Estimation of the Multielement Content in Rocks Based on a Combination of Visible–Near-Infrared Reflectance Spectroscopy and Band Index Analysis
Abstract
1. Introduction
2. Materials and Methods
2.1. Study Area and Sampling
2.2. Spectral Measurements and Preprocessing
2.3. Spectral Preprocessing
2.4. Three-Band Index
2.5. Stepwise Regression Analysis
2.6. Model Building and Validation
3. Results
3.1. Elemental Correlation Analysis
3.2. Element Content and Spectral Analysis
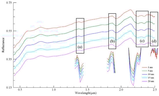
3.3. Effect of Spectral Resolution on the Accuracy of Elemental Content Estimation
3.4. Estimation of Elemental Content by Full-Band Transform Spectroscopy
3.5. Estimation of Elemental Content via Optimal Band Combinations
4. Discussion
5. Conclusions
Author Contributions
Funding
Data Availability Statement
Conflicts of Interest
References
- Granier, C.; Hartley, J.; Michaud, J.C.; Troly, G. Contribution of 3-dimensional geochemical-exploration to the discovery of rxtensions of the thalanga polymetallic deposit under tertiary cover rocks (Queensland, Australia). J. Geochem. Explor. 1989, 32, 467–475. [Google Scholar] [CrossRef]
- Li, Q. Lithogeochemical anomaly evalue and reprospecting in Shiyingtan gold deposit in Xinjiang. Gold 2009, 30, 7–12. [Google Scholar]
- Jiao, B.Q.; Bai, R.J.; Sun, S.M.; Pan, Z.H.; Li, S.P. The application of geochemical zoning standardized method to the extraction of regional geochemical information. Geophys. Geochem. Explor. 2009, 165–169, 206, (In Chinese with English Abstract). [Google Scholar]
- Chen, J.; Li, Z.D.; Zhong, H.; Wu, M.G. Comparion of Multiple Methods to Determine the Geochemical Anomaly Threshold. Geol. Surv. Res. 2014, 37, 187–192, (In Chinese with English Abstract). [Google Scholar]
- Piercey, S.J.; Devine, M.C. Analysis of powdered reference materials and known samples with a benchtop, field portable X-ray fluorescence (pXRF) spectrometer: Evaluation of performance and potential applications for exploration lithogeochemistry. Geochem.-Explor. Environ. Anal. 2014, 14, 139–148. [Google Scholar] [CrossRef]
- Woguia, B.K.; Nono GD, K.; Tamfuh, P.A.; Embui, V.F.; Nforba, M.T.; Nzenti, J.P. Identifying multi-metal prospect using regional soil and stream sediment geochemical data in bidou, nyong series, north west of congo craton. Arab. J. Geosci. 2021, 14, 218. [Google Scholar] [CrossRef]
- Zhao, L.; Hu, Y.M.; Zhou, W.; Liu, Z.H.; Pan, Y.C.; Shi, Z.; Wang, L.; Wang, G.X. Estimation methods for soil mercury content using hyperspectral remote sensing. Sustainability 2018, 10, 2474. [Google Scholar] [CrossRef]
- Kopackova-Strnadova, V.; Rapprich, V.; McLemore, V.; Pour, O.; Magna, T. Quantitative estimation of rare earth element abundances in compositionally distinct carbonatites: Implications for proximal remote-sensing prospection of critical elements. Int. J. Appl. Earth Obs. Geoinf. 2021, 103, 102423. [Google Scholar] [CrossRef]
- Kasmaeeyazdi, S.; Dinelli, E.; Braga, R. Mapping Co-Cr-Cu and Fe occurrence in a legacy mining waste using geochemistry and satellite imagery analyses. Appl. Sci. 2022, 12, 1928. [Google Scholar] [CrossRef]
- Mancini, M.; Weindorf, D.C.; Chakraborty, S.; Silva, S.H.G.; Teixeira, A.F.D.; Guilherme, L.R.G.; Curi, N. Tracing tropical soil parent material analysis via portable X-ray fluorescence (pXRF) spectrometry in Brazilian Cerrado. Geoderma 2019, 337, 718–728. [Google Scholar] [CrossRef]
- Da Silva, A.C.; Triantafyllou, A.; Delmelle, N. Portable X-ray fluorescence calibrations: Workflow and guidelines for optimizing the analysis of geological samples. Chem. Geol. 2023, 623, 121395. [Google Scholar] [CrossRef]
- Ding, H.N.; Chen, Y.; Chen, Y.Z. Remote Sensing Inversion Method of Soil Iron Content in the Loess Plateau. Remote Sens. Technol. Appl. 2019, 34, 275–283, (In Chinese with English Abstract). [Google Scholar]
- Cui, S.C.; Zhou, K.F.; Ding, R.F.; Zhao, J.; Du, X.S.H. Comparing the effects of different spectral preprocessing on the estimation of the copper content of Seriphidium terrae-albae. J. Appl. Remote Sens. 2018, 12, 036003. [Google Scholar] [CrossRef]
- van der Meer, F.D.; van der Werff, H.M.A.; van Ruitenbeek, F.J.A.; Hecker, C.A.; Bakker, W.H.; Noomen, M.F.; van der Meijde, M.; Carranza, E.J.M.; de Smeth, J.B.; Woldai, T. Multi- and hyperspectral geologic remote sensing: A review. Int. J. Appl. Earth Obs. Geoinf. 2012, 14, 112–128. [Google Scholar] [CrossRef]
- Rasti, B.; Scheunders, P.; Ghamisi, P.; Licciardi, G.; Chanussot, J. Noise reduction in hyperspectral imagery: Overview and application. Remote Sens. 2018, 10, 482. [Google Scholar] [CrossRef]
- Hunt, G.R. Spectral signatures of particulate minerals in the visible and near-infrared. Geophysics 1997, 42, 501–513. [Google Scholar] [CrossRef]
- Clark, R.N. Spectroscopy of rocks and minerals, and principles of spectroscopy. Remote Sens. Earth Sci. 1999, 3, 3–58. [Google Scholar]
- Galvao, L.S.; Pizarro, M.A.; Epiphanio, J.C.N. Variations in reflectance of tropical soils: Spectral-chemical composition relationships from AVIRIS data. Remote Sens. Environ. 2001, 75, 245–255. [Google Scholar] [CrossRef]
- Rossel, V.R.A.; Behrens, T. Using data mining to model and interpret soil diffuse reflectance spectra. Geoderma 2010, 158, 46–54. [Google Scholar] [CrossRef]
- Shi, T.Z.; Chen, Y.Y.; Liu, Y.L.; Wu, G.F. Visible and near-infrared reflectance spectroscopy-An alternative for monitoring soil contamination by heavy metals. J. Hazard. Mater. 2014, 265, 166–176. [Google Scholar] [CrossRef]
- van der Meer, F.; Hecker, C.; van Ruitenbeek, F.; van der Werff, H.; de Wijkerslooth, C.; Wechsler, C. Geologic remote sensing for geothermal exploration: A review. Int. J. Appl. Earth Obs. Geoin-Mation 2014, 33, 255–269. [Google Scholar] [CrossRef]
- Clark, R.N.; King, T.V.V.; Klejwa, M.; Swayze, G.A.; Vergo, N. High spectral resolution reflectance spectroscopy of minerals. J. Geophys. Res. Solid Earth 1990, 95, 12653–12680. [Google Scholar] [CrossRef]
- Cheshire, M.V.; Dumat, C.; Fraser, A.R.; Hillier, S.; Staunton, S. The interaction between soil organic matter and soil clay minerals by selective removal and controlled addition of organic matter. Eur. J. Soil Sci. 2000, 51, 497–509. [Google Scholar] [CrossRef]
- Wang, J.J.; Cui, L.J.; Gao, W.X.; Shi, T.Z.; Chen, Y.Y.; Gao, Y. Prediction of low heavy metal concentrations in agricultural soils using visible and near-infrared reflectance spectroscopy. Geoderma 2014, 216, 1–9. [Google Scholar] [CrossRef]
- Zhou, W.; Yang, H.; Xie, L.J.; Li, H.R.; Huang, L.; Zhao, Y.P.; Yue, T.X. Hyperspectral inversion of soil heavy metals in three-river source region based on random forest model. Catena 2021, 202, 105222. [Google Scholar] [CrossRef]
- Han, C.; Lu, J.L.; Chen, S.B.; Xu, X.T.; Wang, Z.B.; Pei, Z.; Zhang, Y.; Li, F.X. Estimation of heavy metal (loid) contents in agricultural soil of the suzi river basin using optimal spectral indices. Sustainability 2021, 13, 12088. [Google Scholar] [CrossRef]
- Wang, Y.Y.; Zhao, Y.C.; Xu, S.X. Application of VNIR and machine learning technologies to predict heavy metals in soil and pollution indices in mining areas. J. Soils Sediments 2022, 22, 2777–2791. [Google Scholar] [CrossRef]
- Mouazen, A.M.; Kuang, B.; Baerdemaeker, J.D.; Ramon, H. Comparison among principal component, partial least squares and back propagation neural network analyses for accuracy of measurement of selected soil properties with visible and near infrared spectroscopy. Geoderma 2010, 158, 23–31. [Google Scholar] [CrossRef]
- Nickel, S.; Schroder, W.; Wosniok, W.; Harmens, H.; Frontasyeva, M.V.; Alber, R.; Aleksiayenak, J.; Barandovski, L.; Blum, O.; Danielsson, H.; et al. Modelling and mapping heavy metal and nitrogen concentrations in moss in 2010 throughout Europe by applying Random Forests models. Atmos. Environ. 2017, 156, 146–159. [Google Scholar] [CrossRef]
- Rumpf, T.; Mahlein, A.K.; Steiner, U.; Oerke, E.C.; Dehne, H.W.; Plumer, L. Early detection and classification of plant diseases with Support Vector Machines based on hyperspectral reflectance. Comput. Electron. Agric. 2010, 74, 91–99. [Google Scholar] [CrossRef]
- Zeng, F.R.; Ali, S.; Zhang, H.T.; Ouyang, Y.B.; Qiu, B.Y.; Wu, F.B.; Zhang, G.P. The influence of pH and organic matter content in paddy soil on heavy metal availability and their uptake by rice plants. Environ. Pollut. 2011, 159, 84–91. [Google Scholar] [CrossRef] [PubMed]
- Nawar, S.; Buddenbaum, H.; Hill, J.; Kozak, J.; Mouazen, A.M. Estimating the soil clay content and organic matter by means of different calibration methods of vis-NIR diffuse reflectance spectroscopy. Soil Tillage Res. 2016, 155, 510–522. [Google Scholar] [CrossRef]
- Ma, W.B.; Tan, K.; Li, H.D.; Yan, Q.W. Hyperspectral inversion of heavy metals in soil of a mining area using extreme learning machine. J. Ecol. Rural Environ. 2016, 32, 213–218, (In Chinese with English Abstract). [Google Scholar]
- Tu, Y.L.; Zou, B.; Jiang, X.L.; Tao, C.; Tang, Y.Q.; Feng, H.H. Hyperspectral remote sensing based modeling of cu content in mining soil. Spectrosc. Spectr. Anal. 2018, 38, 575–581. [Google Scholar]
- Hong, Y.S.; Shen, R.L.; Cheng, H.; Chen, Y.Y.; Zhang, Y.; Liu, Y.L.; Zhou, M.; Yu, L.; Liu, Y.; Liu, Y.F. Estimating lead and zinc concentrations in peri-urban agricultural soils through reflectance spectroscopy: Effects of fractional-order derivative and random forest. Sci. Total Environ. 2018, 651 Pt 2, 1969–1982. [Google Scholar] [CrossRef]
- Wang, J.Z.; Shi, T.Z.; Yu, D.L.; Teng, D.X.; Ge, X.Y.; Zhang, Z.P.; Yang, X.D.; Wang, H.X.; Wu, G.F. Ensemble machine-learning-based framework for estimating total nitrogen concentration in water using drone-borne hyperspectral imagery of emergent plants: A case study in an arid oasis, NW China. Environ. Pollut. 2020, 266, 115412. [Google Scholar] [CrossRef]
- Han, L.; Chen, R.; Zhu, H.L.; Zhao, Y.H.; Liu, Z.; Huo, H. Estimating soil arsenic content with visible and near-infrared hyperspectral reflectance. Sustainability 2020, 12, 1476. [Google Scholar] [CrossRef]
- Zhou, T.; Geng, Y.J.; Ji, C.; Xu, X.R.; Wang, H.; Pan, J.J.; Bumberger, J.; Haase, D.; Lausch, A. Prediction of soil organic carbon and the C:N ratio on a national scale using machine learning and satellite data: A comparison between Sentinel-2, Sentinel-3 and Landsat-8 images. Sci. Total Environ. 2021, 755, 142661. [Google Scholar] [CrossRef]
- Xu, X.T.; Chen, S.B.; Ren, L.G.; Han, C.; Lv, D.L.; Zhang, Y.F.; Ai, F.K. Estimation of heavy metals in agricultural soils using Vis-NIR spectroscopy with fractional-order derivative and generalized regression neural network. Remote Sens. 2021, 13, 2718. [Google Scholar] [CrossRef]
- Chen, J.L. The Recognition of Rock Geochemical Anomalies and Metallogenic Prognosis in Mawudigou Area, Wushan, Gansu Province; Lanzhou University: Lanzhou, China, 2014; (In Chinese with English Abstract). [Google Scholar]
- Mao, Y.J.; Qin, K.Z.; Tang, D.M.; Xue, S.C.; Feng, H.Y.; Tian, Y. Multiple stages of magma emplacement and mineralization of eastern Tianshan, Xingjiang: Examplified by the Huangshan Ni-Cu deposit. Acta Petrol. Sin. 2014, 30, 1575–1594. [Google Scholar]
- Chen, G.Q. The Research of the Meticulous Evaluation Methods of Mediumlatge Scale Geochemical Anomalies Combination; Jilin University: Jilin, China, 2017; (In Chinese with English Abstract). [Google Scholar]
- Cao, M.X.; Lu, L.J.; Chen, G.Q.; Ding, P.C. Distributiion of regional geochemical elements and combination anomaly method. Glob. Geol. 2012, 31, 515–521, (In Chinese with English Abstract). [Google Scholar]
- Yu, X.C.; Wang, S.C.; Wang, H.; Liang, Y.C.; Chen, S.Y.; Wu, K.; Yang, Z.Y.; Li, C.Y.; Chang, Y.Z.; Zhan, Y.; et al. Detection of geochemical element assemblage anomalies using a local correlation approach. J. Earth Sci. 2021, 32, 408–414. [Google Scholar] [CrossRef]
- Knox, N.M.; Skidmore, A.K.; Schlerf, M.; de Boer, W.F.; van Wieren, S.E.; van der Waal, C.; Prins HH, T.; Slotow, R. Nitrogen prediction in grasses: Effect of bandwidth and plant material state on absorption feature selection. Int. J. Remote Sens. 2010, 31, 691–704. [Google Scholar] [CrossRef]
- Castaldi, F.; Palombo, A.; Santini, F.; Pascucci, S.; Pignatti, S.; Casa, R. Evaluation of the potential of the current and forthcoming multispectral and hyperspectral imagers to estimate soil texture and organic carbon. Remote Sens. Environ. 2016, 179, 54–65. [Google Scholar] [CrossRef]
- Gong, P.; Pu, R.; Yu, B. Conifer species recognition: Effects of data transformation. Int. J. Remote Sens. 2001, 22, 3471–3481. [Google Scholar] [CrossRef]
- Zhang, Z.P.; Ding, J.L.; Zhu, C.M.; Wang, J.Z.; Ma, G.L.; Ge, X.Y.; Li, Z.S.; Han, L.J. Strategies for the efficient estimation of soil organic matter in salt-affected soils through Vis-NIR spectroscopy Optimal band combination algorithm and spectral degradation. Geoderma 2020, 382, 114729. [Google Scholar] [CrossRef]
- Zhang, Z.P.; Ding, J.L.; Zhu, C.M.; Wang, J.Z. Combination of efficient signal pre-processing and optimal band combination algorithm to predict soil organic matter through visible and near-infrared spectra. Spectrochim. Acta Part A-Mol. Biomol. Spectrosc. 2020, 240, 118553. [Google Scholar] [CrossRef]
- Norgaard, L.; Saudland, A.; Wagner, J.; Nielsen, J.P.; Engelsen, S.B. Interval partial least-squares regression (ipls): A comparative chemometric study with an example from near-infrared spectroscopy. Appl. Spectrosc. 2000, 54, 413–419. [Google Scholar] [CrossRef]
- Li, H.D.; Liang, Y.Z.; Xu, Q.S.; Cao, D.S. Key wavelengths screening using competitive adaptive reweighted sampling method for multivariate calibration. Anal. Chim. Acta 2009, 648, 77–84. [Google Scholar] [CrossRef]
- Li, B.; Xu, X.M.; Zhang, L.; Han, J.W.; Bian, C.S.; Li, G.C.; Liu, J.G.; Jin, L.P. Above-ground biomass estimation and yield prediction in potato by using UAV-based RGB and hyperspectral imaging. ISPRS J. Photogramm. Remote Sens. 2020, 162, 161–172. [Google Scholar] [CrossRef]
- Bangalore, A.S.; Shaffer, R.E.; Small, G.W.; Arnold, M.A. Genetic algorithm-based method for selecting wave-lengths and model size for use with partial least-squares regression: Application to near-infrared spectroscopy. Ana-Lytical Chem. 1996, 68, 4200–4212. [Google Scholar] [CrossRef] [PubMed]
- Leardi, R. Application of genetic algorithm-PLS for feature selection in spectral data sets. J. Chemom. 2000, 14, 643–655. [Google Scholar] [CrossRef]
- Ye, S.F.; Wang, D.; Min, S.G. Successive projections algorithm combined with uninformative variable elimination for spectral variable selection. Chemom. Intell. Lab. Syst. 2008, 91, 194–199. [Google Scholar] [CrossRef]
- Han, Q.J.; Wu, H.L.; Cai, C.B.; Xu, L.; Yu, R.Q. An ensemble of monte carlo uninformative variable elimination for wavelength selection. Anal. Chim. Acta 2008, 612, 121–125. [Google Scholar] [CrossRef] [PubMed]
- Soares SF, C.; Gomes, A.A.; Filho, A.R.G.; Araujo, M.; Galvo, R.K.H. The successive projections algorithm. TrAC Trends Anal. Chem. 2013, 42, 84–97. [Google Scholar] [CrossRef]
- Vohland, M.; Ludwig, M.; Thiele-Bruhn, S.; Ludwig, B. Determination of soil properties with visible to near- and mid-infrared spectroscopy: Effects of spectral variable selection. Geoderma 2014, 223–225, 88–96. [Google Scholar] [CrossRef]
- Farres, M.; Platikanov, S.; Tsakovski, S.; Tauler, R. Comparison of the variable importance in projection (VIP) and of the selectivity ratio (SR) methods for variable selection and interpretation. J. Chemom. 2015, 29, 528–536. [Google Scholar] [CrossRef]
- Wang, X.P.; Zhang, F.; Kung, H.T.; Johnson, V.C. New methods for improving the spectral estimation of soil organic matter content (SOMC) in the Ebinur Lake Wetland National Nature Reserve (ELWNNR) in northwest China. Remote Sens. Environ. 2018, 218, 104–118. [Google Scholar] [CrossRef]
- Hong, Y.S.; Guo, L.; Chen, S.C.; Linderman, M.; Mouazen, A.M.; Yu, L.; Chen, Y.Y.; Liu, Y.L.; Liu, Y.F.; Cheng, H.; et al. Exploring the potential of airborne hyperspectral image for estimating topsoil organic carbon: Effects of fractional-order derivative and optimal band combination algorithm. Geoderma 2020, 365, 114228. [Google Scholar] [CrossRef]
- Li, F.; Mistele, B.; Hu, Y.C.; Chen, X.P.; Schmidhalter, U. Optimising three-band spectral indices to assess aerial N concentration, N uptake and aboveground biomass of winter wheat remotely in China and Germany. ISPRS J. Photogramm. Remote Sens. 2014, 92, 112–123. [Google Scholar] [CrossRef]
- Wang, F.H.; Gao, J.; Zha, Y. Hyperspectral sensing of heavy metals in soil and vegetation: Feasibility and challenges. ISPRS J. Photogramm. Remote Sens. 2018, 136, 73–84. [Google Scholar] [CrossRef]
- Sawut, R.; Kasim, N.; Abliz, A.; Li, H.; Yalkun, A.; Maihemuti, B.; Shi, Q.D. Possibility of optimized indices for the assessment of heavy metal contents in soil around an open pit coal mine area. Int. J. Appl. Earth Obs. Geoinf. 2018, 73, 14–25. [Google Scholar] [CrossRef]
- Zhang, Z.P.; Ding, J.L.; Wang, J.Z.; Ge, X.Y. Prediction of soil organic matter in northwestern China using fractional-order derivative spectroscopy and modified normalized difference indices. Catena 2020, 185, 104257. [Google Scholar] [CrossRef]
- Xu, Y.X.; Qin, K.Z.; Ding, K.S.; Li, J.X.; Miao, Y.; Fang, T.H.; Xu, X.W.; Li, D.M.; Luo, X.Q. Geochronology evidence of Mesozoic metallogenesis and Cenozoic oxidation at Hongshan HS-epithermal Cu-Au deposit, Kalatage region, eastern Tianshan, and its tectonic and paleoclimatic significances. Acta Petrol. Sin. 2008, 24, 2371–2383. [Google Scholar]
- Zhang, S.L.; Fu, S.X.; Li, C.X. Application of remote sensing to prospecting of ore deposits in Kalatage, Xinjiang. Miner. Depos. 2002, 21, 1228–1231, (In Chinese with English Abstract). [Google Scholar]
- Feng, Y. The Metallogenic Prediction of Meiling-Hongshi-Honghai Cu-Zn Polymetallic Deposit, Xinjiang Province; China University of Geosciences: Beijing, China, 2014; (In Chinese with English Abstract). [Google Scholar]
- Rinnan, A.; van den Berg, F.; Engelsen, S.B. Review of the most common pre-processing techniques for near-infrared spectra. TrAC—Trends Anal. Chem. 2009, 29, 1201–1222. [Google Scholar] [CrossRef]
- Savitzky, A.; Golay, M.J.E. Golay Smoothing and differentiation of data by simplified least squares procedures. Anal. Chem. 1964, 36, 1627–1639. [Google Scholar] [CrossRef]
- Zhang, C.; Yu, Z.X.; Huang, T.; Zhang, Y.; Luo, H.C.; Niu, X.H. The study on fresh biomass estimation of zizania latifolia based on different spectral preprocessing of spectral reflectance. J. Southwest For. Univ. 2019, 39, 105–115, (In Chinese with English Abstract). [Google Scholar]
- Clark, R.N.; Roush, T.L. Reflectance spectroscopy: Quantitative analysis techniques for remote sensing applications. J. Geophys. Res. 1984, 89, 6329–6340. [Google Scholar] [CrossRef]
- Gomez, C.; Lagacherie, P.; Coulouma, G. Continuum removal versus plsr method for clay and calcium carbonate content estimation from laboratory and airborne hyperspectral measurements. Geoderma 2008, 148, 141–148. [Google Scholar] [CrossRef]
- Chen, C.; Jiang, Q.; Zhang, Z.; Shi, P.; Xu, Y.; Liu, B.; Xi, J.; Chang, S.Z. Hyperspectral inversion of petroleum hydrocarbon contents in soil based on continuum removal and wavelet packet decomposition. Sustainability 2020, 12, 4218. [Google Scholar] [CrossRef]
- Choe, E.; van der Meer, F.; van Ruitenbeek, F.; van der Werff, H.; de Smeth, B.; Kim, Y.W. Mapping of heavy metal pollution in stream sediments using combined geochemistry, field spectroscopy, and hyperspectral remote sensing: A case study of the Rodalquilar mining area, SE Spain. Remote Sens. Environ. 2008, 112, 3222–3233. [Google Scholar] [CrossRef]
- Liu, X.Y.; Zhang, J.L.; Yin, Y.F.; Yang, Y.; Wu, X.X. Underwater polarization image restoration based on logarithmic transformation and dark channel. Optoelectron. Lett. 2020, 16, 5. [Google Scholar] [CrossRef]
- Wang, C.Y. Earth Observation Technology and Fine Agriculture; Science Press: Beijing, China, 2001; (In Chinese with English Abstract). [Google Scholar]
- Sun, L.; Cheng, L.J. Analysis of spectral response of vegetation leaf biochemical components. Spectrosc. Spectr. Anal. 2010, 30, 3031–3035. [Google Scholar]
- Hu, C.M.; Lee, Z.; Franz, B. Chlorophyll a algorithms for oligotrophic oceans: A novel approach based on three-band reflectance difference. J. Geophys. Res.-Ocean. 2012, 117, C01011. [Google Scholar] [CrossRef]
- Wang, J.Z.; Ding, J.L.; Yu, D.L.; Ma, X.K.; Zhang, Z.P.; Ge, X.Y.; Teng, D.X.; Li, X.H.; Liang, J.; Lizag, A.; et al. Capability of Sentinel-2 MSI data for monitoring and mapping of soil salinity in dry and wet sea-sons in the Ebinur Lake region, Xinjiang, China. Geoderma 2019, 353, 172–187. [Google Scholar] [CrossRef]
- Zhao, B.; Gao, L.R.; Liao, W.Z.; Zhang, B. A new kernel method for hyperspectral image feature extraction. Geo-Spat. Inf. Sci. 2018, 20, 309–318. [Google Scholar] [CrossRef]
- Galvao, R.K.H.; Araujo, M.C.U.; Silva, E.C.; Jose, G.E.; Soares, S.F.C.; Paiva, H.M. Cross-validation for the se-lection of spectral variables using the successive projections algorithm. J. Braz. Chem. Soc. 2007, 18, 1580–1584. [Google Scholar] [CrossRef]
- Zou, X.B.; Zhao, J.W.; Povey, M.J.W.; Holmes, M.; Mao, H.P. Variables selection methods in near-infrared spectroscopy. Anal. Chim. Acta 2010, 667, 14–32. [Google Scholar]
- Chong, I.G.; Jun, C.H. Performance of some variable selection methods when multicollinearity is present. Chemom. Intell. Lab. Syst. 2005, 78, 103–112. [Google Scholar] [CrossRef]
- Liu, B.; Guo, S.; Wei, Y.H.; Zhan, Z.D. A fast independent component analysis algorithm for geochemical anomaly detection and its application to soil geochemistry data processing. J. Appl. Math. 2014, 2014, 319314. [Google Scholar] [CrossRef]
- Geladi, P.; Kowalski, B.R. Partial least-squares regression: A tutorial. Anal. Chim. Acta 1986, 185, 1–17. [Google Scholar] [CrossRef]
- Chin, W.W. The partial least squares approach to structural equation modeling. In Modern Methods for Business Research; Lawrence Erlbaum Associates, Inc., Publishers: Mahwah, NJ, USA, 1998; pp. 295–336. [Google Scholar]
- Fatehi, P.; Damm, A.; Schaepman, M.E.; Kneubuhler, M. Estimation of alpine forest structural variables from imaging spectrometer data. Remote Sens. 2016, 7, 15830. [Google Scholar] [CrossRef]
- Vohland, M.; Besold, J.; Hill, J.; Frund, H.C. Comparing different multivariate calibration methods for the determination of soil organic carbon pools with visible to near infrared spectroscopy. Geoderma 2011, 166, 198–205. [Google Scholar] [CrossRef]
- Hong, Y.S.; Shen, R.L.; Cheng, H.; Chen, S.C.; Chen, Y.Y.; Guo, L.; He, J.H.; Liu, Y.L.; Yu, L.; Liu, Y. Cadmium concentration estimation in pen-urban agricultural soils: Using reflectance spectroscopy, soil auxiliary information, or a combination of both? Geoderma 2019, 354, 113875. [Google Scholar] [CrossRef]
- Zhou, S.G.; Liao, S.B.; Zhou, K.F.; Wang, J.L.; Liu, Y.D. Application of portable X-ray fluorescence spectrometer in the analysis of rock samples. Rock Miner. Anal. 2018, 37, 56–63, (In Chinese with English Abstract). [Google Scholar]
- Knadel, M.; Viscarra Rossel, R.A.; Deng, F.; Thomsen, A.; Greve, M.H. Visible-near infraredspectra as a proxy for top-soil texture and glacial boundaries. Soil Sci. Soc. Am. J. 2013, 77, 568–579. [Google Scholar] [CrossRef]
- Zhao, W.Z.; Du, S.H. Spectral-spatial feature extraction for hyperspectral image classification: A dimension reduction and deep learning approach. IEEE Trans. Geosci. Remote Sens. 2016, 54, 4544–4554. [Google Scholar] [CrossRef]
- Gholizadeh, A.; Saberioon, M.; Ben-Dor, E.; Boruvka, L. Monitoring of selected soil contaminants using proximal and remote sensing techniques: Background, state-of-the-art and future perspectives. Crit. Rev. Environ. Sci. Technol. 2018, 48, 243–278. [Google Scholar] [CrossRef]
- Ren, H.E.; Zhuang, D.F.; Singh, A.N.; Pan, J.J.; Qiu, D.S.; Shi, R.H. Estimation of As and Cu contamination in agricultural soils around a mining area by reflectance spectroscopy: A case study. Pedosphere 2009, 19, 719–726. [Google Scholar] [CrossRef]
- Cui, S.C.; Zhou, K.F.; Ding, R.F.; Cheng, Y.Y.; Jiang, G. Estimation of soil copper content based on fractional-order derivative spectroscopy and spectral characteristic band selection. Spectrochim. Acta Part A Mol. Bio-Mol. Spectrosc. 2022, 275, 121190. [Google Scholar] [CrossRef] [PubMed]
- Xu, X.T.; Chen, S.B.; Xu, Z.Y.; Yu, Y.; Zhang, S.; Dai, R. Exploring appropriate preprocessing techniques for hyperspectral soil organic matter content estimation in black soil area. Remote Sens. 2020, 12, 3765. [Google Scholar] [CrossRef]
- Liu, D.; Sun, D.W.; Zeng, X.A. Recent advances in wavelength selection techniques for hyperspectral image processing in the food industry. Food Bioprocess Technol. 2014, 7, 307–323. [Google Scholar] [CrossRef]
- Chen, Z.; Chen, J.P.; Tian, S.F.; Penny, B. Application of fractal content-gradient method for delineating geochemical anomalies associated with copper occurrences in the Yangla ore field, China. Geosci. Front. 2017, 8, 189–197. [Google Scholar] [CrossRef]
- Lu, L.J.; Zhang, J.T.; Chen, G.Q.; Cao, M.X.; Yang, C. Preliminary study of geological space triple divided theory. J. Jinlin Univ. 2012, 42, 279–284. [Google Scholar]
- Nazarpour, A.; Paydar, G.R.; Carranza, E.J.M. Stepwise regression for recognition of geochemical anomalies: Case study in Takab area, NW Iran. J. Geochem. Explor. 2016, 168, 150–162. [Google Scholar] [CrossRef]
- Zhang, M.; Zhao, H.J.; Li, N. Analysis of the influence of hyperspectral spectral resolution on the mineral recognition. Infrared Laser Eng. 2006, 35, 493–498, (In Chinese with English Abstract). [Google Scholar]
- Liu, H.J.; Wu, B.F.; Zhao, C.J.; Zhao, Y.S. Effect of spectral resolution on black soil organic matter content predicting model based on laboratory reflectance. Spectrosc. Spectr. Anal. 2012, 32, 739–742. [Google Scholar]
- Nicola, B.M.; Beullens, K.; Bobelyn, E.; Peirs, A.; Saeys, W.; Theron, K.I.; Lammertyn, J. Nondestructive measurement of fruit and vegetable quality by means of nir spectroscopy: A review. Postharvest Biol. Technol. 2007, 46, 99–118. [Google Scholar] [CrossRef]
- Qiao, X.X.; Wang, C.; Feng, M.C.; Yang, W.D.; Ding, G.W.; Sun, H.; Liang, Z.Y.; Shi, C.C. Hyperspectral estimation of soil organic matter based on different spectral preprocessing techniques. Spectrosc. Lett. 2018, 50, 156–163. [Google Scholar] [CrossRef]
- Camps-Valls, G.; Campos-Taberner, M.; Moreno-Martinez, A.; Walther, S.; Duveiller, G.; Cescatti, A.; Mahecha, M.D.; Munoz-Mari, J.; Garcia-Haro, F.J.; Guanter, L.; et al. A unified vegetation index for quantifying the terrestrial biosphere. Sci. Adv. 2021, 7, eabc7447. [Google Scholar] [CrossRef] [PubMed]
- Bartholomew, H.M.; Schaepman, M.E.; Kooistra, L.; Stevens, A.; Pride, W.B.; Spaargaren, O.S.P. Spectral reflectance based indices for soil organic carbon quantification. Geoderma 2008, 145, 28–36. [Google Scholar] [CrossRef]
- Xu, H.; Liu, Z.C.; Cai, W.S.; Shao, X.G. A wavelength selection method based on randomization test for near-infrared spectral analysis. Chemom. Intell. Lab. Syst. 2009, 97, 189–193. [Google Scholar] [CrossRef]
- Malley, D.F.; Williams, P.C. Use of near-infrared reflectance spectroscopy in prediction of heavy metals in fresh-water sediment by their association with organic matter. Environ. Sci. Technol. 1997, 31, 3461–3467. [Google Scholar] [CrossRef]
- Hunt, G.R. Near-infrared (1.3–2.4 pm) Spectra of Alteration Minerals- Potential for use in Remote Sensing. Geophysics 1979, 44, 1974–1986. [Google Scholar] [CrossRef]
- Susan, J. Spectral reflectance of-carbonate minerals in the visible and near infrared (0.35–2.55 microns): Calcite, aragonite, and dolomite. Am. Mineral. 1986, 71, 151–162. [Google Scholar]
- Crowley, J.L. Principles and Techniques for Sensor Data Fusion. Signal Process. 1993, 32, 5–27. [Google Scholar] [CrossRef]
- Horta, A.; Malone, B.; Stockmann, U.; Minasny, B.; Bishop, T.F.A.; McBratney, A.B.; Pallasser, R.; Pozza, L. Potential of integrated field spectroscopy and spatial analysis for enhanced assessment of soil contamination: A prospective review. Geoderma 2015, 241–242, 180–209. [Google Scholar] [CrossRef]
- O’Rourke, S.M.; Stockmann, U.; Holden, N.M.; McBratney, A.B.; Minasny, B. An assessment of model averaging to improve predictive power of portable vis-NIR and XRF for the determination of agronomic soil properties. Geoderma 2016, 279, 31–44. [Google Scholar] [CrossRef]







| Band Index | Calculation Formula |
|---|---|
| BI1 | |
| BI2 | |
| BI3 | |
| BI4 | |
| BI5 | |
| BI6 |
| Element Type | Min | Max | Mean | Standard Deviation | Coefficient of Variation (%) |
|---|---|---|---|---|---|
| Fe | 0.21% | 9.15% | 3.41% | 1.99% | 0.58 |
| Mn | 259.39 | 3035.49 | 1054.30 | 558.83 | 0.53 |
| As | 0.50 | 12.45 | 3.94 | 2.49 | 0.63 |
| Zn | 17.58 | 233.40 | 60.30 | 29.79 | 0.49 |
| Cu | 3.71 | 257.63 | 52.31 | 50.11 | 0.96 |
| Ni | 2.04 | 21.51 | 9.30 | 5.06 | 0.54 |
| S | 69.00 | 5550.00 | 1035.54 | 928.25 | 0.90 |
| Ti | 0.12% | 0.46% | 0.28% | 0.07% | 0.23 |
| Co | 1.02 | 32.06 | 11.58 | 7.18 | 0.62 |
| Fe | Mn | As | Zn | Cu | Ni | S | Ti | Co | |
|---|---|---|---|---|---|---|---|---|---|
| Fe | 1 | ![]() | ![]() | ![]() | ![]() | ![]() | ![]() | ![]() | ![]() |
| Mn | 0.56 ** | 1 | ![]() | ![]() | ![]() | ![]() | ![]() | ![]() | ![]() |
| As | −0.02 | −0.08 | 1 | ![]() | ![]() | ![]() | ![]() | ![]() | ![]() |
| Zn | 0.27 ** | 0.22 * | −0.14 | 1 | ![]() | ![]() | ![]() | ![]() | ![]() |
| Cu | 0.72 ** | 0.30 ** | 0.02 | 0.15 | 1 | ![]() | ![]() | ![]() | ![]() |
| Ni | 0.47 ** | 0.20 * | 0.14 | 0.04 | 0.49 | 1 | ![]() | ![]() | ![]() |
| S | −0.27 ** | −0.08 | 0.11 | −0.24 * | −0.15 | −0.25 * | 1 | ![]() | ![]() |
| Ti | 0.56 ** | 0.29 ** | 0.05 | 0.30 ** | 0.61 ** | 0.34 ** | −0.23 * | 1 | ![]() |
| Co | 0.74 ** | 0.36 ** | 0.07 | 0.32 ** | 0.73 ** | 0.69 ** | −0.30 ** | 0.61 ** | 1 |
| Spectral Resolution | Data Segmentation | Fe | Cu | Ti | Co |
|---|---|---|---|---|---|
| 1 nm | Number of principal components | 5 | 4 | 18 | 5 |
| Training sets | 0.54 | 0.6 | 0.44 | 0.8 | |
| Validation sets | 0.54 | 0.59 | 0.41 | 0.78 | |
| 5 nm | Number of principal components | 5 | 5 | 13 | 5 |
| Training sets | 0.55 | 0.6 | 0.44 | 0.8 | |
| Validation sets | 0.54 | 0.59 | 0.41 | 0.78 | |
| 10 nm | Number of principal components | 5 | 4 | 12 | 5 |
| Training sets | 0.55 | 0.6 | 0.44 | 0.81 | |
| Validation sets | 0.54 | 0.59 | 0.35 | 0.78 | |
| 15 nm | Number of principal components | 8 | 7 | 13 | 7 |
| Training sets | 0.55 | 0.6 | 0.42 | 0.82 | |
| Validation sets | 0.5 | 0.59 | 0.33 | 0.79 | |
| 20 nm | Number of principal components | 1 | 5 | 14 | 6 |
| Training sets | 0.51 | 0.59 | 0.39 | 0.8 | |
| Validation sets | 0.47 | 0.58 | 0.37 | 0.78 |
| TP | Element | |||||||||||
|---|---|---|---|---|---|---|---|---|---|---|---|---|
| Fe | Cu | Ti | Co | |||||||||
| PCs | T | V | PCs | T | V | PCs | T | V | PCs | T | V | |
| R | 5 | 0.55 | 0.54 | 5 | 0.60 | 0.59 | 13 | 0.44 | 0.41 | 5 | 0.8 | 0.78 |
| C(R) | 17 | 0.66 | 0.60 | 16 | 0.62 | 0.59 | 17 | 0.71 | 0.63 | 17 | 0.69 | 0.6 |
| 5 | 0.50 | 0.50 | 6 | 0.65 | 0.63 | 14 | 0.52 | 0.45 | 10 | 0.82 | 0.8 | |
| 1/R | 1 | 0.47 | 0.52 | 4 | 0.66 | 0.65 | 9 | 0.46 | 0.42 | 9 | 0.83 | 0.78 |
| (R)′ | 16 | 0.38 | 0.39 | 4 | 0.42 | 0.39 | 1 | 0.17 | 0.13 | 8 | 0.73 | 0.73 |
| (R)″ | 18 | 0.37 | 0.36 | 4 | 0.40 | 0.37 | 1 | 0.16 | 0.11 | 8 | 0.70 | 0.60 |
| eR | 5 | 0.55 | 0.52 | 3 | 0.54 | 0.53 | 9 | 0.56 | 0.46 | 5 | 0.77 | 0.76 |
| 6 | 0.53 | 0.50 | 5 | 0.63 | 0.62 | 8 | 0.59 | 0.58 | 5 | 0.82 | 0.79 | |
| R^2 | 5 | 0.55 | 0.51 | 3 | 0.51 | 0.51 | 9 | 0.54 | 0.48 | 5 | 0.74 | 0.73 |
| Element Type | Band Index | Optimal Band Combination | Training Sets | Validation Sets | ||
|---|---|---|---|---|---|---|
| Regression Equation | R2 | MAE | RPD | |||
| Fe | Tb1 | (λ1937, λ1312, λ1812) | y = 642684x + 43225 | 0.638 | 1.523% | 1.310 |
| Tb2 | (λ1967, λ1397, λ2417) | y = 1 × 106x − 538605 | 0.655 | 1.598% | 1.268 | |
| Tb3 | (λ1397, λ1967, λ2417) | y = 299329x + 51763 | 0.654 | 1.459% | 1.369 | |
| Tb4 | (λ1942, λ1302, λ2417) | y = 288837x − 251738 | 0.619 | 1.420% | 1.392 | |
| Tb5 | (λ1397, λ2052, λ1912) | y = −22622x + 19386 | 0.581 | 1.343% | 1.415 | |
| Tb6 | (λ1397, λ1417, λ532) | y = −2 × 106x + 42801 | 0.675 | 1.616% | 1.260 | |
| Cu | Tb1 | (λ942, λ797, λ407) | y = 3018.5x + 28.577 | 0.385 | 28.939 | 1.275 |
| Tb2 | (λ782, λ732, λ952) | y = −5895.4x + 2950.3 | 0.388 | 25.985 | 1.278 | |
| Tb3 | (λ2437, λ2277, λ2147) | y =−799.44x − 36.584 | 0.549 | 23.657 | 1.489 | |
| Tb4 | (λ1722, λ637, λ2357) | y = −387.85x + 270.71 | 0.624 | 22.489 | 1.631 | |
| Tb5 | (λ2037, λ1927, λ2002) | y = −100.01x − 136.8 | 0.565 | 30.665 | 1.516 | |
| Tb6 | (λ797, λ937, λ602) | y = −1443.3x + 26.864 | 0.390 | 28.629 | 1.280 | |
| Ti | Tb1 | (λ1962, λ1397, λ1647) | y = 29958x + 3007.3 | 0.389 | 0.0432% | 1.279 |
| Tb2 | (λ2500, λ1052, λ1737) | y = 34949x − 15647 | 0.442 | 0.0418% | 1.339 | |
| Tb3 | (λ1737, λ2500, λ1052) | y = −9689.8x + 1786.6 | 0.444 | 0.0416% | 1.342 | |
| Tb4 | (λ1282, λ1092, λ1737) | y = 21390x − 19851 | 0.441 | 0.0419% | 1.337 | |
| Tb5 | (λ1962, λ1382, λ1392) | y = 69.963x + 3087.9 | 0.441 | 0.0400% | 1.337 | |
| Tb6 | (λ1397, λ1962, λ1647) | y = −15048x + 3007.9 | 0.390 | 0.0432% | 1.281 | |
| Co | Tb1 | (λ947, λ842, λ417) | y = 349.15x + 9.5702 | 0.523 | 3.964 | 1.448 |
| Tb2 | (λ1017, λ777, λ1142) | y = 261.11x − 119.82 | 0.495 | 3.798 | 1.407 | |
| Tb3 | (λ747, λ792, λ952) | y = −250.4x + 3.3574 | 0.743 | 2.754 | 1.973 | |
| Tb4 | (λ1617, λ977, λ2492) | y = 6.5417x + 25.165 | 0.564 | 3.859 | 1.514 | |
| Tb5 | (λ2242, λ2142, λ1937) | y = −20.281x − 4.6484 | 0.441 | 4.292 | 1.337 | |
| Tb6 | (λ2152, λ2067, λ712) | y = 456.3x + 28.246 | 0.654 | 3.389 | 1.701 | |
Disclaimer/Publisher’s Note: The statements, opinions and data contained in all publications are solely those of the individual author(s) and contributor(s) and not of MDPI and/or the editor(s). MDPI and/or the editor(s) disclaim responsibility for any injury to people or property resulting from any ideas, methods, instructions or products referred to in the content. |
© 2023 by the authors. Licensee MDPI, Basel, Switzerland. This article is an open access article distributed under the terms and conditions of the Creative Commons Attribution (CC BY) license (https://creativecommons.org/licenses/by/4.0/).
Share and Cite
Jiang, G.; Chen, X.; Wang, J.; Wang, S.; Zhou, S.; Bai, Y.; Liao, T.; Yang, H.; Ma, K.; Fan, X. Estimation of the Multielement Content in Rocks Based on a Combination of Visible–Near-Infrared Reflectance Spectroscopy and Band Index Analysis. Remote Sens. 2023, 15, 3591. https://doi.org/10.3390/rs15143591
Jiang G, Chen X, Wang J, Wang S, Zhou S, Bai Y, Liao T, Yang H, Ma K, Fan X. Estimation of the Multielement Content in Rocks Based on a Combination of Visible–Near-Infrared Reflectance Spectroscopy and Band Index Analysis. Remote Sensing. 2023; 15(14):3591. https://doi.org/10.3390/rs15143591
Chicago/Turabian StyleJiang, Guo, Xi Chen, Jinlin Wang, Shanshan Wang, Shuguang Zhou, Yong Bai, Tao Liao, He Yang, Kai Ma, and Xianglian Fan. 2023. "Estimation of the Multielement Content in Rocks Based on a Combination of Visible–Near-Infrared Reflectance Spectroscopy and Band Index Analysis" Remote Sensing 15, no. 14: 3591. https://doi.org/10.3390/rs15143591
APA StyleJiang, G., Chen, X., Wang, J., Wang, S., Zhou, S., Bai, Y., Liao, T., Yang, H., Ma, K., & Fan, X. (2023). Estimation of the Multielement Content in Rocks Based on a Combination of Visible–Near-Infrared Reflectance Spectroscopy and Band Index Analysis. Remote Sensing, 15(14), 3591. https://doi.org/10.3390/rs15143591





































