Evaluation of the Monitoring Capability of 20 Vegetation Indices and 5 Mainstream Satellite Band Settings for Drought in Spring Wheat Using a Simulation Method
Abstract
:1. Introduction
2. Materials and Methods
2.1. Radiative Transfer Model PROSAIL
2.2. Analysis of the Response Pattern of Different Wavelength Range and Satellite Bands to Drought
2.3. Evaluation of Remote Sensing Vegetation Indices for Drought Monitoring Based on Simulated Spectral Data
2.4. Evaluation of Remote Sensing Vegetation Indices for Drought Monitoring Based on Real Satellite Data
3. Results
3.1. Spring Wheat Spectra Simulation and Analysis
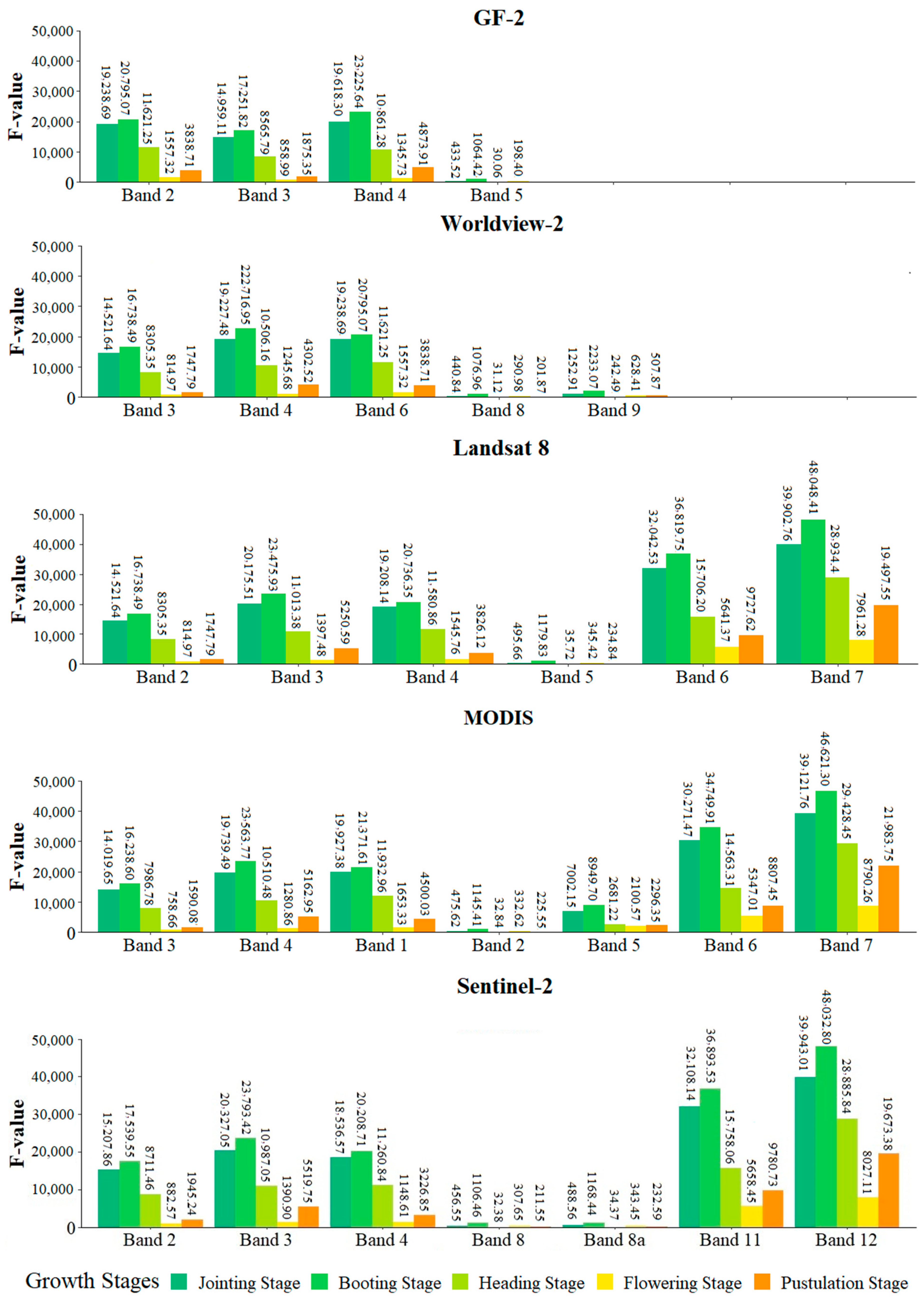
3.2. Evaluation and Analysis of Drought Response of Mainstream Remote Sensing Satellite Bands
3.3. Evaluation of Mainstream Satellites for Monitoring Spring Wheat Drought
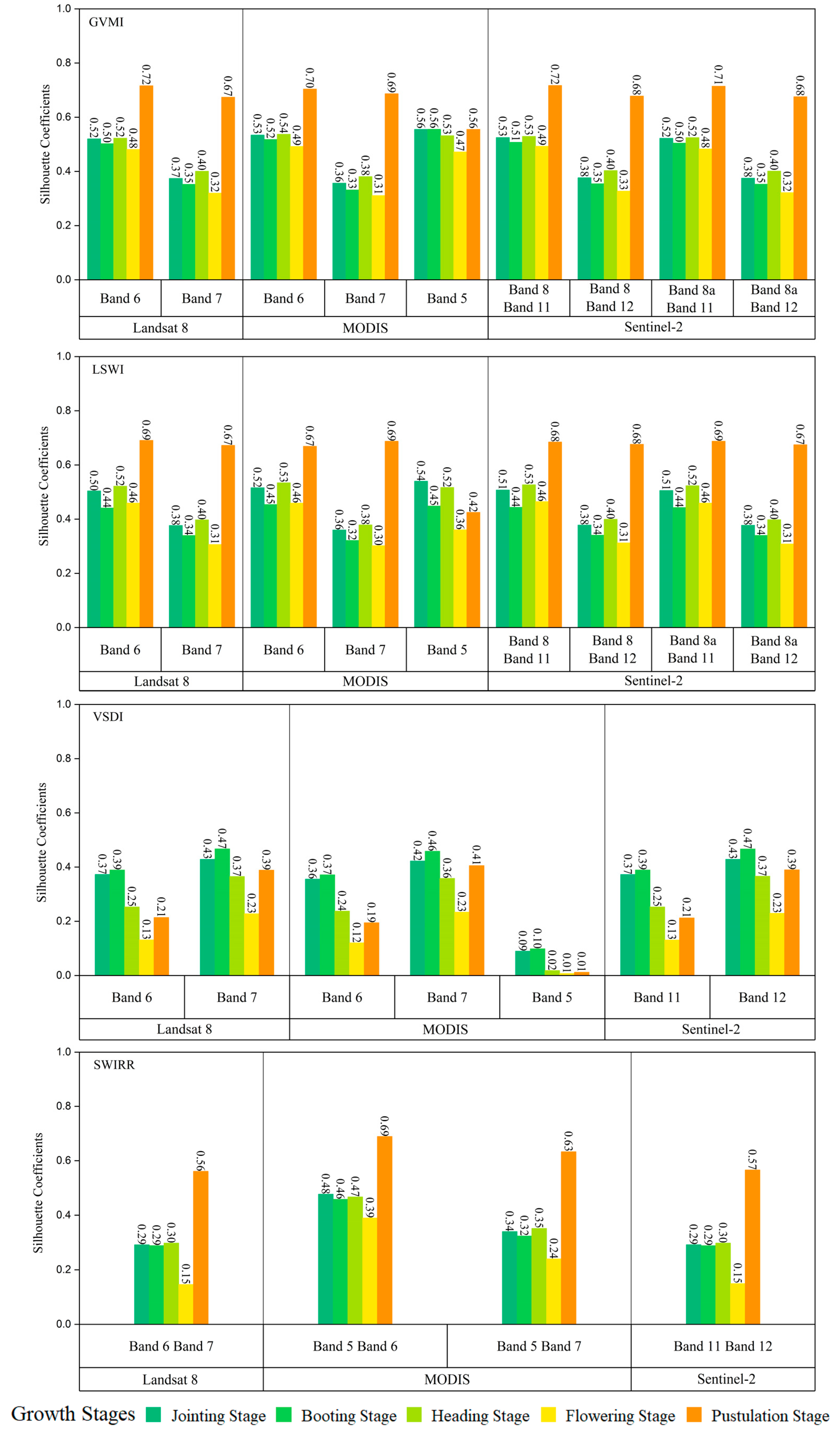
3.4. Applicability Analysis of Drought Indices for Spring Wheat Drought Monitoring
3.5. Verification Based on Satellite Images
4. Discussion
4.1. Comparison with Previous Studies
4.2. Contributions
4.3. Limitations
5. Conclusions
Author Contributions
Funding
Data Availability Statement
Acknowledgments
Conflicts of Interest
References
- Liu, X.; Zhu, X.; Pan, Y.; Li, S.; Liu, Y.; Ma, Y. Agricultural Drought Monitoring: Progress, Challenges, and Prospects. J. Geogr. Sci. 2016, 26, 750–767. [Google Scholar] [CrossRef]
- Wang, W.; Ertsen, M.W.; Svoboda, M.D.; Hafeez, M. Propagation of Drought: From Meteorological Drought to Agricultural and Hydrological Drought. Adv. Meteorol. 2016, 33, 35. [Google Scholar] [CrossRef]
- IPCC. Global Warming of 1.5 °C-IPCC Special Report-Summary for Policymakers; Cambridge University Press: Cambridge, UK, 2018. [Google Scholar]
- Petit, J.R.; Jouzel, J.; Raynaud, D.; Barkov, N.I.; Barnola, J.M.; Basile, I.; Bender, M.; Chappellaz, J.; Davis, M.; Delaygue, G.; et al. Climate and Atmospheric History of the Past 420,000 Years from the Vostok Ice Core, Antarctica. Nature 1999, 399, 429–436. [Google Scholar] [CrossRef]
- Hawkesford, M.J.; Araus, J.-L.; Park, R.; Calderini, D.; Miralles, D.; Shen, T.; Zhang, J.; Parry, M.A.J. Prospects of Doubling Global Wheat Yields. Food Energy Secur. 2013, 2, 34–48. [Google Scholar] [CrossRef]
- Pan, X.; Wang, G.; Yang, H.; Wei, X. Effect of Water Deficits on within-Plot Variability in Growth and Grain Yield of Spring Wheat in Northwest China. Field Crops Res. 2003, 80, 195–205. [Google Scholar] [CrossRef]
- Carlson, R.E.; Yarger, D.N.; Shaw, R.H. Factors Affecting the Spectral Properties of Leaves with Special Emphasis on Leaf Water Status. Agron. J. 1971, 63, 486–489. [Google Scholar] [CrossRef]
- Bayat, B.; van der Tol, C.; Verhoef, W. Remote Sensing of Grass Response to Drought Stress Using Spectroscopic Techniques and Canopy Reflectance Model Inversion. Remote Sens. 2016, 8, 557. [Google Scholar] [CrossRef]
- Ripple, W.J. Spectral Reflectance Relationships to Leaf Water-Stress. Photogramm. Eng. Remote Sens. 1986, 52, 1669–1675. [Google Scholar]
- Jacquemoud, S.; Verhoef, W.; Baret, F.; Bacour, C.; Zarco-Tejada, P.J.; Asner, G.P.; François, C.; Ustin, S.L. PROSPECT+ SAIL Models: A Review of Use for Vegetation Characterization. Remote Sens. Environ. 2009, 113, S56–S66. [Google Scholar] [CrossRef]
- Broge, N.H.; Leblanc, E. Comparing Prediction Power and Stability of Broadband and Hyperspectral Vegetation Indices for Estimation of Green Leaf Area Index and Canopy Chlorophyll Density. Remote Sens. Environ. 2001, 76, 156–172. [Google Scholar] [CrossRef]
- Weiss, M.; Baret, F.; Myneni, R.; Pragnère, A.; Knyazikhin, Y. Investigation of a Model Inversion Technique to Estimate Canopy Biophysical Variables from Spectral and Directional Reflectance Data. Agronomie 2000, 20, 3–22. [Google Scholar] [CrossRef]
- Kong, W.; Huang, W.; Zhou, X.; Song, X.; Casa, R. Estimation of Carotenoid Content at the Canopy Scale Using the Carotenoid Triangle Ratio Index from in Situ and Simulated Hyperspectral Data. J. Appl. Remote Sens. 2016, 10, 26–35. [Google Scholar] [CrossRef]
- Nichol, J.E.; Abbas, S. Integration of Remote Sensing Datasets for Local Scale Assessment and Prediction of Drought. Sci. Total Environ. 2015, 505, 503–507. [Google Scholar] [CrossRef] [PubMed]
- Abbas, S.; Nichol, J.E.; Qamer, F.M.; Xu, J. Characterization of Drought Development through Remote Sensing: A Case Study in Central Yunnan, China. Remote Sens. 2014, 6, 4998–5018. [Google Scholar] [CrossRef]
- Reinermann, S.; Gessner, U.; Asam, S.; Kuenzer, C.; Dech, S. The Effect of Droughts on Vegetation Condition in Germany: An Analysis Based on Two Decades of Satellite Earth Observation Time Series and Crop Yield Statistics. Remote Sens. 2019, 11, 1783. [Google Scholar] [CrossRef]
- Dabrowska-Zielinska, K.; Malinska, A.; Bochenek, Z.; Bartold, M.; Gurdak, R.; Paradowski, K.; Lagiewska, M. Drought Model DISS Based on the Fusion of Satellite and Meteorological Data under Variable Climatic Conditions. Remote Sens. 2020, 12, 2944. [Google Scholar] [CrossRef]
- Liu, X.; Zhu, X.; Zhang, Q.; Yang, T.; Pan, Y.; Sun, P. A Remote Sensing and Artificial Neural Network-Based Integrated Agricultural Drought Index: Index Development and Applications. Catena 2020, 186, 104–394. [Google Scholar] [CrossRef]
- Chen, S.; Zhong, W.; Pan, S.; Xie, Q.; Kim, T.-W. Comprehensive Drought Assessment Using a Modified Composite Drought Index: A Case Study in Hubei Province, China. Water 2020, 12, 462. [Google Scholar] [CrossRef]
- Hao, C.; Zhang, J.; Yao, F. Combination of Multi-Sensor Remote Sensing Data for Drought Monitoring over Southwest China. Int. J. Appl. Earth Obs. Geoinf. 2015, 35, 270–283. [Google Scholar] [CrossRef]
- Sun, H.; Feng, M.; Xiao, L.; Yang, W.; Wang, C.; Jia, X.; Zhao, Y.; Zhao, C.; Muhammad, S.K.; Li, D. Assessment of Plant Water Status in Winter Wheat (Triticum Aestivum L.) Based on Canopy Spectral Indices. PLoS ONE 2019, 14, e0216890. [Google Scholar] [CrossRef]
- Xie, X.; Li, Y.X.; Li, R.; Zhang, Y.; Huo, Y.; Bao, Y.; Shen, S. Hyperspectral Characteristics and Growth Monitoring of Rice (Oryza Sativa) under Asymmetric Warming. Int. J. Remote Sens. 2013, 34, 8449–8462. [Google Scholar] [CrossRef]
- Richardson, A.J.; Everitt, J.H. Using Spectral Vegetation Indices to Estimate Rangeland Productivity. Geocarto Int. 1992, 7, 63–69. [Google Scholar] [CrossRef]
- Birth, G.S.; McVey, G.R. Measuring the Color of Growing Turf with a Reflectance Spectrophotometer1. Agron. J. 1968, 60, 640–643. [Google Scholar] [CrossRef]
- Pettorelli, N.; Vik, J.O.; Mysterud, A.; Gaillard, J.M.; Tucker, C.J.; Stenseth, N.C. Using the Satellite-Derived NDVI to Assess Ecological Responses to Environmental Change. Trends Ecol. Evol. 2005, 20, 503–510. [Google Scholar] [CrossRef]
- Huete, A.R. A Soil-Adjusted Vegetation Index (SAVI). Remote Sens. Environ. 1988, 25, 295–309. [Google Scholar] [CrossRef]
- Gamon, J.A.; Serrano, L.; Surfus, J.S. The Photochemical Reflectance Index: An Optical Indicator of Photosynthetic Radiation Use Efficiency across Species, Functional Types, and Nutrient Levels. Oecologia 1997, 112, 492–501. [Google Scholar] [CrossRef]
- Ge, L.; Wang, X.; Wang, Q.; Dang, H.; Zhao, C. Applicability of PROSAIL Model to Spring Wheat in Semi-Arid Region of the Loess Plateau under Different Drought Stress. J. Arid. Meteorol. 2017, 35, 926. (In Chinese) [Google Scholar] [CrossRef]
- Richter, K.; Rischbeck, P.; Eitzinger, J.; Schneider, W.; Suppan, F.; Weihs, P. Plant Growth Monitoring and Potential Drought Risk Assessment by Means of Earth Observation Data. Int. J. Remote Sens. 2008, 29, 4943–4960. [Google Scholar] [CrossRef]
- Berger, K.; Atzberger, C.; Danner, M.; D’Urso, G.; Mauser, W.; Vuolo, F.; Hank, T. Evaluation of the PROSAIL Model Capabilities for Future Hyperspectral Model Environments: A Review Study. Remote Sens. 2018, 10, 85. [Google Scholar] [CrossRef]
- Zhao, Q.; Yu, L.; Du, Z.; Peng, D.; Hao, P.; Zhang, Y.; Gong, P. An Overview of the Applications of Earth Observation Satellite Data: Impacts and Future Trends. Remote Sens. 2022, 14, 1863. [Google Scholar] [CrossRef]
- Huete, A.; Didan, K.; Miura, T.; Rodriguez, E.P.; Gao, X.; Ferreira, L.G. Overview of the Radiometric and Biophysical Performance of the MODIS Vegetation Indices. Remote Sens. Environ. 2002, 83, 195–213. [Google Scholar] [CrossRef]
- Kaufman, Y.J.; Tanre, D. Atmospherically Resistant Vegetation Index (ARVI) for EOS-MODIS. IEEE Trans. Geosci. Remote Sens. 1992, 30, 261–270. [Google Scholar] [CrossRef]
- Pc, A.; Sf, B.; Jmg, A. Designing a Spectral Index to Estimate Vegetation Water Content from Remote Sensing Data. Remote Sens. Environ. 2002, 82, 198–207. [Google Scholar] [CrossRef]
- Xiao, X.; Hollinger, D.; Aber, J.; Goltz, M.; Davidson, E.A.; Zhang, Q.; Moore, B. Satellite-Based Modeling of Gross Primary Production in an Evergreen Needleleaf Forest. Remote Sens. Environ. 2004, 89, 519–534. [Google Scholar] [CrossRef]
- Zhang, N.; Hong, Y.; Qin, Q.; Liu, L. Vsdi: A Visible and Shortwave Infrared Drought Index for Monitoring Soil and Vegetation Moisture Based on Optical Remote Sensing. Int. J. Remote Sens. 2013, 34, 4585–4609. [Google Scholar] [CrossRef]
- Romero, M.; Luo, Y.; Su, B.; Fuentes, S. Vineyard Water Status Estimation Using Multispectral Imagery from an UAV Platform and Machine Learning Algorithms for Irrigation Scheduling Management. Comput. Electron. Agric. 2018, 147, 109–117. [Google Scholar] [CrossRef]
- Arango, R.B.; Campos, A.M.; Combarro, E.F.; Canas, E.R.; Díaz, I. Identification of Agricultural Management Zones through Clustering Algorithms with Thermal and Multispectral Satellite Imagery. Int. J. Uncertain. Fuzziness Knowl. Based Syst. 2017, 25, 121–140. [Google Scholar] [CrossRef]
- Gao, B. NDWI—A Normalized Difference Water Index for Remote Sensing of Vegetation Liquid Water from Space. Remote Sens. Environ. 1996, 58, 257–266. [Google Scholar] [CrossRef]
- Hardisky, M.S.; Klemas, V.; Smart, A. The Influence of Soil Salinity, Growth Form, and Leaf Moisture on the Spectral Radiance of Spartina Alterniflora Canopies. Photogramm. Eng. Remote Sens. 1983, 49, 77–84. [Google Scholar]
- Rock, B.N.; Vogelmann, J.E.; Williams, D.L.; Vogelmann, A.F.; Hoshizaki, T. Remote Detection of Forest Damage. BioScience 1986, 36, 439–445. [Google Scholar] [CrossRef]
- Penuelas, J.; Pinol, J.; Ogaya, R.; Filella, I. Estimation of Plant Water Concentration by the Reflectance Water Index Wi (R900/R970). Int. J. Remote Sens. 2010, 18, 2869–2875. [Google Scholar] [CrossRef]
- Zarco-Tejada, P.J.; Ustin, S.L. Modeling Canopy Water Content for Carbon Estimates from MODIS Data at Land EOS Validation Sites. In Proceedings of the IEEE International Geoscience & Remote Sensing Symposium, Sydney, Australia, 9–13 July 2001; pp. 342–344. [Google Scholar] [CrossRef]
- Galvão, L.S.; Formaggio, A.R.; Tisot, D.A. Discrimination of Sugarcane Varieties in Southeastern Brazil with EO-1 Hyperion Data. Remote Sens. Environ. 2005, 94, 523–534. [Google Scholar] [CrossRef]
- Gitelson, A.; Merzlyak, M.N. Spectral Reflectance Changes Associated with Autumn Senescence of Aesculus Hippocastanum L. And Acer Platanoides L. Leaves. Spectral Features and Relation to Chlorophyll Estimation. J. Plant Physiol. 1994, 143, 286–292. [Google Scholar] [CrossRef]
- Gurdak, R.; Bartold, M. Remote Sensing Techniques to Assess Chlorophyll Fluorescence in Support of Crop Monitoring in Poland. Misc. Geogr. 2021, 25, 226–237. [Google Scholar] [CrossRef]
- Zarco-Tejada, P.J.; Miller, J.R.; Noland, T.L.; Mohammed, G.H.; Sampson, P.H. Scaling-up and Model Inversion Methods with Narrowband Optical Indices for Chlorophyll Content Estimation in Closed Forest Canopies with Hyperspectral Data. IEEE Trans. Geosci. Remote Sens. 2001, 39, 1491–1507. [Google Scholar] [CrossRef]
- Dash, J.; Curran, P.J. The Meris Terrestrial Chlorophyll Index. Int. J. Remote Sens. 2004, 25, 5403–5413. [Google Scholar] [CrossRef]
- Rousseeuw, P.J. Silhouettes: A Graphical Aid to the Interpretation and Validation of Cluster Analysis. J. Comput. Appl. Math. 1987, 20, 53–65. [Google Scholar] [CrossRef]
- Kaufman, L.; Rousseeuw, P.J. Finding Groups in Data: An Introduction to Cluster Analysis; Wiley Online Library: Hoboken, NJ, USA, 2005. [Google Scholar]
- Zhai, L.; Feng, Q. Spatial and Temporal Pattern of Precipitation and Drought in Gansu Province, Northwest China. Nat. Hazards 2009, 49, 1–24. [Google Scholar] [CrossRef]
- Duan, H.; Wang, S.; Feng, J. Drought Events and Its Influence in 2011 in China. J. Arid. Meteorol. 2012, 30, 136–147. (In Chinese) [Google Scholar] [CrossRef]
- Baoji Bureau of Statistics. Baoji Statistical Yearbook (2017); China Statistics Press: Beijing, China, 2017. [Google Scholar]
- Wang, S.; Wang, S.; Feng, J. Drought Events and Its Influence in 2016 in China. J. Arid. Meteorol. 2017, 35, 342–351. (In Chinese) [Google Scholar] [CrossRef]
- Cheng, F.; Zhang, Z.; Zhuang, H.; Han, J.; Luo, Y.; Cao, J.; Zhang, L.; Zhang, J.; Xu, J.; Tao, F. ChinaCropSM1 Km: A Fine 1km Daily Soil Moisture Dataset for Dryland Wheat and Maize across China During 1993–2018. Earth Syst. Sci. Data 2023, 15, 395–409. [Google Scholar] [CrossRef]
- Luo, Y.; Zhang, Z.; Li, Z.; Chen, Y.; Zhang, L.; Cao, J.; Tao, F. Identifying the Spatiotemporal Changes of Annual Harvesting Areas for Three Staple Crops in China by Integrating Multi-Data Sources. Environ. Res. Lett. 2020, 15, 074003. [Google Scholar] [CrossRef]
- Carter, G.A. Primary and Secondary Effects of Water Content on the Spectral Reflectance of Leaves. Am. J. Bot. 1991, 78, 916–924. [Google Scholar] [CrossRef]
- Gates, D.M.; Keegan, H.J.; Schleter, J.C.; Weidner, V.R. Spectral Properties of Plants. Appl. Opt. 1965, 4, 11–20. [Google Scholar] [CrossRef]
- Calbert, J.G. Radiation Biology. Volume III. Visible and Near-Visible Light; Alexander, H., Ed.; McGraw-Hill: New York, NY, USA, 1954. [Google Scholar]
- Mestre, H. The Absorption of Radiation by Leaves and Algae. Cold Spring Harb. Symp. Quant. Biol. 1935, 3, 191–209. [Google Scholar] [CrossRef]
- Xiao, Y.; Zhao, W.; Zhou, D.; Gong, H. Sensitivity Analysis of Vegetation Reflectance to Biochemical and Biophysical Variables at Leaf, Canopy, and Regional Scales. IEEE Trans. Geosci. Remote Sens. 2013, 52, 4014–4024. [Google Scholar] [CrossRef]
- Tucker, C.J. Remote Sensing of Leaf Water Content in the near Infrared. Remote Sens. Environ. 1980, 10, 23–32. [Google Scholar] [CrossRef]
- Gausman, H.; Allen, W.; Cardenas, R.; Richardson, A. Relation of Light Reflectance to Histological and Physical Evaluations of Cotton Leaf Maturity. Appl. Opt. 1970, 9, 545–552. [Google Scholar] [CrossRef] [PubMed]
- Fensholt, R.; Sandholt, I. Derivation of a Shortwave Infrared Water Stress Index from MODIS near-and Shortwave Infrared Data in a Semiarid Environment. Remote Sens. Environ. 2003, 87, 111–121. [Google Scholar] [CrossRef]
- Mikaili, O.; Rahimzadegan, M. Investigating Remote Sensing Indices to Monitor Drought Impacts on a Local Scale (Case Study: Fars Province, Iran). Nat. Hazards 2022, 111, 2511–2529. [Google Scholar] [CrossRef]
- Ghulam, A.; Qin, Q.; Teyip, T.; Li, Z.-L. Modified Perpendicular Drought Index (MPDI): A Real-Time Drought Monitoring Method. ISPRS J. Photogramm. Remote Sens. 2007, 62, 150–164. [Google Scholar] [CrossRef]
- Bartold, M.; Kluczek, M. A Machine Learning Approach for Mapping Chlorophyll Fluorescence at Inland Wetlands. Remote Sens. 2023, 15, 2392. [Google Scholar] [CrossRef]
- Jing, X.; Zou, Q.; Yan, J.; Dong, Y.; Li, B. Remote Sensing Monitoring of Winter Wheat Stripe Rust Based on Mrmr-Xgboost Algorithm. Remote Sens. 2022, 14, 756. [Google Scholar] [CrossRef]
- Danner, M.; Berger, K.; Wocher, M.; Mauser, W.; Hank, T. Fitted PROSAIL Parameterization of Leaf Inclinations, Water Content and Brown Pigment Content for Winter Wheat and Maize Canopies. Remote Sens. 2019, 11, 1150. [Google Scholar] [CrossRef]
- Richter, K.; Atzberger, C.; Vuolo, F.; Urso, G.D. Evaluation of Sentinel-2 Spectral Sampling for Radiative Transfer Model Based Lai Estimation of Wheat, Sugar Beet, and Maize. IEEE J. Sel. Top. Appl. Earth Obs. Remote Sens. 2011, 4, 458–464. [Google Scholar] [CrossRef]
- Roy, D.P.; Wulder, M.A.; Loveland, T.R.; Woodcock, C.E.; Allen, R.G.; Anderson, M.C.; Helder, D.; Irons, J.R.; Johnson, D.M.; Kennedy, R.; et al. Landsat-8: Science and Product Vision for Terrestrial Global Change Research. Remote Sens. Environ. 2014, 145, 154–172. [Google Scholar] [CrossRef]
- Drusch, M.; Del Bello, U.; Carlier, S.; Colin, O.; Fernandez, V.; Gascon, F.; Hoersch, B.; Isola, C.; Laberinti, P.; Martimort, P.; et al. Sentinel-2: Esa’s Optical High-Resolution Mission for GMES Operational Services. Remote Sens. Environ. 2012, 120, 25–36. [Google Scholar] [CrossRef]
- Salomonson, V.V.; Barnes, W.L.; Maymon, P.W.; Montgomery, H.E.; Ostrow, H. MODIS: Advanced Facility Instrument for Studies of the Earth as a System. IEEE Trans. Geosci. Remote Sens. 1989, 27, 145–153. [Google Scholar] [CrossRef]








| Parameter | Symbol | Units | Value |
|---|---|---|---|
| Total carotenoid content | Ccx | (μg/cm2) | 12 |
| Brown pigments | Cbp | / | 0.5 |
| Leaf inclination distribution | LIDF | (°) | 55 |
| Hot spot parameter | Hot | (m/m) | 0.25 |
| Soil brightness factor | ALFA(rsoil) | / | 0.5–1.5 |
| Sun zenith angle | tts | (°) | [30:90:30] |
| Viewing (observer) zenith angle | tto | (°) | [0:90:30] |
| Relative azimuth angle between sun and sensor | psi | (°) | [0:45:360] |
| Blue | Green | Red | NIR | SWIR | |
|---|---|---|---|---|---|
| Sentinel-2 | Band2: 458–523 nm | Band3: 543–578 nm | Band4: 650–680 nm | Band8: 785–900 nm Band8a: 855–875 nm | Band11: 1565–1655 nm Band12: 2100–2280 nm |
| Landsat 8 | Band2: 450–510 nm | Band3: 530–590 nm | Band4: 640–670 nm | Band5: 850–880 nm | Band6: 1570–1650 nm Band7: 2110–2290 nm |
| MODIS | Band3: 459–479 nm | Band4: 545–565 nm | Band1: 620–670 nm | Band2: 841–876 nm | Band5: 1230–1250 nm Band6: 1628–1652 nm Band7: 2105–2155 nm |
| Worldview-2 | Band2: 450–510 nm | Band3: 510–580 nm | Band5: 630–690 nm | Band7: 770–900 nm Band8: 860–1040 nm | / |
| GF-2 | Band2: 450–520 nm | Band3: 520–590 | Band4: 650–690 | Band5: 730–890 nm | / |
| No | Index | Formula | Reference |
|---|---|---|---|
| 1 | Normalized Difference Vegetation Index (NDVI) | [25] | |
| 2 | Soil-Adjusted Vegetation Index (SAVI) | [26] | |
| 3 | Enhanced Vegetation Index (EVI) | [32] | |
| 4 | Atmospherically Resistant Vegetation Index (ARVI) | [33] | |
| 5 | Global Vegetation Moisture Index (GVMI) | [34] | |
| 6 | Land Surface Water Index (LSWI) | [35] | |
| 7 | Visible and Shortwave infrared Drought Index (VSDI) | [36] | |
| 8 | Normalized Difference Greenness Vegetation Index (NDGI) | [37] | |
| 9 | Shortwave Infrared Ratio (SWIRR) | [38] | |
| 10 | Normalized Difference Water Index (NDWI) | [39] | |
| 11 | Photochemical Reflectance Index (PRI) | [27] | |
| 12 | Normalized Difference Infrared Index (NDII) | [40] | |
| 13 | Moisture Stress Index (MSI) | [41] | |
| 14 | Water Index (WI) | [42] | |
| 15 | Simple Ratio Water Index (SRWI) | [43] | |
| 16 | Disease Water Stress Index (DSWI) | [44] | |
| 17 | Normalized Difference Red Edge Index1 (NDREI1) | [45] | |
| 18 | Normalized Difference Red Edge Index2 (NDREI2) | [46] | |
| 19 | Zarco-Tejada and Miller Index (ZMI) | [47] | |
| 20 | MERIS Terrestrial Chlorophyll Index (MTCI) | [48] |
| Data | Source | Location | Resolution | Acquisition Time | Application |
|---|---|---|---|---|---|
| 20 MOD09A1 images | National Aeronautics and Space Administration (NASA) | Gansu Province | 250 m | March to July 2011 | Calculate vegetation index |
| 4 Sentinel-2 1C-level images | European Space Agency (ESA) | Baoji City, Shaanxi Province | 10 m | March to June 2016 | Calculate vegetation index |
| ChinaCropSM1 | [55] | Gansu Province and Baoji City, Shaanxi Province | 1 km | March to July 2011 and March to June 2016 | Assist in selecting drought and normal crop pixels |
| Distribution map of spring wheat | [56] | Gansu Province and Baoji City, Shaanxi Province | 1 km | March to July 2011 and March to June 2016 | Assist in selecting crop pixels |
| LSWI | GVMI | SAVI | EVI | |
|---|---|---|---|---|
| 20 MODIS images in Gansu Province | 0.44 | 0.49 | 0.40 | 0.39 |
| 4 Sentinel-2 images in Baoji City | 0.21 | 0.20 | 0.11 | 0.15 |
Disclaimer/Publisher’s Note: The statements, opinions and data contained in all publications are solely those of the individual author(s) and contributor(s) and not of MDPI and/or the editor(s). MDPI and/or the editor(s) disclaim responsibility for any injury to people or property resulting from any ideas, methods, instructions or products referred to in the content. |
© 2023 by the authors. Licensee MDPI, Basel, Switzerland. This article is an open access article distributed under the terms and conditions of the Creative Commons Attribution (CC BY) license (https://creativecommons.org/licenses/by/4.0/).
Share and Cite
Xiao, C.; Wu, Y.; Zhu, X. Evaluation of the Monitoring Capability of 20 Vegetation Indices and 5 Mainstream Satellite Band Settings for Drought in Spring Wheat Using a Simulation Method. Remote Sens. 2023, 15, 4838. https://doi.org/10.3390/rs15194838
Xiao C, Wu Y, Zhu X. Evaluation of the Monitoring Capability of 20 Vegetation Indices and 5 Mainstream Satellite Band Settings for Drought in Spring Wheat Using a Simulation Method. Remote Sensing. 2023; 15(19):4838. https://doi.org/10.3390/rs15194838
Chicago/Turabian StyleXiao, Chang, Yinan Wu, and Xiufang Zhu. 2023. "Evaluation of the Monitoring Capability of 20 Vegetation Indices and 5 Mainstream Satellite Band Settings for Drought in Spring Wheat Using a Simulation Method" Remote Sensing 15, no. 19: 4838. https://doi.org/10.3390/rs15194838
APA StyleXiao, C., Wu, Y., & Zhu, X. (2023). Evaluation of the Monitoring Capability of 20 Vegetation Indices and 5 Mainstream Satellite Band Settings for Drought in Spring Wheat Using a Simulation Method. Remote Sensing, 15(19), 4838. https://doi.org/10.3390/rs15194838

