Record Low Arctic Stratospheric Ozone in Spring 2020: Measurements of Ground-Based Differential Optical Absorption Spectroscopy in Ny-Ålesund during 2017–2021
Abstract
:1. Introduction
2. Methods
2.1. Ozone VCD Observation
2.1.1. ZSL-DOAS Instrument and Experimental Location
2.1.2. Calculation of Ozone VCD
2.1.3. Error Estimation
2.2. Auxiliary Data
3. Results
3.1. Ozone VCDs
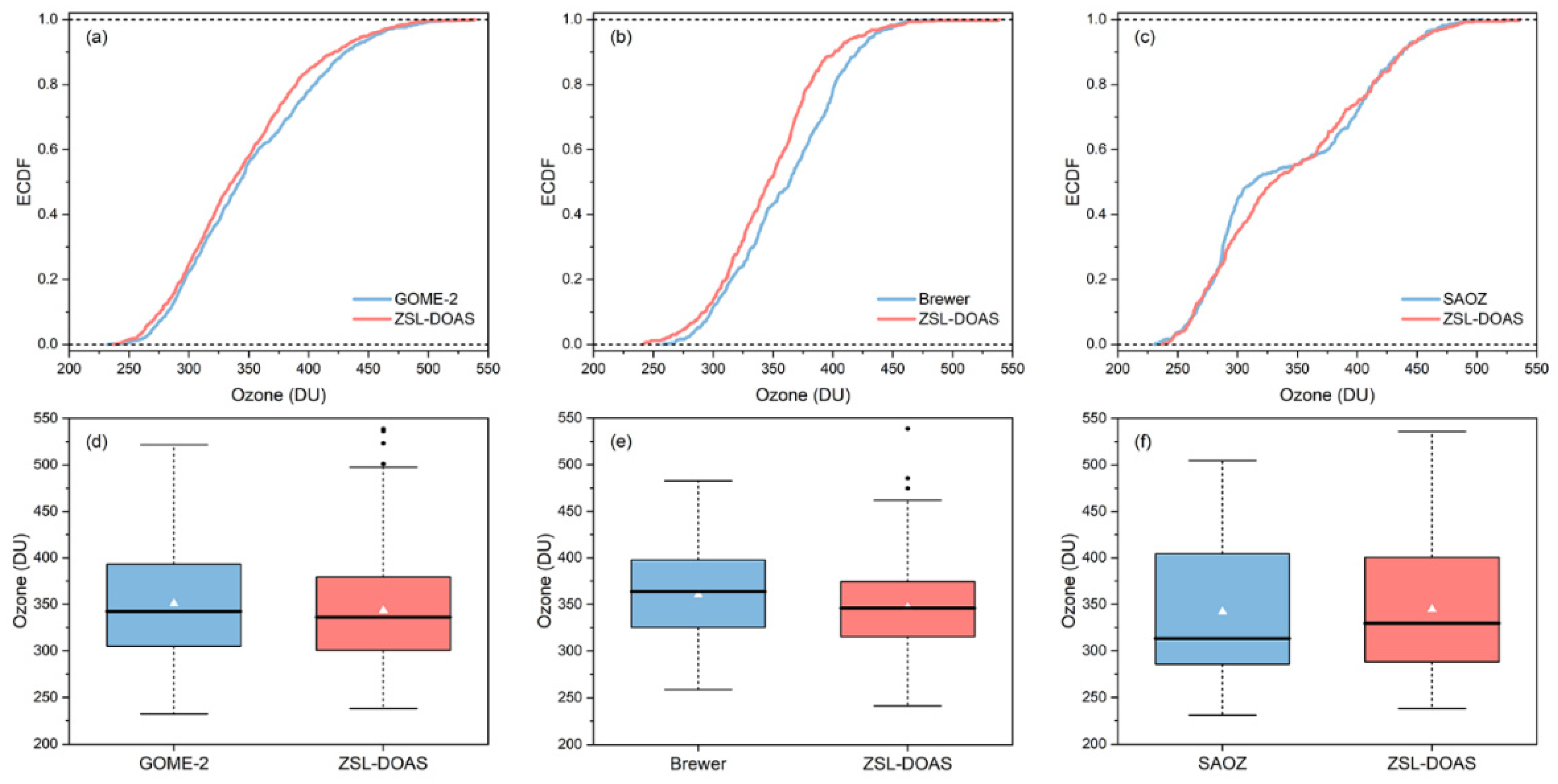
3.2. Descriptive Statistical Analysis
4. Discussion
4.1. Arctic Ozone Depletion Based on Ozonesonde Data
4.2. Associations between Arctic Ozone Depletion and Meteorological Conditions
5. Conclusions
Author Contributions
Funding
Data Availability Statement
Acknowledgments
Conflicts of Interest
Appendix A
Appendix A.1. Ozone Profiles from Ozonesonde and ERA5

Appendix A.2. Principle of DOAS
References
- Solomon, S.; Garcia, R.R.; Rowland, F.S.; Wuebbles, D.J. On the depletion of Antarctic ozone. Nature 1986, 321, 755–758. [Google Scholar] [CrossRef]
- Chipperfield, M.P.; Bekki, S.; Dhomse, S.; Harris, N.R.P.; Hassler, B.; Hossaini, R.; Steinbrecht, W.; Thiéblemont, R.; Weber, M. Detecting recovery of the stratospheric ozone layer. Nature 2017, 549, 211–218. [Google Scholar] [PubMed]
- McKenzie, R.L.; Aucamp, P.J.; Bais, A.F.; Bjorn, L.O.; Ilyas, M.; Madronich, S. Ozone depletion and climate change: Impacts on UV radiation. Photochem. Photobiol. Sci. 2011, 10, 182–198. [Google Scholar]
- Bernhard, G.; Dahlback, A.; Fioletov, V.; Heikkilä, A.; Johnsen, B.; Koskela, T.; Lakkala, K.; Svendby, T. High levels of ultraviolet radiation observed by ground-based instruments below the 2011 Arctic ozone hole. Atmos. Chem. Phys. 2013, 13, 10573–10590. [Google Scholar]
- Bernhard, G.H.; Fioletov, V.E.; Grooss, J.U.; Ialongo, I.; Johnsen, B.; Lakkala, K.; Manney, G.L.; Muller, R.; Svendby, T. Record-Breaking Increases in Arctic Solar Ultraviolet Radiation Caused by Exceptionally Large Ozone Depletion in 2020. Geophys. Res. Lett. 2020, 47, e2020GL090844. [Google Scholar] [CrossRef] [PubMed]
- Farman, J.C.; Gardiner, B.G.; Shanklin, J.D. Large losses of total ozone in Antarctica reveal seasonal ClOx/NOx interaction. Nature 1985, 315, 207–210. [Google Scholar] [CrossRef]
- Solomon, S. Stratospheric ozone depletion: A review of concepts and history. Rev. Geophys. 1999, 37, 275–316. [Google Scholar]
- Müller, R.; Grooß, J.-U.; Zafar, A.M.; Robrecht, S.; Lehmann, R. The maintenance of elevated active chlorine levels in the Antarctic lower stratosphere through HCl null cycles. Atmos. Chem. Phys. 2018, 18, 2985–2997. [Google Scholar] [CrossRef]
- Tritscher, I.; Pitts, M.C.; Poole, L.R.; Alexander, S.P.; Cairo, F.; Chipperfield, M.P.; Grooß, J.U.; Höpfner, M.; Lambert, A.; Luo, B. Polar stratospheric clouds: Satellite observations, processes, and role in ozone depletion. Rev. Geophys. 2021, 59, e2020RG000702. [Google Scholar] [CrossRef]
- Solomon, S.; Ivy, D.J.; Kinnison, D.; Mills, M.J.; Neely, R.R.; Schmidt, A. Emergence of healing in the Antarctic ozone layer. Science 2016, 353, 269–274. [Google Scholar] [CrossRef]
- Kuttippurath, J.; Nair, P.J. The signs of Antarctic ozone hole recovery. Sci. Rep. 2017, 7, 585. [Google Scholar]
- Strahan, S.E.; Douglass, A.R. Decline in Antarctic Ozone Depletion and Lower Stratospheric Chlorine Determined from Aura Microwave Limb Sounder Observations. Geophys. Res. Lett. 2018, 45, 382–390. [Google Scholar] [CrossRef]
- WMO. Scientific Assessment of Ozone Depletion: 2022. In World Meteorological Organization Ozone Research and Monitorin; WMO: Geneva, Switzerland, 2022; GAW Report No. 278; p. 509. [Google Scholar]
- Stone, K.A.; Solomon, S.; Kinnison, D.E.; Mills, M.J. On Recent Large Antarctic Ozone Holes and Ozone Recovery Metrics. Geophys. Res. Lett. 2021, 48, e2021GL095232. [Google Scholar] [CrossRef] [PubMed]
- Manney, G.L.; Froidevaux, L.; Santee, M.L.; Livesey, N.J.; Sabutis, J.L.; Waters, J.W. Variability of ozone loss during Arctic winter (1991–2000) estimated from UARS Microwave Limb Sounder measurements. J. Geophys. Res. Atmos. 2003, 108, 4149. [Google Scholar] [CrossRef]
- Dameris, M. Climate change and atmospheric chemistry: How will the stratospheric ozone layer develop? Angew. Chem. Int. Ed. 2010, 49, 8092–8102. [Google Scholar] [CrossRef] [PubMed]
- Harris, N.; Lehmann, R.; Rex, M.; von der Gathen, P. A closer look at Arctic ozone loss and polar stratospheric clouds. Atmos. Chem. Phys. 2010, 10, 8499–8510. [Google Scholar]
- Solomon, S.; Portmann, R.W.; Thompson, D.W. Contrasts between Antarctic and Arctic ozone depletion. Proc. Natl. Acad. Sci. USA 2007, 104, 445–449. [Google Scholar] [CrossRef]
- Dameris, M.; Loyola, D.G.; Nützel, M.; Coldewey-Egbers, M.; Lerot, C.; Romahn, F.; Van Roozendael, M. Record low ozone values over the Arctic in boreal spring 2020. Atmos. Chem. Phys. 2021, 21, 617–633. [Google Scholar]
- Hu, Y. The very unusual polar stratosphere in 2019–2020. Sci. Bull. 2020, 65, 1775–1777. [Google Scholar] [CrossRef]
- Kuttippurath, J.; Feng, W.; Müller, R.; Kumar, P.; Raj, S.; Gopikrishnan, G.P.; Roy, R. Exceptional loss in ozone in the Arctic winter/spring of 2019/2020. Atmos. Chem. Phys. 2021, 21, 14019–14037. [Google Scholar]
- Ardra, D.; Kuttippurath, J.; Roy, R.; Kumar, P.; Raj, S.; Müller, R.; Feng, W. The unprecedented ozone loss in the Arctic winter and spring of 2010/2011 and 2019/2020. ACS Earth Space Chem. 2022, 6, 683–693. [Google Scholar] [CrossRef]
- Manney, G.L.; Livesey, N.J.; Santee, M.L.; Froidevaux, L.; Lambert, A.; Lawrence, Z.D.; Millán, L.F.; Neu, J.L.; Read, W.G.; Schwartz, M.J. Record-low Arctic stratospheric ozone in 2020: MLS observations of chemical processes and comparisons with previous extreme winters. Geophys. Res. Lett. 2020, 47, e2020GL089063. [Google Scholar] [CrossRef]
- Lawrence, Z.D.; Perlwitz, J.; Butler, A.H.; Manney, G.L.; Newman, P.A.; Lee, S.H.; Nash, E.R. The remarkably strong Arctic stratospheric polar vortex of winter 2020: Links to record-breaking Arctic oscillation and ozone loss. J. Geophys. Res. Atmos. 2020, 125, e2020JD033271. [Google Scholar]
- Inness, A.; Chabrillat, S.; Flemming, J.; Huijnen, V.; Langenrock, B.; Nicolas, J.; Polichtchouk, I.; Razinger, M. Exceptionally low Arctic stratospheric ozone in spring 2020 as seen in the CAMS reanalysis. J. Geophys. Res. Atmos. 2020, 125, e2020JD033563. [Google Scholar] [CrossRef]
- Bognar, K.; Alwarda, R.; Strong, K.; Chipperfield, M.P.; Dhomse, S.S.; Drummond, J.R.; Feng, W.; Fioletov, V.; Goutail, F.; Herrera, B. Unprecedented spring 2020 ozone depletion in the context of 20 years of measurements at Eureka, Canada. J. Geophys. Res. Atmos. 2021, 126, e2020JD034365. [Google Scholar] [CrossRef]
- Grooß, J.-U.; Müller, R. Simulation of record Arctic stratospheric ozone depletion in 2020. J. Geophys. Res. Atmos. 2021, 126, e2020JD033339. [Google Scholar] [CrossRef]
- Feng, W.; Dhomse, S.S.; Arosio, C.; Weber, M.; Burrows, J.P.; Santee, M.L.; Chipperfield, M.P. Arctic ozone depletion in 2019/20: Roles of chemistry, dynamics and the Montreal Protocol. Geophys. Res. Lett. 2021, 48, e2020GL091911. [Google Scholar] [CrossRef]
- Weber, M.; Arosio, C.; Feng, W.; Dhomse, S.S.; Chipperfield, M.P.; Meier, A.; Burrows, J.P.; Eichmann, K.-U.; Richter, A.; Rozanov, A. The unusual stratospheric Arctic winter 2019/20: Chemical ozone loss from satellite observations and TOMCAT chemical transport model. J. Geophys. Res. Atmos. 2021, 126, e2020JD034386. [Google Scholar] [CrossRef]
- Hansen, G.; Chipperfield, M.P. Ozone depletion at the edge of the Arctic polar vortex 1996/1997. J. Geophys. Res. Atmos. 1999, 104, 1837–1845. [Google Scholar] [CrossRef]
- Manney, G.L.; Santee, M.L.; Rex, M.; Livesey, N.J.; Pitts, M.C.; Veefkind, P.; Nash, E.R.; Wohltmann, I.; Lehmann, R.; Froidevaux, L.; et al. Unprecedented Arctic ozone loss in 2011. Nature 2011, 478, 469–475. [Google Scholar]
- Rao, J.; Garfinkel, C.I. Arctic Ozone Loss in March 2020 and its Seasonal Prediction in CFSv2: A Comparative Study With the 1997 and 2011 Cases. J. Geophys. Res. Atmos. 2020, 125, e2020JD033524. [Google Scholar] [CrossRef]
- Rao, J.; Garfinkel, C.I. The Strong Stratospheric Polar Vortex in March 2020 in Sub-Seasonal to Seasonal Models: Implications for Empirical Prediction of the Low Arctic Total Ozone Extreme. J. Geophys. Res. Atmos. 2021, 126, e2020JD034190. [Google Scholar] [CrossRef]
- Marsing, A.; Jurkat-Witschas, T.; Grooß, J.-U.; Kaufmann, S.; Heller, R.; Engel, A.; Hoor, P.; Krause, J.; Voigt, C. Chlorine partitioning in the lowermost Arctic vortex during the cold winter 2015/2016. Atmos. Chem. Phys. 2019, 19, 10757–10772. [Google Scholar]
- Drdla, K.; Müller, R. Temperature thresholds for chlorine activation and ozone loss in the polar stratosphere. Ann. Geophys. 2012, 30, 1055–1073. [Google Scholar]
- Pitts, M.C.; Poole, L.R.; Thomason, L.W. CALIPSO polar stratospheric cloud observations: Second-generation detection algorithm and composition discrimination. Atmos. Chem. Phys. 2009, 9, 7577–7589. [Google Scholar] [CrossRef]
- Spang, R.; Hoffmann, L.; Müller, R.; Grooß, J.-U.; Tritscher, I.; Höpfner, M.; Pitts, M.; Orr, A.; Riese, M. A climatology of polar stratospheric cloud composition between 2002 and 2012 based on MIPAS/Envisat observations. Atmos. Chem. Phys. 2018, 18, 5089–5113. [Google Scholar]
- Kirner, O.; Müller, R.; Ruhnke, R.; Fischer, H. Contribution of liquid, NAT and ice particles to chlorine activation and ozone depletion in Antarctic winter and spring. Atmos. Chem. Phys. 2015, 15, 2019–2030. [Google Scholar] [CrossRef]
- von der Gathen, P.; Kivi, R.; Wohltmann, I.; Salawitch, R.J.; Rex, M. Climate change favours large seasonal loss of Arctic ozone. Nat. Commun. 2021, 12, 3886. [Google Scholar]
- Salawitch, R.J.; Gobbi, G.P.; Wofsy, S.C.; McElroy, M.B. Denitrification in the Antarctic stratosphere. Nature 1989, 339, 525–527. [Google Scholar] [CrossRef]
- Arblaster, J.M.; Gillett, N.P.; Calvo, N.; Forster, P.; Polvani, L.; Son, W.; Waugh, D.; Young, P.; Barnes, E.; Cionni, I. Stratospheric ozone changes and climate. In Scientific Assessment of Ozone Depletion: 2014; World Meteorological Organization: Geneva, Switzerland, 2014. [Google Scholar]
- Pan, C.; Zhu, B.; Gao, J.; Hou, X.; Kang, H.; Wang, D. Quantifying Arctic lower stratospheric ozone sources in winter and spring. Sci. Rep. 2018, 8, 8934. [Google Scholar] [CrossRef]
- Dobson, G.M.B. Forty years’ research on atmospheric ozone at Oxford: A history. Appl. Opt. 1968, 7, 387–405. [Google Scholar] [CrossRef] [PubMed]
- Brewer, A. A replacement for the Dobson spectrophotometer? Pure Appl. Geophys. 1973, 106, 919–927. [Google Scholar] [CrossRef]
- Solomon, S.; Mount, G.H.; Sanders, R.W.; Schmeltekopf, A.L. Visible spectroscopy at McMurdo Station, Antarctica: 2. Observations of OClO. J. Geophys. Res. Atmos. 1987, 92, 8329–8338. [Google Scholar] [CrossRef]
- Logan, J.A. Trends in the vertical distribution of ozone: An analysis of ozonesonde data. J. Geophys. Res. Atmos. 1994, 99, 25553–25585. [Google Scholar]
- Thompson, A.M.; Oltmans, S.J.; Tarasick, D.W.; von der Gathen, P.; Smit, H.G.; Witte, J.C. Strategic ozone sounding networks: Review of design and accomplishments. Atmos. Environ. 2011, 45, 2145–2163. [Google Scholar]
- Wohltmann, I.; von der Gathen, P.; Lehmann, R.; Maturilli, M.; Deckelmann, H.; Manney, G.L.; Davies, J.; Tarasick, D.; Jepsen, N.; Kivi, R. Near-complete local reduction of Arctic stratospheric ozone by severe chemical loss in spring 2020. Geophys. Res. Lett. 2020, 47, e2020GL089547. [Google Scholar] [CrossRef]
- Kuttippurath, J.; Godin-Beekmann, S.; Lefèvre, F.; Nikulin, G.; Santee, M.; Froidevaux, L. Record-breaking ozone loss in the Arctic winter 2010/2011: Comparison with 1996/1997. Atmos. Chem. Phys. 2012, 12, 7073–7085. [Google Scholar] [CrossRef]
- Lu, L.; Bian, L.; Xiao, C. A study on polar atmospheric sciences and global change. J. Appl. Meteorol. Sci. 2006, 17, 743–755. [Google Scholar]
- Platt, U.; Stutz, J. Differential Optical Absorption Spectroscopy: Principles and Applications; Springer: Berlin/Heidelberg, Germany, 2008; p. 568. [Google Scholar]
- Hüneke, T.; Aderhold, O.-A.; Bounin, J.; Dorf, M.; Gentry, E.; Grossmann, K.; Grooß, J.-U.; Hoor, P.; Jöckel, P.; Kenntner, M. The novel HALO mini-DOAS instrument: Inferring trace gas concentrations from airborne UV/visible limb spectroscopy under all skies using the scaling method. Atmos. Meas. Tech. 2017, 10, 4209–4234. [Google Scholar]
- Frieß, U.; Kreher, K.; Johnston, P.; Platt, U. Ground-based DOAS measurements of stratospheric trace gases at two Antarctic stations during the 2002 ozone hole period. J. Atmos. Sci. 2005, 62, 765–777. [Google Scholar] [CrossRef]
- Bogumil, K.; Orphal, J.; Homann, T.; Voigt, S.; Spietz, P.; Fleischmann, O.; Vogel, A.; Hartmann, M.; Kromminga, H.; Bovensmann, H. Measurements of molecular absorption spectra with the SCIAMACHY pre-flight model: Instrument characterization and reference data for atmospheric remote-sensing in the 230–2380 nm region. J. Photochem. Photobiol. A Chem. 2003, 157, 167–184. [Google Scholar] [CrossRef]
- Hermans, C.; Vandaele, A.; Fally, S.; Carleer, M.; Colin, R.; Coquart, B.; Jenouvrier, A.; Merienne, M.F. Absorption cross-section of the collision-induced bands of oxygen from the UV to the NIR. In Weakly Interacting Molecular Pairs: Unconventional Absorbers of Radiation in the Atmosphere; Springer: Berlin/Heidelberg, Germany, 2003; pp. 193–202. [Google Scholar]
- Vandaele, A.C.; Hermans, C.; Simon, P.C.; Van Roozendael, M.; Guilmot, J.M.; Carleer, M.; Colin, R. Fourier transform measurement of NO2 absorption cross-section in the visible range at room temperature. J. Atmos. Chem. 1996, 25, 289–305. [Google Scholar] [CrossRef]
- Bhartia, P.K. OMI Algorithm Theoretical Basis Document Volume II. In OMI Ozone; NASA: Washington, DC, USA, 2002. [Google Scholar]
- Koukouli, M.E.; Clarisse, L.; Carboni, E.; van Gent, J.; Spinetti, C.; Balis, D.; Dimopoulos, S.; Grainger, D.; Theys, N.; Tampellini, L. Intercomparison of Metop-A SO2 measure-ments during the 2010-2011 Icelandic eruptions. Ann. Geophys. 2014, 57, 2110. [Google Scholar]
- Kerr, J. New methodology for deriving total ozone and other atmospheric variables from Brewer spectrophotometer direct sun spectra. J. Geophys. Res. Atmos. 2002, 107, 4731. [Google Scholar] [CrossRef]
- Pommereau, J.P.; Goutail, F. O3 and NO2 ground-based measurements by visible spectrometry during Arctic winter and spring 1988. Geophys. Res. Lett. 1988, 15, 891–894. [Google Scholar] [CrossRef]
- Hendrick, F.; Pommereau, J.P.; Goutail, F.; Evans, R.D.; Ionov, D.; Pazmino, A.; Kyro, E.; Held, G.; Eriksen, P.; Dorokhov, V.; et al. NDACC/SAOZ UV-visible total ozone measurements: Improved retrieval and comparison with correlative ground-based and satellite observations. Atmos. Chem. Phys. 2011, 11, 5975–5995. [Google Scholar] [CrossRef]
- Bernet, L.; Svendby, T.; Hansen, G.; Orsolini, Y.; Dahlback, A.; Goutail, F.; Pazmiño, A.; Petkov, B.; Kylling, A. Total ozone trends at three northern high-latitude stations. Atmos. Chem. Phys. 2023, 23, 4165–4184. [Google Scholar]
- Zhao, X.; Fioletov, V.; Brohart, M.; Savastiouk, V.; Abboud, I.; Ogyu, A.; Davies, J.; Sit, R.; Lee, S.C.; Cede, A. The world Brewer reference triad–updated performance assessment and new double triad. Atmos. Meas. Tech. 2021, 14, 2261–2283. [Google Scholar] [CrossRef]
- Verhoelst, T.; Granville, J.; Hendrick, F.; Köhler, U.; Lerot, C.; Pommereau, J.-P.; Redondas, A.; Van Roozendael, M.; Lambert, J.-C. Metrology of ground-based satellite validation: Co-location mismatch and smoothing issues of total ozone comparisons. Atmos. Meas. Tech. 2015, 8, 5039–5062. [Google Scholar] [CrossRef]
- Garane, K.; Koukouli, M.-E.; Verhoelst, T.; Lerot, C.; Heue, K.-P.; Fioletov, V.; Balis, D.; Bais, A.; Bazureau, A.; Dehn, A. TROPOMI/S5P total ozone column data: Global ground-based validation and consistency with other satellite missions. Atmos. Meas. Tech. 2019, 12, 5263–5287. [Google Scholar] [CrossRef]
- Solomon, S.; Haskins, J.; Ivy, D.J.; Min, F. Fundamental differences between Arctic and Antarctic ozone depletion. Proc. Natl. Acad. Sci. USA 2014, 111, 6220–6225. [Google Scholar] [CrossRef] [PubMed]
- Wohltmann, I.; von der Gathen, P.; Lehmann, R.; Deckelmann, H.; Manney, G.; Davies, J.; Tarasick, D.; Jepsen, N.; Kivi, R.; Lyall, N. Chemical evolution of the exceptional Arctic stratospheric winter 2019/2020 compared to previous Arctic and Antarctic winters. J. Geophys. Res. Atmos. 2021, 126, e2020JD034356. [Google Scholar] [CrossRef]









| Parameters | References |
|---|---|
| O3 | 223 K, 243 K [54] |
| O4 | 293 K [55] |
| NO2 | 298 K [56] |
| Ring | Calculated using QDOAS |
| Fitting Interval | 320–340 nm |
| Polynomial | 5 |
| Parameters | Nodes |
|---|---|
| SZA (°) | 35, 40, 45, 50, 55, 60, 65, 70, 75, and 80 |
| Surface albedo | 0.05, 0.1, 0.2, 0.3, 0.4, 0.5, and 0.6 |
| Wavelength (nm) | 320 to 340 in intervals of 0.5 |
| Date | Days below Tnat | Temperature (K) (Average/Range) |
|---|---|---|
| 2016.12–2017.2 | 0 | 203.5/195.2–214.8 |
| 2017.12–2018.2 | 26 | 203.6/190.6–236.2 |
| 2018.12–2019.2 | 0 | 211.8/198.1–226.5 |
| 2019.12–2020.2 | 32 | 196.9/190.2–206.1 |
| 2020.12–2021.2 | 6 | 205.3/192.5–225.1 |
Disclaimer/Publisher’s Note: The statements, opinions and data contained in all publications are solely those of the individual author(s) and contributor(s) and not of MDPI and/or the editor(s). MDPI and/or the editor(s) disclaim responsibility for any injury to people or property resulting from any ideas, methods, instructions or products referred to in the content. |
© 2023 by the authors. Licensee MDPI, Basel, Switzerland. This article is an open access article distributed under the terms and conditions of the Creative Commons Attribution (CC BY) license (https://creativecommons.org/licenses/by/4.0/).
Share and Cite
Li, Q.; Luo, Y.; Qian, Y.; Dou, K.; Si, F.; Liu, W. Record Low Arctic Stratospheric Ozone in Spring 2020: Measurements of Ground-Based Differential Optical Absorption Spectroscopy in Ny-Ålesund during 2017–2021. Remote Sens. 2023, 15, 4882. https://doi.org/10.3390/rs15194882
Li Q, Luo Y, Qian Y, Dou K, Si F, Liu W. Record Low Arctic Stratospheric Ozone in Spring 2020: Measurements of Ground-Based Differential Optical Absorption Spectroscopy in Ny-Ålesund during 2017–2021. Remote Sensing. 2023; 15(19):4882. https://doi.org/10.3390/rs15194882
Chicago/Turabian StyleLi, Qidi, Yuhan Luo, Yuanyuan Qian, Ke Dou, Fuqi Si, and Wenqing Liu. 2023. "Record Low Arctic Stratospheric Ozone in Spring 2020: Measurements of Ground-Based Differential Optical Absorption Spectroscopy in Ny-Ålesund during 2017–2021" Remote Sensing 15, no. 19: 4882. https://doi.org/10.3390/rs15194882
APA StyleLi, Q., Luo, Y., Qian, Y., Dou, K., Si, F., & Liu, W. (2023). Record Low Arctic Stratospheric Ozone in Spring 2020: Measurements of Ground-Based Differential Optical Absorption Spectroscopy in Ny-Ålesund during 2017–2021. Remote Sensing, 15(19), 4882. https://doi.org/10.3390/rs15194882

