Unabated Global Ocean Warming Revealed by Ocean Heat Content from Remote Sensing Reconstruction
Abstract
1. Introduction
2. Materials and Methods
2.1. Materials
2.2. Methods
3. Results
3.1. Time Evolution of OHC
3.2. Earth’s Energy Imbalance for Validation
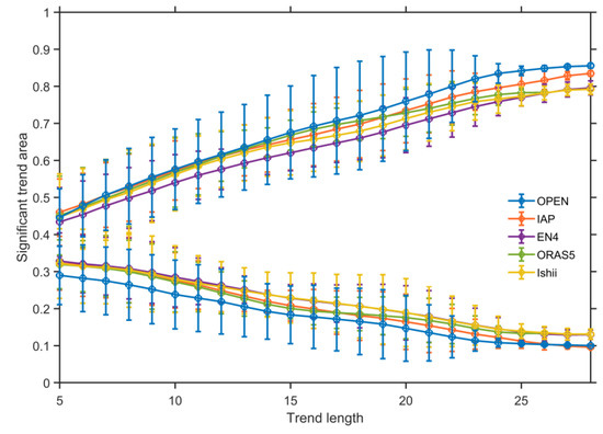
3.3. Global OHC Trends and Ocean Warming Tracking
3.4. Global OHC Changes with ENSO
4. Conclusions
Author Contributions
Funding
Data Availability Statement
Conflicts of Interest
References
- Cheng, L.; Trenberth, K.; Fasullo, J.; Boyer, T.; Schuckmann, K.; Zhu, J. Taking the Pulse of the Planet. Eos Trans. Am. Geophys. Union 2017, 98. [Google Scholar] [CrossRef]
- Tokarska, K.B.; Hegerl, G.C.; Schurer, A.P.; Ribes, A.; Fasullo, J.T. Quantifying human contributions to past and future ocean warming and thermosteric sea level rise. Environ. Res. Lett. 2019, 14, 074020. [Google Scholar] [CrossRef]
- Charles, E.; Meyssignac, B.; Ribes, A. Observational constraint on greenhouse gas and aerosol contributions to global ocean heat content changes. J. Clim. 2020, 33, 10579–10591. [Google Scholar] [CrossRef]
- Storto, A.; Balmaseda, M.A.; De Boisseson, E.; Giese, B.S.; Masina, S.; Yang, C. The 20th century global warming signature on the ocean at global and basin scales as depicted from historical reanalyses. Int. J. Climatol. 2021, 41, 5977–5997. [Google Scholar] [CrossRef]
- Trenberth, K.E.; Fasullo, J.T.; Balmaseda, M.A. Earth’s energy imbalance. J. Clim. 2014, 27, 3129–3144. [Google Scholar] [CrossRef]
- Trenberth, K.E.; Fasullo, J.T.; von Schuckmann, K.; Cheng, L. Insights into Earth’s Energy Imbalance from Multiple Sources . J. Clim. 2016, 29, 7495–7505. [Google Scholar] [CrossRef]
- Meyssignac, B.; Boyer, T.; Zhao, Z.; Hakuba, M.Z.; Landerer, F.W.; Stammer, D.; Köhl, A.; Kato, S.; L’Ecuyer, T.; Ablain, M.; et al. Measuring Global Ocean Heat Content to Estimate the Earth Energy Imbalance. Front. Mar. Sci. 2019, 6, 432. [Google Scholar] [CrossRef]
- Marti, F.; Blazquez, A.; Meyssignac, B.; Ablain, M.; Barnoud, A.; Fraudeau, R.; Jugier, R.; Chenal, J.; Larnicol, G.; Pfeffer, J.; et al. Monitoring the ocean heat content change and the Earth energy imbalance from space altimetry and space gravimetry. Earth Syst. Sci. Data 2022, 14, 229–249. [Google Scholar] [CrossRef]
- Cheng, L.; Abraham, J.; Hausfather, Z.; Trenberth, K.E. How fast are the oceans warming? Science 2019, 363, 128–129. [Google Scholar] [CrossRef] [PubMed]
- Arias, P.; Bellouin, N.; Coppola, E.; Jones, R.; Krinner, G.; Marotzke, J.; Naik, V.; Palmer, M.; Plattner, G.-K.; Rogelj, J. Climate Change 2021: The Physical Science Basis. Contribution of Working Group14 I to the Sixth Assessment Report of the Intergovernmental Panel on Climate Change. Tech. Summ. 2021. [Google Scholar] [CrossRef]
- Cheng, L.; Abraham, J.; Trenberth, K.E.; Fasullo, J.; Boyer, T.; Locarnini, R.; Zhang, B.; Yu, F.; Wan, L.; Chen, X.; et al. Upper Ocean Temperatures Hit Record High in 2020. Adv. Atmos. Sci. 2021, 38, 523–530. [Google Scholar] [CrossRef]
- Li, S.; Liu, W.; Lyu, K.; Zhang, X. The effects of historical ozone changes on Southern Ocean heat uptake and storage. Clim. Dyn. 2021, 57, 2269–2285. [Google Scholar] [CrossRef]
- Liu, W.; Hegglin, M.I.; Checa-Garcia, R.; Li, S.; Gillett, N.P.; Lyu, K.; Zhang, X.; Swart, N.C. Stratospheric ozone depletion and tropospheric ozone increases drive Southern Ocean interior warming. Nat. Clim. Change 2022, 12, 365–372. [Google Scholar] [CrossRef]
- Wijffels, S.; Roemmich, D.; Monselesan, D.; Church, J.; Gilson, J. Ocean temperatures chronicle the ongoing warming of Earth. Nat. Clim. Change 2016, 6, 116–118. [Google Scholar] [CrossRef]
- Bagnell, A.; DeVries, T. 20(th) century cooling of the deep ocean contributed to delayed acceleration of Earth’s energy imbalance. Nat. Commun. 2021, 12, 4604. [Google Scholar] [CrossRef]
- Abraham, J.P.; Baringer, M.; Bindoff, N.; Boyer, T.; Cheng, L.; Church, J.; Conroy, J.; Domingues, C.; Fasullo, J.; Gilson, J. A review of global ocean temperature observations: Implications for ocean heat content estimates and climate change. Rev. Geophys. 2013, 51, 450–483. [Google Scholar] [CrossRef]
- Lyu, K.; Zhang, X.; Church, J.A. Projected ocean warming constrained by the ocean observational record. Nat. Clim. Change 2021, 11, 834–839. [Google Scholar] [CrossRef]
- Von Schuckmann, K.; Cheng, L.; Palmer, M.D.; Hansen, J.; Tassone, C.; Aich, V.; Adusumilli, S.; Beltrami, H.; Boyer, T.; Cuesta-Valero, F.J. Heat stored in the Earth system: Where does the energy go? Earth Syst. Sci. Data 2020, 12, 2013–2041. [Google Scholar] [CrossRef]
- Lyman, J.M.; Good, S.A.; Gouretski, V.V.; Ishii, M.; Johnson, G.C.; Palmer, M.D.; Smith, D.M.; Willis, J.K. Robust warming of the global upper ocean. Nature 2010, 465, 334–337. [Google Scholar] [CrossRef]
- Johnson, G.C.; Lyman, J.M. Warming trends increasingly dominate global ocean. Nat. Clim. Change 2020, 10, 757–761. [Google Scholar] [CrossRef]
- Liu, W.; Xie, S.-P. An ocean view of the global surface warming hiatus. Oceanography 2018, 31, 72–79. [Google Scholar] [CrossRef]
- Hu, Z.; Hu, A.; Hu, Y. Contributions of interdecadal Pacific oscillation and Atlantic multidecadal oscillation to global ocean heat content distribution. J. Clim. 2018, 31, 1227–1244. [Google Scholar] [CrossRef]
- Rydbeck, A.; Jensen, T.G.; Smith, T.; Flatau, M.K.; Janiga, M.; Reynolds, C.A.; Ridout, J.A. Ocean heat content and the intraseasonal oscillation. Geophys. Res. Lett. 2019, 46, 14558–14566. [Google Scholar] [CrossRef]
- Hallam, S.; Guishard, M.; Josey, S.A.; Hyder, P.; Hirschi, J. Increasing tropical cyclone intensity and potential intensity in the subtropical Atlantic around Bermuda from an ocean heat content perspective 1955–2019. Environ. Res. Lett. 2021, 16, 034052. [Google Scholar] [CrossRef]
- Cheng, L.; Trenberth, K.E.; Fasullo, J.T.; Mayer, M.; Balmaseda, M.; Zhu, J. Evolution of ocean heat content related to ENSO. J. Clim. 2019, 32, 3529–3556. [Google Scholar] [CrossRef]
- Wu, Q.; Zhang, X.; Church, J.A.; Hu, J. ENSO-related global ocean heat content variations. J. Clim. 2019, 32, 45–68. [Google Scholar] [CrossRef]
- Zhang, L.; Han, W.; Li, Y.; Lovenduski, N.S. Variability of sea level and upper-ocean heat content in the Indian Ocean: Effects of subtropical Indian Ocean dipole and ENSO. J. Clim. 2019, 32, 7227–7245. [Google Scholar] [CrossRef]
- Hu, S.; Fedorov, A.V. The extreme El Niño of 2015–2016 and the end of global warming hiatus. Geophys. Res. Lett. 2017, 44, 3816–3824. [Google Scholar] [CrossRef]
- Cheng, L.; Abraham, J.; Trenberth, K.E.; Fasullo, J.; Boyer, T.; Mann, M.E.; Zhu, J.; Wang, F.; Locarnini, R.; Li, Y. Another Record: Ocean Warming Continues through 2021 despite La Niña Conditions. Adv. Atmos. Sci. 2022, 39, 373–385. [Google Scholar] [CrossRef] [PubMed]
- Cheng, L.; Foster, G.; Hausfather, Z.; Trenberth, K.E.; Abraham, J. Improved quantification of the rate of ocean warming. J. Clim. 2022, 35, 4827–4840. [Google Scholar] [CrossRef]
- Cheng, L.; Trenberth, K.E.; Fasullo, J.; Boyer, T.; Abraham, J.; Zhu, J. Improved estimates of ocean heat content from 1960 to 2015. Sci. Adv. 2017, 3, e1601545. [Google Scholar] [CrossRef]
- Li, Y.; Han, W.; Hu, A.; Meehl, G.A.; Wang, F. Multidecadal Changes of the Upper Indian Ocean Heat Content during 1965–2016. J. Clim. 2018, 31, 7863–7884. [Google Scholar] [CrossRef]
- Nuccitelli, D.; Way, R.; Painting, R.; Church, J.; Cook, J. Comment on “Ocean heat content and Earthʼs radiation imbalance. II. Relation to climate shifts”. Phys. Lett. A 2012, 376, 3466–3468. [Google Scholar] [CrossRef]
- Roemmich, D.; Church, J.; Gilson, J.; Monselesan, D.; Sutton, P.; Wijffels, S. Unabated planetary warming and its ocean structure since 2006. Nat. Clim. Change 2015, 5, 240–245. [Google Scholar] [CrossRef]
- Yan, X.H.; Boyer, T.; Trenberth, K.; Karl, T.R.; Xie, S.P.; Nieves, V.; Tung, K.K.; Roemmich, D. The global warming hiatus: Slowdown or redistribution? Earths Future 2016, 4, 472–482. [Google Scholar] [CrossRef] [PubMed]
- Su, H.; Wu, X.; Lu, W.; Zhang, W.; Yan, X.-H. Inconsistent Subsurface and Deeper Ocean Warming Signals During Recent Global Warming and Hiatus. J. Geophys. Res. Ocean. 2017, 122, 8182–8195. [Google Scholar] [CrossRef]
- Liu, W.; Xie, S.-P.; Lu, J. Tracking ocean heat uptake during the surface warming hiatus. Nat. Commun. 2016, 7, 10926. [Google Scholar] [CrossRef]
- Durack, P.J.; Gleckler, P.J.; Purkey, S.G.; Johnson, G.C.; Lyman, J.M.; Boyer, T.P. Ocean warming: From the surface to the deep in observations and models. Oceanography 2018, 31, 41–51. [Google Scholar] [CrossRef]
- Sohail, T.; Irving, D.B.; Zika, J.D.; Holmes, R.M.; Church, J.A. Fifty year trends in global ocean heat content traced to surface heat fluxes in the sub-polar ocean. Geophys. Res. Lett. 2021, 48, e2020GL091439. [Google Scholar] [CrossRef]
- Wang, G.; Cheng, L.; Abraham, J.; Li, C. Consensuses and discrepancies of basin-scale ocean heat content changes in different ocean analyses. Clim. Dyn. 2018, 50, 2471–2487. [Google Scholar] [CrossRef]
- Su, H.; Zhang, H.; Geng, X.; Qin, T.; Lu, W.; Yan, X.-H. OPEN: A New Estimation of Global Ocean Heat Content for Upper 2000 Meters from Remote Sensing Data. Remote Sens. 2020, 12, 2294. [Google Scholar] [CrossRef]
- Meng, L.; Yan, C.; Zhuang, W.; Zhang, W.; Yan, X.H. Reconstruction of Three-Dimensional Temperature and Salinity Fields From Satellite Observations. J. Geophys. Res. Ocean. 2021, 126, e2021JC017605. [Google Scholar] [CrossRef]
- Su, H.; Qin, T.; Wang, A.; Lu, W. Reconstructing Ocean Heat Content for Revisiting Global Ocean Warming from Remote Sensing Perspectives. Remote Sens. 2021, 13, 3799. [Google Scholar] [CrossRef]
- Su, H.; Jiang, J.; Wang, A.; Zhuang, W.; Yan, X.-H. Subsurface temperature reconstruction for the global ocean from 1993 to 2020 using satellite observations and deep learning. Remote Sens. 2022, 14, 3198. [Google Scholar] [CrossRef]
- Su, H.; Wang, A.; Zhang, T.; Qin, T.; Du, X.; Yan, X.-H. Super-resolution of subsurface temperature field from remote sensing observations based on machine learning. Int. J. Appl. Earth Obs. Geoinf. 2021, 102, 102440. [Google Scholar] [CrossRef]
- Good, S.A.; Martin, M.J.; Rayner, N.A. EN4: Quality controlled ocean temperature and salinity profiles and monthly objective analyses with uncertainty estimates. J. Geophys. Res. Ocean. 2013, 118, 6704–6716. [Google Scholar] [CrossRef]
- Ishii, M.; Fukuda, Y.; Hirahara, S.; Yasui, S.; Suzuki, T.; Sato, K. Accuracy of global upper ocean heat content estimation expected from present observational data sets. SOLA 2017, 13, 163–167. [Google Scholar] [CrossRef]
- Zuo, H.; Balmaseda, M.; Mogensen, K. The ECMWF-MyOcean2 eddy-permitting ocean and sea-ice reanalysis ORAP5. Part 1: Implementation. ECMWF Tech. Memo. 2015, 736, 1–42. [Google Scholar]
- Loeb, N.G.; Doelling, D.R.; Wang, H.; Su, W.; Nguyen, C.; Corbett, J.G.; Liang, L.; Mitrescu, C.; Rose, F.G.; Kato, S. Clouds and the earth’s radiant energy system (CERES) energy balanced and filled (EBAF) top-of-atmosphere (TOA) edition-4.0 data product. J. Clim. 2018, 31, 895–918. [Google Scholar] [CrossRef]
- Reynolds, R.W.; Rayner, N.A.; Smith, T.M.; Stokes, D.C.; Wang, W. An improved in situ and satellite SST analysis for climate. J. Clim. 2002, 15, 1609–1625. [Google Scholar] [CrossRef]
- Rayner, N.; Parker, D.E.; Horton, E.; Folland, C.K.; Alexander, L.V.; Rowell, D.; Kent, E.C.; Kaplan, A. Global analyses of sea surface temperature, sea ice, and night marine air temperature since the late nineteenth century. J. Geophys. Res. Atmos. 2003, 108. [Google Scholar] [CrossRef]
- Thomson, R.E.; Emery, W.J. Data Analysis Methods in Physical Oceanography; Elsevier Science: Newnes, Australia, 2014. [Google Scholar] [CrossRef]
- Chen, X.; Tung, K.-K. Varying planetary heat sink led to global-warming slowdown and acceleration. Science 2014, 345, 897–903. [Google Scholar] [CrossRef] [PubMed]
- Palmer, M.; McNeall, D. Internal variability of Earth’s energy budget simulated by CMIP5 climate models. Environ. Res. Lett. 2014, 9, 034016. [Google Scholar] [CrossRef]










| Data | Data Type | Time | Grid Spacing |
|---|---|---|---|
| OPEN | 3D OHC dataset | 1993.01- | 1° × 1° |
| IAP | 3D temperature dataset | 1940.01- | 1° × 1° |
| EN4 | 3D temperature dataset | 1900.01- | 1° × 1° |
| Ishii | 3D temperature dataset | 1955.01- | 1° × 1° |
| ORAS5 | 3D temperature dataset | 1979.01- | 1° × 1° |
| CERES | TOA fluxes dataset | 2000.03- | 1° × 1° |
| MOHeaCAN v2.1 | the OHC-EEI product | 2002.08- | 1° × 1° |
| SST | Sea surface temperature | 1981.01- | 1° × 1° |
| ONI | ENSO index | 1870.01- | - |
| Period | 0–300 m | 0–700 m | 0–2000 m | 700–2000 m |
|---|---|---|---|---|
| 1993–2021 | 0.38 ± 0.10 | 0.58 ± 0.17 | 0.88 ± 0.26 | 0.30 ± 0.14 |
| 2005–2021 | 0.40 ± 0.12 | 0.61 ± 0.16 | 0.93 ± 0.18 | 0.31 ± 0.15 |
| 2011–2021 | 0.52 ± 0.19 | 0.80 ± 0.29 | 1.11 ± 0.30 | 0.32 ± 0.08 |
| Data | Period | Positive Trend | Negative Trend | Significantly Positive Trend | Significantly Negative Trend |
|---|---|---|---|---|---|
| OPEN | 1993–2021 | 88.4% | 11.6% | 85.6% | 10.0% |
| IAP | 1993–2021 | 87.5% | 12.5% | 82.9% | 9.7% |
| EN4 | 1993–2021 | 83.6% | 16.4% | 79.1% | 13.4% |
| ORAS5 | 1993–2018 | 83.1% | 16.9% | 78.4% | 13.3% |
Disclaimer/Publisher’s Note: The statements, opinions and data contained in all publications are solely those of the individual author(s) and contributor(s) and not of MDPI and/or the editor(s). MDPI and/or the editor(s) disclaim responsibility for any injury to people or property resulting from any ideas, methods, instructions or products referred to in the content. |
© 2023 by the authors. Licensee MDPI, Basel, Switzerland. This article is an open access article distributed under the terms and conditions of the Creative Commons Attribution (CC BY) license (https://creativecommons.org/licenses/by/4.0/).
Share and Cite
Su, H.; Wei, Y.; Lu, W.; Yan, X.-H.; Zhang, H. Unabated Global Ocean Warming Revealed by Ocean Heat Content from Remote Sensing Reconstruction. Remote Sens. 2023, 15, 566. https://doi.org/10.3390/rs15030566
Su H, Wei Y, Lu W, Yan X-H, Zhang H. Unabated Global Ocean Warming Revealed by Ocean Heat Content from Remote Sensing Reconstruction. Remote Sensing. 2023; 15(3):566. https://doi.org/10.3390/rs15030566
Chicago/Turabian StyleSu, Hua, Yanan Wei, Wenfang Lu, Xiao-Hai Yan, and Hongsheng Zhang. 2023. "Unabated Global Ocean Warming Revealed by Ocean Heat Content from Remote Sensing Reconstruction" Remote Sensing 15, no. 3: 566. https://doi.org/10.3390/rs15030566
APA StyleSu, H., Wei, Y., Lu, W., Yan, X.-H., & Zhang, H. (2023). Unabated Global Ocean Warming Revealed by Ocean Heat Content from Remote Sensing Reconstruction. Remote Sensing, 15(3), 566. https://doi.org/10.3390/rs15030566

