Minimum Noise Fraction Analysis of TGO/NOMAD LNO Channel High-Resolution Nadir Spectra of Mars
Abstract
:1. Introduction
2. The NOMAD Instrument
2.1. LNO Instrumental Characteristics and Noise
2.2. LNO Data Calibration
3. Method Description and Synthetic Data Analysis
3.1. The Minimum Noise Fraction Transformation
3.2. Synthetic Dataset Test
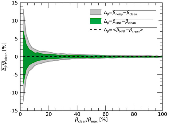
3.2.1. Best SNR Gain
3.2.2. Reconstructed Data Coherence and Scientific Case
4. Results: Application to LNO Nadir Data
4.1. Methane and Other Trace Gases
4.2. Widespread Species
4.3. Concept for Eigenvalues Selection
4.3.1. Thresholds 1 and 2 Case Studies
5. Discussion
5.1. Example of a Seasonal Gas Trend: Water Vapor
5.2. Example of Global Mapping: The Case of Gaseous CO
5.3. Example of Regional Mapping Features: The Case of CO2 Ice
6. Summary and Conclusions
Author Contributions
Funding
Data Availability Statement
Conflicts of Interest
References
- Vandaele, A.; Neefs, E.; Drummond, R.; Thomas, I.; Daerden, F.; Lopez-Moreno, J.-J.; Rodriguez, J.; Patel, M.; Bellucci, G.; Allen, M.; et al. Science objectives and performances of NOMAD, a spectrometer suite for the ExoMars TGO mission. Planet. Space Sci. 2015, 119, 233–249. [Google Scholar] [CrossRef]
- Nevejans, D.; Neefs, E.; Van Ransbeeck, E.; Berkenbosch, S.; Clairquin, R.; De Vos, L.; Moelans, W.; Glorieux, S.; Baeke, A.; Korablev, O.; et al. Compact high-resolution spaceborne echelle grating spectrometer with acousto-optical tunable filter based order sorting for the infrared domain from 22 to 43 μm. Appl. Opt. 2006, 45, 5191–5206. [Google Scholar] [CrossRef] [PubMed]
- Formisano, V.; Angrilli, F.; Arnold, G.; Atreya, S.; Bianchini, G.; Biondi, D.; Blanco, A.; Blecka, M.; Coradini, A.; Colangeli, L.; et al. The Planetary Fourier Spectrometer (PFS) onboard the European Mars Express mission. Planet. Space Sci. 2005, 53, 963–974. [Google Scholar] [CrossRef]
- Bertaux, J.-L.; Fonteyn, D.; Korablev, O.; Chassefière, E.; Dimarellis, E.; Dubois, J.; Hauchecorne, A.; Cabane, M.; Rannou, P.; Levasseur-Regourd, A.; et al. The study of the martian atmosphere from top to bottom with SPICAM light on mars express. Planet. Space Sci. 2000, 48, 1303–1320. [Google Scholar] [CrossRef]
- Korablev, O.; Montmessin, F.; Trokhimovskiy, A.; Fedorova, A.A.; Shakun, A.V.; Grigoriev, A.V.; Moshkin, B.E.; Ignatiev, N.I.; Forget, F.; Lefèvre, F.; et al. The Atmospheric Chemistry Suite (ACS) of Three Spectrometers for the ExoMars 2016 Trace Gas Orbiter. Space Sci. Rev. 2017, 214, 7. [Google Scholar] [CrossRef]
- Neefs, E.; Vandaele, A.C.; Drummond, R.; Thomas, I.R.; Berkenbosch, S.; Clairquin, R.; Delanoye, S.; Ristic, B.; Maes, J.; Bonnewijn, S.; et al. NOMAD spec-trometer on the ExoMars trace gas orbiter mission: Part 1—Design, manufacturing and testingof the infrared channels. Appl. Opt. 2015, 54, 8494–8520. [Google Scholar] [CrossRef]
- Vandaele, A.C.; the NOMAD Team; Lopez-Moreno, J.-J.; Patel, M.R.; Bellucci, G.; Daerden, F.; Ristic, B.; Robert, S.; Thomas, I.R.; Wilquet, V.; et al. NOMAD, an Integrated Suite of Three Spectrometers for the ExoMars Trace Gas Mission: Technical Description, Science Objectives and Expected Performance. Space Sci. Rev. 2018, 214, 80. [Google Scholar] [CrossRef]
- Jolliffe, I.T.; Cadima, J. Principal component analysis: A review and recent developments. Philos. Trans. R. Soc. A Math. Phys. Eng. Sci. 2016, 374, 20150202. [Google Scholar] [CrossRef]
- Green, A.A.; Berman, M.; Switzer, P.; Craig, M.D. A Transformation for Ordering Multispectral Data in Terms of Image Quality with Implications for Noise Removal. IEEE Trans. Geosci. Remote Sens. 1988, 26, 65–74. [Google Scholar] [CrossRef]
- Boardman, J.W.; Kruse, F.A. Automated Spectral Analysis: A Geological Example Using AVIRIS Data, North Grapevine Mountains, Nevada, ERIM, Ed. In Proceedings of the 10th Thematic Conference on Geological Remote Sensing, San Antonio, TX, USA, 9–12 May 1994; pp. 407–418. [Google Scholar]
- Lee, J.B.; Woodyatt, A.S.; Berman, M. Enhancement of High Spectral Resolution Remote-Sensing Data by a Noise-Adjusted Principal Components Transform. IEEE Trans. Geosci. Remote Sens. 1990, 28, 295–304. [Google Scholar] [CrossRef]
- Amato, U.; Cavalli, R.M.; Palombo, A.; Pignatti, S.; Santini, F. Experimental Approach to the Selection of the Components in the Minimum Noise Fraction. IEEE Trans. Geosci. Remote Sens. 2009, 47, 153–160. [Google Scholar] [CrossRef]
- Bjorgan, A.; Randeberg, L.L. Real-Time Noise Removal for Line-Scanning Hyperspectral Devices Using a Minimum Noise Fraction-Based Approach. Sensors 2015, 15, 3362–3378. [Google Scholar] [CrossRef]
- Luo, G.; Chen, G.; Tian, L.; Qin, K.; Qian, S.-E. Minimum Noise Fraction versus Principal Component Analysis as a Preprocessing Step for Hyperspectral Imagery Denoising. Can. J. Remote Sens. 2016, 42, 106–116. [Google Scholar] [CrossRef]
- Nielsen, A.A.; Larsen, R. Restoration of GERIS data using the maximum noise fractions transform. In Proceedings of the First International Airborne Remote Sensing Conference and Exhibition, Strasbourg, France, 11–15 September 1994; pp. 557–568. [Google Scholar]
- Moores, J.E.; King, P.L.; Smith, C.L.; Martinez, G.M.; Newman, C.E.; Guzewich, S.D.; Meslin, P.; Webster, C.R.; Mahaffy, P.R.; Atreya, S.K.; et al. The Methane Diurnal Variation and Microseepage Flux at Gale Crater, Mars as Constrained by the ExoMars Trace Gas Orbiter and Curiosity Observations. Geophys. Res. Lett. 2019, 46, 9430–9438. [Google Scholar] [CrossRef]
- Patel, M.R.; Antoine, P.; Mason, J.; Leese, M.; Hathi, B.; Stevens, A.H.; Dawson, D.; Gow, J.; Ringrose, T.; Holmes, J.; et al. NOMAD spectrometer on the ExoMars trace gas orbiter mission: Part 2—Design, manufacturing, and testing of the ultraviolet and visible channel. Appl. Opt. 2017, 56, 2771–2782. [Google Scholar] [CrossRef] [PubMed]
- Thomas, I.R.; Vandaele, A.C.; Robert, S.; Neefs, E.; Drummond, R.; Daerden, F.; Delanoye, S.; Depiesse, C.; Ristic, B.; Mahieux, A.; et al. NOMAD instrument—Part II: The IR channels—SO and LNO. Opt. Express 2016, 24, 3790–3805. [Google Scholar] [CrossRef] [PubMed]
- Liuzzi, G.; Villanueva, G.L.; Mumma, M.J.; Smith, M.D.; Daerden, F.; Ristic, B.; Thomas, I.; Vandaele, A.C.; Patel, M.R.; Lopez-Moreno, J.-J.; et al. Methane on Mars: New insights into the sensitivity of CH4 with the NOMAD/ExoMars spectrometer through its first in-flight calibration. Icarus 2019, 321, 671–690. [Google Scholar] [CrossRef]
- Thomas, I.R.; Aoki, S.; Trompet, L.; Robert, S.; Depiesse, C.; Willame, Y.; Cruz-Mermy, G.; Schmidt, F.; Erwin, J.T.; Vandaele, A.C.; et al. Calibration of NOMAD on ESA’s ExoMars Trace Gas Orbiter: Part 2—The Limb, Nadir and Occultation (LNO) channel. Planet. Space Sci. 2022, 218, 105410. [Google Scholar] [CrossRef]
- Chang, C.-I.; Du, Q. Interference and noise-adjusted principal components analysis. IEEE Trans. Geosci. Remote Sens. 1999, 37, 2387–2396. [Google Scholar] [CrossRef]
- Gordon, C. A generalization of the maximum noise fraction transform. IEEE Trans. Geosci. Remote Sens. 2000, 38, 608–610. [Google Scholar] [CrossRef]
- Oliva, F.; D’aversa, E.; Bellucci, G.; Carrozzo, F.G.; Lozano, L.R.; Altieri, F.; Thomas, I.R.; Karatekin, O.; Mermy, G.C.; Schmidt, F.; et al. Martian CO2 Ice Observation at High Spectral Resolution with ExoMars/TGO NOMAD. J. Geophys. Res. Planets 2022, 127, 7083. [Google Scholar] [CrossRef] [PubMed]
- Korablev, O.; The ACS and NOMAD Science Teams; Vandaele, A.C.; Montmessin, F.; Fedorova, A.A.; Trokhimovskiy, A.; Forget, F.; Lefèvre, F.; Daerden, F.; Thomas, I.R.; et al. No detection of methane on Mars from early ExoMars Trace Gas Orbiter observations. Nature 2019, 568, 517–520. [Google Scholar] [CrossRef] [PubMed]
- Montmessin, F.; Korablev, O.I.; Trokhimovskiy, A.; Lefèvre, F.; Fedorova, A.A.; Baggio, L.; Irbah, A.; Lacombe, G.; Olsen, K.S.; Braude, A.S.; et al. A stringent upper limit of 20 pptv for methane on Mars and constraints on its dispersion outside Gale crater. Astron. Astrophys. 2021, 650, A140. [Google Scholar] [CrossRef]
- Xue, T.; Wang, Y.; Chen, Y.; Jia, J.; Wen, M.; Guo, R.; Wu, T.; Deng, X. Mixed Noise Estimation Model for Optimized Kernel Minimum Noise Fraction Transformation in Hyperspectral Image Dimensionality Reduction. Remote Sens. 2021, 13, 2607. [Google Scholar] [CrossRef]
- Encrenaz, T.; Fouchet, T.; Melchiorri, R.; Drossart, P.; Gondet, B.; Langevin, Y.; Bibring, J.-P.; Forget, F.; Bézard, B. Seasonal variations of the martian CO over Hellas as observed by OMEGA/Mars Express. Astron. Astrophys. 2006, 459, 265–270. [Google Scholar] [CrossRef]
- Krasnopolsky, V.A. Long-term spectroscopic observations of latitudinal and seasonal variations of O2 dayglow and CO on Mars. Icarus 2006, 190, 93–102. [Google Scholar] [CrossRef]
- Modak, A.; López-Valverde, M.A.; Brines, A.; Stolzenbach, A.; Funke, B.; González-Galindo, F.; Hill, B.; Aoki, S.; Thomas, I.; Liuzzi, G.; et al. Retrieval of Martian Atmospheric CO Vertical Profiles from NOMAD Observations During the First Year of TGO Operations. J. Geophys. Res. Planets 2023, 128, 7282. [Google Scholar] [CrossRef]
- Rosenqvist, J.; Drossart, J.P.; Combes, M.; Encrenaz, T.; Lellouch, E.; Bibring, J.P.; Erard, S.; Langevin, Y.; Chassefiere, E. Minor constituents in the Martian atmosphere from the ISM/Phobos exper-iment. Icarus 1992, 98, 254–270. [Google Scholar] [CrossRef]
- Sindoni, G.; Formisano, V.; Geminale, A. Observations of water vapour and carbon monoxide in the Martian atmosphere with the SWC of PFS/MEX. Planet. Space Sci. 2011, 59, 149–162. [Google Scholar] [CrossRef]
- Smith, M.D.; Wolff, M.J.; Clancy, R.T.; Murchie, S.L. Compact Reconnaissance Imaging Spectrometer observations of water vapor and carbon monoxide. J. Geophys. Res. Planets 2009, 114, 3288. [Google Scholar] [CrossRef]
- Oliva, F.; Geminale, A.; D’Aversa, E.; Altieri, F.; Bellucci, G.; Carrozzo, F.; Sindoni, G.; Grassi, D. Properties of a Martian local dust storm in Atlantis Chaos from OMEGA/MEX data. Icarus 2018, 300, 1–11. [Google Scholar] [CrossRef]
- Flanner, M.G.; Zender, C.S.; Randerson, J.T.; Rasch, P.J. Present-day climate forcing and response from black carbon in snow. J. Geophys. Res. Atmos. 2007, 112, D11202. [Google Scholar] [CrossRef]
- Millour, E.; Forget, F.; Spiga, A.; Vals, M.; Zakharov, V.; Montabone, L.; Lefèvre, F.; Montmessin, F.; Chaufray, J.-Y.; López-Valverde, M.A. The Mars Climate Database (MCD version 6). In Proceedings of the EPSC-DPS Joint Meeting, Geneva, Switzerland, 15–20 September 2019. [Google Scholar]
- Smith, D.E.; Zuber, M.T.; Frey, H.V.; Garvin, J.B.; Head, J.W.; Muhleman, D.O.; Pettengill, G.H.; Phillips, R.J.; Solomon, S.C.; Zwally, H.J.; et al. Mars Orbiter Laser Altimeter: Experiment summary after the first year of global mapping of Mars. J. Geophys. Res. Planets 2001, 106, 23689–23722. [Google Scholar] [CrossRef]
- D’Aversa, E.; Oliva, F.; Altieri, F.; Sindoni, G.; Carrozzo, F.G.; Bellucci, G.; Forget, F.; Geminale, A.; Mahieux, A.; Aoki, S.; et al. Vertical distribution of dust in the martian atmosphere: OMEGA/MEx limb observations. Icarus 2022, 371, 114702. [Google Scholar] [CrossRef]
- Smith, M.D.; Daerden, F.; Neary, L.; Khayat, A.S.J.; Holmes, J.A.; Patel, M.R.; Villanueva, G.; Liuzzi, G.; Thomas, I.R.; Ristic, B.; et al. The climatology of carbon monoxide on Mars as observed by NOMAD na-dir-geometry observations. Icarus 2021, 362, 114404. [Google Scholar] [CrossRef]
- Langevin, Y.; Bibring, J.; Montmessin, F.; Forget, F.; Vincendon, M.; Douté, S.; Poulet, F.; Gondet, B. Observations of the south seasonal cap of Mars during recession in 2004–2006 by the OMEGA visible/near-infrared imaging spectrometer on board Mars Express. J. Geophys. Res. Planets 2007, 112, 2841. [Google Scholar] [CrossRef]
- Lozano, L.R.; Karatekin, O.; Dehant, V.; Bellucci, G.; Oliva, F.; D’aversa, E.; Carrozzo, F.G.; Altieri, F.; Thomas, I.R.; Willame, Y.; et al. Evaluation of the Capability of ExoMars-TGO NOMAD Infrared Nadir Channel for Water Ice Clouds Detection on Mars. Remote Sens. 2022, 14, 4143. [Google Scholar] [CrossRef]












| LNO Channel Instrumental Characteristics (NADIR) | |
|---|---|
| Wavelength range λ | 2.3–3.8 (μm) |
| Wavenumber range k | 2630–4250 (cm−1) |
| Resolving power λ/Δλ | 104 |
| Field of view (FOV) | 4 × 150 (arcmin2) |
| Instantaneous footprint (400 km orbit) | 0.5 × 17.5 (km2) |
| Integration time per order | |
| Detector | HgCdTe, 320 × 256 pixel |
| Signal-to-noise ratio (SNR) | 20 (average)–80 (maximum) |
| LNO Order | Spectral Features | λ Range (μm) | wn Range (cm−1) | Mean SNR |
|---|---|---|---|---|
| 168 | H2O/CO2 | 2.627–2.648 | 3776.32–3806.49 | 8 |
| 189 | CO2 ice/CO | 2335–2353 | 4248.36–4282.30 | 10 |
Disclaimer/Publisher’s Note: The statements, opinions and data contained in all publications are solely those of the individual author(s) and contributor(s) and not of MDPI and/or the editor(s). MDPI and/or the editor(s) disclaim responsibility for any injury to people or property resulting from any ideas, methods, instructions or products referred to in the content. |
© 2023 by the authors. Licensee MDPI, Basel, Switzerland. This article is an open access article distributed under the terms and conditions of the Creative Commons Attribution (CC BY) license (https://creativecommons.org/licenses/by/4.0/).
Share and Cite
Oliva, F.; D’Aversa, E.; Bellucci, G.; Carrozzo, F.G.; Ruiz Lozano, L.; Karatekin, Ö.; Daerden, F.; Thomas, I.R.; Ristic, B.; Patel, M.R.; et al. Minimum Noise Fraction Analysis of TGO/NOMAD LNO Channel High-Resolution Nadir Spectra of Mars. Remote Sens. 2023, 15, 5741. https://doi.org/10.3390/rs15245741
Oliva F, D’Aversa E, Bellucci G, Carrozzo FG, Ruiz Lozano L, Karatekin Ö, Daerden F, Thomas IR, Ristic B, Patel MR, et al. Minimum Noise Fraction Analysis of TGO/NOMAD LNO Channel High-Resolution Nadir Spectra of Mars. Remote Sensing. 2023; 15(24):5741. https://doi.org/10.3390/rs15245741
Chicago/Turabian StyleOliva, Fabrizio, Emiliano D’Aversa, Giancarlo Bellucci, Filippo Giacomo Carrozzo, Luca Ruiz Lozano, Özgür Karatekin, Frank Daerden, Ian R. Thomas, Bojan Ristic, Manish R. Patel, and et al. 2023. "Minimum Noise Fraction Analysis of TGO/NOMAD LNO Channel High-Resolution Nadir Spectra of Mars" Remote Sensing 15, no. 24: 5741. https://doi.org/10.3390/rs15245741
APA StyleOliva, F., D’Aversa, E., Bellucci, G., Carrozzo, F. G., Ruiz Lozano, L., Karatekin, Ö., Daerden, F., Thomas, I. R., Ristic, B., Patel, M. R., Lopez-Moreno, J. J., Vandaele, A. C., & Sindoni, G. (2023). Minimum Noise Fraction Analysis of TGO/NOMAD LNO Channel High-Resolution Nadir Spectra of Mars. Remote Sensing, 15(24), 5741. https://doi.org/10.3390/rs15245741

