Study on Regional Eco-Environmental Quality Evaluation Considering Land Surface and Season Differences: A Case Study of Zhaotong City
Abstract
1. Introduction
2. Materials and Methods
2.1. Study Area
2.2. Data Sources and Processing
2.3. Methods
2.3.1. Calculation of ECEI
2.3.2. Calculation of EI
2.3.3. Calculation of SDE
2.3.4. Trend Analysis Method
3. Results
3.1. Spatiotemporal Change Analysis of ECEI
3.2. Change Direction of ECEI Based on SDE
3.3. Change Trend of ECEI Based on the Trend Analysis Method
4. Discussion
4.1. Analysis of ECEI’s SPCA Results
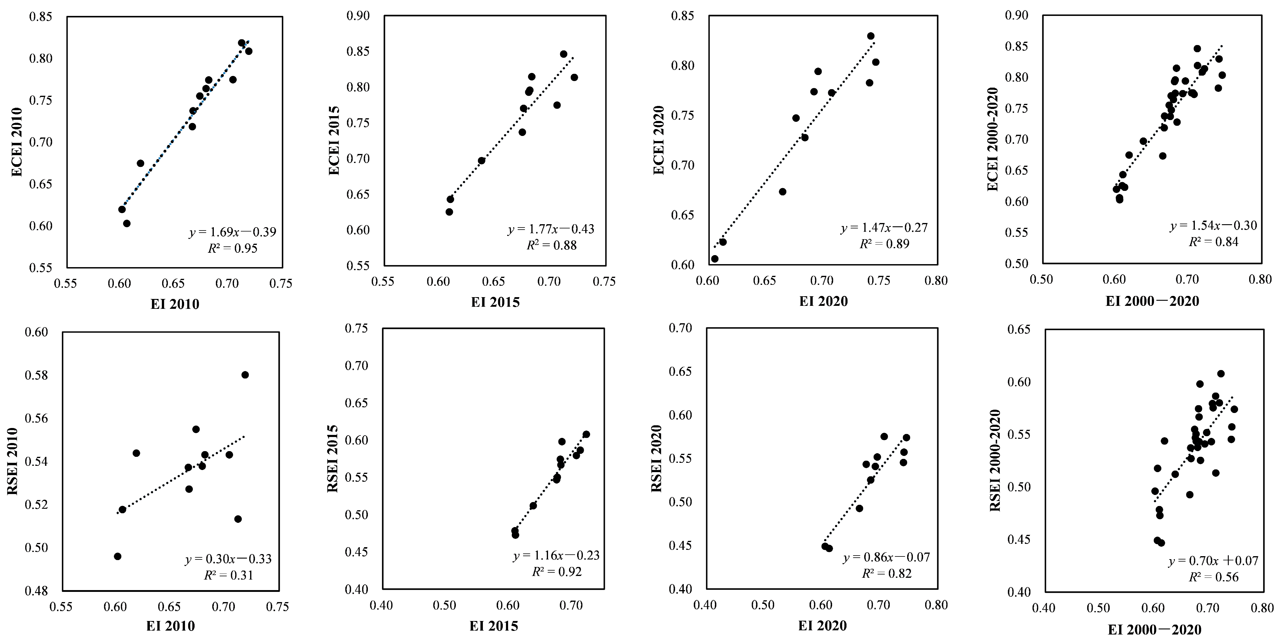
4.2. Validation of ECEI by Comparing with EI
4.3. Implications, Limitations, and Further Study
5. Conclusions
Author Contributions
Funding
Institutional Review Board Statement
Informed Consent Statement
Data Availability Statement
Acknowledgments
Conflicts of Interest
Abbreviations
| AI | Abundance index | An index for describing regional biological abundance |
| BI | Biodiversity index | An index for describing regional biodiversity |
| ECEI | Eco-environmental comprehensive evaluation index | An index for evaluating regional comprehensive eco-environmental quality |
| EEQ | Eco-environmental quality | A measure of regional eco-environmental quality |
| EI | Ecological index | An index for describing ecological quality |
| GEE | Google Earth Engine | A cloud platform for processing massive data |
| HQI | Habitat quality index | An index for describing regional habitat quality |
| LSI | Land stress index | An index for describing regional land stress |
| LST | Land surface temperature | An index for describing regional eco-environmental heat |
| NDBSI | Normalized difference build-up and soil index | An index for describing regional eco-environmental dryness |
| NDVI | Normalized difference vegetation index | An index for describing regional eco-environmental greenness |
| RSEI | Remote sensing ecological index | An index for describing eco-environmental quality |
| SDE | Standard deviation ellipse | An ellipse for measuring the standard deviation of data |
| SPCA | Spatial principal component analysis | A multivariate statistical analysis method |
| WET | Wetness | An index for describing regional eco-environmental wetness |
| WNDI | Water network density index | An index for describing regional water network density |
References
- Zhang, X.; Song, W.; Wang, J.; Wen, B.; Yang, D.; Jiang, S.; Wu, Y. Analysis on decoupling between urbanization level and urbanization quality in China. Sustainability 2020, 12, 6835. [Google Scholar] [CrossRef]
- United Nations. World Urbanization Prospects: The 2013 Revision; United Nations: New York, NY, USA, 2014. [Google Scholar]
- National Bureau of Statistics of the People’s Republic of China. China Statistical Yearbook (2022); China Statistics Press: Beijing, China, 2022.
- Zhao, G.; Mu, X.; Wen, Z.; Wang, F.; Gao, P. Soil erosion, conservation, and eco-environment changes in the Loess plateau of China. Land Degrad. Develop. 2013, 24, 499–510. [Google Scholar] [CrossRef]
- Rao, E.; Xiao, Y.; Ouyang, Z.; Yu, X. National assessment of soil erosion and its spatial patterns in China. Ecosyst. Health Sust. 2015, 1, 1–10. [Google Scholar] [CrossRef]
- Pennekamp, F.; Pontarp, M.; Tabi, A.; Altermatt, F.; Alther, R.; Choffat, Y.; Fronhofer, E.; Ganesanandamoorthy, P.; Garnier, A.; Griffiths, J.; et al. Biodiversity increases and decreases ecosystem stability. Nature 2018, 563, 109–112. [Google Scholar] [CrossRef]
- Hao, J.; Xu, G.; Luo, L.; Zhang, Z.; Yang, H.; Li, H. Quantifying the relative contribution of natural and human factors to vegetation coverage variation in coastal wetlands in China. Catena 2020, 188, 104429. [Google Scholar] [CrossRef]
- Estoque, R.C.; Murayama, Y.; Myint, S.W. Effects of landscape composition and pattern on land surface temperature: An urban heat island study in the megacities of southeast Asia. Sci. Total Environ. 2017, 577, 349–359. [Google Scholar] [CrossRef]
- Geng, X.; Zhang, D.; Li, C.; Yuan, Y.; Yu, Z.; Wang, X. Impacts of climate zones on urban heat island: Spatiotemporal variations, trends, and drivers in China from 2001-2020. Sustain. Cities Soc. 2023, 89, 104303. [Google Scholar] [CrossRef]
- Dey, S.; Girolamo, L.D.; Donkelaar, A.; Tripathi, S.N.; Gupta, T.; Mohan, M. Variability of outdoor fine particulate (PM2.5) concentration in the Indian subcontinent: A remote sensing approach. Remote Sens. Environ. 2012, 127, 153–161. [Google Scholar] [CrossRef]
- Liu, M.; Bi, J.; Ma, Z. Visibility-based PM2.5 concentrations in China: 1957-1964 and 1973-2014. Environ. Sci. Technol. 2017, 51, 13161–13169. [Google Scholar] [CrossRef]
- Hu, S.; Yang, Y.; Zheng, H.; Mi, C.; Ma, T.; Shi, R. A framework for assessing sustainable agriculture and rural development: A case study of the Beijing-Tianjin-Hebei region, China. Environ. Impact Asses. 2022, 97, 106861. [Google Scholar] [CrossRef]
- Ji, J.; Wang, S.; Zhou, Y.; Liu, W.; Wang, L. Spatiotemporal Change and Coordinated Development Analysis of “PopulationSociety-Economy-Resource-Ecology-Environment” in the Jing-Jin-Ji Urban Agglomeration from 2000 to 2015. Sustainability 2021, 13, 4075. [Google Scholar] [CrossRef]
- Marando, F.; Heris, M.; Zuilian, G.; Udías, A.; Mentaschi, L.; Chrysoulakis, N.; Parastatidis, D.; Maes, J. Urban heat island mitigation by green infrastructure in European Functional Urban Areas. Sustain. Cities Soc. 2022, 77, 103564. [Google Scholar] [CrossRef]
- Donati, G.; Bolliger, J.; Psomas, A.; Maurer, M.; Bach, P. Reconciling cities with nature: Identifying local blue-green infrastructure interventions for regional biodiversity enhancement. J. Environ. Manag. 2022, 316, 115254. [Google Scholar] [CrossRef] [PubMed]
- Chanchitpricha, C.; Fischer, T. The role of impact assessment in the development of urban green infrastructure: A review of EIA and SEA practices in Thailand. Impact Assess. Proj. A. 2022, 40, 191–201. [Google Scholar] [CrossRef]
- Barbosa, V.; Pradilla, M.; Chica-Mejía, J.; Bonilla, J. Functionality and Value of Green Infrastructure in Metropolitan Sprawl: What Is the City’s Future? A Case Study of the Bogotá-Sabana Northern Region; IntechOpen: London, UK, 2022. [Google Scholar]
- Ewing, R.; Hamidi, S. Compactness versus sprawl: A review of recent evidence from the United States. J. Plan. Lit. 2015, 30, 413–432. [Google Scholar] [CrossRef]
- Polidoro, M.; Lollo, J.; Barros, M. Urban sprawl and the challenges for urban planning. J. Environ. Prot. 2012, 3, 1010–1019. [Google Scholar] [CrossRef]
- Tian, L.; Li, Y.; Yan, Y.; Wang, B. Measuring urban sprawl and exploring the role planning plays: A Shanghai case study. Land Use Policy 2017, 67, 426–435. [Google Scholar] [CrossRef]
- Huang, S.; Wang, S.; Budd, W. Sprawl in Taipei’s peri-urban zone: Responses to spatial planning and implications for adapting global environmental change. Landscape Urban Plan. 2009, 90, 20–32. [Google Scholar] [CrossRef]
- Barbosa, V.; Pradilla, M. Identifying the social urban spatial structure of vulnerability: Towards climate change equity in Bogotá. Urban Plan. 2021, 6, 365–379. [Google Scholar] [CrossRef]
- Ji, J.; Tang, Z.; Zhang, W.; Liu, W.; Jin, B.; Xi, X.; Wang, F.; Zhang, R.; Guo, B.; Xu, Z.; et al. Spatiotemporal and multiscale analysis of the coupling coordination degree between economic development equality and eco-environmental quality in China from 2001 to 2020. Remote Sens. 2022, 14, 737. [Google Scholar] [CrossRef]
- Ji, J.; Wang, S.; Zhou, Y.; Liu, W.; Wang, L. Studying the Eco-Environmental Quality Variations of Jing-Jin-Ji Urban Agglomeration and Its Driving Factors in Different Ecosystem Service Regions From 2001 To 2015. IEEE Access 2020, 8, 154940–154952. [Google Scholar] [CrossRef]
- Fu, B. The evaluation of eco-environmental qualities in China. China Popul. Resour. Environ. 1992, 2, 48–54. (In Chinese) [Google Scholar]
- He, C.; Gao, B.; Huang, Q.; Ma, Q.; Dou, Y. Environmental degradation in the urban areas of China: Evidence from multi-source remote sensing data. Remote Sens. Environ. 2017, 193, 65–75. [Google Scholar] [CrossRef]
- Wei, W.; Guo, Z.; Xie, B.; Zhou, J.; Li, C. Spatiotemporal evolution of environment based on integrated remote sensing indexes in arid inland river basin in Northwest China. Environ. Sci. Pollut. Res. 2019, 26, 13062–13084. [Google Scholar] [CrossRef]
- Chang, Y.; Hou, K.; Wu, Y.; Li, X.; Zhang, J. A conceptual framework for establishing the index system of ecological environment evaluation-A case study of the upper Hanjiang River, China. Ecol. Indic. 2019, 107, 105568. [Google Scholar] [CrossRef]
- Sun, R.; Wu, Z.; Chen, B.; Yang, C.; Qi, D.; Lan, G.; Fraedrich, K. Effects of land-use change on eco-environmental quality in Hainan Island, China. Ecol. Indic. 2020, 109, 105777. [Google Scholar] [CrossRef]
- Wei, W.; Shi, S.; Zhang, X.; Zhou, L.; Xie, B.; Zhou, J.; Li, C. Regional-scale assessment of environmental vulnerability in an arid inland basin. Ecol. Indic. 2020, 109, 105792. [Google Scholar] [CrossRef]
- Chai, L.; Lha, D. A new approach of deriving indicators and comprehensive measure for ecological environmental quality assessment. Ecol. Indic. 2018, 85, 716–728. [Google Scholar] [CrossRef]
- Ariken, M.; Zhang, F.; Chan, N.; Kung, H. Coupling coordination analysis and spatio-temporal heterogeneity between urbanization and eco-environment along the Silk Road Economic Belt in China. Ecol. Indic. 2021, 121, 107014. [Google Scholar] [CrossRef]
- Huang, Y.; Qiu, Q.; Sheng, Y.; Min, X.; Cao, Y. Exploring the Relationship between Urbanization and the Eco-Environment: A Case Study of Beijing. Sustainability 2019, 11, 6298. [Google Scholar] [CrossRef]
- Yu, Q.; Ji, J.; Zhang, R.; Liu, W. Spatiotemporal evolution of coupling coordination level between eco-environment and economy based on multi-source data: A case study of Jing-Jin-Ji urban agglomeration. J. Safety Environ. 2022, 20, 3541–3549. (In Chinese) [Google Scholar]
- Ji, J.; Tang, Z.; Wang, L.; Liu, W.; Eshetu, S.; Zhang, W.; Guo, B. Spatiotemporal Analysis of the Coupling Coordination Degree between Haze Disaster and Urbanization Systems in China from 2000 to 2020. Systems 2022, 10, 150. [Google Scholar] [CrossRef]
- Yang, Q.; Liu, X.; Huang, Z.; Guo, B.; Tian, L.; Wei, C.; Meng, Y.; Zhang, Y. Integrating satellite-based passive microwave and optically sensed observations to evaluating the spatio-temporal dynamics of vegetation health in the red soil regions of southern China. Gisci. Remote Sens. 2022, 59, 215–233. [Google Scholar] [CrossRef]
- Li, K.; Chen, Y. Identifying and characterizing frequency and maximum durations of surface urban heat and cool island across global cities. Sci. Total. Environ. 2022, 859, 160218. [Google Scholar] [CrossRef]
- Ji, J.; Wang, S.; Zhou, Y.; Liu, W.; Wang, L. Spatiotemporal change and landscape pattern variation of eco-environmental quality in Jing-Jin-Ji urban agglomeration from 2001 to 2015. IEEE Access 2020, 8, 125534–125548. [Google Scholar] [CrossRef]
- Xu, H. A remote sensing urban ecological index and its application. Acta Ecol. Sinica. 2013, 33, 7853–7862. (In Chinese) [Google Scholar]
- Lin, L.; Hao, Z.; Post, C.; Mikhailova, E. Monitoring Ecological Changes on a Rapidly Urbanizing Island Using a Remote Sensing-Based Ecological Index Produced Time Series. Remote Sens. 2022, 14, 5773. [Google Scholar] [CrossRef]
- Yang, Z.; Sun, C.; Ye, J.; Gan, C.; Li, Y.; Wang, L.; Chen, Y. Spatio-Temporal Heterogeneity of Ecological Quality in Hangzhou Greater Bay Area (HGBA) of China and Response to Land Use and Cover Change. Remote Sens. 2022, 14, 5613. [Google Scholar] [CrossRef]
- Wang, J.; Ding, J.; Ge, X.; Qin, S.; Zhang, Z. Assessment of ecological quality in Northwest China (2000-2020) using the Google Earth Engine platform: Climate factors and land use/land cover contribute to ecological quality. J. Arid Land 2022, 14, 1196–1211. [Google Scholar] [CrossRef]
- Yang, X.; Meng, F.; Fu, P.; Zhang, Y.; Liu, Y. Spatiotemporal change and driving factors of the Eco-Environment quality in the Yangtze River Basin from 2001 to 2019. Ecol. Indic. 2021, 131, 108214. [Google Scholar] [CrossRef]
- Xu, D.; Cheng, J.; Xu, S.; Geng, J.; Yang, F.; Fang, H.; Xu, J.; Wang, S.; Wang, Y.; Huang, J.; et al. Understanding the Relationship between China’s Eco-Environmental Quality and Urbanization Using Multisource Remote Sensing Data. Remote Sens. 2022, 14, 198. [Google Scholar] [CrossRef]
- Xu, D.; Yang, F.; Yu, L.; Zhou, Y.; Li, H.; Ma, J.; Huang, J.; Wei, J.; Xu, Y.; Zhang, C.; et al. Quantization of the coupling mechanism between eco-environmental quality and urbanization from multisource remote sensing data. J. Clean Prod. 2021, 321, 128948. [Google Scholar] [CrossRef]
- Zhang, T.; Yang, R.; Yang, Y.; Li, L.; Chen, L. Assessing the Urban Eco-Environmental Quality by the Remote-Sensing Ecological Index: Application to Tianjin, North China. ISPRS Int. J. Geo-Inf. 2021, 10, 475. [Google Scholar] [CrossRef]
- Xu, H.; Deng, W. Rationality Analysis of MRSEI and Its Difference with RSEI. Remote Sens. Technol. Appl. 2022, 37, 1–7. (In Chinese) [Google Scholar]
- Liu, Z.; Wang, L.; Li, B. Quality Assessment of Ecological Environment Based on Google Earth Engine: A Case Study of the Zhoushan Islands. Front. Ecol. Evol. 2022, 10, 918756. [Google Scholar] [CrossRef]
- Xia, X.; Jiao, C.; Song, S.; Zhang, L.; Feng, X.; Huang, Q. Developing a method for assessing environmental sustainability based on the Google Earth Engine platform. Environ. Sci. Pollut. Res. 2022, 29, 57437–57452. [Google Scholar] [CrossRef]
- Zhang, M.; He, T.; Wu, C.; Li, G. The Spatiotemporal Changes in Ecological-Environmental Quality Caused by Farmland Consolidation Using Google Earth Engine: A Case Study from Liaoning Province in China. Remote Sens. 2022, 14, 3646. [Google Scholar] [CrossRef]
- Liu, Y.; Luo, K.; Li, L.; Shahid, M. Fluoride and sulfur dioxide indoor pollution situation and control in coal-burning endemic area in Zhaotong, Yunnan, China. Atmos. Environ. 2013, 77, 725–737. [Google Scholar] [CrossRef]
- Yunnan Provincial Bureau of Statistics. Yunnan Statistical Yearbook (2021); China Statistics Press: Beijing, China, 2021.
- Li, Y.; Chang, C.; Wang, Z.; Zhao, G. Remote sensing prediction and characteristic analysis of cultivated land salinization in different seasons and multiple soil layers in the coastal area. Int. J. Appl. Earth Obs. 2022, 111, 102838. [Google Scholar] [CrossRef]
- Ye, X.; Kuang, H. Evaluation of ecological quality in southeast Chongqing based on modified remote sensing ecological index. Sci. Rep. 2022, 12, 15694. [Google Scholar] [CrossRef]
- Zhu, D.; Chen, T.; Wang, Z.; Niu, R. Detecting ecological spatial-temporal changes by Remote Sensing Ecological Index with local adaptability. J. Environ. Manag. 2021, 299, 113655. [Google Scholar] [CrossRef] [PubMed]
- Joshi, P.; Wynne, R.; Thomas, V. Cloud detection algorithm using SVM with SWIR2 and tasseled cap applied to Landsat 8. Int. J. Appl. Earth Obs. 2019, 82, 101898. [Google Scholar] [CrossRef]
- Liu, Q.; Liu, G.; Huang, C.; Xie, C.; Chu, L.; Shi, L. Comparison of tasselled cap components of images from Landsat 5 Thematic Mapper and Landsat 7 Enhanced Thematic Mapper Plus. J. Spat. Sci. 2016, 61, 351–365. [Google Scholar] [CrossRef]
- Technical Criterion for Ecosystem Status Evaluation, Document, HJ 192–2015. 2015. Available online: https://www.mee.gov.cn/ywgz/fgbz/bz/bzwb/stzl/201503/t20150324_298011.shtml (accessed on 2 September 2022).
- Gatti, R.; Notarnicola, C. A novel Multilevel Biodiversity Index (MBI) for combined field and satellite imagery surveys. Glob. Ecol. Conserve. 2018, 13, e00361. [Google Scholar] [CrossRef]
- Qie, G.; Lin, W.; Xu, R.; Li, L. Calculation and Analysis of SDG 15.1.2 Biodiversity Index Based on Remote Sensing: A Case Study of Demonstration Zone of Green and Integrated Ecological Development of the Yangtze River Delta. Res. Environ. Sci. 2022, 35, 1025–1036. (In Chinese) [Google Scholar]
- Wang, B.; Cheng, W. Effects of Land Use/Cover on Regional Habitat Quality under Different Geomorphic Types Based on InVEST Model. Remote Sens. 2022, 14, 1279. [Google Scholar] [CrossRef]
- Li, M.; Zhou, Y.; Xiao, P.; Tian, Y.; Huang, H.; Xiao, L. Evolution of Habitat Quality and Its Topographic Gradient Effect in Northwest Hubei Province from 2000 to 2020 Based on the InVEST Model. Land 2021, 10, 857. [Google Scholar] [CrossRef]
- Yousif, M.; Sracek, O. Integration of geological investigations with multi-GIS data layers for water resources assessment in arid regions: EI Ambagi Basin, Eastern Desert, Egypt. Environ. Earth Sci. 2016, 75, 684. [Google Scholar] [CrossRef]
- Wei, J.; Liu, S.; Li, Z.; Liu, C.; Qin, K.; Liu, X.; Pinker, R.; Dickerson, R.; Lin, J.; Boersma, K.; et al. Ground-level NO2 surveillance from space across China for high resolution using interpretable spatiotemporally weighted artificial intelligence. Environ. Sci. Technol. 2022, 56, 9988–9998. [Google Scholar] [CrossRef]
- Wei, J.; Li, Z.; Lyapustin, A.; Sun, L.; Peng, Y.; Xue, W.; Su, T.; Cribb, M. Reconstructing 1-km-resolution high-quality PM2.5 data records from 2000 to 2018 in China: Spatiotemporal variations and policy implications. Remote Sens. Environ. 2021, 252, 112136. [Google Scholar] [CrossRef]
- Xiong, J.; Ye, C.; Cheng, W.; Guo, L.; Zhou, C.; Zhang, X. The Spatiotemporal Distribution of Flash Floods and Analysis of Partition Driving Forces in Yunnan Province. Sustainability 2019, 11, 2926. [Google Scholar] [CrossRef]
- Wang, B.; Shi, W.; Miao, Z. Confidence Analysis of Standard Deviational Ellipse and Its Extension into Higher Dimensional Euclidean Space. PLoS One 2015, 10, e0118537. [Google Scholar] [CrossRef] [PubMed]
- Xu, J. Mathematical Methods in Contemporary Geography, 2nd ed.; Higher Education Press: Beijing, China, 2002. (In Chinese) [Google Scholar]
- Zhao, H.; Chen, Y.; Zhou, Y.; Pei, T.; Xie, B.; Wang, X. Spatiotemporal variation of NDVI in vegetation growing season and its responses to climate factors in mid and eastern Gansu Province from 2008 to 2016. Arid Land Geogra. 2019, 42, 1427–1435. (In Chinese) [Google Scholar]
- Gao, W.; Zhang, S.; Rao, X.; Lin, X.; Li, R. Landsat TM/OLI-Based Ecological and Environmental Quality Survey of Yellow River Basin, Inner Mongolia Section. Remote Sens. 2021, 13, 4477. [Google Scholar] [CrossRef]
- Xiong, Y.; Xu, W.; Lu, N.; Huang, S.; Wu, C.; Wang, L.; Dai, F.; Kou, W. Assessment of spatial–temporal changes of ecological environment quality based on RSEI and GEE: A case study in Erhai Lake Basin, Yunnan province, China. Ecol. Indic. 2021, 125, 107518. [Google Scholar] [CrossRef]
- Wang, Y. A demonstration analysis on the mountainous region on the south west of China for economic development and its ecological protection—The case of Zhaotong in Yunnan province. Yunnan Geogra. Environ. Researh 2004, 7, 47–50. (In Chinese) [Google Scholar]
- Jiang, C. Eco-environment of Zhaotong prefecture and countermeasures for problems. Environ. Sci. Survey 2002, 21, 29–31. (In Chinese) [Google Scholar]
- Hong, G.; Chi, W.; Pan, T.; Dou, Y.; Kuang, W.; Guo, C.; Hao, R.; Bao, Y. Examining Spatio-Temporal Dynamics of Ecological Quality in the Pan-Third Pole Region in the Past 20 years. Remote Sens. 2022, 14, 5473. [Google Scholar] [CrossRef]
- Kuang, W.; Liu, J.; Tian, H.; Shi, H.; Dong, J.; Song, C.; Li, X.; Du, G.; Hou, Y.; Lu, D.; et al. Cropland redistribution to marginal lands undermines environmental sustainability. Natl. Sci. Rev. 2022, 9, nwab091. [Google Scholar] [CrossRef]











| Name | Resolution | Data Availability | Brief Description |
|---|---|---|---|
| Landsat series | 30 m | https://www.usgs.gov/landsat-missions/landsat-collection-2-level-2-science-products accessed on 1 May 2022 | A product of land surface spectral reflectance |
| GLC_FCS30 | 30 m | https://data.casearth.cn/ accessed on 15 May 2022 | A product of global land cover with fine classification system |
| ASTER GDEM | 30 m | http://www.gscloud.cn/home accessed on 22 May 2022 | A product of global digital elevation model |
| Precipitation | 1000 m | http://www.geodata.cn accessed on 5 July 2022 | A product of monthly precipitation data |
| CHAP | 1000 m | https://weijing-rs.github.io/product.html accessed on 20 June 2022 | Products of China’s high-spatial air pollutants |
| HWSD | 30 arc-second | https://www.fao.org/soils-portal/soil-survey/soil-maps-and-databases/harmonized-world-soil-database-v12/en/ accessed on 20 June 2022 | A product of harmonized world soil database |
| Statistical yearbook | \ | http://www.zt.gov.cn/ accessed on 20 June 2022 | Statistical data of regional socio-economic aspects |
| Administrative boundary data | \ | http://www.ngcc.cn/ngcc/html/1/index.html accessed on 5 May 2022 | A vector dataset for data mask and spatial analysis |
| Level | Weight | Sub-Indicator | Weight |
|---|---|---|---|
| Species diversity | 0.60 | Habitat quality index (HQI) | 0.30 |
| Enhanced vegetation index (EVI) | 0.15 | ||
| Water network density index (WNDI) | 0.15 | ||
| Ecosystem diversity | 0.15 | Percentage of habitat area (Sp) | 0.05 |
| Simpson diversity index (SIDI) | 0.10 | ||
| Landscape diversity | 0.25 | Splitting index (SPLIT) | 0.15 |
| Contagion index (CONTAG) | 0.10 |
| Target Level | Element Layer | Indicator | Weight |
|---|---|---|---|
| Pollutant emissions allocation | Environment | Water quality (WQ) | 0.38 |
| Economy | Gross domestic product (GRP) | 0.33 | |
| Society | Population density (PD) | 0.29 |
| ECEI Grades | 2000 | 2005 | 2010 | 2015 | 2020 |
|---|---|---|---|---|---|
| Area Percentage/% | Area Percentage/% | Area Percentage/% | Area Percentage/% | Area Percentage/% | |
| Bad | 0.37 | 0.49 | 0.61 | 0.79 | 0.73 |
| Fair | 13.45 | 13.48 | 13.48 | 13.86 | 10.04 |
| Moderate | 22.39 | 22.31 | 22.36 | 22.44 | 23.70 |
| Good | 0.57 | 2.65 | 0.59 | 0.63 | 7.27 |
| Excellent | 63.22 | 61.07 | 62.96 | 62.28 | 58.26 |
| Year | Season | Eigenvalue of PC1 | Percentage of PC1/% |
|---|---|---|---|
| 2000 | Spring–Summer | 0.0303 | 73.40 |
| Autumn–Winter | 0.0292 | 80.24 | |
| 2005 | Spring–Summer | 0.0325 | 69.94 |
| Autumn–Winter | 0.0298 | 73.72 | |
| 2010 | Spring | 0.0312 | 72.16 |
| Summer | 0.0302 | 70.92 | |
| Autumn | 0.0303 | 65.83 | |
| Winter | 0.0325 | 69.94 | |
| 2015 | Spring | 0.0321 | 81.47 |
| Summer | 0.0290 | 86.93 | |
| Autumn | 0.0297 | 85.43 | |
| Winter | 0.0308 | 78.53 | |
| 2020 | Spring | 0.0352 | 77.91 |
| Summer | 0.0306 | 80.04 | |
| Autumn | 0.0301 | 82.77 | |
| Winter | 0.0313 | 79.18 |
Disclaimer/Publisher’s Note: The statements, opinions and data contained in all publications are solely those of the individual author(s) and contributor(s) and not of MDPI and/or the editor(s). MDPI and/or the editor(s) disclaim responsibility for any injury to people or property resulting from any ideas, methods, instructions or products referred to in the content. |
© 2023 by the authors. Licensee MDPI, Basel, Switzerland. This article is an open access article distributed under the terms and conditions of the Creative Commons Attribution (CC BY) license (https://creativecommons.org/licenses/by/4.0/).
Share and Cite
Ji, J.; Tang, Z.; Jiang, L.; Sheng, T.; Zhao, F.; Zhang, R.; Shifaw, E.; Liu, W.; Li, H.; Liu, X.; et al. Study on Regional Eco-Environmental Quality Evaluation Considering Land Surface and Season Differences: A Case Study of Zhaotong City. Remote Sens. 2023, 15, 657. https://doi.org/10.3390/rs15030657
Ji J, Tang Z, Jiang L, Sheng T, Zhao F, Zhang R, Shifaw E, Liu W, Li H, Liu X, et al. Study on Regional Eco-Environmental Quality Evaluation Considering Land Surface and Season Differences: A Case Study of Zhaotong City. Remote Sensing. 2023; 15(3):657. https://doi.org/10.3390/rs15030657
Chicago/Turabian StyleJi, Jianwan, Zhanzhong Tang, Linlin Jiang, Tian Sheng, Fei Zhao, Rui Zhang, Eshetu Shifaw, Wenliang Liu, Huan Li, Xinhan Liu, and et al. 2023. "Study on Regional Eco-Environmental Quality Evaluation Considering Land Surface and Season Differences: A Case Study of Zhaotong City" Remote Sensing 15, no. 3: 657. https://doi.org/10.3390/rs15030657
APA StyleJi, J., Tang, Z., Jiang, L., Sheng, T., Zhao, F., Zhang, R., Shifaw, E., Liu, W., Li, H., Liu, X., & Lu, H. (2023). Study on Regional Eco-Environmental Quality Evaluation Considering Land Surface and Season Differences: A Case Study of Zhaotong City. Remote Sensing, 15(3), 657. https://doi.org/10.3390/rs15030657

