An Evaluation and Improvement of Microphysical Parameterization for a Heavy Rainfall Process during the Meiyu Season
Abstract
1. Introduction
2. Case Description
3. Materials and Methods
3.1. Data Description
3.2. Model Configuration
4. Results
4.1. Comparison of Simulation Results to Observations
4.1.1. Precipitation and Radar Reflectivity
4.1.2. Differential Reflectivity and Specific Differential Phase
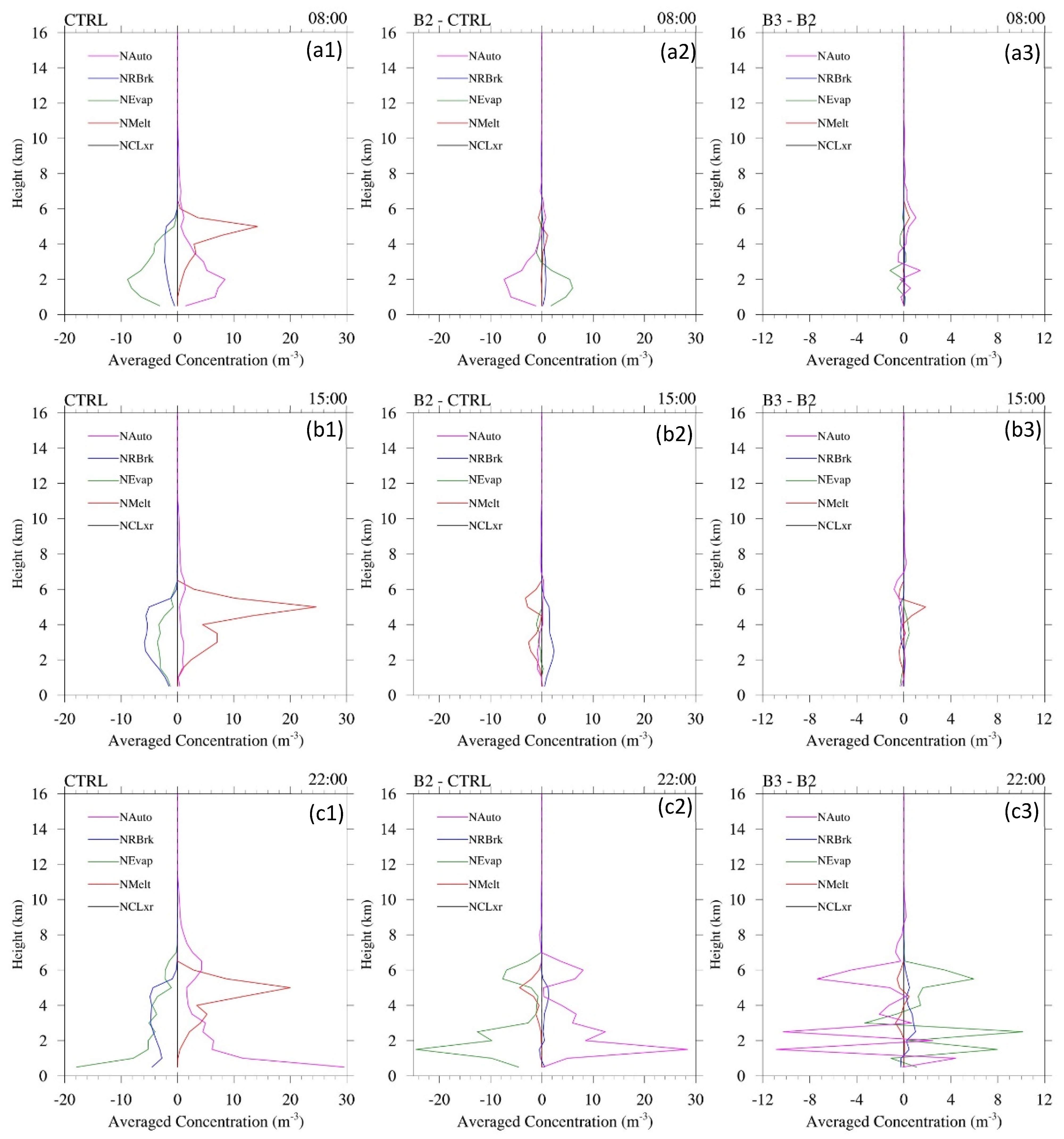
4.2. Modification of Breakup and Coalescence Parameterization for the MY Run
5. Summary and Conclusions
Author Contributions
Funding
Data Availability Statement
Conflicts of Interest
References
- Ninomiya, K.; Kurihara, K. Forecast experiment of a long-lived meso-α-scale convective system in Baiu frontal zone. J. Meteor. Soc. Jpn. 1987, 65, 885–899. [Google Scholar] [CrossRef]
- Tao, S.Y.; Chen, L.X. A Review of Recent Research on the East Asian Summer Monsoon in China. In Monsoon Meteorology; Chang, C.P., Krishnamurti, T.N., Eds.; Oxford University Press: Oxford, UK, 1987; pp. 60–92. [Google Scholar]
- Ding, Y.H.; Chan, J.C.L. The East Asian summer monsoon: An overview. Meteorol. Atmos. Phys. 2005, 89, 117–142. [Google Scholar] [CrossRef]
- Ding, Y.H.; Liu, J.J.; Sun, Y.; Liu, Y.J.; He, J.H.; Song, Y.F. A study of the synoptic-climatology of the Meiyu system in East Asia. Chin. J. Atmos. Sci. 2007, 31, 1082–1101, (In Chinese with English Abstract). [Google Scholar] [CrossRef]
- Ding, Y.H.; Liang, P.; Liu, Y.J.; Zhang, Y.C. Multiscale variability of Meiyu and its prediction: A new review. J. Geophys. Res. Atmos. 2020, 125, e2019JD031496. [Google Scholar] [CrossRef]
- Sampe, T.; Xie, S.P. Large-scale dynamics of the Meiyu-Baiu rainband: Environmental forcing by the westerly Jet. J. Clim. 2010, 23, 113–134. [Google Scholar] [CrossRef]
- Geng, B. Case Study of a split front and associated precipitation during the Mei-Yu season. Weather Forecast. 2014, 29, 996–1002. [Google Scholar] [CrossRef]
- Ding, Y.H. Summer monsoon rainfalls in China. J. Meteorol. Soc. Jpn. 1992, 70, 373–396. [Google Scholar] [CrossRef]
- Zhang, G.F.; Sun, J.Z.; Brandes, E.A. Improving parameterization of rain microphysics with disdrometer and radar observations. J. Atmos. Sci. 2006, 63, 1273–1290. [Google Scholar] [CrossRef]
- Luo, Y.L.; Gong, Y.; Zhang, D.L. Initiation and organizational modes of an extreme-rain-producing mesoscale convective system along a Mei-Yu front in East China. Mon. Weather Rev. 2014, 142, 203–221. [Google Scholar] [CrossRef]
- Cui, C.; Wan, R.; Wang, B.; Dong, X.; Li, H.; Xu, G.; Wang, X.; Wang, Y.; Xiao, Y.; Zhou, Z.; et al. The Mesoscale Heavy Rainfall Observing System (MHROS) over the middle region of the Yangtze River in China. J. Geophys. Res. Atmos. 2015, 120, 10399–10417. [Google Scholar] [CrossRef]
- Fang, S.; Wang, K.; Wang, M.; Lv, Z. Hubei Climate Service Handbook: Climate Background; Wuhan Regional Climate Centre (WRCC): Wuhan, China, 2019; 137p. (In Chinese) [Google Scholar]
- Liu, M.L.; Wang, Q.Q. Anomalies of extreme precipitation during the Meiyu period of Jianghuai valleys and its general circulation characteristics. In Proceedings of the 2006 Annual Meeting of the Chinese Meteorological Society, Chinese Meteorological Society, Chengdu, China, 25–27 October 2006; pp. 1899–1908. (In Chinese). [Google Scholar]
- Hu, Y.; Deng, Y.; Zhou, Z.M.; Cui, C.G.; Dong, X.Q. A statistical and dynamical characterization of large-scale circulation patterns associated with summer extreme precipitation over the middle reaches of Yangtze River. Clim. Dyn. 2019, 52, 6213–6228. [Google Scholar] [CrossRef]
- Hu, Y.; Deng, Y.; Zhou, Z.M.; Cui, C.G.; Dong, X.Q. A synoptic assessment of the summer extreme rainfall over the middle reaches of Yangtze River in CMIP5 models. Clim. Dyn. 2019, 53, 2133–2146. [Google Scholar] [CrossRef]
- Hu, Y.; Lin, Y.; Deng, Y.; Bao, J. Summer extreme rainfall over the middle and lower reaches of Yangtze River: Role of synoptic patterns in historical changes and future projections. J. Geophys. Res. Atmos. 2023, 128, e2023JD039608. [Google Scholar] [CrossRef]
- Cui, W.J.; Dong, X.Q.; Xi, B.K.; Liu, M. Cloud and precipitation properties of MCSs along the Meiyu frontal zone in central and southern China and their associated large-scale environments. J. Geophys. Res. Atmos. 2020, 125, e2019JD031601. [Google Scholar] [CrossRef]
- Wang, W.C.; Gong, W.; Wei, H.L. A regional model simulation of the 1991 severe precipitation event over the Yangtze-Huai River valley. Part I: Precipitation and circulation statistics. J. Clim. 2000, 13, 74–92. [Google Scholar] [CrossRef]
- Yang, H.; Xu, G.Y.; Cui, C.G.; Wang, J.Y.; He, D.X. Quantitative analysis of water vapor transport during Mei-Yu front rainstorm period over the Tibetan plateau and Yangtze-Huai River basin. Adv. Meteorol. 2019, 2019, 6029027. [Google Scholar] [CrossRef]
- Cui, C.G.; Dong, X.Q.; Wang, B.; Xi, B.K.; Deng, Y.; Ding, Y.H. Integrative Monsoon Frontal Rainfall Experiment (IMFRE-I): A mid-term review. Adv. Atmos. Sci. 2021, 38, 357–374. [Google Scholar] [CrossRef]
- Cui, C.G.; Dong, X.Q.; Wang, B.; Hu, Y. Phase Two of the Integrative Monsoon Frontal Rainfall Experiment (IMFRE-II) over the middle and lower reaches of the Yangtze River in 2020. Adv. Atmos. Sci. 2021, 38, 346–356. [Google Scholar] [CrossRef]
- Hu, Y.; Deng, Y.; Lin, Y.; Zhou, Z.; Cui, C.; Dong, X. Dynamics of the spatiotemporal morphology of Mei-yu fronts: An initial survey. Clim. Dyn. 2021, 56, 2715–2728. [Google Scholar] [CrossRef]
- Hu, Y.; Deng, Y.; Lin, Y.; Zhou, Z.; Cui, C.; Li, C.; Dong, X. Indirect effect of diabatic heating on Mei-yu frontogenesis. Clim. Dyn. 2022, 59, 851–868. [Google Scholar] [CrossRef]
- Sun, Y.; Dong, X.; Cui, W.; Zhou, Z.; Fu, Z.; Zhou, L.; Deng, Y.; Cui, C. Vertical structures of typical Meiyu precipitation events retrieved from GPM-DPR. J. Geophys. Res. Atmos. 2020, 125, e2019JD031466. [Google Scholar] [CrossRef]
- Yang, J.; Li, J.; Li, P.; Sun, G.; Cai, Z.; Yang, X.; Cui, C.; Dong, X.; Xi, B.; Wan, R.; et al. Spatial distribution and impacts of aerosols on clouds under Meiyu frontal weather background over central China based on aircraft observations. J. Geophys. Res. Atmos. 2020, 125, e2019JD031915. [Google Scholar] [CrossRef]
- Zhou, L.; Dong, X.; Fu, Z.; Wang, B.; Leng, L.; Xi, B.; Cui, C. Vertical distributions of rain drops and Z-R relationships using microrain radar and 2Dvideo distrometer measurements during the Integrative Monsoon Frontal Rainfall Experiment (IMFRE). J. Geophys. Res. Atmos. 2020, 125, e2019JD031108. [Google Scholar] [CrossRef]
- Fu, Z.; Dong, X.; Zhou, L.; Cui, W.; Wang, J.; Wan, R.; Leng, L.; Xi, B. Statistical characteristics of rain drop size distributions and parameters in Central China during the Meiyu seasons. J. Geophys. Res. Atmos. 2020, 125, e2019JD031954. [Google Scholar] [CrossRef]
- Zhang, W.; Xu, G.; Xi, B.; Ren, J.; Wan, X.; Zhou, L.; Cui, C.; Wu, D. Comparative study of cloud liquid water and rain liquid water obtained from microwave radiometer and micro rain radar observations over central China during the monsoon. J. Geophys. Res. Atmos. 2020, 125, e2020JD032456. [Google Scholar] [CrossRef]
- Wang, P.; Yang, J. Observation and Numerical Simulation of Cloud Physical Processes Associated with Torrential Rain of the Meiyu Front. Adv. Atmos. Sci. 2003, 20, 77–96. [Google Scholar] [CrossRef]
- Zhou, Z.; Deng, Y.; Hu, Y.; Kang, Z. Simulating Heavy Meiyu Rainfall: A Note on the Choice of Model Microphysics Scheme. Adv. Meteorol. 2020, 2020, 17. [Google Scholar] [CrossRef]
- Barnes, H.C.; Houze, R.A. Comparison of observed and simulated spatial patterns of ice microphysical processes in tropical oceanic mesoscale convective systems. J. Geophys. Res. Atmos. 2016, 121, 8269–8296. [Google Scholar] [CrossRef]
- Johnson, M.; Jung, Y.; Dawson, D.; Supinie, T.; Xue, M.; Park, J.; Lee, Y.-H. Evaluation of unified model microphysics in high-resolution NWP simulations using polarimetric radar observations. Adv. Atmos. Sci. 2018, 35, 771–784. [Google Scholar] [CrossRef]
- Kumjian, M.R.; Mishra, S.; Giangrande, S.E.; Toto, T.; Ryzhkov, A.V.; Bansemer, A. Polarimetric radar and aircraft observations of saggy bright bands during MC3E. J. Geophys. Res. Atmos. 2016, 121, 3584–3607. [Google Scholar] [CrossRef]
- Morrison, H.; Tessendorf, S.A.; Ikeda, K.; Thompson, G. Sensitivity of a simulated midlatitude squall line to parameterization of rain drop breakup. Mon. Weather Rev. 2012, 140, 2437–2460. [Google Scholar] [CrossRef]
- Putnam, B.J.; Xue, M.; Jung, Y.; Snook, N.; Zhang, G. The analysis and prediction of microphysical states and polarimetric radar variables in a mesoscale convective system using double-moment microphysics, multinetwork radar data, and the ensemble Kalman filter. Mon. Weather Rev. 2014, 142, 141–162. [Google Scholar] [CrossRef]
- Wang, M.; Zhao, K.; Pan, Y.; Xue, M. Evaluation of simulated drop size distributions and microphysical processes using polarimetric radar observations for landfalling typhoon Matmo (2014). J. Geophys. Res. Atmos. 2020, 125, e2019JD031527. [Google Scholar] [CrossRef]
- Gao, W.; Sui, C.; Wang, C.C.; Chang, W.Y. An evaluation and improvement of microphysical parameterization from a two-moment cloud microphysics scheme and the Southwest Monsoon Experiment (SoWMEX)/Terrain- influenced Monsoon Rainfall Experiment (TiMREX) observations. J. Geophys. Res. Atmos. 2011, 116, D19101. [Google Scholar] [CrossRef]
- Zhou, A.; Zhao, K.; Lee, W.-C.; Ding, Z.; Lu, Y.; Huang, H. Evaluation and modification of microphysics schemes on the cold pool evolution for a simulated bow echo in southeast China. J. Geophys. Res. Atmos. 2022, 127, e2021JD035262. [Google Scholar] [CrossRef]
- Sun, Y.; Zhou, Z.; Gao, Q.; Li, H.; Wang, M. Evaluating Simulated Microphysics of Stratiform and Convective Precipitation in a Squall Line Event Using Polarimetric Radar Observations. Remote Sens. 2023, 15, 1507. [Google Scholar] [CrossRef]
- Shen, Y.; Zhao, P.; Pan, Y.; Yu, J. A high spatiotemporal gauge-satellite merged precipitation analysis over China. J. Geophys. Res. Atmos. 2014, 119, 3063–3075. [Google Scholar] [CrossRef]
- Hua, H.; Zhao, K.; Zhang, G.; Lin, Q.; Wen, L.; Chen, G.; Yang, Z.; Wang, M.; Hu, D. Quantitative precipitation estimation with operational polarimetric radar measurements in Southern China: A differential phase–based variational approach. J. Atmos. Ocean. Technol. 2018, 35, 1253–1271. [Google Scholar]
- Istok, M.J.; Fresch, M.; Jing, Z.; Smith, S.; Murnan, R.; Ryzhkov, A.; Saffle, R. WSR-88D dual polarization initial operational capabilities. In Proceedings of the 25th Conference on International Interactive Information and Processing Systems (IIPS) for Meteorology, Oceanography, and Hydrology, Phoenix, AZ, USA, 10 January 2009. [Google Scholar]
- Dixon, M. Radx C++ Software Package for Radial Radar Data. 2015. Available online: https://github.com/NCAR/lrose-core/tree/master/codebase/apps/Radx/src/Radx2Grid (accessed on 17 August 2023).
- Dolan, B.; Rutledge, S.A.; Lim, S.; Chandrasekar, V.; Thurai, M. A robust C-band hydrometeor identification algorithm and application to a long-term polarimetric radar dataset. J. Appl. Meteorol. Climatol. 2013, 52, 2162–2186. [Google Scholar] [CrossRef]
- Zhang, G.; Vivekanandan, J.; Brandes, E. A method for estimating rain rate and drop size distribution from polarimetric radar measurements. IEEE Trans. Geosci. Remote Sens. 2001, 39, 830–841. [Google Scholar] [CrossRef]
- Tewari, M.; Chen, F.; Wang, W.; Dudhia, J.; LeMone, M.A.; Mitchell, K.M.; Gayno, G.; Wegiel, J.; Cuenca, R.H. Implementation and verification of the unified NOAH land surface model in the WRF model. In Proceedings of the 20th Conference on Weather Analysis and Forecasting/16th Conference on Numerical Weather Prediction, Seattle, DC, USA, 12–16 January 2004; pp. 11–15. [Google Scholar]
- Janjic, Z.I. The Step–Mountain Eta Coordinate Model: Further developments of the convection, viscous sublayer, and turbulence closure schemes. Mon. Weather Rev. 1994, 122, 927–945. [Google Scholar] [CrossRef]
- Dudhia, J. Numerical study of convection observed during the Winter Monsoon Experiment using a mesoscale two–dimensional model. J. Atmos. Sci. 1989, 46, 3077–3107. [Google Scholar] [CrossRef]
- Mlawer Eli, J.; Steven, J.T.; Brown, P.D.; Iacono, M.J.; Clough, S.A. Radiative transfer for inhomogeneous atmospheres: RRTM, a validated correlated–k model for the longwave. J. Geophys. Res. Atmos. 1997, 102, 16663–16682. [Google Scholar] [CrossRef]
- Kain, J.S. The Kain–Fritsch convective parameterization: An update. J. Appl. Meteorol. 2004, 43, 170–181. [Google Scholar] [CrossRef]
- Morrison, H.; Milbrandt, J.A. Parameterization of cloud microphysics based on the prediction of bulk ice particle properties. Part I: Scheme description and idealized tests. J. Atmos. Sci. 2015, 72, 287–311. [Google Scholar] [CrossRef]
- Thompson, G.; Field, P.R.; Rasmussen, R.M.; Hall, W.D. Explicit forecasts of winter precipitation using an improved bulk microphysics scheme. Part II: Implementation of a new snow parameterization. Mon. Weather Rev. 2008, 136, 5095–5115. [Google Scholar] [CrossRef]
- Milbrandt, J.A.; Yau, M.K. A multimoment bulk microphysics parameterization. Part I: Analysis of the role of the spectral shape parameter. J. Atmos. Sci. 2005, 62, 3051–3064. [Google Scholar] [CrossRef]
- Milbrandt, J.A.; Yau, M.K. A multimoment bulk microphysics parameterization. Part II: A proposed three-moment closure and scheme description. J. Atmos. Sci. 2005, 62, 3065–3081. [Google Scholar] [CrossRef]
- Yin, J.; Gu, H.; Yu, M.; Bao, X.; Xie, Y.; Liang, X. Synergetic Roles of Dynamic and Cloud Microphysical Processes in Extreme Short-Term Rainfall: A Case Study. Q. J. R. Meteorol. Soc. 2020, 148, 3660–3676. [Google Scholar] [CrossRef]
- Yin, J.; Zhang, D.; Luo, Y.; Ma, R. On the Extreme Rainfall Event of 7 May 2017 over the Coastal City of Guangzhou. Part I: Impacts of Urbanization and Orography. Mon. Weather Rev. 2020, 148, 955–979. [Google Scholar] [CrossRef]
- Yuter, S.E.; Houze, R.A. Three-dimensional kinematic and microphysical evolution of Florida cumulonimbus. Part II: Frequency distributions of vertical velocity, reflectivity, and differential reflectivity. Mon. Weather Rev. 1995, 123, 1941–1963. [Google Scholar] [CrossRef] [PubMed]
- Atlas, D.; Ulbrich, C.W. Drop size spectra and integral remote sensing parameters in the transition from convective to stratiform rain. Geophys. Res. Lett. 2006, 33, L16803. [Google Scholar] [CrossRef]
- Hu, Z.; Srivastava, R.C. Cloud physical relationships in Califonia marine stratus. J. Appl. Meteorol. 1995, 34, 2655–2666. [Google Scholar]
- Srivastava, R.C. Parameterization of rain drop size distributions. J. Atmos. Sci. 1978, 35, 108–117. [Google Scholar] [CrossRef]
- Low, T.B.; List, R. Collision, coalescence and breakup of rain drops. Part I: Experimentally established coalescence efficiencies and fragment size distributions in breakup. J. Atmos. Sci. 1982, 39, 1591–1606. [Google Scholar] [CrossRef]
- Low, T.B.; List, R. Collision, coalescence and breakup of rain drops. Part II: Parameterization of fragment size distribution. J. Atmos. Sci. 1982, 39, 1607–1618. [Google Scholar] [CrossRef]
- Verlinde, J.; Cotton, W.R. Fitting microphysical observations of non-steady convective clouds to a numerical model: An application of the adjoint technique of data assimation to a kinematic model. Mon. Weather Rev. 1993, 121, 2776–2793. [Google Scholar] [CrossRef]
- Verlinde, J.; Flatau, P.J.; Cotton, W.R. Analytical solution to the collection growth equation: Comparison with approximate methods and application to cloud microphysics parameterization schemes. J. Atmos. Sci. 1990, 47, 2871–2880. [Google Scholar] [CrossRef]












| Parameters | SZ_SPOL |
|---|---|
| Transmitting frequency | 2.8 GHz |
| PRF | 300–1300 Hz |
| Pulse width | 1.57 μs |
| Peak power | ≥650 kw |
| Noise figure | ≤3.0 dB |
| Dynamic range | ≥90 dB |
| Minimum detectable signal power | ≤−107 dBm |
| Antenna gain | ≥44 dB |
| Antenna aperture | 8–9 m |
| Beamwidth | ≤1.0° |
| Polarimetric mode | Simultaneous horizontal/vertical transmit and receive |
| Scanning mode | PPI, RHI, VOL |
| Range resolution | 250 m |
| Radar observations | ZH, ZDR, ΦDP and other parameters |
| Symbol | Description |
|---|---|
| Auto | Autoconversion from cloud droplets to rain drops |
| Cond | Condensation of vapor to cloud droplets |
| CLcr | Accretion of cloud droplets by rain drops |
| CLxr | Accretion of raindrop by frozen hydrometeors (riming) and x represents all the frozen hydrometeors |
| Melt | Melting of all the ice hydrometeors to raindrops |
| Evap | Evaporation of raindrops to water vapor |
| RBrk | Breakup and overall coalescence of rain drops |
Disclaimer/Publisher’s Note: The statements, opinions and data contained in all publications are solely those of the individual author(s) and contributor(s) and not of MDPI and/or the editor(s). MDPI and/or the editor(s) disclaim responsibility for any injury to people or property resulting from any ideas, methods, instructions or products referred to in the content. |
© 2024 by the authors. Licensee MDPI, Basel, Switzerland. This article is an open access article distributed under the terms and conditions of the Creative Commons Attribution (CC BY) license (https://creativecommons.org/licenses/by/4.0/).
Share and Cite
Zhou, Z.; Du, M.; Hu, Y.; Kang, Z.; Yu, R.; Guo, Y. An Evaluation and Improvement of Microphysical Parameterization for a Heavy Rainfall Process during the Meiyu Season. Remote Sens. 2024, 16, 1636. https://doi.org/10.3390/rs16091636
Zhou Z, Du M, Hu Y, Kang Z, Yu R, Guo Y. An Evaluation and Improvement of Microphysical Parameterization for a Heavy Rainfall Process during the Meiyu Season. Remote Sensing. 2024; 16(9):1636. https://doi.org/10.3390/rs16091636
Chicago/Turabian StyleZhou, Zhimin, Muyun Du, Yang Hu, Zhaoping Kang, Rong Yu, and Yinglian Guo. 2024. "An Evaluation and Improvement of Microphysical Parameterization for a Heavy Rainfall Process during the Meiyu Season" Remote Sensing 16, no. 9: 1636. https://doi.org/10.3390/rs16091636
APA StyleZhou, Z., Du, M., Hu, Y., Kang, Z., Yu, R., & Guo, Y. (2024). An Evaluation and Improvement of Microphysical Parameterization for a Heavy Rainfall Process during the Meiyu Season. Remote Sensing, 16(9), 1636. https://doi.org/10.3390/rs16091636

