Retrieval of Tropospheric NO2 Vertical Column Densities from Ground-Based MAX-DOAS Measurements in Lhasa, a City on the Tibetan Plateau
Abstract
:1. Introduction
2. Materials and Methods
2.1. Site and Instruments
2.2. Spectral Analysis
2.3. Tropospheric NO2 VCDs
2.4. Satellite Product
2.4.1. Tropospheric NO2 by TROPOMI
2.4.2. Tropospheric NO2 by GEMS
3. Results
3.1. Monthly Variations in NO2 VCDs
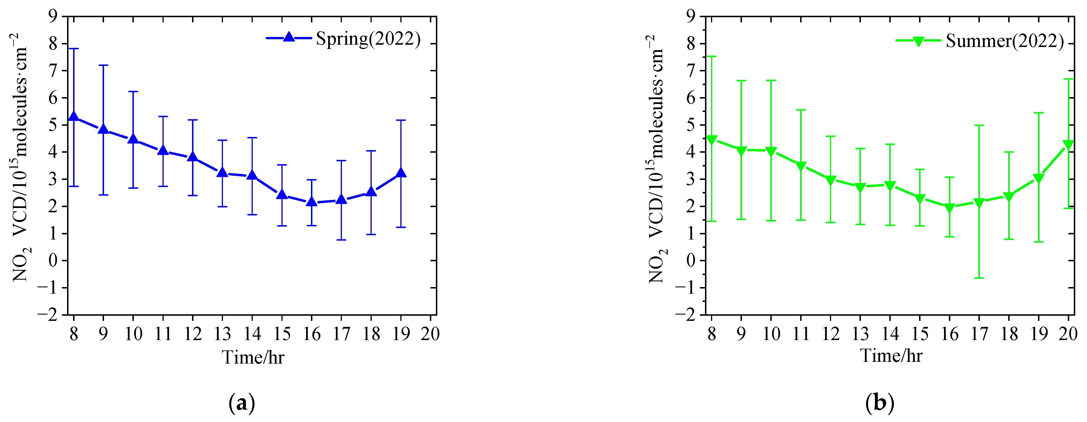
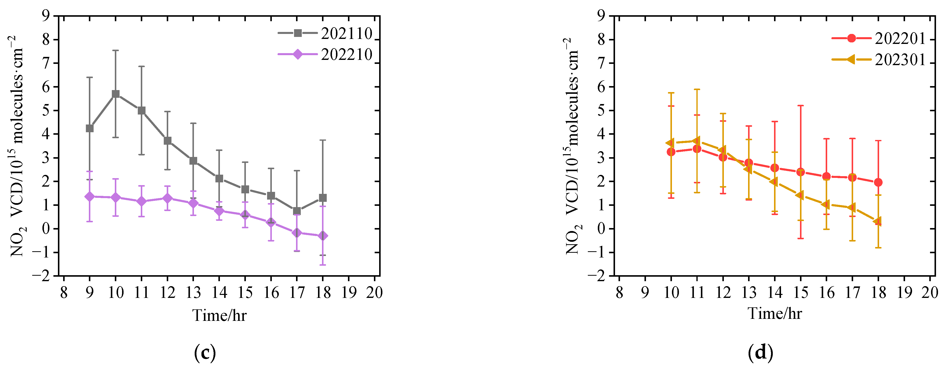
3.2. Diurnal Variations in NO2 VCDs
3.3. Relationship to Wind
3.4. Comparison with the TROPOMI and GEMS Products
4. Discussion
5. Conclusions
- The monthly variation pattern of the tropospheric NO2 VCDs in Lhasa presented two peaks, occurring in winter and around May. With the COVID-19 lockdown, the tropospheric NO2 VCDs dramatically declined to the minimum (0.53 × 1015 molecules·cm−2) in September 2022, which represents the NO2 background level in Lhasa city. Our dataset is thus very well-suited for the validation of atmospheric models centered on that region.
- Different from the diurnal variations in tropospheric NO2 VCDs under the ‘normal’ condition, there were no morning and evening peaks during the COVID-19 lockdown period, implying that local anthropogenic sources have apparent influences on the abundance and temporal evolution of tropospheric NO2 in Lhasa.
- Commonly, the east–west direction (i.e., along the river valley) was the main path of NO2 transport and dispersion in Lhasa. Under the condition of COVID-19 lockdown, the tropospheric NO2 VCDs were little dependent on the wind direction and wind speed.
- We also carried out the first validation of the novel GEMS satellite (as well as the TROPOMI satellite), utilizing its long-term observations over the Tibetan Plateau. Our ground-based measurements are especially well-suited for the validation of the GEMS observations because they also cover the diurnal variation in the tropospheric NO2 VCD. When the observations for the three datasets were available at the same time, the correlation coefficient of tropospheric NO2 VCDs was R = 0.33 (R = 0.43) with the averaged relative deviation of −28% (99%) for the TROPOMI (GEMS) relative to ground-based MAX-DOAS. Relative to the tropospheric NO2 VCDs measured by ground-based MAX-DOAS, the monthly deviations of satellite products had a dependence on NO2 abundance, with the maxima of monthly positive deviations occurring during the COVID-19 lockdown period. The GEMS could not capture the strong and systematic diurnal variation in tropospheric NO2 VCDs in the ‘normal’ year well. During the ‘Lockdown’ daytime, the GEMS (>2 × 1015 molecules·cm−2) overestimated the hourly levels measured by ground-based MAX-DOAS (<1.6 × 1015 molecules·cm−2).
Author Contributions
Funding
Data Availability Statement
Acknowledgments
Conflicts of Interest
Appendix A










References
- Seinfeld, J.H.; Pandis, S.N. Atmospheric Chemistry and Physics: From Air Pollution to Climate Change, 3rd ed.; John Wiley & Sons, Inc.: Hoboken, NJ, USA, 2016. [Google Scholar]
- Zhang, C.; Liu, C.; Li, B.; Zhao, F.; Zhao, C. Spatiotemporal neural network for estimating surface NO2 concentrations over north China and their human health impact. Environ. Pollut. 2022, 307, 119510. [Google Scholar] [CrossRef] [PubMed]
- Luo, C.; Zhou, X. The study of the cycle of nitrogen oxides in the troposphere. J. Appl. Meteorol. Sci. 1993, 4, 92–99. [Google Scholar]
- Lee, D.S.; Köhler, I.; Grobler, E.; Rohrer, F.; Sausen, R.; Gallardo-Klenner, L.; Olivier, J.G.J.; Dentener, F.J.; Bouwman, A.F. Estimations of global NOX emissions and their uncertainties. Atmos. Environ. 1997, 31, 1735–1749. [Google Scholar] [CrossRef]
- Granier, C.; Bessagnet, B.; Bond, T.; D’Angiola, A.; Denier van der Gon, H.; Frost, G.J.; Heil, A.; Kaiser, J.W.; Kinne, S.; Klimont, Z.; et al. Evolution of anthropogenic and biomass burning emissions of air pollutants at global and regional scales during the 1980–2010 period. Clim. Change 2011, 109, 163–190. [Google Scholar] [CrossRef]
- Brimblecombe, P.; Chu, M.; Liu, C.-H.; Fu, Y.; Wei, P.; Ning, Z. Roadside NO2/NOX and primary NO2 from individual vehicles. Atmos. Environ. 2023, 295, 119562. [Google Scholar] [CrossRef]
- Tang, X.; Zhang, Y.; Shao, M. Atmospheric Environmental Chemistry; Higher Education Press: Beijing, China, 2006. [Google Scholar]
- Zhao, S.; Yu, Y.; Yin, D.; He, J.; Liu, N.; Qu, J.; Xiao, J. Annual and diurnal variations of gaseous and particulate pollutants in 31 provincial capital cities based on in situ air quality monitoring data from China National Environmental Monitoring Center. Environ. Int. 2016, 86, 92–106. [Google Scholar] [CrossRef]
- Yin, D.; Zhao, S.; Qu, J. Spatial and seasonal variations of gaseous and particulate matter pollutants in 31 provincial capital cities, China. Air Qual. Atmos Health 2017, 10, 359–370. [Google Scholar] [CrossRef]
- Yang, J.; Ji, Z.; Kang, S.; Zhang, Q.; Chen, X.; Lee, S.-Y. Spatiotemporal variations of air pollutants in western China and their relationship to meteorological factors and emission sources. Environ. Pollut. 2019, 254, 112952. [Google Scholar] [CrossRef]
- Chen, P.; Kang, S.; Yang, J.; Pu, T.; Li, C.; Guo, J.; Tripathee, L. Spatial and Temporal Variations of Gaseous and Particulate Pollutants in Six Sites in Tibet, China, during 2016–2017. Aerosol Air Qual. Res. 2019, 19, 516–527. [Google Scholar] [CrossRef]
- Ran, L.; Lin, W.L.; Deji, Y.Z.; La, B.; Tsering, P.M.; Xu, X.B.; Wang, W. Surface gas pollutants in Lhasa, a highland city of Tibet-current levels and pollution implications. Atmos. Chem. Phys. 2014, 14, 10721–10730. [Google Scholar] [CrossRef]
- Yin, X.; de Foy, B.; Wu, K.; Feng, C.; Kang, S.; Zhang, Q. Gaseous and particulate pollutants in Lhasa, Tibet during 2013–2017: Spatial variability, temporal variations and implications. Environ. Pollut. 2019, 253, 68–77. [Google Scholar] [CrossRef] [PubMed]
- Zhang, Y.; Lin, J.; Kim, J.; Lee, H.; Park, J.; Hong, H.; Van Roozendael, M.; Hendrick, F.; Wang, T.; Wang, P.; et al. POMINO-GEMS: A Research Product for Tropospheric NO2 Columns from Geostationary Environment Monitoring Spectrometer. Atmos. Meas. Tech. Discuss. 2023. [Google Scholar] [CrossRef]
- Yang, D.; Luo, Y.; Zeng, Y.; Si, F.; Xi, L.; Zhou, H.; Liu, W. Tropospheric NO2 Pollution Monitoring with the GF-5 Satellite Environmental Trace Gases Monitoring Instrument over the North China Plain during Winter 2018–2019. Atmosphere 2021, 12, 398. [Google Scholar] [CrossRef]
- Verhoelst, T.; Compernolle, S.; Pinardi, G.; Lambert, J.-C.; Eskes, H.J.; Eichmann, K.-U.; Fjæraa, A.M.; Granville, J.; Niemeijer, S.; Cede, A.; et al. Ground-based validation of the Copernicus Sentinel-5P TROPOMI NO2 measurements with the NDACC ZSL-DOAS, MAX-DOAS and Pandonia global networks. Atmos. Meas. Tech. 2021, 14, 481–510. [Google Scholar] [CrossRef]
- Liu, C.; Xing, C.; Hu, Q.; Wang, S.; Zhao, S.; Gao, M. Stereoscopic hyperspectral remote sensing of the atmospheric environment: Innovation and prospects. Earth-Sci. Rev. 2022, 226, 103958. [Google Scholar] [CrossRef]
- Hönninger, G.; Friedeburg, C.V.; Platt, U. Multi axis differential optical absorption spectroscopy (MAX-DOAS). Atmos. Chem. Phys. 2004, 4, 231–254. [Google Scholar] [CrossRef]
- Liu, C.; Xing, C.; Hu, Q.; Li, Q.; Liu, H.; Hong, Q.; Tan, W.; Ji, X.; Lin, H.; Lu, C.; et al. Ground-based Hyperspectral Stereoscopic Remote Sensing Network: A Promising Strategy to Learn Coordinated Control of O3 and PM2.5 over China. Engineering 2021, 19, 71–83. [Google Scholar] [CrossRef]
- Liu, S.; Cheng, S.; Ma, J.; Xu, X.; Lv, J.; Jin, J.; Guo, J.; Yu, D.; Dai, X. MAX-DOAS Measurements of Tropospheric NO2 and HCHO Vertical Profiles at the Longfengshan Regional Background Station in Northeastern China. Sensors 2023, 23, 3269. [Google Scholar] [CrossRef]
- Ma, J.; Dörner, S.; Donner, S.; Jin, J.; Cheng, S.; Guo, J.; Zhang, Z.; Wang, J.; Liu, P.; Zhang, G.; et al. MAX-DOAS measurements of NO2, SO2, HCHO, and BrO at the Mt. Waliguan WMO GAW global baseline station in the Tibetan Plateau. Atmos. Chem. Phys. 2020, 20, 6973–6990. [Google Scholar] [CrossRef]
- Cheng, S.; Ma, J.; Zheng, X.; Gu, M.; Donner, S.; Dörner, S.; Zhang, W.; Du, J.; Li, X.; Liang, Z.; et al. Retrieval of O3, NO2, BrO and OClO Columns from Ground-Based Zenith Scattered Light DOAS Measurements in Summer and Autumn over the Northern Tibetan Plateau. Remote Sens. 2021, 13, 4242. [Google Scholar] [CrossRef]
- Xing, C.; Liu, C.; Wu, H.; Lin, J.; Wang, F.; Wang, S.; Gao, M. Ground-based vertical profile observations of atmospheric composition on the Tibetan Plateau (2017–2019). Earth Syst. Sci. Data 2021, 13, 4897–4912. [Google Scholar] [CrossRef]
- Cheng, S.; Cheng, X.; Ma, J.; Xu, X.; Zhang, W.; Lv, J.; Bai, G.; Chen, B.; Ma, S.; Ziegler, S.; et al. Mobile MAX-DOAS observations of tropospheric NO2 and HCHO during summer over the Three Rivers’ Source region in China. Atmos. Chem. Phys. 2023, 23, 3655–3677. [Google Scholar] [CrossRef]
- Pu, G.; Cheng, S.; Li, S.; Lü, J.; Chen, H.; Ma, J. Spectral inversion and variation characteristics of tropospheric NO2 column density in Lhasa, Tibet. Spectrosc. Spectr. Anal. 2023, 43, 1725–1730. [Google Scholar]
- Jin, J.; Ma, J.; Lin, W.; Zhao, H.; Shaiganfar, R.; Beirle, S.; Wagner, T. MAX-DOAS measurements and satellite validation of tropospheric NO2 and SO2 vertical column densities at a rural site of North China. Atmos. Environ. 2016, 133, 12–25. [Google Scholar] [CrossRef]
- Platt, U.; Stutz, J. Differential Optical Absorption Spectroscopy, Principles and Applications; Springer: Berlin/Heidelberg, Germany, 2008. [Google Scholar]
- Cheng, S.; Ma, J.; Cheng, W.; Yan, P.; Zhou, H.; Zhou, L.; Yang, P. Tropospheric NO2 vertical column densities retrieved from ground-based MAX-DOAS measurements at Shangdianzi regional atmospheric background station in China. J. Environ. Sci. 2019, 80, 186–196. [Google Scholar] [CrossRef]
- Wang, Y.; Puķīte, J.; Wagner, T.; Donner, S.; Beirle, S.; Hilboll, A.; Vrekoussis, M.; Richter, A.; Apituley, A.; Piters, A.; et al. Vertical Profiles of Tropospheric Ozone From MAX-DOAS Measurements During the CINDI-2 Campaign: Part 1-Development of a New Retrieval Algorithm. J. Geophys. Res. Atmos. 2018, 123, 10637–10670. [Google Scholar] [CrossRef]
- Danckaert, T.; Fayt, C.; Roozendael, M.V.; Smedt, I.D.; Letocart, V.; Merlaud, A.; Pinardi, G. QDOAS Software User Manual; Belgian Institute for Space Aeronomy: Brussels, Belgium, 2017. [Google Scholar]
- Vandaele, A.C.; Hermans, C.; Simon, P.C.; Carleer, M.; Colin, R.; Fally, S.; Mérienne, M.F.; Jenouvrier, A.; Coquart, B. Measurements of the NO2 absorption cross-section from 42000 cm−1 to 10000 cm−1 (238–1000 nm) at 220 K and 294 K. J. Quant. Spectrosc. Radiat. Transf. 1998, 59, 171–184. [Google Scholar] [CrossRef]
- Polyansky, O.L.; Kyuberis, A.A.; Zobov, N.F.; Tennyson, J.; Yurchenko, S.N.; Lodi, L. ExoMol molecular line lists XXX: A complete high-accuracy line list for water. Mon. Not. R. Astron. Soc. 2018, 480, 2597–2608. [Google Scholar] [CrossRef]
- Serdyuchenko, A.; Gorshelev, V.; Weber, M.; Chehade, W.; Burrows, J.P. High spectral resolution ozone absorption cross-sections—Part 2: Temperature dependence. Atmos. Meas. Tech. 2014, 7, 625–636. [Google Scholar] [CrossRef]
- Thalman, R.; Volkamer, R. Temperature dependent absorption cross-sections of O2-O2 collision pairs between 340 and 630 nm and at atmospherically relevant pressure. Phys. Chem. Chem. Phys. 2013, 15, 15371–15381. [Google Scholar] [CrossRef]
- Ma, J.Z.; Beirle, S.; Jin, J.L.; Shaiganfar, R.; Yan, P.; Wagner, T. Tropospheric NO2 vertical column densities over Beijing: Results of the first three years of ground-based MAX-DOAS measurements (2008–2011) and satellite validation. Atmos. Chem. Phys. 2013, 13, 1547–1567. [Google Scholar] [CrossRef]
- Veefkind, J.P.; Aben, I.; McMullan, K.; Förster, H.; Vries, J.d.; Otter, G.; Claas, J.; Eskes, H.J.; Haan, J.F.d.; Kleipool, Q.; et al. TROPOMI on the ESA Sentinel-5 Precursor: A GMES mission for global observations of the atmospheric composition for climate, air quality and ozone layer applications. Remote Sens. Environ. 2012, 120, 70–83. [Google Scholar] [CrossRef]
- ESA; KNMI. Sentinel-5P TROPOMI Tropospheric NO2 1-Orbit L2 5.5 km × 3.5 km. 2021. Available online: https://sentinels.copernicus.eu/web/sentinel/data-products/-/asset_publisher/fp37fc19FN8F/content/sentinel-5-precursor-level-2-nitrogen-dioxide (accessed on 6 July 2023).
- Kang, M.; Ahn, M.-H.; Liu, X.; Jeong, U.; Kim, J. Spectral Calibration Algorithm for the Geostationary Environment Monitoring Spectrometer (GEMS). Remote Sens. 2020, 12, 2846. [Google Scholar] [CrossRef]
- Choi, W.J. Introducing the geostationary environment monitoring spectrometer. J. Appl. Remote Sens. 2018, 12, 044005. [Google Scholar] [CrossRef]
- Kim, J.; Jeong, U.; Ahn, M.-H.; Kim, J.H.; Park, R.J.; Lee, H.; Song, C.H.; Choi, Y.-S.; Lee, K.-H.; Yoo, J.-M.; et al. New Era of Air Quality Monitoring from Space: Geostationary Environment Monitoring Spectrometer (GEMS). Bull. Am. Meteorol. Soc. 2020, 101, E1–E22. [Google Scholar] [CrossRef]
- Hendrick, F.; Müller, J.-F.; Clémer, K.; Wang, P.; Mazière, M.D.; Fayt, C.; Gielen, C.; Hermans, C.; Ma, J.Z.; Pinardi, G.; et al. Four years of ground-based MAX-DOAS observations of HONO and NO2 in the Beijing area. Atmos. Chem. Phys. 2014, 14, 765–781. [Google Scholar] [CrossRef]
- Zhao, C.; Zhang, C.; Lin, J.; Wang, S.; Liu, H.; Wu, H.; Liu, C. Variations of Urban NO2 Pollution during the COVID-19 Outbreak and Post-Epidemic Era in China: A Synthesis of Remote Sensing and In Situ Measurements. Remote Sens. 2022, 14, 419. [Google Scholar] [CrossRef]
- Tanvir, A.; Javed, Z.; Jian, Z.; Zhang, S.; Bilal, M.; Xue, R.; Wang, S.; Bin, Z. Ground-Based MAX-DOAS Observations of Tropospheric NO2 and HCHO During COVID-19 Lockdown and Spring Festival Over Shanghai, China. Remote Sens. 2021, 13, 488. [Google Scholar] [CrossRef]
- Wang, Y.; Lampel, J.; Xie, P.; Beirle, S.; Li, A.; Wu, D.; Wagner, T. Ground-based MAX-DOAS observations of tropospheric aerosols, NO2, SO2 and HCHO in Wuxi, China, from 2011 to 2014. Atmos. Chem. Phys. 2017, 17, 2189–2215. [Google Scholar] [CrossRef]
- Zhu, B.; Hou, X.; Kang, H. Analysis of the seasonal ozone budget and the impact of the summer monsoon on the northeastern Qinghai-Tibetan Plateau. J. Geophys. Res. Atmos. 2016, 121, 2029–2042. [Google Scholar] [CrossRef]
- Zhang, Y.; Ju, T.; Shi, Y.; Wang, Q.; Li, F.; Zhang, G. Analysis of spatiotemporal variation of formaldehyde column concentration in Qinghai-Tibet Plateau and its influencing factors. Environ. Sci. Pollut. Res. Int. 2021, 28, 55233–55251. [Google Scholar] [CrossRef] [PubMed]
- Xu, X.B.; Zhang, H.L.; Lin, W.L.; Wang, Y.; Xu, W.Y.; Jia, S.H. First simultaneous measurements of peroxyacetyl nitrate (PAN) and ozone at Nam Co in the central Tibetan Plateau: Impacts from the PBL evolution and transport processes. Atmos. Chem. Phys. 2018, 18, 5199–5217. [Google Scholar] [CrossRef]









| Parameter | Setting |
|---|---|
| fitting interval (nm) | 400–434 |
| Fraunhofer reference spectrum | sequential spectra |
| DOAS polynomial | degree: 5 |
| intensity offset | degree: 2 (constant and order 1) |
| shift and stretch | spectrum |
| Ring spectra | original and wavelength-dependent Ring spectra |
| NO2 cross-section | Vandaele et al. (1998) [31], 294 K, Io correction (1017 molecules·cm−2) |
| H2O cross-section | Polyansky et al. (2018) [32], 293 K |
| O3 cross-section | Serdyuchenko et al. (2014) [33], 223 K, Io correction (1020 molecules·cm−2) |
| O4 cross-section | Thalman and Volkamer (2013) [34], 293 K |
Disclaimer/Publisher’s Note: The statements, opinions and data contained in all publications are solely those of the individual author(s) and contributor(s) and not of MDPI and/or the editor(s). MDPI and/or the editor(s) disclaim responsibility for any injury to people or property resulting from any ideas, methods, instructions or products referred to in the content. |
© 2023 by the authors. Licensee MDPI, Basel, Switzerland. This article is an open access article distributed under the terms and conditions of the Creative Commons Attribution (CC BY) license (https://creativecommons.org/licenses/by/4.0/).
Share and Cite
Cheng, S.; Pu, G.; Ma, J.; Hong, H.; Du, J.; Yudron, T.; Wagner, T. Retrieval of Tropospheric NO2 Vertical Column Densities from Ground-Based MAX-DOAS Measurements in Lhasa, a City on the Tibetan Plateau. Remote Sens. 2023, 15, 4689. https://doi.org/10.3390/rs15194689
Cheng S, Pu G, Ma J, Hong H, Du J, Yudron T, Wagner T. Retrieval of Tropospheric NO2 Vertical Column Densities from Ground-Based MAX-DOAS Measurements in Lhasa, a City on the Tibetan Plateau. Remote Sensing. 2023; 15(19):4689. https://doi.org/10.3390/rs15194689
Chicago/Turabian StyleCheng, Siyang, Guijuan Pu, Jianzhong Ma, Hyunkee Hong, Jun Du, Tseten Yudron, and Thomas Wagner. 2023. "Retrieval of Tropospheric NO2 Vertical Column Densities from Ground-Based MAX-DOAS Measurements in Lhasa, a City on the Tibetan Plateau" Remote Sensing 15, no. 19: 4689. https://doi.org/10.3390/rs15194689
APA StyleCheng, S., Pu, G., Ma, J., Hong, H., Du, J., Yudron, T., & Wagner, T. (2023). Retrieval of Tropospheric NO2 Vertical Column Densities from Ground-Based MAX-DOAS Measurements in Lhasa, a City on the Tibetan Plateau. Remote Sensing, 15(19), 4689. https://doi.org/10.3390/rs15194689

