [CrossRef]
- Gao, Z.; Huang, B.; Ma, Z.; Chen, X.; Qiu, J.; Liu, D. Comprehensive Comparisons of State-of-the-Art Gridded Precipitation Estimates for Hydrological Applications over Southern China. Remote Sens. 2020, 12, 3997. [Google Scholar] [CrossRef]
- Chen, Y.; Duan, J.; An, J.; Liu, H.; Görsdorf, U.; Berger, F.H. Satellite Estimates and Subpixel Variability of Rainfall in a Semi-Arid Grassland. Atmos. Ocean. Sci. Lett. 2021, 14, 100055. [Google Scholar] [CrossRef]
- Mahmoud, M.T.; Al-Zahrani, M.A.; Sharif, H.O. Assessment of Global Precipitation Measurement Satellite Products over Saudi Arabia. J. Hydrol. 2018, 559, 1–12. [Google Scholar] [CrossRef]
- Rincón-Avalos, P.; Khouakhi, A.; Mendoza-Cano, O.; la Cruz, J.L.-D.; Paredes-Bonilla, K.M. Evaluation of Satellite Precipitation Products over Mexico Using Google Earth Engine. J. Hydroinform. 2022, 24, 711–729. [Google Scholar] [CrossRef]
- Hussein, K.A.; Alsumaiti, T.S.; Ghebreyesus, D.T.; Sharif, H.O.; Abdalati, W. High-Resolution Spatiotemporal Trend Analysis of Precipitation Using Satellite-Based Products over the United Arab Emirates. Water 2021, 13, 2376. [Google Scholar] [CrossRef]
- Donat, M.G.; Peterson, T.C.; Brunet, M.; King, A.D.; Almazroui, M.; Kolli, R.K.; Boucherf, D.; Al-Mulla, A.Y.; Nour, A.Y.; Aly, A.A.; et al. Changes in Extreme Temperature and Precipitation in the Arab Region: Long-Term Trends and Variability Related to ENSO and NAO. Int. J. Climatol. 2014, 34, 581–592. [Google Scholar] [CrossRef]
- Merabtene, T.; Siddique, M.; Shanableh, A. Assessment of Seasonal and Annual Rainfall Trends and Variability in Sharjah City, UAE. Adv. Meteorol. 2016, 2016, 6206238. [Google Scholar] [CrossRef]
- Ouarda, T.B.M.J.; Charron, C.; Niranjan Kumar, K.; Marpu, P.R.; Ghedira, H.; Molini, A.; Khayal, I. Evolution of the Rainfall Regime in the United Arab Emirates. J. Hydrol. 2014, 514, 258–270. [Google Scholar] [CrossRef]
- Sherif, M.; Akram, S.; Shetty, A. Rainfall Analysis for the Northern Wadis of United Arab Emirates: A Case Study. J. Hydrol. Eng. 2009, 14, 535–544. [Google Scholar] [CrossRef]
- Sherif, M.; Almulla, M.; Shetty, A.; Chowdhury, R.K. Analysis of Rainfall, PMP and Drought in the United Arab Emirates. Int. J. Climatol. 2014, 34, 1318–1328. [Google Scholar] [CrossRef]
- Huffman, G.J.; Bolvin, D.T.; Nelkin, E.J.; Wolff, D.B.; Adler, R.F.; Gu, G.; Hong, Y.; Bowman, K.P.; Stocker, E.F. The TRMM Multisatellite Precipitation Analysis (TMPA): Quasi-Global, Multiyear, Combined-Sensor Precipitation Estimates at Fine Scales. J. Hydrometeorol. 2007, 8, 38–55. [Google Scholar] [CrossRef]
- Joyce, R.J.; Janowiak, J.E.; Arkin, P.A.; Xie, P. CMORPH: A Method That Produces Global Precipitation Estimates from Passive Microwave and Infrared Data at High Spatial and Temporal Resolution. J. Hydrometeorol. 2004, 5, 487–503. [Google Scholar] [CrossRef]
- Sorooshian, S.; Hsu, K.-L.; Gao, X.; Gupta, H.V.; Imam, B.; Braithwaite, D. Evaluation of PERSIANN System Satellite-Based Estimates of Tropical Rainfall. Bull. Am. Meteorol. Soc. 2000, 81, 2035–2046. [Google Scholar] [CrossRef]
- Ashouri, H.; Hsu, K.-L.; Sorooshian, S.; Braithwaite, D.K.; Knapp, K.R.; Cecil, L.D.; Nelson, B.R.; Prat, O.P. PERSIANN-CDR: Daily Precipitation Climate Data Record from Multisatellite Observations for Hydrological and Climate Studies. Bull. Am. Meteorol. Soc. 2015, 96, 69–84. [Google Scholar] [CrossRef]
- Hsu, K.; Gao, X.; Sorooshian, S.; Gupta, H.V. Precipitation Estimation from Remotely Sensed Information Using Artificial Neural Networks. J. Appl. Meteorol. Climatol. 1997, 36, 1176–1190. [Google Scholar] [CrossRef]
- Katiraie-Boroujerdy, P.-S.; Rahnamay Naeini, M.; Akbari Asanjan, A.; Chavoshian, A.; Hsu, K.; Sorooshian, S. Bias Correction of Satellite-Based Precipitation Estimations Using Quantile Mapping Approach in Different Climate Regions of Iran. Remote Sens. 2020, 12, 2102. [Google Scholar] [CrossRef]
- Miao, C.; Ashouri, H.; Hsu, K.-L.; Sorooshian, S.; Duan, Q. Evaluation of the PERSIANN-CDR Daily Rainfall Estimates in Capturing the Behavior of Extreme Precipitation Events over China. J. Hydrometeorol. 2015, 16, 1387–1396. [Google Scholar] [CrossRef]
- Yilmaz, K.K.; Hogue, T.S.; Hsu, K.; Sorooshian, S.; Gupta, H.V.; Wagener, T. Intercomparison of Rain Gauge, Radar, and Satellite-Based Precipitation Estimates with Emphasis on Hydrologic Forecasting. J. Hydrometeorol. 2005, 6, 497–517. [Google Scholar] [CrossRef]
- Nguyen, P.; Shearer, E.J.; Tran, H.; Ombadi, M.; Hayatbini, N.; Palacios, T.; Huynh, P.; Braithwaite, D.; Updegraff, G.; Hsu, K.; et al. The CHRS Data Portal, an Easily Accessible Public Repository for PERSIANN Global Satellite Precipitation Data. Sci. Data 2019, 6, 180296. [Google Scholar] [CrossRef] [PubMed]
- Hong, Y.; Hsu, K.-L.; Sorooshian, S.; Gao, X. Precipitation Estimation from Remotely Sensed Imagery Using an Artificial Neural Network Cloud Classification System. J. Appl. Meteorol. Climatol. 2004, 43, 1834–1853. [Google Scholar] [CrossRef]
- Nguyen, P.; Shearer, E.J.; Ombadi, M.; Gorooh, V.A.; Hsu, K.; Sorooshian, S.; Logan, W.S.; Ralph, M. PERSIANN Dynamic Infrared–Rain Rate Model (PDIR) for High-Resolution, Real-Time Satellite Precipitation Estimation. Bull. Am. Meteorol. Soc. 2020, 101, E286–E302. [Google Scholar] [CrossRef]
- Benesty, J.; Chen, J.; Huang, Y.; Cohen, I. Pearson Correlation Coefficient. In Noise Reduction in Speech Processing; Cohen, I., Huang, Y., Chen, J., Benesty, J., Eds.; Springer Topics in Signal Processing; Springer: Berlin/Heidelberg, Germany, 2009; pp. 1–4. ISBN 978-3-642-00296-0. [Google Scholar]
- Heidke, P. Berechnung Des Erfolges Und Der Güte Der Windstärkevorhersagen Im Sturmwarnungsdienst. Geogr. Ann. 1926, 8, 301–349. [Google Scholar] [CrossRef]
- Derin, Y.; Kirstetter, P.-E.; Gourley, J.J. Evaluation of IMERG Satellite Precipitation over the Land–Coast–Ocean Continuum. Part I: Detection. J. Hydrometeorol. 2021, 22, 2843–2859. [Google Scholar] [CrossRef]
- Derin, Y.; Kirstetter, P.-E.; Brauer, N.; Gourley, J.J.; Wang, J. Evaluation of IMERG Satellite Precipitation over the Land–Coast–Ocean Continuum. Part II: Quantification. J. Hydrometeorol. 2022, 23, 1297–1314. [Google Scholar] [CrossRef]
- Faiz, M.A.; Liu, D.; Fu, Q.; Wrzesiński, D.; Baig, F.; Nabi, G.; Khan, M.I.; Li, T.; Cui, S. Extreme Precipitation and Drought Monitoring in Northeastern China Using General Circulation Models and Pan Evaporation-Based Drought Indices. Clim. Res. 2018, 74, 231–250. [Google Scholar] [CrossRef]
- Sun, Y.; Wendi, D.; Kim, D.E.; Liong, S.-Y. Deriving Intensity–Duration–Frequency (IDF) Curves Using Downscaled in Situ Rainfall Assimilated with Remote Sensing Data. Geosci. Lett. 2019, 6, 17. [Google Scholar] [CrossRef]
- Kyaw, A.K.; Shahid, S.; Wang, X. Remote Sensing for Development of Rainfall Intensity–Duration–Frequency Curves at Ungauged Locations of Yangon, Myanmar. Water 2022, 14, 1699. [Google Scholar] [CrossRef]
- Ombadi, M.; Nguyen, P.; Sorooshian, S.; Hsu, K. Developing Intensity-Duration-Frequency (IDF) Curves From Satellite-Based Precipitation: Methodology and Evaluation. Water Resour. Res. 2018, 54, 7752–7766. [Google Scholar] [CrossRef]
- Chen, H.; Sun, L.; Cifelli, R.; Xie, P. Deep Learning for Bias Correction of Satellite Retrievals of Orographic Precipitation. IEEE Trans. Geosci. Remote Sens. 2021, 60, 4104611. [Google Scholar] [CrossRef]
- Xu, J.; Ma, Z.; Yan, S.; Peng, J. Do ERA5 and ERA5-Land Precipitation Estimates Outperform Satellite-Based Precipitation Products? A Comprehensive Comparison between State-of-the-Art Model-Based and Satellite-Based Precipitation Products over Mainland China. J. Hydrol. 2022, 605, 127353. [Google Scholar] [CrossRef]











| PERSIANN | CCS | CDR | PDIR-Now | ||
|---|---|---|---|---|---|
| Primary Input Data | GEO Longwave Infrared Images | GEO Longwave Infrared Images | GEO Satellite Infrared Gridded Data | GEO Satellite Near-Real-Time Infrared Data | |
| Resolution | Spatial | 0.25° × 0.25° | 0.04° × 0.04° | 0.25° × 0.25° | 0.04° × 0.04° |
| Temporal | Hourly, 3–6 hourly, daily, monthly, yearly | Hourly, 3–6 hourly, daily, monthly, yearly | daily, monthly, yearly | Hourly, 3–6 hourly, daily, monthly, yearly | |
| Data Availability | March 2000–Present | January 2003–Present | January 1983–Present | March 2000–Present | |
| Bias Correction | No | No | Yes | No | |
| References | [45,51] | [51,52] | [46,49,51] | [26,53,53] | |
| Observed Events | ||||
|---|---|---|---|---|
| Yes | No | Marginal Sum | ||
| Forecasted events | Yes | A = Hits (Accurate forecasts) | B = False Alarm | A + B |
| No | C = Miss | D = Correct Non-event | C + D | |
| Marginal Sum | A + C | B + D | A + B + C + D | |
| Measure (s) | Formula | Range | Perfect Value |
|---|---|---|---|
| Root Mean Square Error (mm) | - | 0 | |
| Correlation Coefficient | −1 to 1 | 1 | |
| Mean Absolute Error | - | 0 | |
| Probability of Detection | 0 to 1 | 1 | |
| False Alarm Ratio | 0 to 1 | 0 | |
| Critical Success Index | 0 to 1 | 1 | |
| Heidke Skill Score | −1 to 1 | 1 |
| Indices | Symbology | Units |
|---|---|---|
| R × 1 day | Maximum 1-day precipitation over a given period | mm |
| R10 mm | Yearly days count when Rainfall ≥ 10 mm | days |
| R20 mm | Yearly days count when Rainfall ≥ 20 mm | days |
| R30 mm | Yearly days count when Rainfall ≥ 30 mm | days |
| CWD | Maximum length of wet spell. Max number of continuous days when Rainfall ≥ 1 mm | days |
| CDD | Maximum length of dry spell indicates maximum number of continuous days when rainfall ≤ 1 | days |
| Event(s) | Products | POD | FAR | CSI | HSS | CC | RMSE | MAE |
|---|---|---|---|---|---|---|---|---|
| January 2015 | PERSIANN | 0.64 | 0.55 | 0.34 | 0.35 | 0.71 | 3.2 | 2.89 |
| CCS | 0.69 | 0.71 | 0.12 | 0.34 | 0.73 | 3.6 | 3.12 | |
| CDR | 0.71 | 0.65 | 0.21 | 0.46 | 0.80 | 2.4 | 2.12 | |
| PDIR | 0.74 | 0.59 | 0.29 | 0.48 | 0.85 | 2.36 | 1.98 | |
| January 2016 | PERSIANN | 0.69 | 0.55 | 0.34 | 0.25 | 0.75 | 4.56 | 3.96 |
| CCS | 0.76 | 0.61 | 0.26 | 0.29 | 0.68 | 4.2 | 3.45 | |
| CDR | 0.69 | 0.55 | 0.34 | 0.40 | 0.71 | 3.16 | 2.86 | |
| PDIR | 0.74 | 0.59 | 0.29 | 0.43 | 0.78 | 3.26 | 2.98 | |
| March 2017 | PERSIANN | 0.69 | 0.55 | 0.34 | 0.41 | 0.81 | 3.56 | 3.10 |
| CCS | 0.74 | 0.51 | 0.33 | 0.39 | 0.77 | 3.47 | 3.59 | |
| CDR | 0.83 | 0.42 | 0.43 | 0.5 | 0.92 | 3.14 | 2.56 | |
| PDIR | 0.79 | 0.39 | 0.46 | 0.46 | 0.89 | 2.71 | 2.39 | |
| January 2020 | PERSIANN | 0.75 | 0.6 | 0.23 | 0.25 | 0.65 | 3.78 | 3.47 |
| CCS | 0.74 | 0.51 | 0.33 | 0.34 | 0.71 | 3.25 | 3.01 | |
| CDR | 0.81 | 0.49 | 0.35 | 0.43 | 0.89 | 2.85 | 2.36 | |
| PDIR | 0.80 | 0.56 | 0.27 | 0.49 | 0.91 | 2.45 | 2.11 |
Disclaimer/Publisher’s Note: The statements, opinions and data contained in all publications are solely those of the individual author(s) and contributor(s) and not of MDPI and/or the editor(s). MDPI and/or the editor(s) disclaim responsibility for any injury to people or property resulting from any ideas, methods, instructions or products referred to in the content. |
© 2023 by the authors. Licensee MDPI, Basel, Switzerland. This article is an open access article distributed under the terms and conditions of the Creative Commons Attribution (CC BY) license (https://creativecommons.org/licenses/by/4.0/).
Share and Cite
Baig, F.; Abrar, M.; Chen, H.; Sherif, M. Evaluation of Precipitation Estimates from Remote Sensing and Artificial Neural Network Based Products (PERSIANN) Family in an Arid Region. Remote Sens. 2023, 15, 1078. https://doi.org/10.3390/rs15041078
Baig F, Abrar M, Chen H, Sherif M. Evaluation of Precipitation Estimates from Remote Sensing and Artificial Neural Network Based Products (PERSIANN) Family in an Arid Region. Remote Sensing. 2023; 15(4):1078. https://doi.org/10.3390/rs15041078
Chicago/Turabian StyleBaig, Faisal, Muhammad Abrar, Haonan Chen, and Mohsen Sherif. 2023. "Evaluation of Precipitation Estimates from Remote Sensing and Artificial Neural Network Based Products (PERSIANN) Family in an Arid Region" Remote Sensing 15, no. 4: 1078. https://doi.org/10.3390/rs15041078
APA StyleBaig, F., Abrar, M., Chen, H., & Sherif, M. (2023). Evaluation of Precipitation Estimates from Remote Sensing and Artificial Neural Network Based Products (PERSIANN) Family in an Arid Region. Remote Sensing, 15(4), 1078. https://doi.org/10.3390/rs15041078

