Precipitation Monitoring Using Commercial Microwave Links: Current Status, Challenges and Prospectives
Abstract
1. Introduction
1.1. Background
1.2. The Principle and Development of Rainfall Estimation by CMLs
2. Procedures in Deriving Rainfall Maps from Attenuation
2.1. Classification of Dry and Wet Periods
2.2. Determination of Baseline
2.3. Wet Antenna Attenuation (WAA) Correction
2.4. Calibration of the γ–R Relationship and Rainfall Estimation
2.5. Rainfall Mapping
3. Other Applications
3.1. Environmental Monitoring Other Than Rainfall Estimation
3.1.1. Monitoring Phenomena Related to Water Vapor
3.1.2. DSD Estimation
3.1.3. Precipitation Type Identification
3.1.4. Monitoring Phenomena Related to Air Refractivity
3.1.5. Dynamics of Rainfall and Wind
3.2. Hydrological Application
3.2.1. Cooperation with Dedicated Rain Sensors
3.2.2. Hydrological Modeling
4. Challenges in Rainfall Estimation by CMLs
4.1. Data Acquisition
4.2. Baseline Estimates
4.3. WAA Quantification
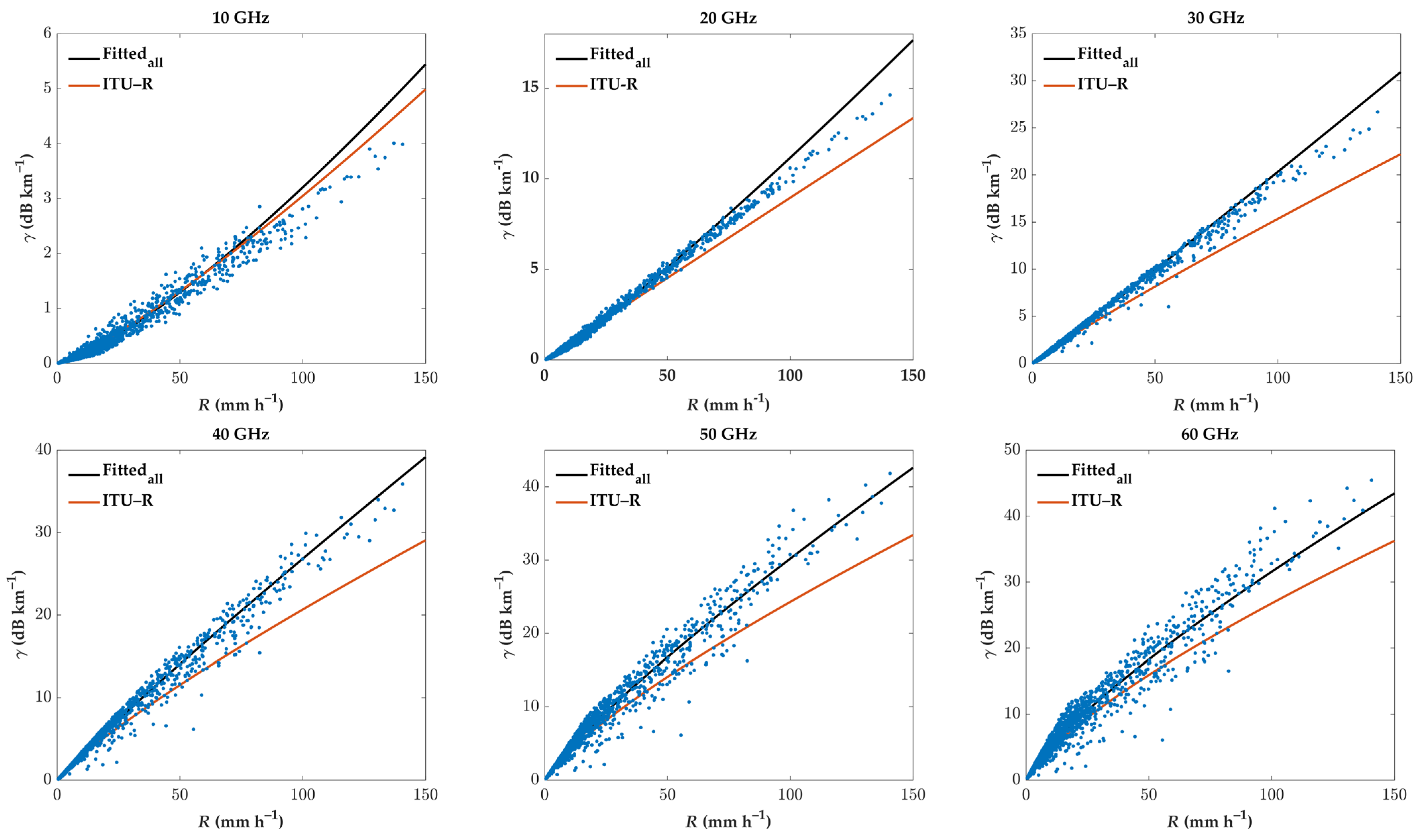
4.4. γ–R Relationship
4.5. Reconstruction of the Rainfall Spatial Distribution
5. Future Work
5.1. Enhanced Collaboration with Mobile Network Operators
5.2. Improvement of Processing Procedures
5.3. Data Assimilation
5.4. Error Analysis of CMLs Applied to Mountainous Areas
5.5. Exploration of Other Applications of CMLs
5.6. Rainfall Prediction
5.7. Application and Error Analysis of High-frequency CMLs
5.8. Combination with Earth–Space Microwave Links
5.9. Attempts to Estimate Rainfall Using Cellphone Signals
6. Conclusions and Outlook
Author Contributions
Funding
Acknowledgments
Conflicts of Interest
References
- Getirana, A.; Kirschbaum, D.; Mandarino, F.; Ottoni, M.; Khan, S.; Arsenault, K. Potential of GPM IMERG Precipitation Estimates to Monitor Natural Disaster Triggers in Urban Areas: The Case of Rio de Janeiro, Brazil. Remote Sens. 2020, 12, 4095. [Google Scholar] [CrossRef]
- Berg, P.; Moseley, C.; Haerter, J.O. Strong increase in convective precipitation in response to higher temperatures. Nat. Geosci. 2013, 6, 181–185. [Google Scholar] [CrossRef]
- Nešpor, V.; Sevruk, B. Estimation of Wind-Induced Error of Rainfall Gauge Measurements Using a Numerical Simulation. J. Atmos. Ocean. Technol. 1999, 16, 450. [Google Scholar] [CrossRef]
- Ulbrich, C.W.; Lee, L.G. Rainfall Measurement Error by WSR-88D Radars due to Variations in Z–R Law Parameters and the Radar Constant. J. Atmos. Ocean. Technol. 1999, 16, 1017–1024. [Google Scholar] [CrossRef]
- Nikahd, A.; Hashim, M.; Nazemosadat, M.J. A Review of Uncertainty Sources on Weather Ground-Based Radar for Rainfall Estimation. Appl. Mech. Mater. 2016, 818, 254–271. [Google Scholar] [CrossRef]
- Hou, A.Y.; Kakar, R.K.; Neeck, S.; Azarbarzin, A.A.; Kummerow, C.D.; Kojima, M.; Oki, R.; Nakamura, K.; Iguchi, T. The Global Precipitation Measurement Mission. Bull. Am. Meteorol. Soc. 2014, 95, 701–722. [Google Scholar] [CrossRef]
- Meyer, H.; Kühnlein, M.; Appelhans, T.; Nauss, T. Comparison of four machine learning algorithms for their applicability in satellite-based optical rainfall retrievals. Atmos. Res. 2016, 169, 424–433. [Google Scholar] [CrossRef]
- Chen, R.; Bennartz, R. Rainfall Algorithms Using Oceanic Satellite Observations from MWHS-2. Adv. Atmos. Sci. 2021, 38, 1367–1378. [Google Scholar] [CrossRef]
- Stephens, C.M.; Pham, H.T.; Marshall, L.A.; Johnson, F.M. Which Rainfall Errors Can Hydrologic Models Handle? Implications for Using Satellite-Derived Products in Sparsely Gauged Catchments. Water Resour. Res. 2022, 58, e2020WR02933. [Google Scholar] [CrossRef]
- Messer, H.; Zinevich, A.; Alpert, P. Environmental monitoring by wireless communication networks. Science 2006, 312, 713. [Google Scholar] [CrossRef]
- de Vos, L.; Leijnse, H.; Overeem, A.; Uijlenhoet, R. The potential of urban rainfall monitoring with crowdsourced automatic weather stations in Amsterdam. Hydrol. Earth Syst. Sci. 2017, 21, 765–777. [Google Scholar] [CrossRef]
- Rabiei, E.; Haberlandt, U.; Sester, M.; Fitzner, D. Rainfall estimation using moving cars as rain gauges―Laboratory experiments. Hydrol. Earth Syst. Sci. 2013, 17, 4701–4712. [Google Scholar] [CrossRef]
- Jiang, S.; Babovic, V.; Zheng, Y.; Xiong, J. Advancing Opportunistic Sensing in Hydrology: A Novel Approach to Measuring Rainfall with Ordinary Surveillance Cameras. Water Resour. Res. 2019, 55, 3004–3027. [Google Scholar] [CrossRef]
- Fencl, M.; Rieckermann, J.; Sykora, P.; Stransky, D.; Bares, V. Commercial microwave links instead of rain gauges: Fiction or reality? Water Sci. Technol. 2015, 71, 31–37. [Google Scholar] [CrossRef] [PubMed]
- Gosset, M.; Kunstmann, H.; Zougmore, F.; Cazenave, F.; Leijnse, H.; Uijlenhoet, R.; Chwala, C.; Keis, F.; Doumounia, A.; Boubacar, B.; et al. Improving Rainfall Measurement in Gauge Poor Regions Thanks to Mobile Telecommunication Networks. Bull. Am. Meteorol. Soc. 2016, 97, 49–51. [Google Scholar] [CrossRef]
- de Vos, L.W.; Droste, A.M.; Zander, M.J.; Overeem, A.; Leijnse, H.; Heusinkveld, B.G.; Steeneveld, G.J.; Uijlenhoet, R. Hydrometeorological Monitoring Using Opportunistic Sensing Networks in the Amsterdam Metropolitan Area. Bull. Am. Meteorol. Soc. 2020, 101, 167–185. [Google Scholar] [CrossRef]
- Olsen, R.; Rogers, D.; Hodge, D. The aR b relation in the calculation of rain attenuation. IEEE Trans. Antennas Propag. 1978, 26, 318–329. [Google Scholar] [CrossRef]
- Atlas, D.; Ulbrich, C.W. Path- and Area-Integrated Rainfall Measurement by Microwave Attenuation in the 1–3 cm Band. J. Appl. Meteorol. Climatol. 1977, 16, 1322–1331. [Google Scholar] [CrossRef]
- Jameson, A.R. A Comparison of Microwave Techniques for Measuring Rainfall. J. Appl. Meteorol. Climatol. 1991, 30, 32–54. [Google Scholar] [CrossRef]
- Rincon, R.F.; Lang, R.H.; Thiele, O. Rain estimation using the NASA/TRMM microwave link. In Proceedings of the IEEE 1999 International Geoscience and Remote Sensing Symposium, IGARSS’99, Hamburg, Germany, 28 June–2 July 1999; pp. 2063–2065. [Google Scholar]
- Rincon, R.F.; Lang, R.H. Microwave link dual-wavelength measurements of path-average attenuation for the estimation of drop size distributions and rainfall. IEEE Trans. Geosci. Remote Sens. 2002, 40, 760–770. [Google Scholar] [CrossRef]
- Holt, A.R.; Goddard, J.W.F.; Upton, G.; Willis, M.J.; Rahimi, A.R.; Baxter, P.D.; Collier, C. Measurement of rainfall by dual-wavelength microwave attenuation. Electron. Lett. 2001, 36, 2099–2101. [Google Scholar] [CrossRef]
- Rahimi, A.R.; Holt, A.R.; Upton, G.J.G.; Cummings, R.J. Use of dual-frequency microwave links for measuring path-averaged rainfall. J. Geophys. Res. Atmos. 2003, 108, 4467. [Google Scholar] [CrossRef]
- Rahimi, A.R.; Upton, G.J.G.; Holt, A.R. Dual-frequency links—A complement to gauges and radar for the measurement of rain. J. Hydrol. 2004, 288, 3–12. [Google Scholar] [CrossRef]
- Chen, B.; Yang, J.; Pu, J. Statistical Characteristics of Raindrop Size Distribution in the Meiyu Season Observed in Eastern China. J. Meteorol. Soc. Japan. Ser. II 2013, 91, 215–227. [Google Scholar] [CrossRef]
- Leijnse, H.; Uijlenhoet, R.; Stricker, J.N.M. Rainfall measurement using radio links from cellular communication networks. Water Resour. Res. 2007, 43, W03201. [Google Scholar] [CrossRef]
- Schleiss, M.; Berne, A. Identification of Dry and Rainy Periods Using Telecommunication Microwave Links. IEEE Geosci. Remote Sens. Lett. 2010, 7, 611–615. [Google Scholar] [CrossRef]
- Chwala, C.; Gmeiner, A.; Qiu, W.; Hipp, S.; Nienaber, D.; Siart, U.; Eibert, T.; Pohl, M.; Seltmann, J.; Fritz, J.; et al. Precipitation observation using microwave backhaul links in the alpine and pre-alpine region of Southern Germany. Hydrol. Earth Syst. Sci. 2012, 16, 2647–2661. [Google Scholar] [CrossRef]
- Schleiss, M.; Rieckermann, J.; Berne, A. Quantification and Modeling of Wet-Antenna Attenuation for Commercial Microwave Links. IEEE Geosci. Remote Sens. Lett. 2013, 10, 1195–1199. [Google Scholar] [CrossRef]
- Bianchi, B.; Jan van Leeuwen, P.; Hogan, R.J.; Berne, A. A Variational Approach to Retrieve Rain Rate by Combining Information from Rain Gauges, Radars, and Microwave Links. J. Hydrometeorol. 2013, 14, 1897–1909. [Google Scholar] [CrossRef]
- Fencl, M.; Rieckermann, J.; Schleiss, M.; Stránský, D.; Bareš, V. Assessing the potential of using telecommunication microwave links in urban drainage modelling. Water Sci. Technol. 2013, 68, 1810–1818. [Google Scholar] [CrossRef]
- D’Amico, M.; Manzoni, A.; Solazzi, G.L. Use of Operational Microwave Link Measurements for the Tomographic Reconstruction of 2-D Maps of Accumulated Rainfall. IEEE Geosci. Remote Sens. Lett. 2016, 13, 1827–1831. [Google Scholar] [CrossRef]
- Rios Gaona, M.F.; Overeem, A.; Raupach, T.H.; Leijnse, H.; Uijlenhoet, R. Rainfall retrieval with commercial microwave links in São Paulo, Brazil. Atmos. Meas. Techn. 2018, 11, 4465–4476. [Google Scholar] [CrossRef]
- Song, K.; Liu, X.; Gao, T. Real-Time Rainfall Estimation Using Microwave Links: A Case Study in East China during the Plum Rain Season in 2020. Sensors 2021, 21, 858. [Google Scholar] [CrossRef] [PubMed]
- Liu, X.; Zhao, K.; Zou, M.; Pu, K.; Song, K. Rainfall Monitoring Using a Microwave Links Network: A Long-Term Experiment in East China. Adv. Atmos. Sci. 2023, 40, 1567–1583. [Google Scholar] [CrossRef]
- Overeem, A.; Leijnse, H.; van Leth, T.C.; Bogerd, L.; Priebe, J.; Tricarico, D.; Droste, A.; Uijlenhoet, R. Tropical rainfall monitoring with commercial microwave links in Sri Lanka. Environ. Res. Lett. 2021, 16, 074058. [Google Scholar] [CrossRef]
- Turko, M.; Gosset, M.; Kacou, M.; Bouvier, C.; Chahinian, N.; Boone, A.; Alcoba, M. Rainfall Measurement from Commercial Microwave Links for Urban Hydrology in Africa: A Simulation Framework for Sensitivity Analysis. J. Hydrometeorol. 2021, 22, 1819–1834. [Google Scholar] [CrossRef]
- David, N.; Liu, Y.; Kumah, K.K.; Hoedjes, J.C.B.; Su, B.Z.; Gao, H.O. On the Power of Microwave Communication Data to Monitor Rain for Agricultural Needs in Africa. Water 2021, 13, 730. [Google Scholar] [CrossRef]
- Doumounia, A.; Gosset, M.; Cazenave, F.; Kacou, M.; François, Z. Rainfall Monitoring based on Microwave links from cellular telecommunication Networks: First Results from a West African Test Bed. Geophys. Res. Lett. 2014, 41, 6016–6022. [Google Scholar] [CrossRef]
- Messer, H.; Sendik, O. A New Approach to Precipitation Monitoring: A critical survey of existing technologies and challenges. IEEE Signal Process. Mag. 2015, 32, 110–122. [Google Scholar] [CrossRef]
- Uijlenhoet, R.; Overeem, A.; Leijnse, H. Opportunistic remote sensing of rainfall using microwave links from cellular communication networks. WIREs Water 2018, 5, e1289. [Google Scholar] [CrossRef]
- Chwala, C.; Kunstmann, H. Commercial microwave link networks for rainfall observation: Assessment of the current status and future challenges. WIREs Water 2019, 6, e1337. [Google Scholar] [CrossRef]
- Lian, B.; Wei, Z.; Sun, X.; Li, Z.; Zhao, J. A Review on Rainfall Measurement Based on Commercial Microwave Links in Wireless Cellular Networks. Sensors 2022, 22, 4395. [Google Scholar] [CrossRef]
- Leijnse, H.; Uijlenhoet, R.; Stricker, J.N.M. Hydrometeorological application of a microwave link: 2. Precipitation. Water Resour. Res. 2007, 43, W04417. [Google Scholar] [CrossRef]
- Overeem, A.; Leijnse, H.; Uijlenhoet, R. Retrieval algorithm for rainfall mapping from microwave links in a cellular communication network. Atmos. Meas. Tech. 2016, 9, 2425–2444. [Google Scholar] [CrossRef]
- Graf, M.; Chwala, C.; Polz, J.; Kunstmann, H. Rainfall estimation from a German-wide commercial microwave link network: Optimized processing and validation for 1 year of data. Hydrol. Earth Syst. Sci. 2020, 24, 2931–2950. [Google Scholar] [CrossRef]
- Fencl, M.; Dohnal, M.; Valtr, P.; Grabner, M.; Bareš, V. Atmospheric observations with E-band microwave links―challenges and opportunities. Atmos. Meas. Tech. 2020, 13, 6559–6578. [Google Scholar] [CrossRef]
- Upton, G.J.G.; Holt, A.R.; Cummings, R.J.; Rahimi, A.R.; Goddard, J.W.F. Microwave links: The future for urban rainfall measurement? Atmos. Res. 2005, 77, 300–312. [Google Scholar] [CrossRef]
- Overeem, A.; Leijnse, H.; Uijlenhoet, R. Measuring urban rainfall using microwave links from commercial cellular communication networks. Water Resour. Res. 2011, 47, W12505. [Google Scholar] [CrossRef]
- Kumah, K.K.; Hoedjes, J.C.B.; David, N.; Maathuis, B.H.P.; Gao, H.O.; Su, B.Z. Combining MWL and MSG SEVIRI Satellite Signals for Rainfall Detection and Estimation. Atmosphere 2020, 11, 884. [Google Scholar] [CrossRef]
- Kumah, K.K.; Hoedjes, J.C.B.; David, N.; Maathuis, B.H.P.; Gao, H.O.; Su, B.Z. The MSG Technique: Improving Commercial Microwave Link Rainfall Intensity by Using Rain Area Detection from Meteosat Second Generation. Remote Sens. 2021, 13, 3274. [Google Scholar] [CrossRef]
- Reller, C.; Loeliger, H.A.; Díaz, J.P.M. A model for quasi-periodic signals with application to rain estimation from microwave link gain. In Proceedings of the 2011 19th European Signal Processing Conference, Barcelona, Spain, 29 August–2 September 2011; pp. 971–975. [Google Scholar]
- Rayitsfeld, A.; Samuels, R.; Zinevich, A.; Hadar, U.; Alpert, P. Comparison of two methodologies for long term rainfall monitoring using a commercial microwave communication system. Atmos. Res. 2012, 104–105, 119–127. [Google Scholar] [CrossRef]
- Wang, Z.; Schleiss, M.; Jaffrain, J.; Berne, A.; Rieckermann, J. Using Markov switching models to infer dry and rainy periods from telecommunication microwave link signals. Atmos. Meas. Tech. 2012, 5, 1847–1859. [Google Scholar] [CrossRef]
- Harel, O.; Messer, H. Extension of the MFLRT to Detect an Unknown Deterministic Signal Using Multiple Sensors, Applied for Precipitation Detection. IEEE Signal Process. Lett. 2013, 20, 945–948. [Google Scholar] [CrossRef]
- Cherkassky, D.; Ostrometzky, J.; Messer, H. Precipitation Classification Using Measurements from Commercial Microwave Links. IEEE Trans. Geosci. Remote Sens. 2014, 52, 2350–2356. [Google Scholar] [CrossRef]
- Dordević, V.; Pronić-Rančić, O.; Marinkovic, Z.; Milijic, M.; Marković, V.; Siart, U.; Chwala, C.; Kunstmann, H. New method for detection of precipitation based on artificial neural networks. Microw. Rev. 2013, 19, 50–55. [Google Scholar]
- Habi, H.V.; Messer, H. Wet-dry classification using LSTM and commercial microwave links. In Proceedings of the 10th IEEE Sensor Array and Multichannel Signal Processing Workshop (SAM), Sheffield, UK, 8–11 July 2018; pp. 149–153. [Google Scholar]
- He, B.; Liu, X.; Hu, S.; Song, K.; Gao, T. Use of the C-Band Microwave Link to Distinguish between Rainy and Dry Periods. Adv. Meteorol. 2019, 2019, 3428786. [Google Scholar] [CrossRef]
- Song, K.; Liu, X.; Zou, M.; Zhou, D.; Wu, H.; Ji, F. Experimental Study of Detecting Rainfall Using Microwave Links: Classification of Wet and Dry Periods. IEEE J. Sel. Top. Appl. Earth Obs. Remote Sens. 2020, 13, 5264–5271. [Google Scholar] [CrossRef]
- Polz, J.; Chwala, C.; Graf, M.; Kunstmann, H.; Kunstmann, H. Rain event detection in commercial microwave link attenuation data using convolutional neural networks. Atmos. Meas. Tech. 2020, 13, 3835–3853. [Google Scholar] [CrossRef]
- Kamtchoum, E.V.; Nzeukou Takougang, A.C.; Tayou Djamegni, C. A Machine Learning Approach for the Classification of Wet and Dry Periods Using Commercial Microwave Link Data. SN Comput. Sci. 2022, 3, 227. [Google Scholar] [CrossRef]
- Cherkassky, D.; Ostrometzky, J.; Messer, H. The Use of Linear Feature Projection for Precipitation Classification Using Measurements from Commercial Microwave Links. In Proceedings of the Latent Variable Analysis and Signal Separation, Tel Aviv, Israel, 12–15 March 2012; Springer: Berlin/Heidelberg, Germany, 2012; pp. 511–519. [Google Scholar]
- Zinevich, A.; Messer, H.; Alpert, P. Prediction of rainfall intensity measurement errors using commercial microwave communication links. Atmos. Meas. Tech. 2010, 3, 1385–1402. [Google Scholar] [CrossRef]
- Fenicia, F.; Pfister, L.; Kavetski, D.; Matgen, P.; Iffly, J.-F.; Hoffmann, L.; Uijlenhoet, R. Microwave links for rainfall estimation in an urban environment: Insights from an experimental setup in Luxembourg-City. J. Hydrol. 2012, 464–465, 69–78. [Google Scholar] [CrossRef]
- Ostrometzky, J.; Messer, H. Dynamic Determination of the Baseline Level in Microwave Links for Rain Monitoring from Minimum Attenuation Values. IEEE J. Sel. Top. Appl. Earth Obs. Remote Sens. 2018, 11, 24–33. [Google Scholar] [CrossRef]
- Moroder, C.; Siart, U.; Chwala, C.; Kunstmann, H. Modeling of Wet Antenna Attenuation for Precipitation Estimation from Microwave Links. IEEE Geosci. Remote Sens. Lett. 2020, 17, 386–390. [Google Scholar] [CrossRef]
- Kharadly, M.M.Z.; Ross, R. Effect of wet antenna attenuation on propagation data statistics. IEEE Trans. Antennas Propag. 2001, 49, 1183–1191. [Google Scholar] [CrossRef]
- García-Rubia, J.M.; Riera, J.M.; Benarroch, A.; García-del-Pino, P. Estimation of Rain Attenuation from Experimental Drop Size Distributions. IEEE Antennas Wirel. Propag. Lett. 2011, 10, 839–842. [Google Scholar] [CrossRef]
- Leijnse, H.; Uijlenhoet, R.; Stricker, J.N.M. Microwave link rainfall estimation: Effects of link length and frequency, temporal sampling, power resolution, and wet antenna attenuation. Adv. Water. Resour. 2008, 31, 1481–1493. [Google Scholar] [CrossRef]
- Valtr, P.; Fencl, M.; Bares, V. Excess Attenuation Caused by Antenna Wetting of Terrestrial Microwave Links at 32 GHz. IEEE Antennas Wirel. Propag. Lett. 2019, 18, 1636–1640. [Google Scholar] [CrossRef]
- Minda, H.; Nakamura, K. High Temporal Resolution Path-Average Rain Gauge with 50-GHz Band Microwave. J. Atmos. Ocean. Technol. 2005, 22, 165–179. [Google Scholar] [CrossRef]
- Pastorek, J.; Fencl, M.; Rieckermann, J.; Bares, V. Precipitation Estimates from Commercial Microwave Links: Practical Approaches to Wet-Antenna Correction. IEEE Trans. Geosci. Remote Sens. 2022, 60, 1–9. [Google Scholar] [CrossRef]
- Fencl, M.; Valtr, P.; Kvicera, M.; Bares, V. Quantifying Wet Antenna Attenuation in 38-GHz Commercial Microwave Links of Cellular Backhaul. IEEE Geosci. Remote Sens. Lett. 2019, 16, 514–518. [Google Scholar] [CrossRef]
- Pu, K.; Liu, X.; He, H. Wet Antenna Attenuation Model of E-Band Microwave Links Based on the LSTM Algorithm. IEEE Antennas Wirel. Propag. Lett. 2020, 19, 1586–1590. [Google Scholar] [CrossRef]
- Moroder, C.; Siart, U.; Chwala, C.; Kunstmann, H. Microwave Instrument for Simultaneous Wet Antenna Attenuation and Precipitation Measurement. IEEE Trans. Instrum. Meas. 2020, 69, 5853–5861. [Google Scholar] [CrossRef]
- ITU. Specific attenuation model for rain for use in prediction methods. In Recommendation ITU-R P.838-3; ITU: Geneva, Switzerland, 2005. [Google Scholar]
- Kim, J.H.; Jung, M.-W.; Yoon, Y.K.; Chong, Y.J. The Measurements of Rain Attenuation for Terrestrial Link at millimeter Wave. In Proceedings of the 2013 International Conference on ICT Convergence (ICTC), Jeju Island, Republic of Korea, 14–16 October 2013. [Google Scholar]
- Halder, T.; Adhikari, A.; Maitra, A. Rain attenuation studies from radiometric and rain DSD measurements at two tropical locations. J. Atmos. Sol. -Terr. Phys. 2018, 170, 11–20. [Google Scholar] [CrossRef]
- Juttula, H.; Kokkoniemi, J.; Lehtomaki, J.; Makynen, A.; Juntti, M. Rain Induced Co-Channel Interference at 60 GHz and 300 GHz Frequencies. In Proceedings of the IEEE International Conference on Communications Workshops (ICC Workshops), Shanghai, China, 20–24 May 2019. [Google Scholar]
- Xichuan, L.I.U.; Mingzhong, Z.O.U.; Xuguang, Z. Analysis of Sensitive Parameters of 15~23 GHz Microwave Link Induced by Rain Attenuation. J. Electron. Inf. Technol. 2021, 43, 2007–2013. Available online: https://jeit.ac.cn/cn/article/doi/10.11999/JEIT200180 (accessed on 23 September 2023).
- Kim, M.-S.; Kwon, B. Rainfall Detection and Rainfall Rate Estimation Using Microwave Attenuation. Atmosphere 2018, 9, 287. [Google Scholar] [CrossRef]
- Song, K.; Liu, X.; Gao, T.; He, B. Rainfall estimation using a microwave link based on an improved rain-induced attenuation model. Remote Sens. Lett. 2019, 10, 1057–1066. [Google Scholar] [CrossRef]
- Han, C.; Feng, L.; Huo, J.; Deng, Z.; Zhang, G.; Ji, B.; Zhou, Y.; Bi, Y.; Duan, S.; Yuan, R. Characteristics of Rain-Induced Attenuation over Signal Links at Frequency Ranges of 25 and 38 GHz Observed in Beijing. Remote Sens. 2021, 13, 2156. [Google Scholar] [CrossRef]
- Goldshtein, O.; Messer, H.; Zinevich, A. Rain Rate Estimation Using Measurements from Commercial Telecommunications Links. IEEE Trans. Signal Process. 2009, 57, 1616–1625. [Google Scholar] [CrossRef]
- Eshel, A.; Ostrometzky, J.; Gat, S.; Alpert, P.; Messer, H. Spatial Reconstruction of Rain Fields from Wireless Telecommunication Networks—Scenario-Dependent Analysis of IDW-Based Algorithms. IEEE Geosci. Remote Sens. Lett. 2020, 17, 770–774. [Google Scholar] [CrossRef]
- Zheng, X.; Messer, H.; Wang, Q.; Xu, T.; Qin, Y.; Yang, T. On the potential of commercial microwave link networks for high spatial resolution rainfall monitoring in urban areas. Atmos. Res. 2022, 277, 106289. [Google Scholar] [CrossRef]
- Eshel, A.; Messer, H.; Kunstmann, H.; Alpert, P.; Chwala, C. Quantitative Analysis of the Performance of Spatial Interpolation Methods for Rainfall Estimation Using Commercial Microwave Links. J. Hydrometeorol. 2021, 22, 831–843. [Google Scholar] [CrossRef]
- Giuli, D.; Facheris, L.; Tanelli, S. Microwave tomographic inversion technique based on stochastic approach for rainfall fields monitoring. IEEE Trans. Geosci. Remote Sens. 1999, 37, 2536–2555. [Google Scholar] [CrossRef]
- Giuli, D.; Facheris, L.; Tanelli, S. A new microwave tomography approach for rainfall monitoring over limited areas. Phys. Chem. Earth 1997, 22, 265–273. [Google Scholar] [CrossRef]
- Graf, M.; El Hachem, A.; Eisele, M.; Seidel, J.; Chwala, C.; Kunstmann, H.; Bárdossy, A. Rainfall estimates from opportunistic sensors in Germany across spatio-temporal scales. J. Hydrol. Reg. Stud. 2021, 37, 100883. [Google Scholar] [CrossRef]
- Blettner, N.; Chwala, C.; Haese, B.; Hörning, S.; Kunstmann, H. Combining Commercial Microwave Link and Rain Gauge Observations to Estimate Countrywide Precipitation: A Stochastic Reconstruction and Pattern Analysis Approach. Water Resour. Res. 2022, 58, e2022WR032563. [Google Scholar] [CrossRef]
- Haese, B.; Hörning, S.; Chwala, C.; Bárdossy, A.; Schalge, B.; Kunstmann, H. Stochastic Reconstruction and Interpolation of Precipitation Fields Using Combined Information of Commercial Microwave Links and Rain Gauges. Water Resour. Res. 2017, 53, 10740–10756. [Google Scholar] [CrossRef]
- Gazit, L.; Messer, H. Sufficient Conditions for Reconstructing 2-D Rainfall Maps. IEEE Trans. Geosci. Remote Sens. 2018, 56, 6334–6343. [Google Scholar] [CrossRef]
- Abrajano, G.D.; Okada, M. Compressed sensing based detection of localized heavy rain using microwave network attenuation. In Proceedings of the 2013 7th European Conference on Antennas and Propagation (EuCAP), Gothenburg, Sweden, 8–12 April 2013; pp. 2383–2386. [Google Scholar]
- Roy, V.; Gishkori, S.; Leus, G. Dynamic rainfall monitoring using microwave links. EURASIP J. Adv. Signal Process. 2016, 2016, 77. [Google Scholar] [CrossRef]
- Abrajano, G.; Okada, M. Rainfall field reconstruction using rain attenuation of microwave mesh networks. ECTI Trans. Comput. Inf. Technol. 2013, 7, 117–125. [Google Scholar] [CrossRef]
- Eshel, A.; Alpert, P.; Messer, H. Estimating the Parameters of the Spatial Autocorrelation of Rainfall Fields by Measurements from Commercial Microwave Links. IEEE Trans. Geosci. Remote Sens. 2022, 60, 1–11. [Google Scholar] [CrossRef]
- David, N.; Alpert, P.; Messer, H. Technical Note: Novel method for water vapour monitoring using wireless communication networks measurements. Atmos. Chem. Phys. 2009, 9, 2413–2418. [Google Scholar] [CrossRef]
- Chwala, C.; Kunstmann, H.; Hipp, S.; Siart, U. A monostatic microwave transmission experiment for line integrated precipitation and humidity remote sensing. Atmos. Res. 2014, 144, 57–72. [Google Scholar] [CrossRef][Green Version]
- Montomoli, F.; Macelloni, G.; Facheris, L.; Cuccoli, F.; Del Bianco, S.; Gai, M.; Cortesi, U.; Di Natale, G.; Toccafondi, A.; Puggelli, F.; et al. Integrated Water Vapor Estimation Through Microwave Propagation Measurements: First Experiment on a Ground-to-Ground Radio Link. IEEE Trans. Geosci. Remote Sens. 2022, 60, 1–13. [Google Scholar] [CrossRef]
- Alpert, P.; Rubin, Y. First Daily Mapping of Surface Moisture from Cellular Network Data and Comparison with Both Observations/ECMWF Product. Geophys. Res. Lett. 2018, 45, 8619–8628. [Google Scholar] [CrossRef]
- Fencl, M.; Dohnal, M.; Bareš, V. Retrieving Water Vapor From an E-Band Microwave Link with an Empirical Model Not Requiring In Situ Calibration. Earth Space Sci. 2021, 8, e2021EA001911. [Google Scholar] [CrossRef]
- Song, K.; Liu, X.; Gao, T.; Zhang, P. Estimating Water Vapor Using Signals from Microwave Links below 25 GHz. Remote Sens. 2021, 13, 1409. [Google Scholar] [CrossRef]
- Pu, K.; Liu, X.; Liu, L.; Gao, T. Water Vapor Retrieval Using Commercial Microwave Links Based on the LSTM Network. IEEE J. Sel. Top. Appl. Earth Obs. Remote Sens. 2021, 14, 4330–4338. [Google Scholar] [CrossRef]
- David, N.; Sendik, O.; Rubin, Y.; Messer, H.; Gao, H.O.; Rostkier-Edelstein, D.; Alpert, P. Analyzing the ability to reconstruct the moisture field using commercial microwave network data. Atmos. Res. 2019, 219, 213–222. [Google Scholar] [CrossRef]
- Rubin, Y.; Rostkier-Edelstein, D.; Chwala, C.; Alpert, P. Challenges in Diurnal Humidity Analysis from Cellular Microwave Links (CML) over Germany. Remote Sens. 2022, 14, 2353. [Google Scholar] [CrossRef]
- Han, C.; Su, G.; Bao, L.; Messer, H. Water Vapor Density Retrieval Studies Using Commercial Millimeter-Wave Links at 38 GHz and E-Band. Remote Sens. 2022, 14, 946. [Google Scholar] [CrossRef]
- Zheng, S.; Huo, J.; Cai, W.; Zhang, Y.; Li, P.; Zhang, G.; Ji, B.; Zhou, J.; Han, C. Water vapor estimation based on 1-year data of E-band millimeter wave link in North China. Atmos. Meas. Tech. 2022, 15, 1675–1687. [Google Scholar] [CrossRef]
- David, N.; Sendik, O.; Messer, H.; Alpert, P. Cellular Network Infrastructure: The Future of Fog Monitoring? Bull. Am. Meteorol. Soc. 2015, 96, 1687–1698. [Google Scholar] [CrossRef]
- David, N.; Alpert, P.; Messer, H. The potential of commercial microwave networks to monitor dense fog-feasibility study. J. Geophys. Res. Atmos. 2013, 118, 750–761. [Google Scholar] [CrossRef]
- David, N.; Gao, H.O. Using Cell-Phone Tower Signals for Detecting the Precursors of Fog. J. Geophys. Res. Atmos. 2018, 123, 1325–1338. [Google Scholar] [CrossRef]
- Harel, O.; David, N.; Alpert, P.; Messer, H. The Potential of Microwave Communication Networks to Detect Dew—Experimental Study. IEEE J. Sel. Top. Appl. Earth Obs. Remote Sens. 2015, 8, 4396–4404. [Google Scholar] [CrossRef]
- Berne, A.; Schleiss, M. Retrieval of the rain drop size distribution using telecommunication dual-polarization microwave links. In Proceedings of the 34th Conference on Radar Meteorology, Williamsburg, VA, USA, 5–9 October 2009. [Google Scholar]
- Song, K.; Liu, X.; Gao, T.; He, B. Raindrop Size Distribution Retrieval Using Joint Dual-Frequency and Dual-Polarization Microwave Links. Adv. Meteorol. 2019, 2019, 7251870 . [Google Scholar] [CrossRef]
- van Leth, T.C.; Leijnse, H.; Overeem, A.; Uijlenhoet, R. Estimating raindrop size distributions using microwave link measurements: Potential and limitations. Atmos. Meas. Tech. 2020, 13, 1797–1815. [Google Scholar] [CrossRef]
- Upton, G.J.G.; Cummings, R.J.; Holt, A.R. Identification of melting snow using data from dual-frequency microwave links. IET Microw. Antennas Propag. 2007, 1, 282–288. [Google Scholar] [CrossRef]
- Upton, G.J.G.; Cummings, R.J.; Holt, A.R. The potential of microwave links for providing information concerning the amount and type of precipitation. In Proceedings of the 2008 IEEE International Conference Acoustic Speech Signal Process, Las Vegas, NV, USA, 31 March–4 April 2008; pp. 5153–5156. [Google Scholar]
- Pu, K.; Liu, X.; Hu, S.; Gao, T. Hydrometeor Identification Using Multiple-Frequency Microwave Links: A Numerical Simulation. Remote Sens. 2020, 12, 2158. [Google Scholar] [CrossRef]
- Pu, K.; Liu, X.; Xian, M.; Gao, T. Machine Learning Classification of Rainfall Types Based on the Differential Attenuation of Multiple Frequency Microwave Links. IEEE Trans. Geosci. Remote Sens. 2020, 58, 6888–6899. [Google Scholar] [CrossRef]
- Ostrometzky, J.; Cherkassky, D.; Messer, H. Accumulated Mixed Precipitation Estimation Using Measurements from Multiple Microwave Links. Adv. Meteorol. 2015, 2015, 707646. [Google Scholar] [CrossRef]
- Leijnse, H.; Uijlenhoet, R.; Stricker, J.N.M. Hydrometeorological application of a microwave link: 1. Evaporation. Water Resour. Res. 2007, 43, W04416. [Google Scholar] [CrossRef]
- David, N.; Gao, H.O. Using Cellular Communication Networks to Detect Air Pollution. Environ. Sci. Technol. 2016, 50, 9442–9451. [Google Scholar] [CrossRef] [PubMed]
- Guyot, A.; Pudashine, J.; Uijlenhoet, R.; Protat, A.; Pauwels, V.R.N.; Louf, V.; Walker, J.P. Wildfire Smoke Particulate Matter Concentration Measurements Using Radio Links from Cellular Communication Networks. AGU Adv. 2021, 2, e2020AV000258. [Google Scholar] [CrossRef]
- David, N.; Gao, H.O. A Data-Driven Approach for Studying the Washout Effects of Rain on Air Pollution. Int. J. Mar. Environ. Sci. 2020, 166, 264–268. [Google Scholar]
- Overeem, A.; Leijnse, H.; Uijlenhoet, R. Two and a half years of country-wide rainfall maps using radio links from commercial cellular telecommunication networks. Water Resour. Res. 2016, 52, 8039–8065. [Google Scholar] [CrossRef]
- Overeem, A.; Leijnse, H.; Uijlenhoet, R. Country-wide rainfall maps from cellular communication networks. Proc. Natl. Acad. Sci. USA 2013, 110, 2741–2745. [Google Scholar] [CrossRef]
- Messer, H.; Zinevich, A.; Alpert, P. Environmental sensor networks using existing wireless communication systems for rainfall and wind velocity measurements. IEEE Instrum. Meas. Mag. 2012, 15, 32–38. [Google Scholar] [CrossRef]
- Zinevich, A.; Messer, H.; Alpert, P. Frontal Rainfall Observation by a Commercial Microwave Communication Network. J. Appl. Meteorol. Climatol. 2009, 48, 1317–1334. [Google Scholar] [CrossRef]
- Bianchi, B.; Rieckermann, J.; Berne, A. Quality control of rain gauge measurements using telecommunication microwave links. J. Hydrol. 2013, 492, 15–23. [Google Scholar] [CrossRef]
- Fencl, M.; Dohnal, M.; Rieckermann, J.; Bareš, V. Gauge-adjusted rainfall estimates from commercial microwave links. Hydrol. Earth Syst. Sci. 2017, 21, 617–634. [Google Scholar] [CrossRef]
- Krämer, S.; Verworn, H.R.; Redder, A. Improvement of X-band radar rainfall estimates using a microwave link. Atmos. Res. 2005, 77, 278–299. [Google Scholar] [CrossRef]
- Rahimi, A.R.; Holt, A.R.; Upton, G.J.G. Attenuation Calibration of an X-Band Weather Radar Using a Microwave Link. J. Atmos. Ocean. Technol. 2006, 23, 395–405. [Google Scholar] [CrossRef]
- Kim, M.-S.; Kwon, B.H. Attenuation Correction of X-Band Radar Reflectivity Using Adjacent Multiple Microwave Links. Remote Sens. 2020, 12, 2133. [Google Scholar] [CrossRef]
- Xue, Y.; Liu, X.-c.; Gao, T.-c.; Yang, C.-y.; Song, K. Regional Attenuation Correction of Weather Radar Using a Distributed Microwave-Links Network. Adv. Meteorol. 2017, 2017, 8621239 . [Google Scholar] [CrossRef]
- Zhang, P.; Liu, X.; Li, Z.; Zhou, Z.; Song, K.; Yang, P. Attenuation Correction of Weather Radar Reflectivity with Arbitrary Oriented Microwave Link. Adv. Meteorol. 2017, 2017, 6124149. [Google Scholar] [CrossRef]
- Trömel, S.; Ziegert, M.; Ryzhkov, A.V.; Chwala, C.; Simmer, C. Using Microwave Backhaul Links to Optimize the Performance of Algorithms for Rainfall Estimation and Attenuation Correction. J. Atmos. Ocean. Technol. 2014, 31, 1748–1760. [Google Scholar] [CrossRef]
- Cummings, R.J.; Upton, G.J.G.; Holt, A.R.; Kitchen, M. Using microwave links to adjust the radar rainfall field. Adv. Water. Resour. 2009, 32, 1003–1010. [Google Scholar] [CrossRef]
- Liberman, Y.; Samuels, R.; Alpert, P.; Messer, H. New algorithm for integration between wireless microwave sensor network and radar for improved rainfall measurement and mapping. Atmos. Meas. Tech. 2014, 7, 3549–3563. [Google Scholar] [CrossRef]
- Raich, R.; Alpert, P.; Messer, H. Vertical Precipitation Estimation Using Microwave Links in Conjunction with Weather Radar. Environments 2018, 5, 74. [Google Scholar] [CrossRef]
- Kumah, K.K.; Maathuis, B.H.P.; Hoedjes, J.C.B.; Su, Z. Near real-time estimation of high spatiotemporal resolution rainfall from cloud top properties of the MSG satellite and commercial microwave link rainfall intensities. Atmos. Res. 2022, 279, 106357. [Google Scholar] [CrossRef]
- Rios Gaona, M.F.; Overeem, A.; Brasjen, A.M.; Meirink, J.F.; Leijnse, H.; Uijlenhoet, R. Evaluation of Rainfall Products Derived from Satellites and Microwave Links for The Netherlands. IEEE Trans. Geosci. Remote Sens. 2017, 55, 6849–6859. [Google Scholar] [CrossRef]
- Grum, M.; Kraemer, S.; Verworn, H.-R.; Redder, A. Combined use of point rain gauges, radar, microwave link and level measurements in urban hydrological modelling. Atmos. Res. 2005, 77, 313–321. [Google Scholar] [CrossRef]
- Stransky, D.; Fencl, M.; Bares, V. Runoff prediction using rainfall data from microwave links: Tabor case study. Water Sci. Technol. 2018, 2017, 351–359. [Google Scholar] [CrossRef] [PubMed]
- Pastorek, J.; Fencl, M.; Rieckermann, J.; Bareš, V. Commercial microwave links for urban drainage modelling: The effect of link characteristics and their position on runoff simulations. J. Environ. Manag. 2019, 251, 109522. [Google Scholar] [CrossRef] [PubMed]
- Turko, M.; Gosset, M.; Bouvier, C.; Chahinian, N.; Alcoba, M.; Kacou, M.; Yappi, A. Rainfall measurement from mobile telecommunication network and potential benefit for urban hydrology in Africa: A simulation framework for uncertainty propagation analysis. Proc. Int. Assoc. Hydrol. Sci. 2020, 383, 237–240. [Google Scholar] [CrossRef]
- Pastorek, J.; Fencl, M.; Rieckermann, J.; Bareš, V. Microwave link rainfall data for urban drainage modelling: Reducing the systematic errors under data-scarce conditions. In Proceedings of the 15th International Conference on Urban Drainage (ICUD 2021), Melbourne, Australia, 25–28 October 2021. [Google Scholar]
- Pastorek, J.; Fencl, M.; Bareš, V. Uncertainties in discharge predictions based on microwave link rainfall estimates in a small urban catchment. J. Hydrol. 2023, 617, 129051. [Google Scholar] [CrossRef]
- Cazzaniga, G.; De Michele, C.; D’Amico, M.; Deidda, C.; Ghezzi, A.; Nebuloni, R. Hydrological response of a peri-urban catchment exploiting conventional and unconventional rainfall observations: The case study of Lambro Catchment. Hydrol. Earth Syst. Sci. 2022, 26, 2093–2111. [Google Scholar] [CrossRef]
- Smiatek, G.; Keis, F.; Chwala, C.; Fersch, B.; Kunstmann, H. Potential of commercial microwave link network derived rainfall for river runoff simulations. Environ. Res. Lett. 2017, 12, 034026. [Google Scholar] [CrossRef]
- Brauer, C.C.; Overeem, A.; Leijnse, H.; Uijlenhoet, R. The effect of differences between rainfall measurement techniques on groundwater and discharge simulations in a lowland catchment. Hydrol. Process. 2016, 30, 3885–3900. [Google Scholar] [CrossRef]
- Hoedjes, J.C.B.; Kooiman, A.; Maathuis, B.H.P.; Said, M.Y.; Becht, R.; Limo, A.; Mumo, M.; Nduhiu-Mathenge, J.; Shaka, A.; Su, B. A Conceptual Flash Flood Early Warning System for Africa, Based on Terrestrial Microwave Links and Flash Flood Guidance. ISPRS Int. J. Geo-Inf. 2014, 3, 584–598. [Google Scholar] [CrossRef]
- Eshel, A.; Messer, H.; Ostrometzky, J.; Raich, R.; Alpert, P.; Laronne, J.B. On the Use of Measurements from a Commercial Microwave Link for Evaluation of Flash Floods in Arid Regions. Atmos. Chem. Phys. Discuss. 2017, 2017, 1–25. [Google Scholar] [CrossRef]
- David, N.; Alpert, P.; Messer, H. The potential of cellular network infrastructures for sudden rainfall monitoring in dry climate regions. Atmos. Res. 2013, 131, 13–21. [Google Scholar] [CrossRef]
- Gustilo, R.C. Design of Wireless Disaster Alarm System Using Microwave Links. J. Telecommun. Electron. Comput. Eng. 2018, 10, 103–108. [Google Scholar]
- Trömel, S.; Chwala, C.; Furusho-Percot, C.; Henken, C.C.; Polz, J.; Potthast, R.; Reinoso-Rondinel, R.; Simmer, C. Near-Realtime Quantitative Precipitation Estimation and Prediction (RealPEP). Bull. Am. Meteorol. Soc. 2021, 102, E1591–E1596. [Google Scholar] [CrossRef]
- Ostrometzky, J.; Eshel, A. Empirical Study of the Quantization Induced Bias in Commercial Microwave Links’ Min/Max Attenuation Measurements for Rain Monitoring. Environments 2018, 5, 80. [Google Scholar] [CrossRef]
- Roversi, G.; Alberoni, P.P.; Fornasiero, A.; Porcù, F. Commercial microwave links as a tool for operational rainfall monitoring in Northern Italy. Atmos. Meas. Tech. 2020, 13, 5779–5797. [Google Scholar] [CrossRef]
- van Leth, T.C.; Overeem, A.; Leijnse, H.; Uijlenhoet, R. A measurement campaign to assess sources of error in microwave link rainfall estimation. Atmos. Meas. Tech. 2018, 11, 4645–4669. [Google Scholar] [CrossRef]
- Pu, K.; Liu, X.; Sun, X.; Li, S. Error Analysis of Rainfall Inversion Based on Commercial Microwave Links With A–R Relationship Considering the Rainfall Features. IEEE Trans. Geosci. Remote Sens. 2023, 61, 1–12. [Google Scholar] [CrossRef]
- Zinevich, A.; Alpert, P.; Messer, H. Estimation of rainfall fields using commercial microwave communication networks of variable density. Adv. Water. Resour. 2008, 31, 1470–1480. [Google Scholar] [CrossRef]
- Ostrometzky, J.; Messer, H. Comparison of Different Methodologies of Parameter-Estimation from Extreme Values. IEEE Signal Process. Lett. 2017, 24, 1293–1297. [Google Scholar] [CrossRef]
- Pudashine, J.; Guyot, A.; Petitjean, F.; Pauwels, V.R.N.; Uijlenhoet, R.; Seed, A.; Prakash, M.; Walker, J.P. Deep Learning for an Improved Prediction of Rainfall Retrievals from Commercial Microwave Links. Water Resour. Res. 2020, 56, e2019WR026255. [Google Scholar] [CrossRef]
- Guerra-Moreno, I.; Navarro-Mesa, J.L.; García, A.G.; Suarez Araujo, C. On the Application of a Recurrent Neural Network for Rainfall Quantification Based on the Received Signal from Microwave Links. In Advances in Computational Intelligence; Springer International Publishing: Cham, Switzerland, 2019; pp. 39–51. [Google Scholar]
- Pudashine, J.; Guyot, A.; Overeem, A.; Pauwels, V.R.N.; Seed, A.; Uijlenhoet, R.; Prakash, M.; Walker, J.P. Rainfall retrieval using commercial microwave links: Effect of sampling strategy on retrieval accuracy. J. Hydrol. 2021, 603, 126909. [Google Scholar] [CrossRef]
- de Vos, L.W.; Overeem, A.; Leijnse, H.; Uijlenhoet, R. Rainfall Estimation Accuracy of a Nationwide Instantaneously Sampling Commercial Microwave Link Network: Error Dependency on Known Characteristics. J. Atmos. Ocean. Technol. 2019, 36, 1267–1283. [Google Scholar] [CrossRef]
- Messer, H. Rainfall Monitoring Using Cellular Networks [In the Spotlight]. IEEE Signal Process. Mag. 2007, 24, 142–144. [Google Scholar] [CrossRef]
- Fencl, M.; Dohnal, M.; Valtr, P.; Grabner, M.; Bareš, V. Data and code for the paper Atmospheric Observations with E-band Microwave Links—Challenges and Opportunities. Atmos. Meas. Tech. 2020, 13, 6559–6578. [Google Scholar] [CrossRef]
- Andersson, J.C.M.; Olsson, J.; van de Beek, R.; Hansryd, J. OpenMRG: Open data from Microwave links, Radar, and Gauges for rainfall quantification in Gothenburg, Sweden. Earth Syst. Sci. Data 2022, 14, 5411–5426. [Google Scholar] [CrossRef]
- Špačková, A.; Bareš, V.; Fencl, M.; Schleiss, M.; Jaffrain, J.; Berne, A.; Rieckermann, J. A year of attenuation data from a commercial dual-polarized duplex microwave link with concurrent disdrometer, rain gauge, and weather observations. Earth Syst. Sci. Data 2021, 13, 4219–4240. [Google Scholar] [CrossRef]
- Berne, A.; Uijlenhoet, R. Path-averaged rainfall estimation using microwave links: Uncertainty due to spatial rainfall variability. Geophys. Res. Lett. 2007, 34, L07403. [Google Scholar] [CrossRef]
- Uijlenhoet, R.; Leijnse, H.; Berne, A. Errors and Uncertainties in Microwave Link Rainfall Estimation Explored Using Drop Size Measurements and High-Resolution Radar Data. J. Hydrometeorol. 2010, 11, 1330–1344. [Google Scholar] [CrossRef]
- Gaona, M.F.R.; Overeem, A.; Leijnse, H.; Uijlenhoet, R. Measurement and interpolation uncertainties in rainfall maps from cellular communication networks. Hydrol. Earth Syst. Sci. 2015, 19, 3571–3584. [Google Scholar] [CrossRef]
- Chwala, C.; Keis, F.; Kunstmann, H. Real-time data acquisition of commercial microwave link networks for hydrometeorological applications. Atmos. Meas. Tech. 2016, 9, 991–999. [Google Scholar] [CrossRef]
- Holt, A.R.; Cummings, R.J.; Upton, G.J.G.; Bradford, W.J. Rain rates, drop size information, and precipitation type, obtained from one-way differential propagation phase and attenuation along a microwave link. Radio Sci. 2008, 43, 1–18. [Google Scholar] [CrossRef]
- Pudashine, J.; Velasco-Forero, C.; Curtis, M.; Guyot, A.; Pauwels, V.R.N.; Walker, J.P.; Seed, A. Probabilistic Attenuation Nowcasting for the 5G Telecommunication Networks. IEEE Antennas Wirel. Propag. Lett. 2021, 20, 973–977. [Google Scholar] [CrossRef]
- Xian, M.; Liu, X.; Yin, M.; Song, K.; Zhao, S.; Gao, T. Rainfall Monitoring Based on Machine Learning by Earth-Space Link in the Ku Band. IEEE J. Sel. Top. Appl. Earth Obs. Remote Sens. 2020, 13, 3656–3668. [Google Scholar] [CrossRef]
- Habi, H.V.; Messer, H. Recurrent Neural Network for Rain Estimation Using Commercial Microwave Links. IEEE Trans. Geosci. Remote Sens. 2021, 59, 3672–3681. [Google Scholar] [CrossRef]
- Messer, H.; Eshel, A.; Habi, H.V.; Sagiv, S.; Zheng, X. Rain Field Retrieval by Ground-Level Sensors of Various Types. Front. Signal Process. 2022, 2, 877336. [Google Scholar] [CrossRef]
- Gazit, L.; Messer, H. Advancements in the Statistical Study, Modeling, and Simulation of Microwave-Links in Cellular Backhaul Networks. Environments 2018, 5, 75. [Google Scholar] [CrossRef]
- Blettner, N.; Fencl, M.; Bareš, V.; Kunstmann, H.; Chwala, C. Transboundary Rainfall Estimation Using Commercial Microwave Links. Earth Space Sci. 2023, 10, e2023EA002869. [Google Scholar] [CrossRef]
- Moshe, D.B.; Messer, H.; Nathan, R.; Sapir, N. Empirical Study on the Effect of Birds on Commercial Microwave Links. IEEE Access 2022, 10, 103819–103826. [Google Scholar] [CrossRef]
- Hunt, K.P.; Niemeier, J.J.; Cunha, L.K.d.; Kruger, A. Using Cellular Network Signal Strength to Monitor Vegetation Characteristics. IEEE Geosci. Remote Sens. Lett. 2011, 8, 346–349. [Google Scholar] [CrossRef]
- Zhang, P.; Liu, X.; Zou, M. Reconstructing and Nowcasting the Rainfall Field by a CML Network. Earth Space Sci. 2023, 10, e2023EA002909. [Google Scholar] [CrossRef]
- Imhoff, R.O.; Overeem, A.; Brauer, C.C.; Leijnse, H.; Weerts, A.H.; Uijlenhoet, R. Rainfall Nowcasting Using Commercial Microwave Links. Geophys. Res. Lett. 2020, 47, 1–10. [Google Scholar] [CrossRef]
- Ostrometzky, J.; Raich, R.; Bao, L.; Hansryd, J.; Messer, H. The Wet-Antenna Effect—A Factor to be Considered in Future Communication Networks. IEEE Trans. Antennas Propag. 2018, 66, 315–322. [Google Scholar] [CrossRef]
- Saggese, F.; Lottici, V.; Giannetti, F. Rainfall Map from Attenuation Data Fusion of Satellite Broadcast and Commercial Microwave Links. Sensors 2022, 22, 7019. [Google Scholar] [CrossRef]
- Janco, R.; Ostrometzky, J.; Messer, H. In-City Rain Mapping from Commercial Microwave Links—Challenges and Opportunities. Sensors 2023, 23, 4653. [Google Scholar] [CrossRef]
- Habi, H.V.; Messer, H. Uncertainties in Short Commercial Microwave Links Fading Due to Rain. In Proceedings of the ICASSP 2020 IEEE International Conference on Acoustics, Speech and Signal Processing (ICASSP), Barcelona, Spain, 4–8 May 2020; pp. 9006–9010. [Google Scholar]
- Jacoby, D.; Ostrometzky, J.; Messer, H. Model-based vs. Data-driven Approaches for Predicting Rain-induced Attenuation in Commercial Microwave Links: A Comparative Empirical Study. In Proceedings of the ICASSP 2023–2023 IEEE International Conference on Acoustics, Speech and Signal Processing (ICASSP), Rhodes Island, Greece, 4–10 June 2023; pp. 1–5. [Google Scholar]
- Daher, A.; Al Sakka, H.; Chaaban, A.K. Low complexity single-layer neural network for enhanced rainfall estimation using microwave links. J. Hydroinformatics 2023, 25, 101–112. [Google Scholar] [CrossRef]
- Wolff, W.; Overeem, A.; Leijnse, H.; Uijlenhoet, R. Rainfall retrieval algorithm for commercial microwave links: Stochastic calibration. Atmos. Meas. Tech. 2022, 15, 485–502. [Google Scholar] [CrossRef]
- Nebuloni, R.; Cazzaniga, G.; D’Amico, M.; Deidda, C.; De Michele, C. Comparison of CML Rainfall Data against Rain Gauges and Disdrometers in a Mountainous Environment. Sensors 2022, 22, 3218. [Google Scholar] [CrossRef]
- Peters, G.; Fischer, B.; Münster, H.; Clemens, M.; Wagner, A. Profiles of Raindrop Size Distributions as Retrieved by Microrain Radars. J. Appl. Meteorol. 2005, 44, 1930–1949. [Google Scholar] [CrossRef]
- Narayana Rao, T.; Kirankumar, N.V.P.; Radhakrishna, B.; Narayana Rao, D. On the variability of the shape-slope parameter relations of the gamma raindrop size distribution model. Geophys. Res. Lett. 2006, 33, L22809. [Google Scholar] [CrossRef]
- Tollefson, J. Mobile-phone signals bolster street-level rain forecasts. Nature 2017, 544, 146–147. [Google Scholar] [CrossRef]
- Kamtchoum, E.V.; Takougang, A.C.N.; Djamegni, C.T. Short-term rainfall prediction using MLA based on commercial microwave links of mobile telecommunication networks. Bull. Atmos. Sci. Technol. 2022, 3, 5. [Google Scholar] [CrossRef]
- Han, C.; Huo, J.; Gao, Q.; Su, G.; Wang, H. Rainfall Monitoring Based on Next-Generation Millimeter-Wave Backhaul Technologies in a Dense Urban Environment. Remote Sens. 2020, 12, 1045. [Google Scholar] [CrossRef]
- Zheng, S.; Han, C.; Huo, J.; Cai, W.; Zhang, Y.; Li, P.; Zhang, G.; Ji, B.; Zhou, J. Research on Rainfall Monitoring Based on E-Band Millimeter Wave Link in East China. Sensors 2021, 21, 1670. [Google Scholar] [CrossRef]
- Barthès, L.; Mallet, C. Rainfall measurement from the opportunistic use of an Earth–space link in the Ku band. Atmos. Meas. Tech. 2013, 6, 2181–2193. [Google Scholar] [CrossRef]
- Lu, C.S.; Zhao, Z.W.; Wu, Z.S.; Lin, L.K.; Thiennviboon, P.; Zhang, X.; Lv, Z.F. A New Rain Attenuation Prediction Model for the Earth-Space Links. IEEE Trans. Antennas Propag. 2018, 66, 5432–5442. [Google Scholar] [CrossRef]
- Xian, M.-H.; Liu, X.-C.; Yin, M.; Song, K.; Gao, T.-C. Inversion of vertical rainfall field based on earth-space links. Acta Phys. Sin. 2020, 69, 024301. [Google Scholar] [CrossRef]
- Shen, X.; Huang, D.D.; Song, B.; Vincent, C.; Togneri, R. 3-D Tomographic Reconstruction of Rain Field Using Microwave Signals from LEO Satellites: Principle and Simulation Results. IEEE Trans. Geosci. Remote Sens. 2019, 57, 5434–5446. [Google Scholar] [CrossRef]
- Defeng, H.; Lu, X.; Xuxiang, F.; Wanyu, W. A hypothesis of 3D rainfall tomography using satellite signals. J. Commun. Inf. Netw. 2016, 1, 134–142. [Google Scholar] [CrossRef]
- Levchenko, I.; Xu, S.; Wu, Y.-L.; Bazaka, K. Hopes and concerns for astronomy of satellite constellations. Nat. Astron. 2020, 4, 1012–1014. [Google Scholar] [CrossRef]
- Zhao, Y.; Liu, X.; Pu, K.; Ye, J.; Xian, M. Research on the Method of Rainfall Field Retrieval Based on the Combination of Earth–Space Links and Horizontal Microwave Links. Remote Sens. 2022, 14, 2220. [Google Scholar] [CrossRef]
- Saggese, F.; Giannetti, F.; Lottici, V. A Novel Approach to Rainfall Rate Estimation based on Fusing Measurements from Terrestrial Microwave and Satellite Links. In Proceedings of the 2020 XXXIIIrd General Assembly and Scientific Symposium of the International Union of Radio Science, Rome, Italy, 29 August–5 September 2020; pp. 1–4. [Google Scholar]
- Diba, F.D.; Samad, M.A.; Ghimire, J.; Choi, D.Y. Wireless Telecommunication Links for Rainfall Monitoring: Deep Learning Approach and Experimental Results. IEEE Access 2021, 9, 66769–66780. [Google Scholar] [CrossRef]
- Okamura, S.; Oguchi, T. Electromagnetic wave propagation in rain and polarization effects. Proc. Jpn. Academy. Ser. B Phys. Biol. Sci. 2010, 86, 539–562. [Google Scholar] [CrossRef]
- Dalip Kumar, V. Effect of environmental parameters on GSM and GPS. Indian J. Sci. Technol. 2014, 7, 1183–1188. [Google Scholar]
- Yadnya, M.; Sudiartha, I. Simulation of broadcast level signal mobile station 3G network rain condition in Mataram. In Proceedings of the 2016 Asia Pacific Conference on Multimedia and Broadcasting (APMediaCast), Bali, Indonesia, 17–19 November 2016; pp. 24–28. [Google Scholar]
- Helhel, S.; Göksu, H.; Ozen, S. Investigation of GSM signal variation: Dry and wet earth effects. Prog. Electromagn. Res. B 2008, 1, 147–157. [Google Scholar] [CrossRef]
- Geng, Y.; Edwards, R.M.; Davis, J.G.; Lepper, P.; Pattison, I.; Khouakhi, A.; Clark, B.; Diamantides, K.; Dai, C.; Kaczmarczyk, M.; et al. Impact of Heavy Rain on Signal Propagation in the UK and Mexican 4G and 5G Networks. In Proceedings of the 2019 13th European Conference on Antennas and Propagation (EuCAP), Krakow, Poland, 31 March–5 April 2019; pp. 1–5. [Google Scholar]
- Micheli, D.; Muratore, G.; Vannelli, A.; Scaloni, A.; Sgheiz, M.; Cirella, P. Rain Effect on 4G LTE In-Car Electromagnetic Propagation Analyzed Through MDT Radio Data Measurement Reported by Mobile Phones. IEEE Trans. Antennas Propag. 2021, 69, 8641–8651. [Google Scholar] [CrossRef]
- Blevis, B. Losses due to rain on radomes and antenna reflecting surfaces. IEEE Trans. Antennas Propag. 1965, 13, 175–176. [Google Scholar] [CrossRef]
- Cheah, J.Y.C. Wet antenna effect on VSAT rain margin. IEEE Trans. Commun. 1993, 41, 1238–1244. [Google Scholar] [CrossRef]
- Beritelli, F.; Capizzi, G.; Lo Sciuto, G.; Scaglione, F.; Połap, D.; Woźniak, M. A Neural Network Pattern Recognition Approach to Automatic Rainfall Classification by Using Signal Strength in LTE/4G Networks. In Proceedings of the International Joint Conference on Rough Sets, Olsztyn, Poland, 3–7 July 2017; pp. 505–512. [Google Scholar]
- Song, K.; Liu, X.; Gao, T.; Yin, M.; He, B. The Feasibility Analysis of Cellphone Signal to Detect the Rain: Experimental Study. IEEE Geosci. Remote Sens. Lett. 2020, 17, 1158–1162. [Google Scholar] [CrossRef]
- Fang, S.-H.; Cheng, Y.-C.; Chien, Y.-R. Exploiting Sensed Radio Strength and Precipitation for Improved Distance Estimation. IEEE Sens. J. 2018, 18, 6863–6873. [Google Scholar] [CrossRef]
- Liu, D.; Zhang, Y.; Zhang, J.; Xiong, L.; Liu, P.; Chen, H.; Yin, J. Rainfall estimation using measurement report data from time-division long term evolution networks. J. Hydrol. 2021, 600, 126530. [Google Scholar] [CrossRef]
- Christofilakis, V.; Tatsis, G.; Chronopoulos, S.K.; Sakkas, A.; Skrivanos, A.G.; Peppas, K.P.; Nistazakis, H.E.; Baldoumas, G.; Kostarakis, P. Earth-to-Earth Microwave Rain Attenuation Measurements: A Survey on the Recent Literature. Symmetry 2020, 12, 1440. [Google Scholar] [CrossRef]
- Messer, H. Capitalizing on Cellular Technology—Opportunities and Challenges for Near Ground Weather Monitoring. Environments 2018, 5, 73. [Google Scholar] [CrossRef]
- Fencl, M.; Dohnal, M.; Mudroch, M.; Bareš, V. Data and code for the paper Atmospheric Observations with E-band Microwave Links—Challenges and Opportunities. Atmos. Meas. Tech. 2020, 13, 6559–6578. [Google Scholar] [CrossRef]





| Authors and Year | Country | Highlights |
|---|---|---|
| Rahimi et al. (2003) [23] | England | The RSL sequences of dual-frequency CMLs were found to increase in correlation during the wet period, and a correlation threshold was used to distinguish between dry and wet periods. The classification method detected approximately 80% of dry periods and 92.5% of wet periods. |
| Upton et al. (2005) [48] | England | Rain gauge data in the vicinity of CMLs were used to differentiate between dry and wet periods and compared with the classification method of dual-frequency CMLs. The use of nearby rain gauge data could well improve the dry and wet period classification of dual-frequency CMLs. |
| Leijnse et al. (2007) [44] | The Netherlands | Based on the historical data, a simple global threshold was constructed and the portion above the threshold was treated as wet periods. |
| Schleiss et al. (2010) [27] | France | Based on the different local variability of dry/wet period attenuation, the standard deviation of attenuation was calculated using a rolling window to differentiate between dry and wet periods according to a preset threshold. On average, 92% of wet periods, 86% of dry periods and 93% of total rainfall were identified. |
| Overeem et al. (2011) [49] | The Netherlands | Radar data were used to distinguish between dry and wet periods; considering that the correlation of RSL sequences of nearby CMLs in wet periods rises, the nearby link approach (NLA) was proposed to distinguish between dry and wet periods. Both radar and NLA were able to invert rainfall accurately with similar results. |
| Reller et al. (2011) [52] | Switzerland | The Gaussian factor graph was used to distinguish between the dry and wet periods. Case studies showed that the proposed method has a high classification performance. |
| Chwala et al. (2012) [28] | Germany | Due to the significant increase in the high-frequency components of the signal during the wet period, a spectral analysis method based on the short-time Fourier transform was proposed to classify dry and wet periods. The weighted mean error rate of the classification results was as low as 0.098. |
| Wang et al. (2012) [54] | Switzerland | A Markov switching model was used to differentiate between dry and wet periods, which was compared with rolling standard deviation, factor graphs and the global threshold method. The false-positive and false-negative rates were about 8% and 15%, respectively, in the case of a stationary baseline. In the case of an unstable baseline, the false-positive and false-negative rates were about 5% and 23%, respectively. |
| Rayitsfeld et al. (2012) [53] | Israel | A Hidden Markov Model was used to determine the dry and wet periods. Rainfall inversions using this method showed good correlation and low bias compared with rain gauge results. |
| Cherkassky et al. (2012) [63] | Israel | Based on the statistical characteristics of attenuation, a linear Fisher’s discriminant was used to distinguish between dry and wet periods and was able to identify 83% of wet periods, with a false-positive rate of 12%. |
| Harel et al. (2013) [55] | Israel | An algorithm based on a multifamily likelihood ratio test was used to separate dry and wet periods, and the true-positive rate could reach about 90%. |
| Dordević et al. (2013) [57] | Germany | Focused time-delay neural networks were used to distinguish between dry and wet periods. The average test error of the classification results was only 1.1095%, with a correlation coefficient of 0.9647. |
| Cherkassky et al. (2014) [56] | Israel | Based on the statistical characteristics of attenuation, the kernel Fisher’s discrimination was used to distinguish dry and wet periods. The results showed that the classification accuracy could reach 85.35%. |
| He et al. (2019) [59] | China | A dry and wet period classification algorithm based on LSTM was proposed. The daily classification accuracy exceeded 60%, with some results achieving up to 98%. |
| Polz et al. (2020) [61] | Germany | A dry and wet period classification algorithm based on CNN was proposed. An average of 76% wet periods and 97% dry periods were detected in the validation results. |
| Song et al. (2020) [60] | China | SVM was used to distinguish between dry and wet periods based on statistical features of attenuation. The classification accuracy exceeded 0.8 and the majority of the outcomes displayed true-positive and false-positive rates that exceeded 0.9 and were less than 0.2, respectively. |
| Kumah et al. (2020) [50] | Kenya | Satellite data were used to identify rain areas along the CML path. The accuracy of rainfall inversion for CMLs supported by satellite data was high. |
| Challenges | Highlights |
|---|---|
| Data Acquisition | |
| Baseline estimates |
|
| WAA Quantification |
|
| γ–R Relationship | |
| Reconstruction of the Rainfall Spatial Distribution |
|
| Future Works | Highlights |
|---|---|
| Enhanced Collaboration with Mobile Network Operators | |
| Improvement of Processing Procedures |
|
| Data Assimilation | |
| Error Analysis of CMLs Applied to Mountainous Areas | Study the effects of unique topographic and climatic conditions in mountainous areas on rainfall measurement techniques for CMLs. |
| Exploration of Other Applications of CMLs | Explore the potential of CMLs to monitor plant, animal and human activities [159,182,183]. |
| Rainfall Prediction | Research rainfall forecasts based on CML data [184,185]. |
| Application and Error Analysis of High-frequency CMLs | Application and error analysis of rainfall inversion for high-frequency CMLs [47,186]. |
| Combination with Earth–space microwave links | Reconstruct the three-dimensional spatial rainfall field using CMLs in conjunction with ESLs [187]. |
| Attempts to Estimate Rainfall using Cellphone Signals | Attempt to establish the rainfall attenuation model of low-frequency non-line-of-sight signals between cellphones and cell towers. |
Disclaimer/Publisher’s Note: The statements, opinions and data contained in all publications are solely those of the individual author(s) and contributor(s) and not of MDPI and/or the editor(s). MDPI and/or the editor(s) disclaim responsibility for any injury to people or property resulting from any ideas, methods, instructions or products referred to in the content. |
© 2023 by the authors. Licensee MDPI, Basel, Switzerland. This article is an open access article distributed under the terms and conditions of the Creative Commons Attribution (CC BY) license (https://creativecommons.org/licenses/by/4.0/).
Share and Cite
Zhang, P.; Liu, X.; Pu, K. Precipitation Monitoring Using Commercial Microwave Links: Current Status, Challenges and Prospectives. Remote Sens. 2023, 15, 4821. https://doi.org/10.3390/rs15194821
Zhang P, Liu X, Pu K. Precipitation Monitoring Using Commercial Microwave Links: Current Status, Challenges and Prospectives. Remote Sensing. 2023; 15(19):4821. https://doi.org/10.3390/rs15194821
Chicago/Turabian StyleZhang, Peng, Xichuan Liu, and Kang Pu. 2023. "Precipitation Monitoring Using Commercial Microwave Links: Current Status, Challenges and Prospectives" Remote Sensing 15, no. 19: 4821. https://doi.org/10.3390/rs15194821
APA StyleZhang, P., Liu, X., & Pu, K. (2023). Precipitation Monitoring Using Commercial Microwave Links: Current Status, Challenges and Prospectives. Remote Sensing, 15(19), 4821. https://doi.org/10.3390/rs15194821

