HTDet: A Hybrid Transformer-Based Approach for Underwater Small Object Detection
Abstract
1. Introduction
- A novel transformer-based hybrid detector for underwater feeble and small object detection is proposed, which can extract the global and local context information efficiently and effectively;
- To tackle the signal vanishing problem of feeble and small objects, fine-grained (FPN) is designed to cumulatively fuse low-level and high-level features;
- To further enhance the detector’s accuracy, we use the memory-free TTA approach for real-time detection.
2. Related Work
2.1. General Purpose Object Detection
2.2. Underwater Object Detection
2.3. Lightweight Detectors
3. Method
3.1. Overall Architecture
3.2. Fine-Grained Feature Pyramid Network
3.3. Loss Function
3.4. Test Time Augmentation
4. Experiments
4.1. Dataset
4.2. Evaluation Metric
4.3. Implementation Details
4.4. Comparison with Other Models
| Method | #Param | AP | AP50 | AP75 | APs | APm | APl | Schedules |
|---|---|---|---|---|---|---|---|---|
| Two-Stage Method: | ||||||||
| Faster R-CNN [13] | 33.6 M | 35.8 | 69.8 | 33.4 | 16.4 | 36.5 | 51.4 | 2× |
| Grid R-CNN [50] | 64.3 M | 36.4 | 69.9 | 34.1 | 15.3 | 37.4 | 51.2 | 2× |
| Dynamic R-CNN [51] | 41.5 M | 35.8 | 66.9 | 35.2 | 13.3 | 37.2 | 51.4 | 2× |
| Cascade R-CNN [52] | 68.9 M | 37.0 | 69.2 | 35.6 | 16.0 | 37.9 | 52.0 | 2× |
| Libra R-CNN [53] | 41.4 M | 36.0 | 68.8 | 33.7 | 16.4 | 36.7 | 51.2 | 2× |
| Sparse R-CNN [54] | 106.1 M | 30.9 | 61.2 | 27.8 | 16.2 | 30.8 | 46.2 | 2× |
| One-Stage Method: | ||||||||
| YOLOv3 237e [21] | 61.5 M | 37.8 | 72.1 | 35.0 | 19.4 | 38.4 | 50.5 | 237e |
| RetinaNet [16] | 36.2 M | 32.2 | 65.3 | 28.2 | 9.2 | 32.6 | 48.0 | 2× |
| FCOS [55] | 32.0 M | 34.7 | 69.7 | 29.8 | 13.9 | 35.6 | 47.7 | 2× |
| ATSS [19] | 32.1 M | 29.3 | 62.1 | 22.9 | 13.5 | 30.9 | 36.0 | 2× |
| Auto Assign [20] | 35.9 M | 35.5 | 71.8 | 30.1 | 15.5 | 36.1 | 49.6 | 2× |
| SSD300 [15] | 24.2 M | 32.4 | 64.7 | 27.1 | 16.0 | 33.7 | 42.5 | 2× |
| Ours | 7.7 M | 38.5 | 76.3 | 32.7 | 22.8 | 39.3 | 49.0 | 2× |
4.5. Ablation Study and Analysis
4.6. URPC 2018 Error Analysis
- Localization (Loc):classification is correct, and ;
- Other (Oth):wrong classes, and ;
- Background (BG): for all objects;
- False Negative (FN): , but the classification is wrong.
4.7. Detection Results Analysis for Each Category
4.8. Classification Analysis for Each Category
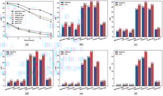
4.9. Analysis on Robustness of the Detector
4.10. Visualization of the Detection Results
5. Discussion
5.1. Lightweight Object Detection
5.2. Underwater Feeble and Small Object Detection
6. Conclusions
Author Contributions
Funding
Institutional Review Board Statement
Informed Consent Statement
Data Availability Statement
Acknowledgments
Conflicts of Interest
Abbreviations
| SNR | Signal-to-Noise Ratio |
| mAP | Mean Average Precision |
| AP | Average Precision |
| CNN | Convolutional Neural Network |
| MBV2 | MobileNetV2 Block |
| MVIT | MobileViT Block |
| AUV | Autonomous Underwater Vehicle |
| FPN | Feature Pyramid Network |
| FG-FPN | Fine-Grained Feature Pyramid Network |
References
- Moniruzzaman, M.; Islam, S.M.S.; Bennamoun, M.; Lavery, P. Deep learning on underwater marine object detection: A survey. In Proceedings of the Advanced Concepts for Intelligent Vision Systems: 18th International Conference, ACIVS 2017, Antwerp, Belgium, 18–21 September 2017; Springer: Berlin/Heidelberg, Germany, 2017; pp. 150–160. [Google Scholar]
- Fayaz, S.; Parah, S.A.; Qureshi, G. Underwater object detection: Architectures and algorithms–a comprehensive review. Multimed. Tools Appl. 2022, 81, 20871–20916. [Google Scholar] [CrossRef]
- Er, M.J.; Jie, C.; Zhang, Y.; Gao, W. Research Challenges, Recent Advances and Benchmark Datasets in Deep-Learning-Based Underwater Marine Object Detection: A Review. TechRxiv 2022. [Google Scholar] [CrossRef]
- Moniruzzaman, M.; Islam, S.M.S.; Lavery, P.; Bennamoun, M. Faster R-CNN based deep learning for seagrass detection from underwater digital images. In Proceedings of the 2019 Digital Image Computing: Techniques and Applications (DICTA), Perth, Australia, 2–4 December 2019; pp. 1–7. [Google Scholar]
- Tian, M.; Li, X.; Kong, S.; Wu, L.; Yu, J. A modified YOLOv4 detection method for a vision-based underwater garbage cleaning robot. Front. Inf. Technol. Electron. Eng. 2022, 23, 1217–1228. [Google Scholar] [CrossRef]
- Wang, Y.; Tang, C.; Cai, M.; Yin, J.; Wang, S.; Cheng, L.; Wang, R.; Tan, M. Real-time underwater onboard vision sensing system for robotic gripping. IEEE Trans. Instrum. Meas. 2020, 70, 5002611. [Google Scholar] [CrossRef]
- Zhang, W.; Dong, L.; Zhang, T.; Xu, W. Enhancing underwater image via color correction and bi-interval contrast enhancement. Signal Process. Image Commun. 2021, 90, 116030. [Google Scholar] [CrossRef]
- Han, M.; Lyu, Z.; Qiu, T.; Xu, M. A review on intelligence dehazing and color restoration for underwater images. IEEE Trans. Syst. Man Cybern. Syst. 2018, 50, 1820–1832. [Google Scholar] [CrossRef]
- Wang, N.; Zheng, B.; Zheng, H.; Yu, Z. Feeble object detection of underwater images through LSR with delay loop. Opt. Express 2017, 25, 22490–22498. [Google Scholar] [CrossRef]
- Song, Y.; He, B.; Liu, P. Real-time object detection for AUVs using self-cascaded convolutional neural networks. IEEE J. Ocean. Eng. 2019, 46, 56–67. [Google Scholar] [CrossRef]
- Zhang, M.; Xu, S.; Song, W.; He, Q.; Wei, Q. Lightweight underwater object detection based on yolo v4 and multi-scale attentional feature fusion. Remote Sens. 2021, 13, 4706. [Google Scholar] [CrossRef]
- Shorten, C.; Khoshgoftaar, T.M. A survey on image data augmentation for deep learning. J. Big Data 2019, 6, 60. [Google Scholar] [CrossRef]
- Ren, S.; He, K.; Girshick, R.; Sun, J. Faster r-cnn: Towards real-time object detection with region proposal networks. In Proceedings of the 29th Annual Conference on Neural Information Processing Systems 2015, Montreal, QC, Canada, 7–12 December 2015; Volume 28. [Google Scholar]
- Redmon, J.; Divvala, S.; Girshick, R.; Farhadi, A. You only look once: Unified, real-time object detection. In Proceedings of the IEEE Conference on Computer Vision and Pattern Recognition, Las Vegas, NV, USA, 26 June–1 July 2016; pp. 779–788. [Google Scholar]
- Liu, W.; Anguelov, D.; Erhan, D.; Szegedy, C.; Reed, S.; Fu, C.Y.; Berg, A.C. Ssd: Single shot multibox detector. In Proceedings of the Computer Vision–ECCV 2016: 14th European Conference, Amsterdam, The Netherlands, 11–14 October 2016; Springer: Berlin/Heidelberg, Germany, 2016; pp. 21–37. [Google Scholar]
- Lin, T.Y.; Goyal, P.; Girshick, R.; He, K.; Dollár, P. Focal loss for dense object detection. In Proceedings of the IEEE International Conference on Computer Vision, Venice, Italy, 22–29 October 2017; pp. 2980–2988. [Google Scholar]
- Carion, N.; Massa, F.; Synnaeve, G.; Usunier, N.; Kirillov, A.; Zagoruyko, S. End-to-end object detection with transformers. In Proceedings of the Computer Vision–ECCV 2020: 16th European Conference, Glasgow, UK, 23–28 August 2020; Springer: Berlin/Heidelberg, Germany, 2020; pp. 213–229. [Google Scholar]
- Zhu, X.; Su, W.; Lu, L.; Li, B.; Wang, X.; Dai, J. Deformable detr: Deformable transformers for end-to-end object detection. arXiv 2020, arXiv:2010.04159. [Google Scholar]
- Zhang, S.; Chi, C.; Yao, Y.; Lei, Z.; Li, S.Z. Bridging the gap between anchor-based and anchor-free detection via adaptive training sample selection. In Proceedings of the IEEE/CVF Conference on Computer Vision and Pattern Recognition, Seattle, WA, USA, 13–19 June 2020; pp. 9759–9768. [Google Scholar]
- Zhu, B.; Wang, J.; Jiang, Z.; Zong, F.; Liu, S.; Li, Z.; Sun, J. Autoassign: Differentiable label assignment for dense object detection. arXiv 2020, arXiv:2007.03496. [Google Scholar]
- Redmon, J.; Farhadi, A. Yolov3: An incremental improvement. arXiv 2018, arXiv:1804.02767. [Google Scholar]
- Bochkovskiy, A.; Wang, C.Y.; Liao, H.Y.M. Yolov4: Optimal speed and accuracy of object detection. arXiv 2020, arXiv:2004.10934. [Google Scholar]
- Peng, F.; Miao, Z.; Li, F.; Li, Z. S-FPN: A shortcut feature pyramid network for sea cucumber detection in underwater images. Expert Syst. Appl. 2021, 182, 115306. [Google Scholar] [CrossRef]
- Zong, C.; Wang, H.; Wan, Z. An improved 3D point cloud instance segmentation method for overhead catenary height detection. Comput. Electr. Eng. 2022, 98, 107685. [Google Scholar] [CrossRef]
- Yang, M.; Wang, H.; Hu, K.; Yin, G.; Wei, Z. IA-Net: An Inception–Attention-Module-Based Network for Classifying Underwater Images From Others. IEEE J. Ocean. Eng. 2022, 47, 704–717. [Google Scholar] [CrossRef]
- Liao, L.; Du, L.; Guo, Y. Semi-supervised SAR target detection based on an improved faster R-CNN. Remote Sens. 2021, 14, 143. [Google Scholar] [CrossRef]
- Zhou, G.; Li, W.; Zhou, X.; Tan, Y.; Lin, G.; Li, X.; Deng, R. An innovative echo detection system with STM32 gated and PMT adjustable gain for airborne LiDAR. Int. J. Remote Sens. 2021, 42, 9187–9211. [Google Scholar] [CrossRef]
- Zhou, G.; Zhou, X.; Song, Y.; Xie, D.; Wang, L.; Yan, G.; Hu, M.; Liu, B.; Shang, W.; Gong, C.; et al. Design of supercontinuum laser hyperspectral light detection and ranging (LiDAR)(SCLaHS LiDAR). Int. J. Remote Sens. 2021, 42, 3731–3755. [Google Scholar] [CrossRef]
- Wu, X.; Hong, D.; Tian, J.; Chanussot, J.; Li, W.; Tao, R. ORSIm detector: A novel object detection framework in optical remote sensing imagery using spatial-frequency channel features. IEEE Trans. Geosci. Remote Sens. 2019, 57, 5146–5158. [Google Scholar] [CrossRef]
- Wu, X.; Hong, D.; Chanussot, J. UIU-Net: U-Net in U-Net for infrared small object detection. IEEE Trans. Image Process. 2022, 32, 364–376. [Google Scholar] [CrossRef]
- Zhou, G.; Li, C.; Zhang, D.; Liu, D.; Zhou, X.; Zhan, J. Overview of underwater transmission characteristics of oceanic LiDAR. IEEE J. Sel. Top. Appl. Earth Obs. Remote Sens. 2021, 14, 8144–8159. [Google Scholar] [CrossRef]
- Liu, L.; Zhang, S.; Zhang, L.; Pan, G.; Yu, J. Multi-UUV Maneuvering Counter-Game for Dynamic Target Scenario Based on Fractional-Order Recurrent Neural Network. IEEE Trans. Cybern. 2022, 1–14. [Google Scholar] [CrossRef]
- Xie, B.; Li, S.; Lv, F.; Liu, C.H.; Wang, G.; Wu, D. A collaborative alignment framework of transferable knowledge extraction for unsupervised domain adaptation. IEEE Trans. Knowl. Data Eng. 2022; Early Access. [Google Scholar] [CrossRef]
- Zhao, Z.; Liu, Y.; Sun, X.; Liu, J.; Yang, X.; Zhou, C. Composited FishNet: Fish Detection and Species Recognition From Low-Quality Underwater Videos. IEEE Trans. Image Process. 2021, 30, 4719–4734. [Google Scholar] [CrossRef] [PubMed]
- Sandler, M.; Howard, A.; Zhu, M.; Zhmoginov, A.; Chen, L.C. Mobilenetv2: Inverted residuals and linear bottlenecks. In Proceedings of the IEEE Conference on Computer Vision and Pattern Recognition, Salt Lake City, UT, USA, 18–23 June 2018; pp. 4510–4520. [Google Scholar]
- Chollet, F. Xception: Deep learning with depthwise separable convolutions. In Proceedings of the IEEE Conference on Computer Vision and Pattern Recognition, Honolulu, HI, USA, 21–26 July 2017; pp. 1251–1258. [Google Scholar]
- Lin, T.Y.; Dollár, P.; Girshick, R.; He, K.; Hariharan, B.; Belongie, S. Feature pyramid networks for object detection. In Proceedings of the IEEE Conference on Computer Vision and Pattern Recognition, Honolulu, HI, USA, 21–26 July 2017; pp. 2117–2125. [Google Scholar]
- Yeh, C.H.; Lin, C.H.; Kang, L.W.; Huang, C.H.; Lin, M.H.; Chang, C.Y.; Wang, C.C. Lightweight deep neural network for joint learning of underwater object detection and color conversion. IEEE Trans. Neural Netw. Learn. Syst. 2021, 33, 6129–6143. [Google Scholar] [CrossRef]
- Tan, C.; DanDan, C.; Huang, H.; Yang, Q.; Huang, X. A Lightweight Underwater Object Detection Model: FL-YOLOV3-TINY. In Proceedings of the 2021 IEEE 12th Annual Information Technology, Electronics and Mobile Communication Conference (IEMCON), Vancouver, BC, Canada, 27–30 October 2021; pp. 0127–0133. [Google Scholar]
- Mehta, S.; Rastegari, M. Mobilevit: Light-weight, general-purpose, and mobile-friendly vision transformer. arXiv 2021, arXiv:2110.02178. [Google Scholar]
- Dosovitskiy, A.; Beyer, L.; Kolesnikov, A.; Weissenborn, D.; Zhai, X.; Unterthiner, T.; Dehghani, M.; Minderer, M.; Heigold, G.; Gelly, S.; et al. An image is worth 16x16 words: Transformers for image recognition at scale. arXiv 2020, arXiv:2010.11929. [Google Scholar]
- Tong, K.; Wu, Y.; Zhou, F. Recent advances in small object detection based on deep learning: A review. Image Vis. Comput. 2020, 97, 103910. [Google Scholar] [CrossRef]
- Liu, Y.; Sun, P.; Wergeles, N.; Shang, Y. A survey and performance evaluation of deep learning methods for small object detection. Expert Syst. Appl. 2021, 172, 114602. [Google Scholar] [CrossRef]
- Sun, W.; Dai, L.; Zhang, X.; Chang, P.; He, X. RSOD: Real-time small object detection algorithm in UAV-based traffic monitoring. Appl. Intell. 2022, 52, 8448–8463. [Google Scholar] [CrossRef]
- Qi, G.; Zhang, Y.; Wang, K.; Mazur, N.; Liu, Y.; Malaviya, D. Small Object Detection Method Based on Adaptive Spatial Parallel Convolution and Fast Multi-Scale Fusion. Remote Sens. 2022, 14, 420. [Google Scholar] [CrossRef]
- Chen, Q.; Wang, Y.; Yang, T.; Zhang, X.; Cheng, J.; Sun, J. You only look one-level feature. In Proceedings of the IEEE/CVF Conference on Computer Vision and Pattern Recognition, Nashville, TN, USA, 19–25 June 2021; pp. 13039–13048. [Google Scholar]
- Lin, W.H.; Zhong, J.X.; Liu, S.; Li, T.; Li, G. RoIMix: Proposal-fusion among multiple images for underwater object detection. In Proceedings of the ICASSP 2020—2020 IEEE International Conference on Acoustics, Speech and Signal Processing (ICASSP), Barcelona, Spain, 4–8 May 2020; pp. 2588–2592. [Google Scholar]
- Lin, T.Y.; Maire, M.; Belongie, S.; Hays, J.; Perona, P.; Ramanan, D.; Dollár, P.; Zitnick, C.L. Microsoft coco: Common objects in context. In Proceedings of the European Conference on Computer Vision, Zurich, Switzerland, 6–12 September 2014; Springer: Berlin/Heidelberg, Germany, 2014; pp. 740–755. [Google Scholar]
- Chen, K.; Wang, J.; Pang, J.; Cao, Y.; Xiong, Y.; Li, X.; Sun, S.; Feng, W.; Liu, Z.; Xu, J.; et al. MMDetection: Open mmlab detection toolbox and benchmark. arXiv 2019, arXiv:1906.07155. [Google Scholar]
- Lu, X.; Li, B.; Yue, Y.; Li, Q.; Yan, J. Grid r-cnn. In Proceedings of the IEEE/CVF Conference on Computer Vision and Pattern Recognition, Long Beach, CA, USA, 15–20 June 2019; pp. 7363–7372. [Google Scholar]
- Zhang, H.; Chang, H.; Ma, B.; Wang, N.; Chen, X. Dynamic R-CNN: Towards high quality object detection via dynamic training. In Proceedings of the Computer Vision–ECCV 2020: 16th European Conference, Glasgow, UK, 23–28 August 2020; Springer: Berlin/Heidelberg, Germany, 2020; pp. 260–275. [Google Scholar]
- Cai, Z.; Vasconcelos, N. Cascade R-CNN: High quality object detection and instance segmentation. IEEE Trans. Pattern Anal. Mach. Intell. 2019, 43, 1483–1498. [Google Scholar] [CrossRef] [PubMed]
- Pang, J.; Chen, K.; Shi, J.; Feng, H.; Ouyang, W.; Lin, D. Libra r-cnn: Towards balanced learning for object detection. In Proceedings of the IEEE/CVF Conference on Computer Vision and Pattern Recognition, Long Beach, CA, USA, 15–20 June 2019; pp. 821–830. [Google Scholar]
- Sun, P.; Zhang, R.; Jiang, Y.; Kong, T.; Xu, C.; Zhan, W.; Tomizuka, M.; Li, L.; Yuan, Z.; Wang, C.; et al. Sparse r-cnn: End-to-end object detection with learnable proposals. In Proceedings of the IEEE/CVF Conference on Computer Vision and Pattern Recognition, Nashville, TN, USA, 19–25 June 2021; pp. 14454–14463. [Google Scholar]
- Tian, Z.; Shen, C.; Chen, H.; He, T. Fcos: Fully convolutional one-stage object detection. In Proceedings of the IEEE/CVF International Conference on Computer Vision, Seoul, Republic of Korea, 27 October–2 November 2019; pp. 9627–9636. [Google Scholar]
- Jin, H.S.; Cho, H.; Jiafeng, H.; Lee, J.H.; Kim, M.J.; Jeong, S.K.; Ji, D.H.; Joo, K.; Jung, D.; Choi, H.S. Hovering control of UUV through underwater object detection based on deep learning. Ocean. Eng. 2022, 253, 111321. [Google Scholar] [CrossRef]
- Álvarez-Tuñón, O.; Jardón, A.; Balaguer, C. Generation and processing of simulated underwater images for infrastructure visual inspection with UUVs. Sensors 2019, 19, 5497. [Google Scholar] [CrossRef]
- Watson, S.; Duecker, D.A.; Groves, K. Localisation of unmanned underwater vehicles (UUVs) in complex and confined environments: A review. Sensors 2020, 20, 6203. [Google Scholar] [CrossRef]
- Yang, M.; Hu, J.; Li, C.; Rohde, G.; Du, Y.; Hu, K. An in-depth survey of underwater image enhancement and restoration. IEEE Access 2019, 7, 123638–123657. [Google Scholar] [CrossRef]
- Anwar, S.; Li, C. Diving deeper into underwater image enhancement: A survey. Signal Process. Image Commun. 2020, 89, 115978. [Google Scholar] [CrossRef]
- Hendrycks, D.; Dietterich, T.G. Benchmarking neural network robustness to common corruptions and surface variations. arXiv 2018, arXiv:1807.01697. [Google Scholar]














| Method | #Param | AP | AP50 | AP75 | APs | APm | APl |
|---|---|---|---|---|---|---|---|
| Baseline | 36.2 M | 32.2 | 65.3 | 28.2 | 9.2 | 32.6 | 48.0 |
| Baseline + mobilevit | 6.94 M | 37.3 | 74.6 | 32.3 | 21.9 | 37.9 | 48.1 |
| Baseline + mobilevit + FG-FPN | 7.68 M | 38.1 | 75.4 | 32.9 | 22.3 | 38.6 | 49.1 |
| Baseline + mobilevit + FG-FPN + TTA | 7.68 M | 38.5 | 76.3 | 32.7 | 22.8 | 39.3 | 49.0 |
Disclaimer/Publisher’s Note: The statements, opinions and data contained in all publications are solely those of the individual author(s) and contributor(s) and not of MDPI and/or the editor(s). MDPI and/or the editor(s) disclaim responsibility for any injury to people or property resulting from any ideas, methods, instructions or products referred to in the content. |
© 2023 by the authors. Licensee MDPI, Basel, Switzerland. This article is an open access article distributed under the terms and conditions of the Creative Commons Attribution (CC BY) license (https://creativecommons.org/licenses/by/4.0/).
Share and Cite
Chen, G.; Mao, Z.; Wang, K.; Shen, J. HTDet: A Hybrid Transformer-Based Approach for Underwater Small Object Detection. Remote Sens. 2023, 15, 1076. https://doi.org/10.3390/rs15041076
Chen G, Mao Z, Wang K, Shen J. HTDet: A Hybrid Transformer-Based Approach for Underwater Small Object Detection. Remote Sensing. 2023; 15(4):1076. https://doi.org/10.3390/rs15041076
Chicago/Turabian StyleChen, Gangqi, Zhaoyong Mao, Kai Wang, and Junge Shen. 2023. "HTDet: A Hybrid Transformer-Based Approach for Underwater Small Object Detection" Remote Sensing 15, no. 4: 1076. https://doi.org/10.3390/rs15041076
APA StyleChen, G., Mao, Z., Wang, K., & Shen, J. (2023). HTDet: A Hybrid Transformer-Based Approach for Underwater Small Object Detection. Remote Sensing, 15(4), 1076. https://doi.org/10.3390/rs15041076

