Mercury Prediction in Urban Soils by Remote Sensing and Relief Data Using Machine Learning Techniques
Abstract
1. Introduction
2. Study Area and Data Sources
2.1. Study Area
2.2. Data Sources
3. Methods
3.1. Enviromental Covariates and Processing
3.2. Machine Learning
3.2.1. Random Forest (RF)
3.2.2. Extreme Gradient Boosting (XGboost)
3.2.3. Cubist
3.2.4. k-Nearest Neighbor (kNN)
3.3. Validation and Uncertainty Analysis
3.4. Software
4. Results
4.1. Mercury Content
4.2. Model Performance
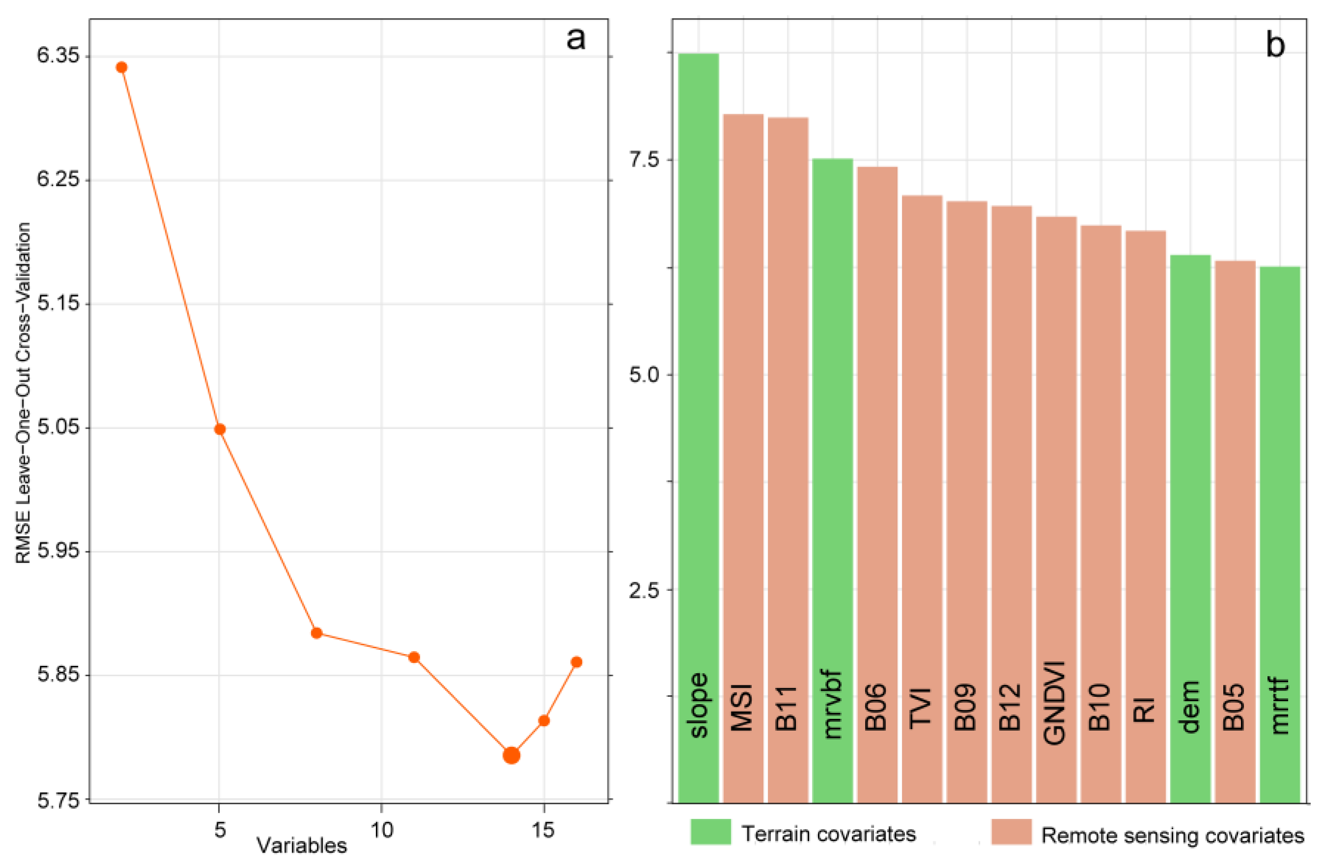
4.3. Optimal Number and Relative Importance of Environmental Variables
4.4. Generated Digital Map and Uncertainty
5. Discussion
5.1. Mercury Content
5.2. Model Performance
5.3. Importance of Covariates
5.4. Uncertainty and Limitations
6. Conclusions
- ML approaches in urban environments should be used in combination with other covariates that primarily affect HM concentrations, such as geology and anthropogenic variables. In open pristine landscapes, maps of soil properties (soil organic carbon or pH) that are characterized by a relationship to HM content should be included as explanatory variables.
- Testing methods that take into account the spatial dependence of soil properties, from simple geostatistical methods (e.g., ordinary kriging, IDW) to hybrid methods such as regression kriging or ML methods plus residuals kriging, should be used.
Author Contributions
Funding
Data Availability Statement
Conflicts of Interest
Appendix A
| Attribute | Acronym | Equation | Reference |
|---|---|---|---|
| Normalized Red | Rn | [58] | |
| Normalized Green | Gn | [58] | |
| Normalized Blue | Bn | [58] | |
| Normalized Difference Vegetation Index | NDVI | [59] | |
| Green Normalized Difference Vegetation Index | GNDVI | [60] | |
| Enhanced Vegetation Index | EVI | ) | [61] |
| Colour Index | CI | [62] | |
| Brightness Index | BI | [63] | |
| Brightness Index 2 | BI2 | [63] | |
| Transformed Vegetation Index | TVI | ( | [64] |
| Soil Adjusted Vegetation Index | SAVI | [61] | |
| Soil-Adjusted Total Vegetation Index | SATVI | [65] | |
| Redness Index | RI | [62] | |
| Moisture Stress Index | MSI | [66] | |
| Land Surface Water Index | LSWI | [67] | |
| Green-Red Vegetation Index | GRVI | [68] | |
| Saturation Index | SI | [69] | |
| Elevation | DEM | - | SRTM |
| Slope | Slope | - | SRTM |
| Aspect | As | - | SRTM |
| Multi-Resolution Ridge Top Flatness | MrRTF | - | SRTM |
| Multi-Resolution Valley Bottom Flatness | MrVBF | - | SRTM |
References
- Balali-Mood, M.; Naseri, K.; Tahergorabi, Z.; Khazdair, M.; Sadeghi, M. Toxic Mechanisms of Five Heavy Metals: Mercury, Lead, Chromium, Cadmium, and Arsenic. Front. Pharmacol. 2021, 12, 643972. [Google Scholar] [CrossRef] [PubMed]
- Polyakov, V.; Kozlov, A.; Suleymanov, A.; Abakumov, E. Soil Pollution Status of Urban Soils in St. Petersburg City, North-West of Russia. Soil Water Res. 2021, 16, 164–173. [Google Scholar] [CrossRef]
- Yang, Q.; Zhang, L.; Wang, H.; Martín, J.D. Bioavailability and Health Risk of Toxic Heavy Metals (As, Hg, Pb and Cd) in Urban Soils: A Monte Carlo Simulation Approach. Environ. Res. 2022, 214, 113772. [Google Scholar] [CrossRef]
- Bradl, H.B. (Ed.) Sources and Origins of Heavy Metals. In Interface Science and Technology; Heavy Metals in the Environment: Origin, Interaction and Remediation; Elsevier: Amsterdam, The Netherlands, 2005; Chapter 1; Volume 6, pp. 1–27. [Google Scholar]
- Opekunova, M.; Opekunov, A.; Somov, V.; Kukushkin, S.; Papyan, E. Transformation of Metals Migration and Biogeochemical Cycling under the Influence of Copper Mining Production (the Southern Urals). CATENA 2020, 189, 104512. [Google Scholar] [CrossRef]
- Suleymanov, R.; Dorogaya, E.; Gareev, A.; Minnegaliev, A.; Gaynanshin, M.; Zaikin, S.; Belan, L.; Tuktarova, I.; Suleymanov, A. Assessment of Chemical Properties, Heavy Metals, and Metalloid Contamination in Floodplain Soils under the Influence of Copper Mining: A Case Study of Sibay, Southern Urals. Ecologies 2022, 3, 530–538. [Google Scholar] [CrossRef]
- Malar, S.; Sahi, S.V.; Favas, P.J.C.; Venkatachalam, P. Assessment of Mercury Heavy Metal Toxicity-Induced Physiochemical and Molecular Changes in Sesbania grandiflora L. Int. J. Environ. Sci. Technol. 2015, 12, 3273–3282. [Google Scholar] [CrossRef]
- Perugini, M.; Manera, M.; Grotta, L.; Abete, M.C.; Tarasco, R.; Amorena, M. Heavy Metal (Hg, Cr, Cd, and Pb) Contamination in Urban Areas and Wildlife Reserves: Honeybees as Bioindicators. Biol. Trace Elem. Res. 2011, 140, 170–176. [Google Scholar] [CrossRef]
- Tangahu, B.V.; Sheikh Abdullah, S.R.; Basri, H.; Idris, M.; Anuar, N.; Mukhlisin, M. A Review on Heavy Metals (As, Pb, and Hg) Uptake by Plants through Phytoremediation. Int. J. Chem. Eng. 2011, 2011, e939161. [Google Scholar] [CrossRef]
- Zhao, H.; Wu, Y.; Lan, X.; Yang, Y.; Wu, X.; Du, L. Comprehensive Assessment of Harmful Heavy Metals in Contaminated Soil in Order to Score Pollution Level. Sci. Rep. 2022, 12, 3552. [Google Scholar] [CrossRef]
- McBratney, A.B.; Mendonça Santos, M.L.; Minasny, B. On Digital Soil Mapping. Geoderma 2003, 117, 3–52. [Google Scholar] [CrossRef]
- Arrouays, D.; McBratney, A.; Bouma, J.; Libohova, Z.; Richer-de-Forges, A.C.; Morgan, C.L.S.; Roudier, P.; Poggio, L.; Mulder, V.L. Impressions of Digital Soil Maps: The Good, the Not so Good, and Making Them Ever Better. Geoderma Reg. 2020, 20, e00255. [Google Scholar] [CrossRef]
- Wadoux, A.M.J.-C.; Minasny, B.; McBratney, A.B. Machine Learning for Digital Soil Mapping: Applications, Challenges and Suggested Solutions. Earth-Sci. Rev. 2020, 210, 103359. [Google Scholar] [CrossRef]
- Azizi, K.; Ayoubi, S.; Nabiollahi, K.; Garosi, Y.; Gislum, R. Predicting Heavy Metal Contents by Applying Machine Learning Approaches and Environmental Covariates in West of Iran. J. Geochem. Explor. 2022, 233, 106921. [Google Scholar] [CrossRef]
- Kirkwood, C.; Cave, M.; Beamish, D.; Grebby, S.; Ferreira, A. A Machine Learning Approach to Geochemical Mapping. J. Geochem. Explor. 2016, 167, 49–61. [Google Scholar] [CrossRef]
- Trifi, M.; Gasmi, A.; Carbone, C.; Majzlan, J.; Nasri, N.; Dermech, M.; Charef, A.; Elfil, H. Machine Learning-Based Prediction of Toxic Metals Concentration in an Acid Mine Drainage Environment, Northern Tunisia. Environ. Sci. Pollut. Res. 2022, 29, 87490–87508. [Google Scholar] [CrossRef] [PubMed]
- Chen, H.; Chen, C.; Zhang, Z.; Lu, C.; Wang, L.; He, X.; Chu, Y.; Chen, J. Changes of the spatial and temporal characteristics of land-use landscape patterns using multi-temporal Landsat satellite data: A case study of Zhoushan Island, China. Ocean Coast. Manag. 2021, 213, 105842. [Google Scholar] [CrossRef]
- Sun, W.; Liu, K.; Ren, G.; Liu, W.; Yang, G.; Meng, X.; Peng, J. A simple and effective spectral-spatial method for mapping large-scale coastal wetlands using China ZY1-02D satellite hyperspectral images. Int. J. Appl. Earth Obs. Geoinf. 2021, 104, 102572. [Google Scholar] [CrossRef]
- Florinsky, I.V.; Eilers, R.G.; Manning, G.R.; Fuller, L.G. Prediction of Soil Properties by Digital Terrain Modelling. Environ. Model. Softw. 2002, 17, 295–311. [Google Scholar] [CrossRef]
- Wang, F.; Gao, J.; Zha, Y. Hyperspectral Sensing of Heavy Metals in Soil and Vegetation: Feasibility and Challenges. ISPRS J. Photogramm. Remote Sens. 2018, 136, 73–84. [Google Scholar] [CrossRef]
- Hou, S.; Zheng, N.; Tang, L.; Ji, X.; Li, Y. Effect of Soil PH and Organic Matter Content on Heavy Metals Availability in Maize (Zea mays L.) Rhizospheric Soil of Non-Ferrous Metals Smelting Area. Environ. Monit. Assess. 2019, 191, 634. [Google Scholar] [CrossRef]
- Kooistra, L.; Wehrens, R.; Leuven, R.S.E.W.; Buydens, L.M.C. Possibilities of Visible–near-Infrared Spectroscopy for the Assessment of Soil Contamination in River Floodplains. Anal. Chim. Acta 2001, 446, 97–105. [Google Scholar] [CrossRef]
- Dunagan, S.C.; Gilmore, M.S.; Varekamp, J.C. Effects of Mercury on Visible/near-Infrared Reflectance Spectra of Mustard Spinach Plants (Brassica rapa P.). Environ. Pollut. 2007, 148, 301–311. [Google Scholar] [CrossRef] [PubMed]
- Zhao, L.; Hu, Y.-M.; Zhou, W.; Liu, Z.-H.; Pan, Y.-C.; Shi, Z.; Wang, L.; Wang, G.-X. Estimation Methods for Soil Mercury Content Using Hyperspectral Remote Sensing. Sustainability 2018, 10, 2474. [Google Scholar] [CrossRef]
- Khosravi, V.; Gholizadeh, A.; Saberioon, M. Soil Toxic Elements Determination Using Integration of Sentinel-2 and Landsat-8 Images: Effect of Fusion Techniques on Model Performance. Environ. Pollut. 2022, 310, 119828. [Google Scholar] [CrossRef] [PubMed]
- Mirzaei, F.; Abbasi, Y.; Sohrabi, T. Modeling the Distribution of Heavy Metals in Lands Irrigated by Wastewater Using Satellite Images of Sentinel-2. Egypt. J. Remote Sens. Space Sci. 2021, 24, 537–546. [Google Scholar] [CrossRef]
- Taghizadeh-Mehrjardi, R.; Fathizad, H.; Ali Hakimzadeh Ardakani, M.; Sodaiezadeh, H.; Kerry, R.; Heung, B.; Scholten, T. Spatio-Temporal Analysis of Heavy Metals in Arid Soils at the Catchment Scale Using Digital Soil Assessment and a Random Forest Model. Remote Sens. 2021, 13, 1698. [Google Scholar] [CrossRef]
- Yang, Y.; Cui, Q.; Jia, P.; Liu, J.; Bai, H. Estimating the Heavy Metal Concentrations in Topsoil in the Daxigou Mining Area, China, Using Multispectral Satellite Imagery. Sci. Rep. 2021, 11, 11718. [Google Scholar] [CrossRef] [PubMed]
- Ferreira, C.S.S.; Walsh, R.P.D.; Ferreira, A.J.D. Degradation in Urban Areas. Curr. Opin. Environ. Sci. Health 2018, 5, 19–25. [Google Scholar] [CrossRef]
- Seifollahi-Aghmiuni, S.; Kalantari, Z.; Egidi, G.; Gaburova, L.; Salvati, L. Urbanisation-Driven Land Degradation and Socioeconomic Challenges in Peri-Urban Areas: Insights from Southern Europe. Ambio 2022, 51, 1446–1458. [Google Scholar] [CrossRef]
- Vasenev, V.I.; Stoorvogel, J.J.; Vasenev, I.I.; Valentini, R. How to Map Soil Organic Carbon Stocks in Highly Urbanized Regions? Geoderma 2014, 226, 103–115. [Google Scholar] [CrossRef]
- Suleimanov, R.; Abakumov, E.; Suleymanov, A. Soil-Archaeological Study of the Votikeevo Medieval Archeological Site in the Northern Forest-Steppe Zone of the Southern Cis-Ural Region. Eurasian Soil Sci. 2020, 53, 283–293. [Google Scholar] [CrossRef]
- Suleymanov, A.; Suleimanov, R.; Abakumov, E.; Nigmatullin, A.; Khamidullin, R. Soil-Ecological Assessment of the M.I. Kalinin Park Ufa City, Russia. In Green Technologies and Infrastructure to Enhance Urban Ecosystem Services: Proceedings of the Smart and Sustainable Cities Conference 2018; Springer Geography; Springer: Berlin/Heidelberg, Germany, 2020; pp. 18–28. ISBN 978-3-319-89796-7. [Google Scholar]
- Potapov, A.I.; Vorobyov, V.N.; Karlin, J.H.; Muzalevsky, A.A. Monitoring, control and management of environmental quality. Part 2. Ecological control. In Scientific, Educational and Methodical Reference Manual; Russian State Hydrometeorological University: St. Petersburg, Russia, 2004; p. 290. [Google Scholar]
- Hengl, T.; Heuvelink, G.; Kempen, B.; Leenaars, J.G.B.; Walsh, M.; Shepherd, K.; Sila, A.; Macmillan, R.A.; Mendes de Jesus, J.; Tamene, L.; et al. Mapping Soil Properties of Africa at 250 m Resolution: Random Forests Significantly Improve Current Predictions. PLoS ONE 2015, 10, e0125814. [Google Scholar] [CrossRef]
- John, K.; Abraham Isong, I.; Michael Kebonye, N.; Okon Ayito, E.; Chapman Agyeman, P.; Marcus Afu, S. Using Machine Learning Algorithms to Estimate Soil Organic Carbon Variability with Environmental Variables and Soil Nutrient Indicators in an Alluvial Soil. Land 2020, 9, 487. [Google Scholar] [CrossRef]
- Khaledian, Y.; Miller, B.A. Selecting Appropriate Machine Learning Methods for Digital Soil Mapping. Appl. Math. Model. 2020, 81, 401–418. [Google Scholar] [CrossRef]
- Mahmoudzadeh, H.; Matinfar, H.R.; Taghizadeh-Mehrjardi, R.; Kerry, R. Spatial Prediction of Soil Organic Carbon Using Machine Learning Techniques in Western Iran. Geoderma Reg. 2020, 21, e00260. [Google Scholar] [CrossRef]
- Suleymanov, A.; Tuktarova, I.; Belan, L.; Suleymanov, R.; Gabbasova, I.; Araslanova, L. Spatial Prediction of Soil Properties Using Random Forest, k-Nearest Neighbors and Cubist Approaches in the Foothills of the Ural Mountains, Russia. Model. Earth Syst. Environ. 2023. [Google Scholar] [CrossRef]
- Breiman, L. Random Forests. Mach. Learn. 2001, 45, 5–32. [Google Scholar] [CrossRef]
- Friedman, J.H. Stochastic Gradient Boosting. Comput. Stat. Data Anal. 2002, 38, 367–378. [Google Scholar] [CrossRef]
- Kuhn, M.; Johnson, K. Applied Predictive Modeling; Springer: New York, NY, USA, 2013. [Google Scholar]
- McRoberts, R.E. Estimating Forest Attribute Parameters for Small Areas Using Nearest Neighbors Techniques. For. Ecol. Manag. 2012, 272, 3–12. [Google Scholar] [CrossRef]
- Yang, Z.; Lu, W.; Long, Y.; Bao, X.; Yang, Q. Assessment of Heavy Metals Contamination in Urban Topsoil from Changchun City, China. J. Geochem. Explor. 2011, 108, 27–38. [Google Scholar] [CrossRef]
- Shi, S.; Hou, M.; Gu, Z.; Jiang, C.; Zhang, W.; Hou, M.; Li, C.; Xi, Z. Estimation of Heavy Metal Content in Soil Based on Machine Learning Models. Land 2022, 11, 1037. [Google Scholar] [CrossRef]
- Fu, P.; Yang, Y.; Zou, Y. Prediction of Soil Heavy Metal Distribution Using Geographically Weighted Regression Kriging. Bull Environ. Contam. Toxicol. 2022, 108, 344–350. [Google Scholar] [CrossRef]
- Sergeev, A.P.; Buevich, A.G.; Baglaeva, E.M.; Shichkin, A.V. Combining Spatial Autocorrelation with Machine Learning Increases Prediction Accuracy of Soil Heavy Metals. CATENA 2019, 174, 425–435. [Google Scholar] [CrossRef]
- Shi, T.; Hu, X.; Guo, L.; Su, F.; Tu, W.; Hu, Z.; Liu, H.; Yang, C.; Wang, J.; Zhang, J.; et al. Digital Mapping of Zinc in Urban Topsoil Using Multisource Geospatial Data and Random Forest. Sci. Total Environ. 2021, 792, 148455. [Google Scholar] [CrossRef] [PubMed]
- Wu, Z.; Chen, Y.; Yang, Z.; Liu, Y.; Zhu, Y.; Tong, Z.; An, R. Spatial Distribution of Lead Concentration in Peri-Urban Soil: Threshold and Interaction Effects of Environmental Variables. Geoderma 2023, 429, 116193. [Google Scholar] [CrossRef]
- Evangelou, M.W.H.; Ebel, M.; Schaeffer, A. Chelate Assisted Phytoextraction of Heavy Metals from Soil. Effect, Mechanism, Toxicity, and Fate of Chelating Agents. Chemosphere 2007, 68, 989–1003. [Google Scholar] [CrossRef] [PubMed]
- Wu, Y.Z.; Chen, J.; Ji, J.F.; Tian, Q.J.; Wu, X.M. Feasibility of Reflectance Spectroscopy for the Assessment of Soil Mercury Contamination. Environ. Sci. Technol. 2005, 39, 873–878. [Google Scholar] [CrossRef] [PubMed]
- Kemper, T.; Sommer, S. Estimate of Heavy Metal Contamination in Soils after a Mining Accident Using Reflectance Spectroscopy. Environ. Sci. Technol. 2002, 36, 2742–2747. [Google Scholar] [CrossRef]
- Skyllberg, U.; Bloom, P.R.; Qian, J.; Lin, C.-M.; Bleam, W.F. Complexation of Mercury(II) in Soil Organic Matter: EXAFS Evidence for Linear Two-Coordination with Reduced Sulfur Groups. Environ. Sci. Technol. 2006, 40, 4174–4180. [Google Scholar] [CrossRef] [PubMed]
- Yin, Y.; Allen, H.E.; Li, Y.; Huang, C.P.; Sanders, P.F. Adsorption of Mercury(II) by Soil: Effects of PH, Chloride, and Organic Matter. J. Environ. Qual. 1996, 25, 837–844. [Google Scholar] [CrossRef]
- Ballabio, C.; Jiskra, M.; Osterwalder, S.; Borrelli, P.; Montanarella, L.; Panagos, P. A Spatial Assessment of Mercury Content in the European Union Topsoil. Sci. Total Environ. 2021, 769, 144755. [Google Scholar] [CrossRef]
- Peng, Y.; Kheir, R.B.; Adhikari, K.; Malinowski, R.; Greve, M.B.; Knadel, M.; Greve, M.H. Digital Mapping of Toxic Metals in Qatari Soils Using Remote Sensing and Ancillary Data. Remote Sens. 2016, 8, 1003. [Google Scholar] [CrossRef]
- Heuvelink, G. Uncertainty Quantification of GlobalSoilMap Products. GlobalSoilMap: Basis of the Global Spatial Soil Information System. In Proceedings of the 1st GlobalSoilMap Conference, Orléans, France, 7–9 October 2014; pp. 335–340. [Google Scholar] [CrossRef]
- Kawashima, S.; Nakatani, M. An Algorithm for Estimating Chlorophyll Content in Leaves Using a Video Camera. Ann. Bot. 1998, 81, 49–54. [Google Scholar] [CrossRef]
- Rouse, J.W.; Haas, R.H.; Schell, J.A.; Deering, D.W. Monitoring Vegetation Systems in the Great Plains with ERTS. NASA Spec. Publ. 1974, 351, 309. [Google Scholar]
- Gitelson, A.A.; Kaufman, Y.J.; Merzlyak, M.N. Use of a Green Channel in Remote Sensing of Global Vegetation from EOS-MODIS. Remote Sens. Environ. 1996, 58, 289–298. [Google Scholar] [CrossRef]
- Huete, A.; Didan, K.; Miura, T.; Rodriguez, E.P.; Gao, X.; Ferreira, L.G. Overview of the Radiometric and Biophysical Performance of the MODIS Vegetation Indices. Remote Sens. Environ. 2002, 83, 195–213. [Google Scholar] [CrossRef]
- Pouget, M.; Madeira, J.; Le Floch, E.; Kamal, S. Caracteristiques spectrales des surfaces sableuses de la region cotiere Nord-Ouest de I’Egypte: Application aux donnees satellitaires SPOT. In 2eme JoumCes de T&detection: Caracterisation et Suivi des Milieux Terrestres en Regions Arides et Tropicales, Proceedings of the ORSTOM, Collection Colloques et Seminaires, Paris, France, 4–6 December 1990; UNESCO: Paris, France, 1990. [Google Scholar]
- Escadafal, R. Remote Sensing of Arid Soil Surface Color with Landsat Thematic Mapper. Adv. Space Res. 1989, 9, 159–163. [Google Scholar] [CrossRef]
- Nellis, M.D.; Briggs, J.M. Transformed Vegetation Index for Measuring Spatial Variation in Drought Impacted Biomass on Konza Prairie, Kansas. Trans. Kans. Acad. Sci. 1992, 95, 93–99. [Google Scholar] [CrossRef]
- Marsett, R.C.; Qi, J.; Heilman, P.; Biedenbender, S.H.; Watson, M.C.; Amer, S.; Weltz, M.; Goodrich, D.; Marsett, R. Remote sensing for grassland management in the arid southwest. Rangel. Ecol. Manag. 2006, 59, 530–540. [Google Scholar] [CrossRef]
- Rock, B.N.; Vogelmann, J.E.; Williams, D.L. Field and Airborne Spectral Characterization of Suspected Damage in Red Spruce (Picea Rubens) from Vermont; NASA: Washington, DC, USA, 1985.
- Xiao, X.; Zhang, Q.; Braswell, B.; Urbanski, S.; Boles, S.; Wofsy, S.; Moore, B.; Ojima, D. Modeling Gross Primary Production of Temperate Deciduous Broadleaf Forest Using Satellite Images and Climate Data. Remote Sens. Environ. 2004, 91, 256–270. [Google Scholar] [CrossRef]
- Tucker, C.J. Red and Photographic Infrared Linear Combinations for Monitoring Vegetation. Remote Sens. Environ. 1979, 8, 127–150. [Google Scholar] [CrossRef]
- Levin, N.; Ben-Dor, E.; Singer, A. A Digital Camera as a Tool to Measure Color Indices and Related Properties of Sandy Soils in Semi-Arid Environments. Int. J. Remote Sens. 2005, 26, 5475–5492. [Google Scholar] [CrossRef]





| Parameter | Min | Max | Mean | SD 1 | CV 2 | Kurtosis | Skewness |
|---|---|---|---|---|---|---|---|
| Hg | 0.005 | 0.58 | 0.05 | 0.06 | 123.8 | 30.1 | 4.9 |
| ML Approach | MAE, mg/kg | RMSE, mg/kg |
|---|---|---|
| RF | 0.029 | 0.065 |
| XGBoost | 0.032 | 0.073 |
| Cubist | 0.031 | 0.066 |
| kNN | 0.031 | 0.067 |
Disclaimer/Publisher’s Note: The statements, opinions and data contained in all publications are solely those of the individual author(s) and contributor(s) and not of MDPI and/or the editor(s). MDPI and/or the editor(s) disclaim responsibility for any injury to people or property resulting from any ideas, methods, instructions or products referred to in the content. |
© 2023 by the authors. Licensee MDPI, Basel, Switzerland. This article is an open access article distributed under the terms and conditions of the Creative Commons Attribution (CC BY) license (https://creativecommons.org/licenses/by/4.0/).
Share and Cite
Suleymanov, A.; Suleymanov, R.; Kulagin, A.; Yurkevich, M. Mercury Prediction in Urban Soils by Remote Sensing and Relief Data Using Machine Learning Techniques. Remote Sens. 2023, 15, 3158. https://doi.org/10.3390/rs15123158
Suleymanov A, Suleymanov R, Kulagin A, Yurkevich M. Mercury Prediction in Urban Soils by Remote Sensing and Relief Data Using Machine Learning Techniques. Remote Sensing. 2023; 15(12):3158. https://doi.org/10.3390/rs15123158
Chicago/Turabian StyleSuleymanov, Azamat, Ruslan Suleymanov, Andrey Kulagin, and Marija Yurkevich. 2023. "Mercury Prediction in Urban Soils by Remote Sensing and Relief Data Using Machine Learning Techniques" Remote Sensing 15, no. 12: 3158. https://doi.org/10.3390/rs15123158
APA StyleSuleymanov, A., Suleymanov, R., Kulagin, A., & Yurkevich, M. (2023). Mercury Prediction in Urban Soils by Remote Sensing and Relief Data Using Machine Learning Techniques. Remote Sensing, 15(12), 3158. https://doi.org/10.3390/rs15123158

