Is Spectral Unmixing Model or Nonlinear Statistical Model More Suitable for Shrub Coverage Estimation in Shrub-Encroached Grasslands Based on Earth Observation Data? A Case Study in Xilingol Grassland, China
Abstract
:1. Introduction
2. Materials and Methods
2.1. Study Area
2.2. Field Survey Data
2.2.1. Spectral Data Measurements
2.2.2. Shrub Coverage Data
2.3. Satellite Data and Preprocessing
2.3.1. Sentinel-2
2.3.2. GF6-WFV
2.4. Methods
2.4.1. Linear Spectral Mixing Model
2.4.2. Extraction and Selection of Remote Sensing Feature Variables
2.4.3. Construction of RF Model
2.4.4. Accuracy Evaluation
3. Result
3.1. Spectral Feature Analysis
3.2. Estimation of Shrub Coverage for Linear Spectral Unmixing
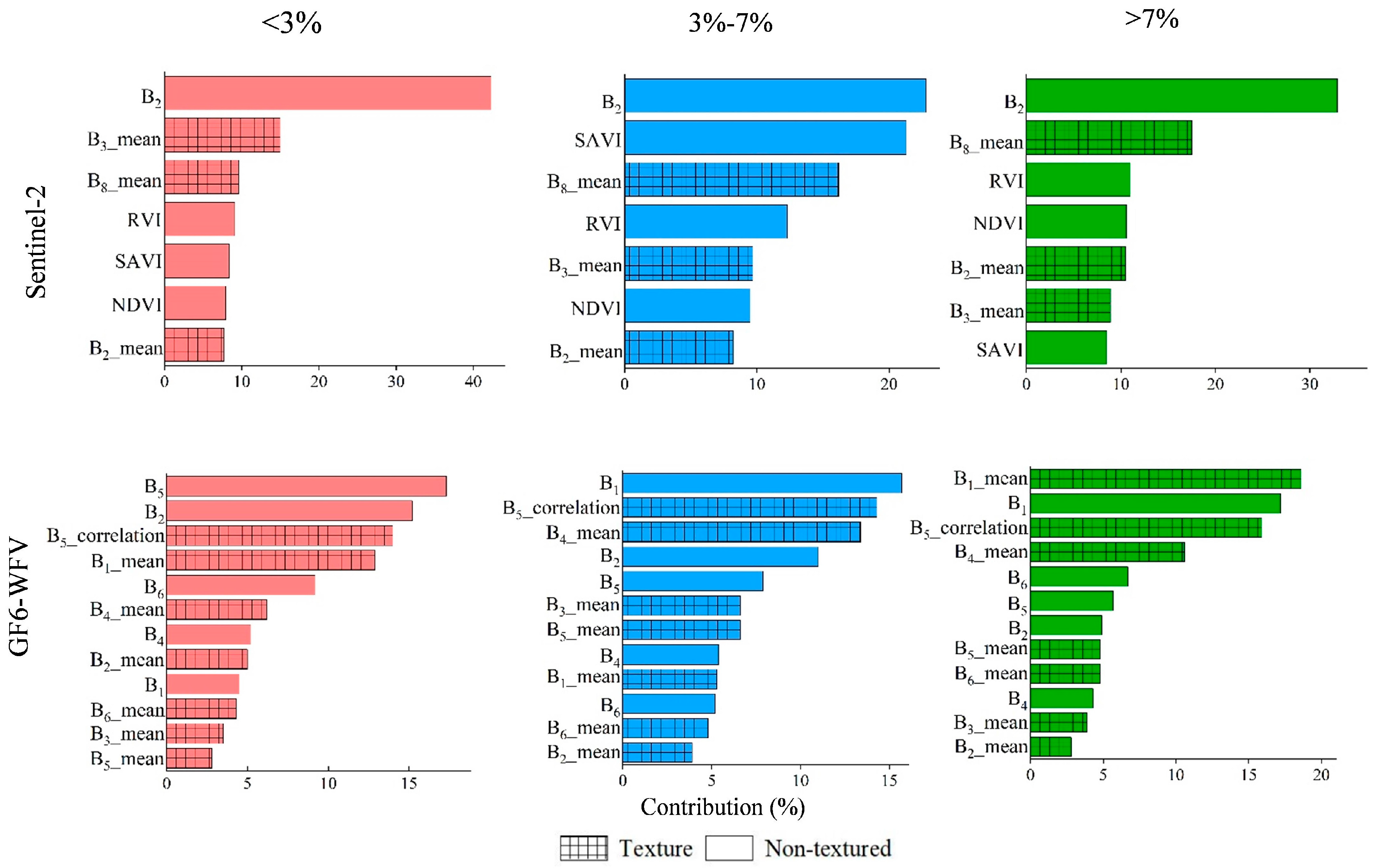
3.3. Remote Sensing-Based Selection of Feature Variables
3.4. Estimation of Shrub Coverage Using the RF Model
4. Discussion
4.1. Comparison between Ground-Measured and Aerial-Photo-Derived Shrub Coverage
4.2. Factors Influencing the Estimation of Shrub Coverage via LSMM and Comparison of Estimation Accuracy of the Different Remote Sensing Images
4.3. Factors Influencing the Estimation of Shrub Coverage with the RF Model and Comparison of Estimation Accuracy of the Different Remote Sensing-Based Imaging
4.4. Limitations and Future Research Directions
5. Conclusions
- (1)
- In the SEG, using the LSMM, estimation of shrub coverage could be achieved with medium-resolution images. Compared with the RF model, its estimation effect can still be improved; furthermore, it shows an obvious lack of differentiation between shrubs and herbs. In addition, the shrub coverage affects the estimation accuracy of the LSMM to a certain extent.
- (2)
- The RF model showed high estimation accuracy when estimating shrub coverage in the SEG using Sentinel-2 imaging, with an estimation accuracy, R2, of 0.81 and an RMSE of 0.03. The estimation accuracy, R2, of the GF6-WFV image is 0.72 and RMSE is 0.03. Especially for estimation models with high shrub coverage, the model accuracy reaches the highest level.
- (3)
- In the Sentinel-2 images, the contribution of texture features is 43.4%; in the GF6-WFV images, the contribution of texture features is 77.7%. Therefore, texture features as the preferred feature variables can help to construct a model for estimating shrub coverage in SEG and improve the estimation accuracy of the model.
- (4)
- Whether in the LSMM or in the RF model, the Sentinel-2 image may provide better estimation than the GF6-WFV imaging; these data have great potential to monitor SEGs.
Author Contributions
Funding
Data Availability Statement
Conflicts of Interest
References
- Feng, H.; Zou, B.; Luo, J. Coverage-Dependent Amplifiers of Vegetation Change on Global Water Cycle Dynamics. J. Hydrol. 2017, 550, 220–229. [Google Scholar] [CrossRef]
- Feng, L.L.; Jia, Z.Q.; Li, Q.X.; Zhao, A.Z.; Zhao, Y.L.; Zhang, Z.J. Spatiotemporal Change of Sparse Vegetation Coverage in Northern China. J. Indian Soc. Remote Sens. 2019, 47, 18–26. [Google Scholar] [CrossRef]
- Chen, L.Y.; Shen, H.H.; Fang, J.Y. Shrub Encroached Grassland: A New Vegetation Type. Chin. J. Nat. 2014, 36, 391–396. [Google Scholar]
- Archer, S.; Scifres, C.; Bassham, C.R.; Maggio, R. Autogenic Succession in a Subtropical Savanna: Conversion of Grassland to Thorn Woodland. Ecol. Monogr. 1988, 58, 111–127. [Google Scholar] [CrossRef]
- Cai, Y.R.; Yan, Y.C.; Wang, C.; Xu, D.W.; Wang, X.; Xin, X.P.; Chen, J.Q.; Eldridge, D.J. Effect of Shrubs on Soil Saturated Hydraulic Conductivity Depends on the Grazing Regime in a Semi-Arid Shrub-Encroached Grassland. Catena 2021, 207, 105680. [Google Scholar] [CrossRef]
- Zhao, Y.J.; Liu, X.L.; Wang, Y.; Zheng, Z.J.; Zheng, S.X.; Zhao, D.; Bai, Y.F. UAV-Based Individual Shrub Aboveground Biomass Estimation Calibrated against Terrestrial LiDAR in a Shrub-Encroached Grassland. Int. J. Appl. Earth Obs. Geoinf. 2021, 101, 102358. [Google Scholar] [CrossRef]
- Peng, H.Y.; Li, X.Y.; Tong, S.Y. Advance in Shrub Encroachment in Arid and Semiarid Region. Acta Pratacult. Sin. 2014, 23, 313–322. [Google Scholar]
- Jurena, P.-N.; Archer, S. Woody Plant Establishment and Spatial Heterogeneity in Grasslands. Ecology 2003, 84, 907–919. [Google Scholar] [CrossRef]
- Wang, Q.; Xie, Y.F. Methods of Turf Quality Evaluation. Pratacult. Sci. 1993, 10, 69–73. [Google Scholar]
- Zhang, Y.R.; Liu, T.X.; Tong, X.; Duan, L.M.; Jia, T.Y.; Ji, Y.X. Inversion of Vegetation Coverage Based on Multi-Source Remote Sensing Data and Machine Learning Method in Horqin Sandy Land, China. J. Desert Res. 2022, 42, 187–195. [Google Scholar]
- Du, M.M.; Li, M.Z.; Noguchi, N.; Ji, J.T.; Ye, M.C. Retrieval of Fractional Vegetation Cover from Remote Sensing Image of Unmanned Aerial Vehicle Based on Mixed Pixel Decomposition Method. Drones 2023, 7, 43. [Google Scholar] [CrossRef]
- Hu, J.Y.; Yue, J.B.; Xu, X.; Han, S.Y.; Sun, T.; Liu, Y.; Feng, H.K.; Qiao, H.B. UAV-Based Remote Sensing for Soybean FVC, LCC, and Maturity Monitoring. Agriculture 2023, 13, 692. [Google Scholar] [CrossRef]
- Meng, B.; Gao, J.; Liang, T.; Cui, X.; Ge, J.; Yin, J.; Feng, Q.; Xie, H. Modeling of Alpine Grassland Cover Based on Unmanned Aerial Vehicle Technology and Multi-Factor Methods: A Case Study in the East of Tibetan Plateau, China. Remote Sens. 2018, 10, 320. [Google Scholar] [CrossRef]
- Kattenborn, T.; Lopatin, J.; Förster, M.; Andreas, C.B.; Fabian, E.F. UAV Data as Alternative to Field Sampling to Map Woody Invasive Species Based on Combined Sentinel-1 and Sentinel-2 Data. Remote Sens. Environ. 2019, 227, 61–73. [Google Scholar] [CrossRef]
- Liu, Y.H.; Cai, Z.L.; Bao, N.S.; Liu, S.J. Research of Grassland Vegetation Coverage and Biomass Estimation Method Based on Major Quadrat from UAV Photogrammetry. Ecol. Environ. 2018, 27, 2023–2032. [Google Scholar]
- Cao, C.X.; Chen, W.; Li, G.H.; Jia, H.C.; Ji, W.; Xu, M.; Gao, M.X.; Ni, X.L.; Zhao, J.; Zheng, S.; et al. The Retrieval of Shrub Fractional Cover Based on a Geometric-Optical Model in Combination with Linear Spectral Mixture Analysis. Remote Sens. 2011, 37, 348–358. [Google Scholar] [CrossRef]
- Yang, F.; Li, J.L.; Yang, W.Y.; Qian, Y.R.; Yang, Q.; Du, Z.Q. Assessing Vegetation Coverage of Desert Grassland Based on Linear Spectral Mixture Mode. Trans. Chin. Soc. Agric. Eng. 2012, 28, 243–247. [Google Scholar]
- Liu, T.Y.; Zhao, X.; Shen, H.H.; Hu, H.F.; Huang, W.J.; Fang, J.Y. Spectral Feature Differences between Shrub and Grass Communities and Shrub Coverage Retrieval in Shrub-Encroached Grassland in Xianghuang Banner, Nei Mongol, China. Chin. J. Plant Ecol. 2016, 40, 969–979. [Google Scholar]
- Gao, L.; Wang, X.F.; Johnson, B.A.; Tian, Q.J.; Wang, Y.; Verrelst, J.; Mu, X.H.; Gu, X.F. Remote Sensing Algorithms for Estimation of Fractional Vegetation Cover Using Pure Vegetation Index Values: A Review. ISPRS J. Photogramm. Remote Sens. 2020, 159, 364–377. [Google Scholar] [CrossRef]
- Li, L.Y.; Mu, X.H.; Jiang, H.L.; Chianucci, F.; Hu, R.H.; Song, W.J.; Qi, J.B.; Liu, S.Y.; Zhou, J.X.; Chen, L.; et al. Review of Ground and Aerial Methods for Vegetation Cover Fraction (fCover) and Related Quantities Estimation: Definitions, Advances, Challenges, and Future Perspectives. ISPRS J. Photogramm. Remote Sens. 2023, 199, 133–156. [Google Scholar] [CrossRef]
- Yang, J.; Shi, M.C.; Yang, J.Y. Vegetation Coverage Inversion Based on Combined Active and Passive Remote Sensing: A Case Study of the Baiyangdian-Daqinghe Basin. J. Resour. Ecol. 2023, 14, 591–603. [Google Scholar]
- Ge, J.; Meng, B.P.; Liang, T.G. Modeling Alpine Grassland Cover Based on MODIS Data and Support Vector Machine Regression in the Headwater Region of the Huanghe River, China. Remote Sens. Environ. 2018, 218, 162–173. [Google Scholar] [CrossRef]
- Andrés, E.; Alejandro, U.; María, G.A.; González, E.M. Monitoring Rainfed Alfalfa Growth in Semiarid Agrosystems Using Sentinel-2 Imagery. Remote Sens. 2021, 13, 4719. [Google Scholar]
- Hu, Q.; Yang, J.Y.; Xu, B.D.; Huang, J.X.; Muhammad, S.M.; Yin, G.F.; Zeng, Y.L.; Zhao, J.; Liu, K. Evaluation of Global Decametric-Resolution LAI, FAPAR and FVC Estimates Derived from Sentinel-2 Imagery. Remote Sens. 2020, 12, 912. [Google Scholar] [CrossRef]
- Wang, Y.F.; Tan, L.; Wang, G.Y.; Sun, X.Y.; Xu, Y.N. Study on the Impact of Spatial Resolution on Fractional Vegetation Cover Extraction with Single-Scene and Time-Series Remote Sensing Data. Remote Sens. 2022, 14, 4165. [Google Scholar] [CrossRef]
- Zhao, H.F.; Lu, Z.; Yi, Y.; Zhao, J.Z.; Wang, D.Q.; Shi, Y.; Chen, Y. Research on Remote Sensing Estimation of Vegetation Coverage Based on Gaofen-6 Satellite. Geomat. Spat. Inf. Technol. 2022, 45, 19–23. [Google Scholar]
- Shao, J. Monitoring of Shrub Encroachment into Grassland by Utilizing Sentinel-1 and Sentinel-2 Jointly; University of Chinese Academy of Sciences: Beijing, China, 2020. [Google Scholar]
- Wu, R.H.; Zhang, X.H.; Chang, S.; Yu, H.B.; Li, X.; Zhang, Q.F. Spatial Differentiation Characteristics of Soil Organic Carbon, Total Nitrogen and Total Phosphorus in Xilingol Steppe. North. Hortic. 2023, 70–79. [Google Scholar]
- Zhou, Y.; Chen, J.; Chen, X.H.; Cao, X.; Zhu, X.L. Two Important Indicators with Potential to Identify Caragana Microphylla in Xilin Gol Grassland from Temporal MODIS Data. Ecol. Indic. 2013, 34, 520–527. [Google Scholar] [CrossRef]
- Wu, N.; Crusiol, L.G.T.; Liu, G.X.; Wuyun, D.; Han, G. Comparing Machine Learning Algorithms for Pixel/Object-Based Classifications of Semi-Arid Grassland in Northern China Using Multisource Medium Resolution Imageries. Remote Sens. 2023, 15, 750. [Google Scholar] [CrossRef]
- Ji, C.C.; Jia, Y.H.; Li, X.S.; Wang, J.Y. Research on Linear and Nonlinear Spectral Mixture Models for Estimating Vegetation Fractional Cover of Nitraria Bushes. J. Remote Sens. 2016, 20, 1402–1412. [Google Scholar]
- Lu, H.; Fan, T.X.; Ghimire, P.; Deng, L. Experimental Evaluation and Consistency Comparison of UAV Multispectral Minisensors. Remote Sens. 2020, 12, 2542. [Google Scholar] [CrossRef]
- Maulit, A.; Nugumanova, A.; Apayev, K.; Baiburin, Y.; Sutula, M. A Multispectral UAV Imagery Dataset of Wheat, Soybean and Barley Crops in East Kazakhstan. Data 2023, 8, 88. [Google Scholar] [CrossRef]
- Brunier, G.; Oiry, S.; Gruet, Y.; Dubois, S.F.; Barillé, L. Topographic Analysis of Intertidal Polychaete Reefs (Sabellaria alveolata) at a Very High Spatial Resolution. Remote Sens. 2022, 14, 307. [Google Scholar] [CrossRef]
- Zhang, C.Q.; Sun, B.; Hong, L.; Gao, Z.H.; Wang, S.S. Identification of Shrub Encroachment in Grassland by Using Multi-Source Remote Sensing Data. Spacecr. Recover. Remote Sens. 2022, 43, 123–137. [Google Scholar]
- Chen, L.Y.; Li, H.; Zhang, P.J.; Zhao, X.; Zhou, L.H.; Liu, T.Y.; Hu, H.F.; Bai, Y.F.; Shen, H.H.; Fang, J.Y. Climate and Native Grassland Vegetation as Drivers of the Community Structures of Shrub-Encroached Grasslands in Inner Mongolia, China. Landsc. Ecol. 2015, 30, 1627–1641. [Google Scholar] [CrossRef]
- Maciej, A.; Mirosław, B.; Katarzyna, L.N.; Marta, N.; Tomasz, N. Impairing Land Registry: Social, Demographic, and Economic Determinants of Forest Classification Errors. Remote Sens. 2020, 12, 2628. [Google Scholar]
- Xie, E.H.; Wu, J.E.; Yang, K. Mass Concentration in Inversion for Chlorophyll a Erhai Lake Based on Sentinel-2. Chin. J. Environ. Eng. 2022, 16, 3058–3069. [Google Scholar]
- Wang, X.X.; Lu, X.P.; Meng, Q.Y.; Li, G.Q.; Wang, J.; Zhang, L.L.; Yang, Z.N. Inversion of Leaf Area Index Based on GF6-WFV Spectral Vegetation Index Model. Spectrosc. Spectr. Anal. 2022, 42, 2278–2283. [Google Scholar]
- Li, Y.F.; Sun, B.; Gao, Z.H.; Su, W.S.; Wang, B.Y.; Yan, Z.Y.; Gao, T. Extraction of Rocky Desertification Information in Karst Area by Using Different Multispectral Sensor Data and Multiple Endmember Spectral Mixture Analysis Method. Front. Environ. Sci. 2022, 10, 2085. [Google Scholar] [CrossRef]
- Gao, D.Y. Remote Sensing Monitoring of Dynamic Change of Vegetation Coverage in Reservoir Basin Based on Mixed Pixel Decomposition; Zhengzhou University: Zhengzhou, China, 2021. [Google Scholar]
- Zhang, X.; Shang, K.; Chen, Y.; Xu, X. Estimating Ecological Indicators of Karst Rocky Desertification by Linear Spectral Unmixing Method. Int. J. Appl. Earth Obs. Geoinf. 2014, 31, 86–94. [Google Scholar] [CrossRef]
- Heinz, D.C.; Chang, C.I. Fully Constrained Least Squares Linear Spectral Mixture Analysis Method for Material Quantification in Hyperspectral Imagery. IEEE Trans. Geosci. Remote Sens. 2001, 39, 529–545. [Google Scholar] [CrossRef]
- Wang, L.G.; Liu, D.F.; Wang, Q.M. Geometric Method of Fully Constrained Least Squares Linear Spectral Mixture Analysis. IEEE Trans. Geosci. Remote Sens. 2013, 51, 3558–3566. [Google Scholar] [CrossRef]
- Ji, C.C. Research on Muti-Scale Spectral Mixture Analysis Method for Sparse Photosynthetic/Non-Photosynthetic Vegetation in Arid Area; Wuhan University: Wuhan, China, 2018. [Google Scholar]
- Haralick, R.M.; Shanmugam, K.; Dinstein, I. Textural Features for Image Classification. IEEE Trans. Syst. Man Cybern. 1973, 3, 610–621. [Google Scholar] [CrossRef]
- Chen, Y.; Yang, F.Y. Analysis of Image Texture Features Based on Gray Level Co-Occurrence Matrix. Appl. Mech. Mater. 2012, 1975, 204–208. [Google Scholar] [CrossRef]
- Liu, L.Y.; Fan, X.J. The Design of System to Texture Feature Analysis Based on Gray Level Co-Occurrence Matrix. Appl. Mech. Mater. 2015, 3759, 727–728. [Google Scholar] [CrossRef]
- Broge, N.H.; Leblanc, E. Comparing Prediction Power and Stability of Broadband and Hyperspectral Vegetation Indices for Estimation of Green Leaf Area Index and Canopy Chlorophyll Density. Remote Sens. Environ. 2001, 76, 156–172. [Google Scholar] [CrossRef]
- Jiang, Z.Y.; Huete, A.R.; Didan, K. Development of a Two-Band Enhanced Vegetation Index without a Blue Band. Remote Sens. Environ. 2008, 112, 3833–3845. [Google Scholar] [CrossRef]
- Huete, A.R. A Soil-Adjusted Vegetation Index (SAVI). Remote Sens. Environ. 1988, 25, 295–309. [Google Scholar] [CrossRef]
- Zhao, Y.S. Principles and Methods of Remote Sensing Application Analysis; Science Press: Beijing, China, 2003. [Google Scholar]
- Jaber, J.; Anis, Z. Feature Selection Engineering for Credit Risk Assessment in Retail Banking. Information 2023, 14, 200. [Google Scholar]
- Gao, H.Y.; Hou, M.J.; Ge, J.; Bao, X.Y.; Li, Y.C.; Liu, J.; Feng, Q.S.; Liang, T.G.; He, J.S.; Qian, D.W. Hyperspectral Estimation of Aboveground Biomass of Alpine Grassland Based on Random Forest. Acta Agrestia Sin. 2021, 29, 1757–1768. [Google Scholar]
- Darst, B.F.; Malecki, K.C.; Engelman, C.D. Using Recursive Feature Elimination in Random Forest to Account for Correlated Variables in High Dimensional Data. BMC Genet. 2018, 19, 65. [Google Scholar] [CrossRef]
- Ke, Y.; David, Z. Feature Selection and Analysis on Correlated Gas Sensor Data with Recursive Feature Elimination. Sens. Actuators B Chem. 2015, 212, 353–363. [Google Scholar]
- Breiman, L. Random Forests. Mach. Learn. 2001, 45, 5–32. [Google Scholar] [CrossRef]
- Belgiu, M.; Drăguţ, L. Random Forest in Remote Sensing: A Review of Applications and Future Directions. ISPRS J. Photogramm. Remote Sens. 2016, 114, 24–31. [Google Scholar] [CrossRef]
- Rodriguez-Galiano, V.F.; Ghimire, B.; Rogan, J.; Chica-Olmo, M.; Rigol-Sanchez, J.P. An Assessment of the Effectiveness of a Random Forest Classifier for Land-Cover Classification. ISPRS J. Photogramm. Remote Sens. 2012, 67, 93–104. [Google Scholar] [CrossRef]
- Zheng, G.X.; Li, X.S.; Zhang, K.X.; Wang, J.Y. Spectral Mixing Mechanism Analysis of Photosynthetic/Non-Photosynthetic Vegetation and Bared Soil Mixture in the Hunshandake Sandy Land. Spectrosc. Spectr. Anal. 2016, 36, 1063–1068. [Google Scholar]
- Feng, J.L.; Liu, K.; Zhu, Y.H.; Li, Y.; Liu, L.; Meng, L. Application of Unmanned Aerial Vehicles to Mangrove Resources Monitoring. Trop. Geogr. 2015, 35, 35–42. [Google Scholar]
- Fu, S.; Feng, Q.S.; Dang, J.Y.; Lei, K.X.; Qiao, W.X.; Liang, T.G.; Pan, D.R.; Sun, B.; Jiang, J.C. Comparison of Grassland Vegetation Coverage Extraction Algorithms from UAV Technology. Pratacult. Sci. 2022, 39, 455–464. [Google Scholar]
- Gessner, U.; Machwitz, M.; Conrad, C.; Dech, S. Estimating the Fractional Cover of Growth Forms and Bare Surface in Savannas. A Muli-Resolution Approach Based on Regression Tree Ensembles. Remote Sens. Environ. 2013, 129, 90–102. [Google Scholar] [CrossRef]
- Thenkabail, P.S.; Smith, P.B.; Pauw, E.D. Hyperspectral Vegetation Indices and Their Relationships with Agricultural Crop Characteristics. Remote Sens. Environ. 2000, 71, 158–182. [Google Scholar] [CrossRef]
- Chen, H.B.; Huang, B.B.; Peng, D.L. Comparison of Pixel Decomposition Models for the Estimation of Fractional Vegetation Coverage. J. Northwest For. Univ. 2018, 33, 203–207. [Google Scholar]
- Asner, G.P. Biophysical and Biochemical Sources of Variability in Canopy Reflectance. Remote Sens. Environ. 1998, 64, 234–253. [Google Scholar] [CrossRef]
- Smith, M.O.; Ustin, S.L.; Adanms, J.B.; Gillespie, A.R. Vegetation in Deserts: I. A Regional Measure of Abundance from Multispectral Images. Remote Sens. Environ. 1990, 31, 1–26. [Google Scholar] [CrossRef]
- Huete, A.R.; Jackson, R.D.; Post, D.F. Spectral Response of a Plant Canopy with Different Soil Backgrounds. Remote Sens. Environ. 1985, 17, 37–53. [Google Scholar] [CrossRef]
- Xu, Y.F. Parameter Retrieval and Comprehensive Growth Monitoring of Winter Wheat Based on UAV Multispectral Remote Sensing; Anhui University of Science and Technology: Huainan, China, 2022. [Google Scholar]
- Yang, Z.N.; Gong, C.L.; Ji, T.M.; Hu, Y.; Li, L. Water Quality Retrieval from ZY1-02D Hyperspectral Imagery in Urban Water Bodies and Comparison with Sentinel-2. Remote Sens. 2022, 14, 5029. [Google Scholar] [CrossRef]
- Lu, H.; Qiao, D.Y.; Li, Y.X.; Wu, S.; Deng, L. Fusion of China ZY-1 02D Hyperspectral Data and Multispectral Data: Which Methods Should Be Used? Remote Sens. 2021, 13, 2354. [Google Scholar] [CrossRef]
- Tan, W.; Wang, S.S.; He, H.Y.; Qi, W.W. Reconstructing Coastal Blue with Blue Spectrum Based on ZY-1(02D) Satellite. Optik 2021, 242, 166901. [Google Scholar] [CrossRef]
- Lou, P.Q.; Lou, P.Q.; Chen, J.; Zhu, X.F.; Wu, X.D.; Li, R.; Xie, C.W.; HU, G.J. Solifluction Identification in the Qilian Mountains Based on High Resolution Remote Sensing Imagery and Ensemble Machine Learning. J. Glaciol. Geocryol. 2023, 45, 786–797. [Google Scholar]








| Measured Shrub Coverage | Sample Size | Minimum (%) | Maximum (%) | Mean (%) | Standard Deviation (%) | Standard Error (%) | Reference |
|---|---|---|---|---|---|---|---|
| <3% | 33 | 0.4% | 2.8% | 1.8% | 0.6% | 0.1% | [35,36] |
| 3~7% | 42 | 3.1% | 6.9% | 4.5% | 0.9% | 0.2% | |
| >7% | 54 | 7.2% | 35.3% | 13.8% | 6.6% | 0.9% |
| Vegetation Index | Formula | Reference |
|---|---|---|
| Normalized vegetation index (NDVI) | [49] | |
| Rational vegetation index (RVI) | [49] | |
| Enhanced vegetation index (EVI) | [50] | |
| Soil-adjusted vegetation index (SAVI) | [51] |
| Statistical | Description |
|---|---|
| Mean | Reflects the average value of grayscale within the window |
| Contrast | The relationship between the clarity of images and the depth of texture grooves |
| Entropy | Reflects the degree of disorder in the image |
| Homogeneity | Reflects the smoothness of image distribution and is a measure of texture similarity |
| Variance | Reflects the magnitude of grayscale changes |
| Dissimilarity | Used to detect the degree of difference in images |
| Correlation | Measurement of the linear correlation of grayscale image |
| Data | Method | R2 | RMSE |
|---|---|---|---|
| Sentinel-2 | FCLS | 0.23 | 0.13 |
| GF6-WFV | 0.09 | 0.18 |
| Remote Sensing Image | Measured Shrub Coverage | Description | R2 | RMSE |
|---|---|---|---|---|
| Sentinel-2 | <3% | Shrubs and herbs cannot be distinguished | - | - |
| 3~7% | 1/2 of the shrub coverage was successfully estimated | 0.01 | 0.11 | |
| >7% | 4/5 the shrub coverage was successfully estimated | 0.13 | 0.16 | |
| GF6-WFV | <3% | Shrubs and herbs cannot be distinguished | - | - |
| 3~7% | 1/3 of the shrub coverage was successfully estimated | 0.01 | 0.19 | |
| >7% | 1/2 of the shrub coverage was successfully estimated | 0.02 | 0.22 |
| Measured Shrub Coverage | Sentinel-2 | GF6-WFV | ||
|---|---|---|---|---|
| R2 | RMSE | R2 | RMSE | |
| <3% | 0.66 | 0.004 | 0.61 | 0.003 |
| 3~7% | 0.53 | 0.005 | 0.45 | 0.007 |
| >7% | 0.67 | 0.039 | 0.66 | 0.040 |
Disclaimer/Publisher’s Note: The statements, opinions and data contained in all publications are solely those of the individual author(s) and contributor(s) and not of MDPI and/or the editor(s). MDPI and/or the editor(s) disclaim responsibility for any injury to people or property resulting from any ideas, methods, instructions or products referred to in the content. |
© 2023 by the authors. Licensee MDPI, Basel, Switzerland. This article is an open access article distributed under the terms and conditions of the Creative Commons Attribution (CC BY) license (https://creativecommons.org/licenses/by/4.0/).
Share and Cite
Xu, Z.; Sun, B.; Zhang, W.; Gao, Z.; Yue, W.; Wang, H.; Wu, Z.; Teng, S. Is Spectral Unmixing Model or Nonlinear Statistical Model More Suitable for Shrub Coverage Estimation in Shrub-Encroached Grasslands Based on Earth Observation Data? A Case Study in Xilingol Grassland, China. Remote Sens. 2023, 15, 5488. https://doi.org/10.3390/rs15235488
Xu Z, Sun B, Zhang W, Gao Z, Yue W, Wang H, Wu Z, Teng S. Is Spectral Unmixing Model or Nonlinear Statistical Model More Suitable for Shrub Coverage Estimation in Shrub-Encroached Grasslands Based on Earth Observation Data? A Case Study in Xilingol Grassland, China. Remote Sensing. 2023; 15(23):5488. https://doi.org/10.3390/rs15235488
Chicago/Turabian StyleXu, Zhengyong, Bin Sun, Wangfei Zhang, Zhihai Gao, Wei Yue, Han Wang, Zhitao Wu, and Sihan Teng. 2023. "Is Spectral Unmixing Model or Nonlinear Statistical Model More Suitable for Shrub Coverage Estimation in Shrub-Encroached Grasslands Based on Earth Observation Data? A Case Study in Xilingol Grassland, China" Remote Sensing 15, no. 23: 5488. https://doi.org/10.3390/rs15235488
APA StyleXu, Z., Sun, B., Zhang, W., Gao, Z., Yue, W., Wang, H., Wu, Z., & Teng, S. (2023). Is Spectral Unmixing Model or Nonlinear Statistical Model More Suitable for Shrub Coverage Estimation in Shrub-Encroached Grasslands Based on Earth Observation Data? A Case Study in Xilingol Grassland, China. Remote Sensing, 15(23), 5488. https://doi.org/10.3390/rs15235488

