Global Analysis of the Cover-Management Factor for Soil Erosion Modeling
Abstract
1. Introduction
2. Data and Methods
2.1. Search Strategy and Selection Criteria
2.2. Data Extraction and Analysis
3. C-Factor Values Based on Field Experiments
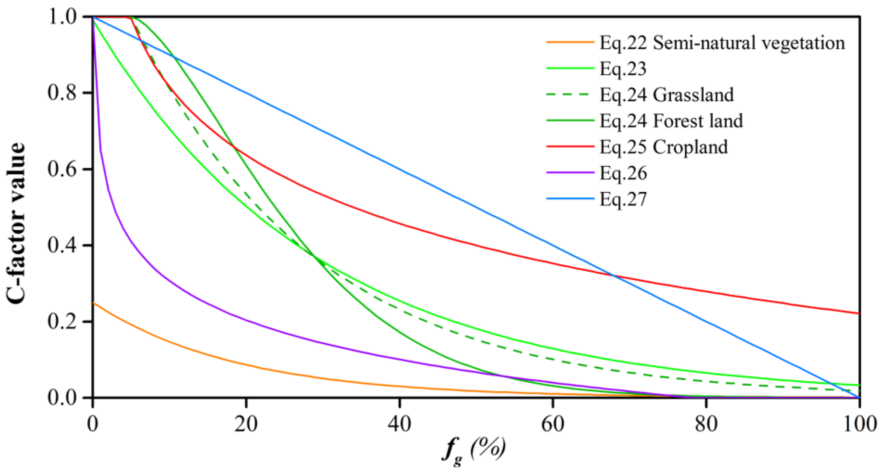
4. Quantification of C-Factor for USLE-Type Modeling
4.1. Methods for Quantifying the C-Factor Values
4.1.1. C-Factor Estimation Based on Subfactors (M1)
4.1.2. C-Factor Estimated According to Land Cover Classification (M2)
4.1.3. C-Factor Estimated by Vegetation Indices (M3)
4.1.4. C-Factor Estimated by Vegetation Coverage (M4)
4.1.5. C-Factor Estimated by Spectral Mixture Analysis (M5)
4.1.6. C-Factor Estimation Based on other Methods (M6)
4.2. Application of the Methods for C-Factor Quantification
4.3. Comparison of the Methods of C-Factor for Large Study Areas
5. Discussions
5.1. Comparison of the Main Methods of C-Factor for USLE-Type Modeling
5.2. C-Factor Estimation for USLE-Type Modeling at Large Scale
5.3. Limitations and Future Improvements
6. Conclusions
Supplementary Materials
Author Contributions
Funding
Institutional Review Board Statement
Informed Consent Statement
Data Availability Statement
Conflicts of Interest
References
- Borrelli, P.; Panagos, P.; Langhammer, J.; Apostol, B.; Schütt, B. Assessment of the cover changes and the soil loss potential in European forestland: First approach to derive indicators to capture the ecological impacts on soil-related forest ecosystems. Ecol. Indic. 2016, 60, 1208–1220. [Google Scholar] [CrossRef]
- García-Ruiz, J.M.; Beguería, S.; Lanarenault, N.; Nadal-Romero, E.; Cerdà, A. Ongoing and Emerging Questions in Water Erosion Studies. Land Degrad. Dev. 2017, 28, 5–21. [Google Scholar] [CrossRef]
- Zhang, K.; Yu, Y.; Dong, J.; Yang, Q.; Xu, X. Adapting & testing use of USLE K factor for agricultural soils in China. Agric. Ecosyst. Environ. 2018, 269, 148–155. [Google Scholar] [CrossRef]
- Xiong, M.; Sun, R.; Chen, L. Global analysis of support practices in USLE-based soil erosion modeling. Prog. Phys. Geogr. Earth Environ. 2019, 43, 391–409. [Google Scholar] [CrossRef]
- Karydas, C.G.; Panagos, P.; Gitas, I.Z. A classification of water erosion models according to their geospatial char-acteristics. Int. J. Digit. Earth 2014, 7, 229–250. [Google Scholar] [CrossRef]
- Benavidez, R.; Jackson, B.; Maxwell, D.; Norton, K. A review of the (Revised) Universal Soil Loss Equation ((R)USLE): With a view to increasing its global applicability and improving soil loss estimates. Hydrol. Earth Syst. Sci. 2018, 22, 6059–6086. [Google Scholar] [CrossRef]
- Panagos, P.; Borrelli, P.; Meusburger, K.; Alewell, C.; Lugato, E.; Montanarella, L. Estimating the soil erosion cover-management factor at the European scale. Land Use Policy 2015, 48, 38–50. [Google Scholar] [CrossRef]
- de Asis, A.M.; Omasa, K. Estimation of vegetation parameter for modeling soil erosion using linear Spectral Mixture Analysis of Landsat ETM data. ISPRS J. Photogramm. Remote Sens. 2007, 62, 309–324. [Google Scholar] [CrossRef]
- Renard, K.G.; Foster, G.R.; McCool, W.D.K.; Yoder, D.C. Predicting Soil Erosion by Water: A Guide to Conservation Planning with the Revised Universal Soil Loss Equation; Agricultural Handbook 703; United States Departmetn of Agriculture: Washington, DC, USA, 1997.
- Wischmeier, W.H.; Smith, D.D. Predicting Rainfall Erosion Losses: A Guide to Conservation Planning; Agricultural Handbook 537; Science and Education Administration, U.S. Dept. of Agriculture: Washington, DC, USA, 1978. [Google Scholar]
- de Jong, S.; Paracchini, M.; Bertolo, F.; Folving, S.; Megier, J.; de Roo, A. Regional assessment of soil erosion using the distributed model SEMMED and remotely sensed data. Catena 1999, 37, 291–308. [Google Scholar] [CrossRef]
- NSERL. WEPP User Summary; National Soil Erosion Research Laboratory, US Department of Agriculture: West Lafayette, IN, USA, 1995. [Google Scholar]
- Arnold, J.G.; Moriasi, D.N.; Gassman, P.W.; Abbaspour, K.C.; White, M.J. SWAT: Model use, calibration, and vali-dation. Am. Soc. Agric. Biol. Eng. 2012, 55, 1491–1508. [Google Scholar]
- Bangash, R.F.; Passuello, A.; Sanchez-Canales, M.; Terrado, M.; López, A.; Elorza, F.J.; Ziv, G.; Acuña, V.; Schuhmacher, M. Ecosystem services in Mediterranean river basin: Climate change impact on water provisioning and erosion control. Sci. Total Environ. 2013, 458–460, 246–255. [Google Scholar] [CrossRef] [PubMed]
- Cilek, A.; Berberoglu, S.; Kirkby, M.; Irvine, B.; Donmez, C.; Erdogan, M. Erosion Modelling In A Mediterranean Subcatchment Under Climate Change Scenarios Using Pan-European Soil Erosion Risk Assessment (PESERA). ISPRS Int. Arch. Photogramm. Remote Sens. Spat. Inf. Sci. 2015, XL-7/W3, 359–365. [Google Scholar] [CrossRef]
- Alewell, C.; Borrelli, P.; Meusburger, K.; Panagos, P. Using the USLE: Chances, challenges and limitations of soil erosion modelling. Int. Soil Water Conserv. Res. 2019, 7, 203–225. [Google Scholar] [CrossRef]
- Borrelli, P.; Robinson, D.A.; Fleischer, L.R.; Lugato, E.; Ballabio, C.; Alewell, C.; Meusburger, K.; Modugno, S.; Schütt, B.; Ferro, V.; et al. An assessment of the global impact of 21st century land use change on soil erosion. Nat. Commun. 2017, 8, 2013. [Google Scholar] [CrossRef]
- Panagos, P.; Borrelli, P.; Poesen, J.; Ballabio, C.; Lugato, E.; Meusburger, K.; Montanarella, L.; Alewell, C. The new assessment of soil loss by water erosion in Europe. Environ. Sci. Policy 2015, 54, 438–447. [Google Scholar] [CrossRef]
- Phinzi, K.; Ngetar, N.S. The assessment of water-borne erosion at catchment level using GIS-based RUSLE and remote sensing: A review. Int. Soil Water Conserv. Res. 2019, 7, 27–46. [Google Scholar] [CrossRef]
- Kinnell, P. Event soil loss, runoff and the Universal Soil Loss Equation family of models: A review. J. Hydrol. 2010, 385, 384–397. [Google Scholar] [CrossRef]
- Feng, Q.; Zhao, W.; Ding, J.; Fang, X.; Zhang, X. Estimation of the cover and management factor based on stratified coverage and remote sensing indices: A case study in the Loess Plateau of China. J. Soils Sediments 2018, 18, 775–790. [Google Scholar] [CrossRef]
- Feng, Q.; Zhao, W.W. The study on cover-management factor in USLE and RUSLE: A review. Acta Ecol. Sin. 2014, 34, 4461–4472. [Google Scholar]
- Vatandaslar, C.; Yavuz, M. Modeling cover management factor of RUSLE using very high-resolution satellite im-agery in a semiarid watershed. Environ. Earth Sci. 2017, 76, 65. [Google Scholar] [CrossRef]
- Arnhold, S.; Lindner, S.; Lee, B.; Martin, E.; Kettering, J.; Trung Thanh, N.; Koellner, T.; Ok, Y.S.; Huwe, B. Conven-tional and organic farming: Soil erosion and conservation potential for row crop cultivation. Geoderma 2014, 219, 89–105. [Google Scholar] [CrossRef]
- Fernández, C.; Vega, J.A.; Vieira, D. Assessing soil erosion after fire and rehabilitation treatments in NW Spain: Performance of rusle and revised Morgan-Morgan-Finney models. Land Degrad. Dev. 2010, 21, 58–67. [Google Scholar] [CrossRef]
- Zhang, H.; Wang, Q.; Dai, L.; Shao, G.; Tang, L.; Wang, S.; Gu, H. Quantifying soil erosion with GIS-based RUSLE under different forest management options in Jianchang Forest Farm. Sci. China Technol. Sci. 2006, 49, 160–166. [Google Scholar] [CrossRef]
- Mallick, J.; Alashker, Y.; Mohammad, S.A.-D.; Ahmed, M.; Hasan, M.A. Risk assessment of soil erosion in semi-arid mountainous watershed in Saudi Arabia by RUSLE model coupled with remote sensing and GIS. Geocarto Int. 2014, 29, 915–940. [Google Scholar] [CrossRef]
- Naqvi, H.R.; Mallick, J.; Devi, L.M.; Siddiqui, M.A. Multi-temporal annual soil loss risk mapping employing Revised Universal Soil Loss Equation (RUSLE) model in Nun Nadi Watershed, Uttrakhand (India). Arab. J. Geosci. 2012, 6, 4045–4056. [Google Scholar] [CrossRef]
- Zhou, P.; Nieminen, J.; Tokola, T.; Luukkanen, O.; Oliver, T. Large scale soil erosion modeling for a mountainous watershed. In Geo-Environment and Landscape Evolution II: Evolution, Monitoring, Simulation, Management and Remediation of the Geological Environment and Landscape; Wit Press: Billerica, MA, USA, 2006; pp. 55–66. [Google Scholar]
- Krasa, J.; Dostal, T.; Vrana, K.; Plocek, J. Predicting spatial patterns of sediment delivery and impacts of land-use scenarios on sediment transport in Czech catchments. Land Degrad. Dev. 2009, 21, 367–375. [Google Scholar] [CrossRef]
- Latocha, A.; Szymanowski, M.; Jeziorska, J.; Stec, M.; Roszczewska, M. Effects of land abandonment and climate change on soil erosion—An example from depopulated agricultural lands in the Sudetes Mts., SW Poland. Catena 2016, 145, 128–141. [Google Scholar] [CrossRef]
- Teng, H.; Liang, Z.; Chen, S.; Liu, Y.; Rossel, R.A.V.; Chappell, A.; Yu, W.; Shi, Z. Current and future assessments of soil erosion by water on the Tibetan Plateau based on RUSLE and CMIP5 climate models. Sci. Total Environ. 2018, 635, 673–686. [Google Scholar] [CrossRef]
- Villarreal, M.L.; Webb, R.H.; Norman, L.M.; Psillas, J.L.; Rosenberg, A.S.; Carmichael, S.; Petrakis, R.E.; Sparks, P.E. Modeling Landscape-scale Erosion Potential Related to Vehicle Disturbances Along the USA-Mexico Border. Land Degrad. Dev. 2014, 27, 1106–1121. [Google Scholar] [CrossRef]
- Lu, H.; Prosser, I.P.; Moran, C.J.; Gallant, J.C.; Priestley, G.; Stevenson, J.G. Predicting sheetwash and rill erosion over the Australian continent. Soil Res. 2003, 41, 1037–1062. [Google Scholar] [CrossRef]
- Teng, H.; Rossel, R.A.V.; Shi, Z.; Behrens, T.; Chappell, A.; Bui, E. Assimilating satellite imagery and visible–near infrared spectroscopy to model and map soil loss by water erosion in Australia. Environ. Model. Softw. 2015, 77, 156–167. [Google Scholar] [CrossRef]
- Park, S.; Oh, C.; Jeon, S.; Jung, H.; Choi, C. Soil erosion risk in Korean watersheds, assessed using the revised universal soil loss equation. J. Hydrol. 2011, 399, 263–273. [Google Scholar] [CrossRef]
- Lee, E.; Ahn, S.; Im, S. Estimation of soil erosion rate in the Democratic People’s Republic of Korea using the RUSLE model. For. Sci. Technol. 2017, 13, 100–108. [Google Scholar] [CrossRef]
- Pasztor, L.; Waltner, I.; Centeri, C.; Belenyesi, M.; Takacs, K. Soil erosion of Hungary assessed by spatially explicit modelling. J. Maps 2016, 12, 407–414. [Google Scholar] [CrossRef]
- Waltner, I.; Saeidi, S.; Grósz, J.; Centeri, C.; Laborczi, A.; Pásztor, L. Spatial Assessment of the Effects of Land Cover Change on Soil Erosion in Hungary from 1990 to 2018. ISPRS Int. J. Geo-Inf. 2020, 9, 667. [Google Scholar] [CrossRef]
- Pham, T.N.; Yang, D.; Kanae, S.; Oki, T.; Musiake, K. Application of RUSLE Model on Global Soil Erosion Estimate. Proc. Hydraul. Eng. 2001, 45, 811–816. [Google Scholar] [CrossRef]
- Yang, D.; Kanae, S.; Oki, T.; Koike, T.; Musiake, K. Global potential soil erosion with reference to land use and climate changes. Hydrol. Process. 2003, 17, 2913–2928. [Google Scholar] [CrossRef]
- SooHoo, W.M.; Wang, C.; Li, H. Geospatial assessment of bioenergy land use and its impacts on soil erosion in the U.S. Midwest. J. Environ. Manag. 2017, 190, 188–196. [Google Scholar] [CrossRef]
- Wijesundara, N.C.; Abeysingha, N.S.; Dissanayake, D.M.S.L.B. GIS-based soil loss estimation using RUSLE model: A case of Kirindi Oya river basin, Sri Lanka. Model. Earth Syst. Environ. 2018, 4, 251–262. [Google Scholar] [CrossRef]
- Yan, H.; Wang, L.; Wang, T.; Wang, Z.; Shi, Z. A synthesized approach for estimating the C-factor of RUSLE for a mixed-landscape watershed: A case study in the Gongshui watershed, southern China. Agric. Ecosyst. Environ. 2020, 301, 107009. [Google Scholar] [CrossRef]
- Liu, H.; Zhao, W.; Liu, Y. Assessment on the Soil Retention Service of Water Erosion in the Nile River Basin Considering Vegetation Factor Variance from 1982 to 2013. Water 2020, 12, 2018. [Google Scholar] [CrossRef]
- De Jong, S.M.; Brouwer, L.C.; Riezebos, H.T. Erosion Hazard Assessment in the Peyne Catchment, France; Utrecht University: Utrecht, The Netherlands, 1998. [Google Scholar]
- Demirci, A.; Karaburun, A. Estimation of soil erosion using RUSLE in a GIS framework: A case study in the Buyukcekmece Lake watershed, northwest Turkey. Environ. Earth Sci. 2011, 66, 903–913. [Google Scholar] [CrossRef]
- Jamshidi, R.; Dragovich, D.; Webb, A.A. Native forest C factor determination using satellite imagery in four sub-catchments. In Revisiting Experimental Catchment Studies in Forest Hydrology; IAHS Press: Wallingford, UK, 2012; pp. 64–73. [Google Scholar]
- Toumi, S.; Meddi, M.; Mahé, G.; Brou, Y.T. Remote sensing and GIS applied to the mapping of soil loss by erosion in the Wadi Mina catchment. Hydrol. Sci. J. 2013, 58, 1542–1558. [Google Scholar] [CrossRef]
- Durigon, V.L.; de Carvalho, D.F.; Antunes, M.A.H.; Oliveira, P.T.; Fernandes, M.M. NDVI time series for monitoring RUSLE cover management factor in a tropical watershed. Int. J. Remote Sens. 2014, 35, 441–453. [Google Scholar] [CrossRef]
- Fallah, M.; Kavian, A.; Omidvar, E. Watershed prioritization in order to implement soil and water conservation practices. Environ. Earth Sci. 2016, 75, 1248. [Google Scholar] [CrossRef]
- Joshi, V.U. Soil Loss Estimation based on RUSLE along the Central Hunter Valley Region, NSW, Australia. J. Geol. Soc. India 2018, 91, 554–562. [Google Scholar] [CrossRef]
- Colman, C.B. Impacts of Climate and Land Use Changes on Soil Erosion in the Upper Paraguay Basin; Federal University of Mato Grosso do Sul: Campo Grande, Brazil, 2018. [Google Scholar]
- Oliveira, P.T.S.; Nearing, M.A.; Wendland, E. Orders of magnitude increase in soil erosion associated with land use change from native to cultivated vegetation in a Brazilian savannah environment. Earth Surf. Process. Landforms 2015, 40, 1524–1532. [Google Scholar] [CrossRef]
- Almagro, A.; Thomé, T.C.; Colman, C.B.; Pereira, R.B.; Junior, J.M.; Rodrigues, D.B.B.; Oliveira, P.T.S. Improving cover and management factor (C-factor) estimation using remote sensing approaches for tropical regions. Int. Soil Water Conserv. Res. 2019, 7, 325–334. [Google Scholar] [CrossRef]
- Erencin, Z. C-Factor Mapping Using Remote Sensing and GIS: A Case Study of Lom Sak/Lom Kao, Thailand; Geographisches Institut der Justus-Liebig-Universität Giessen and Soil Science Division International Institute for Aerospace Survey and Earth Sciences: Enschede, The Netherlands, 2000. [Google Scholar]
- Gupita, D.D.; Murti, S.H.B.S. Soil erosion and its correlation with vegetation cover: An assesment using multispectral imagery and pixel-based geographic information system in Gesing Sub-Watershed, Central Java, Indonesia. In Proceedings of the 3rd International Symposium on LAPAN-IPB Satellite for Food Security and Environmental Monitoring 2016, Bogor, Indonesia, 25–26 October 2016; IOP Publishing Ltd.: Bristol, UK, 2017. [Google Scholar]
- Uddin, K.; Murthy, M.S.R.; Wahid, S.M.; Matin, M.A. Estimation of Soil Erosion Dynamics in the Koshi Basin Using GIS and Remote Sensing to Assess Priority Areas for Conservation. PLoS ONE 2016, 11, e0150494. [Google Scholar] [CrossRef]
- EUR 19022 EN; Soil Erosion Risk Assessment in Italy. European Soil Bureau: Ispra, Italy, 1999.
- Lin, C.-Y.; Lin, W.-T.; Chou, W.-C. Soil erosion prediction and sediment yield estimation: The Taiwan experience. Soil Tillage Res. 2002, 68, 143–152. [Google Scholar] [CrossRef]
- Mazour, M.; Roose, E. Influence de la couverture végétale sur le ruissellement et l’érosion des sols sur parcelles d’érosion dans des bassins versants du Nord-Ouest de l’Algérie. Bull. Réseau Eros. 2002, 21, 320–330. (In French) [Google Scholar]
- Suriyaprasita, M.; Shrestha, D.P. Deriving land use and canopy cover factor from remote sensing and field data in inaccessible mountainous terrain for use in soil erosion modeling. In International Archives of the Photogrammetry, Remote Sensing and Spatial Information Sciences; International Society for Photogrammetry and Remote Sensing: Beijing, China, 2008; pp. 1747–1750. [Google Scholar]
- Wickama, J.; Masselink, R.; Sterk, G. The effectiveness of soil conservation measures at a landscape scale in the West Usambara highlands, Tanzania. Geoderma 2015, 241–242, 168–179. [Google Scholar] [CrossRef]
- Bahrawi, J.A.; Elhag, M.; Aldhebiani, A.Y.; Galal, H.K.; Hegazy, A.K.; Alghailani, E. Soil Erosion Estimation Using Remote Sensing Techniques in Wadi Yalamlam Basin, Saudi Arabia. Adv. Mater. Sci. Eng. 2016, 2016, 9585962. [Google Scholar] [CrossRef]
- Kulikov, M.; Schickhoff, U.; Borchardt, P. Spatial and seasonal dynamics of soil loss ratio in mountain rangelands of south-western Kyrgyzstan. J. Mt. Sci. 2016, 13, 316–329. [Google Scholar] [CrossRef]
- Alexakis, D.D.; Hadjimitsis, D.G.; Agapiou, A. Integrated use of remote sensing, GIS and precipitation data for the assessment of soil erosion rate in the catchment area of “Yialias” in Cyprus. Atmos. Res. 2013, 131, 108–124. [Google Scholar] [CrossRef]
- Alexandridis, T.; Sotiropoulou, A.M.; Bilas, G.; Karapetsas, N.; Silleos, N.G. The effects of seasonality in estimating the C-factor of soil erosion studies. Land Degrad. Dev. 2015, 26, 596–603. [Google Scholar] [CrossRef]
- Guerra, C.A.; Maes, J.; Geijzendorffer, I.; Metzger, M.J. An assessment of soil erosion prevention by vegetation in Mediterranean Europe: Current trends of ecosystem service provision. Ecol. Indic. 2016, 60, 213–222. [Google Scholar] [CrossRef]
- Heung, B.; Bakker, L.; Schmidt, M.G.; Dragićević, S. Modelling the dynamics of soil redistribution induced by sheet erosion using the Universal Soil Loss Equation and cellular automata. Geoderma 2013, 202–203, 112–125. [Google Scholar] [CrossRef]
- Omuto, C.T.; Vargas, R.R. Combining pedometrics, remote sensing and field observations for assessing soil loss in challenging drylands: A case study of Northwestern Somalia. Land Degrad. Dev. 2008, 20, 101–115. [Google Scholar] [CrossRef]
- Yoshino, K.; Ishioka, Y. Guidelines for soil conservation towards integrated basin management for sustainable development: A new approach based on the assessment of soil loss risk using remote sensing and GIS. Paddy Water Environ. 2005, 3, 235–247. [Google Scholar] [CrossRef]
- Zhang, H.; Yu, D.; Dong, L.; Shi, X.; Warner, E.; Gu, Z.; Sun, J. Regional soil erosion assessment from remote sensing data in rehabilitated high density canopy forests of southern China. Catena 2014, 123, 106–112. [Google Scholar] [CrossRef]
- Kefi, M.; Yoshino, K.; Setiawan, Y. Assessment and mapping of soil erosion risk by water in Tunisia using time series MODIS data. Paddy Water Environ. 2011, 10, 59–73. [Google Scholar] [CrossRef]
- Hochschild, V.; Märker, M.; Rodolfi, G.; Staudenrausch, H. Delineation of erosion classes in semi-arid southern African grasslands using vegetation indices from optical remote sensing data. Hydrol. Process. 2003, 17, 917–928. [Google Scholar] [CrossRef]
- Kefi, M.; Yoshino, K.; Setiawan, Y.; Zayani, K.; Boufaroua, M. Assessment of the effects of vegetation on soil erosion risk by water: A case of study of the Batta watershed in Tunisia. Environ. Earth Sci. 2010, 64, 707–719. [Google Scholar] [CrossRef]
- Pinson, A.O.; AuBuchon, J.S. A new method for calculating C factor when projecting future soil loss using the Revised Universal soil loss equation (RUSLE) in semi-arid environments. Catena 2023, 226, 107067. [Google Scholar] [CrossRef]
- Roy, S.; Das, S.; Sengupta, S.; Mistry, S.; Chatterjee, J. Monitoring the temporal dimension of soil erosion in Mayurakshi Basin, India: A novel approach integrating RUSLE, Shannon’s entropy and landscape ecological metrics. J. Earth Syst. Sci. 2022, 131, 249. [Google Scholar] [CrossRef]
- Pal, S.C.; Chakrabortty, R. Simulating the impact of climate change on soil erosion in sub-tropical monsoon dom-inated watershed based on RUSLE, SCS runoff and MIROC5 climatic model. Adv. Space Res. 2019, 64, 352–377. [Google Scholar] [CrossRef]
- Cai, C.F.; Ding, S.W.; Shi, Z.H.; Huang, L.; Zhang, G.Y. Study of applying USLE and geographical information system IDRISI to predict soil erosion in small watershed. J. Soil Water Conserv. 2000, 14, 19–24. (In Chinese) [Google Scholar]
- Hurni, H. Erosion productivity conservation systems in Ethiopia. In Soil Conservation and Productivity, Proceedings of the 4th International Conference on Soil Conservation, Maracay, Venezuela, 3–9 November 1985; Sentis, I.P., Ed.; American Society of Agronomy, Inc.: Madison, WI, USA, 1985; pp. 654–674. [Google Scholar]
- Jin, Z.P.; Shi, P.J.; Hou, F.C. Soil Erosion System Model and Its Control Pattern in Huangfuchuan Valley of the Yellow River; The Ocean Press: Beijing, China, 1992. [Google Scholar]
- Jiang, Z.S.; Wang, Z.Q.; Liu, Z. Quantitative study on spatial variation of soil erosion in a small watershed in the Loess Hilly region. J. Soil Eros. Soil Conserv. 1996, 2, 2–9. (In Chinese) [Google Scholar]
- Liu, B.Z.; Liu, S.H.; Zheng, S.D. Soil conservation and coefficient of soil conservation of crops. Res. Soil Water Conserv. 1999, 6, 32–36. (In Chinese) [Google Scholar]
- Xu, L.; Xu, X.; Meng, X. Risk assessment of soil erosion in different rainfall scenarios by RUSLE model coupled with Information Diffusion Model: A case study of Bohai Rim, China. Catena 2013, 100, 74–82. [Google Scholar] [CrossRef]
- Shi, Z.H.; Cai, C.F.; Ding, S.W.; Wang, T.W.; Chow, T.L. Soil conservation planning at the small watershed level using RUSLE with GIS: A case study in the Three Gorge Area of China. Catena 2004, 55, 33–48. [Google Scholar] [CrossRef]
- Sun, W.; Shao, Q.; Liu, J.; Zhai, J. Assessing the effects of land use and topography on soil erosion on the Loess Plateau in China. Catena 2014, 121, 151–163. [Google Scholar] [CrossRef]
- Xiao, L.; Yang, X.; Chen, S.; Cai, H. An assessment of erosivity distribution and its influence on the effectiveness of land use conversion for reducing soil erosion in Jiangxi, China. Catena 2015, 125, 50–60. [Google Scholar] [CrossRef]
- Yang, M.; Li, X.; Hu, Y.; He, X. Assessing effects of landscape pattern on sediment yield using sediment delivery distributed model and a landscape indicator. Ecol. Indic. 2012, 22, 38–52. [Google Scholar] [CrossRef]
- Yao, H.; Shi, C.; Shao, W.; Bai, J.; Yang, H. Changes and influencing factors of the sediment load in the Xiliugou basin of the upper Yellow River, China. Catena 2016, 142, 1–10. [Google Scholar] [CrossRef]
- Zhou, P.; Luukkanen, O.; Tokola, T.; Nieminen, J. Effect of vegetation cover on soil erosion in a mountainous watershed. Catena 2008, 75, 319–325. [Google Scholar] [CrossRef]
- Fu, B.; Liu, Y.; Lü, Y.; He, C.; Zeng, Y.; Wu, B. Assessing the soil erosion control service of ecosystems change in the Loess Plateau of China. Ecol. Complex. 2011, 8, 284–293. [Google Scholar] [CrossRef]
- Ma, C.F.; Ma, J.W.; Aosaier, B. Quantitative assessment of vegetation coverage factor in USLE model using remote sensing data. Bull. Soil Water Conserv. 2001, 21, 6–9. (In Chinese) [Google Scholar]
- Huang, J.; Lu, D.; Li, J.; Wu, J.; Chen, S.; Zhao, W.; Ge, H.; Huang, X.; Yan, X. Integration of Remote Sensing and GIS for Evaluating Soil Erosion Risk in Northwestern Zhejiang, China. Photogramm. Eng. Remote Sens. 2012, 78, 935–946. [Google Scholar] [CrossRef]
- Jiang, Z.; Su, S.; Jing, C.; Lin, S.; Fei, X.; Wu, J. Spatiotemporal dynamics of soil erosion risk for Anji County, China. Stoch. Environ. Res. Risk Assess. 2012, 26, 751–763. [Google Scholar] [CrossRef]
- Pan, J.; Wen, Y. Estimation of soil erosion using RUSLE in Caijiamiao watershed, China. Nat. Hazards 2013, 71, 2187–2205. [Google Scholar] [CrossRef]
- Lu, D.; Li, G.; Valladares, G.S.; Batistella, M. Mapping soil erosion risk in Rondonia, Brazilian Amazonia: Using RULSE, remote sensing and GIS. Land Degrad. Dev. 2004, 15, 499–512. [Google Scholar] [CrossRef]
- Borrelli, P.; Robinson, D.A.; Panagos, P.; Lugato, E.; Yang, J.E.; Alewell, C.; Wuepper, D.; Montanarella, L.; Ballabio, C. Land use and climate change impacts on global soil erosion by water (2015–2070). Proc. Natl. Acad. Sci. USA 2020, 117, 21994–22001. [Google Scholar] [CrossRef]
- Andriyani, I.; Jourdain, D.; Lidon, B.; Soni, P.; Kartiwa, B. Upland farming system erosion yields and their constraints to change for sustainable agricultural conservation practices: A case study of land use and land cover (LULC) change in In-donesia. Land Degrad. Dev. 2017, 28, 421–430. [Google Scholar] [CrossRef]
- Bhandari, K.P.; Aryal, J.; Darnsawasdi, R. A geospatial approach to assessing soil erosion in a watershed by inte-grating socio-economic determinants and the RUSLE model. Nat. Hazards 2015, 75, 321–342. [Google Scholar] [CrossRef]
- Dabney, S.M.; McGregor, K.; Wilson, G.; Cullum, R. How Management of Grass Hedges Affects their Erosion Reduction Potential. Soil Sci. Soc. Am. J. 2009, 73, 241–254. [Google Scholar] [CrossRef]
- Durães, M.F.; Coelho Filho, J.A.P.; Oliveira, V.A.d. Water erosion vulnerability and sediment delivery rate in upper Iguaçu river basin—Paraná. RBRH 2016, 21, 728–741. [Google Scholar] [CrossRef]
- Fujaco, M.A.G.; Leite, M.G.P.; Neves, A.H.C.J. A gis-based tool for estimating soil loss in agricultural river basins. REM—Int. Eng. J. 2016, 69, 417–424. [Google Scholar] [CrossRef]
- Lisboa, E.G.; Blanco, C.J.C.; Maia, R.O.P.; Bello, L.A.L. A stochastic estimation of sediment production in an urban catchment using the USLE model. Hydrol. Sci. J. 2017, 62, 2571–2586. [Google Scholar] [CrossRef]
- Liu, H.; Blagodatsky, S.; Giese, M.; Liu, F.; Xu, J.; Cadisch, G. Impact of herbicide application on soil erosion and induced carbon loss in a rubber plantation of Southwest China. Catena 2016, 145, 180–192. [Google Scholar] [CrossRef]
- Novotny, I.; Zizala, D.; Kapicka, J.; Beitlerova, H.; Mistr, M.; Kristenova, H.; Papaj, V. Adjusting the CPmax factor in the Universal Soil Loss Equation (USLE): Areas in need of soil erosion protection in the Czech Republic. J. Maps 2016, 12, 58–62. [Google Scholar] [CrossRef]
- Özhan, S.; Balcı, A.N.; Özyuvaci, N.; Hızal, A.; Gökbulak, F.; Serengil, Y. Cover and management factors for the Universal Soil-Loss Equation for forest ecosystems in the Marmara region, Turkey. For. Ecol. Manag. 2005, 214, 118–123. [Google Scholar] [CrossRef]
- Sumarniasih, M.S.; Antara, M. Conservation planning on eroded land based of local wisdom in Kintamani sub-district, province of Bali. In IOP Conference Series: Earth and Environmental Science, Proceedings of the 3rd International Symposium on LAPAN-IPB Satellite for Food Security and Environmental Monitoring 2016, Bogor, Indonesia, 25–26 October 2016; IOP Publishing Ltd.: Bristol, UK, 2017. [Google Scholar]
- Ooba, M.; Fujita, T.; Mizuochi, M.; Murakami, S.; Wang, Q.; Kohata, K. Biogeochemical forest model for evaluation of ecosystem services (BGC-ES) and its application in the Ise Bay basin. Procedia Environ. Sci. 2012, 13, 274–287. [Google Scholar] [CrossRef]
- Puente, C.; Olague, G.; Smith, S.V.; Bullock, S.H.; Hinojosa-Corona, A.; González-Botello, M.A. A genetic pro-gramming approach to estimate vegetation cover in the context of soil erosion assessment. Photogramm. Eng. Remote Sens. 2011, 77, 363–376. [Google Scholar] [CrossRef]
- Yang, X.; Zhang, X.; Lv, D.; Yin, S.; Zhang, M.; Zhu, Q.; Yu, Q.; Liu, B. Remote sensing estimation of the soil erosion cover-management factor for China’s Loess Plateau. Land Degrad. Dev. 2020, 31, 1942–1955. [Google Scholar] [CrossRef]
- Jia, K.; Li, Y.; Liang, S.; Wei, X.; Yao, Y. Combining Estimation of Green Vegetation Fraction in an Arid Region from Landsat 7 ETM+ Data. Remote Sens. 2017, 9, 1121. [Google Scholar] [CrossRef]
- Panagos, P.; Christos, K.; Cristiano, B.; Ioannis, G. Seasonal monitoring of soil erosion at regional scale: An application of the G2 model in Crete focusing on agricultural land uses. Int. J. Appl. Earth Obs. Geoinf. 2014, 27, 147–155. [Google Scholar] [CrossRef]
- Meusburger, K.; Bänninger, D.; Alewell, C. Estimating Vegetation Parameter for Soil Erosion Assessment in an Alpine Catchment by Means of Quickbird Imagery. Int. J. Appl. Earth Observa. Geoinf. 2010, 12, 201–207. [Google Scholar] [CrossRef]
- Borrelli, P.; Paustian, K.; Panagos, P.; Jones, A.; Schütt, B.; Lugato, E. Effect of Good Agricultural and Environmental Conditions on erosion and soil organic carbon balance: A national case study. Land Use Policy 2016, 50, 408–421. [Google Scholar] [CrossRef]
- EUR 19044 EN; Soil Erosion Risk Assessment in Europe. European Soil Bureau: Ispra, Italy, 2000.
- Alexakis, D.D.; Manoudakis, S.; Agapiou, A.; Polykretis, C. Towards the Assessment of Soil-Erosion-Related C-Factor on European Scale Using Google Earth Engine and Sentinel-2 Images. Remote Sens. 2021, 13, 5019. [Google Scholar] [CrossRef]
- Grimm, M.; Jones, R.J.A.; Rusco, E.; Montanarella, L. Soil Erosion Risk in Italy: A Revised USLE Approach; European Soil Bureau Research Report No. 11; Office for Official Publications of the European Communities: Luxembourg, 2003. [Google Scholar]
- Zhang, M.; Rossel, R.A.V.; Zhu, Q.; Leys, J.; Gray, J.M.; Yu, Q.; Yang, X. Dynamic Modelling of Water and Wind Erosion in Australia over the Past Two Decades. Remote Sens. 2022, 14, 5437. [Google Scholar] [CrossRef]
- Le Roux, J.; Morgenthal, T.; Malherbe, J.; Pretorius, D.; Sumner, P. Water erosion prediction at a national scale for South Africa. Water SA 2018, 34, 305. [Google Scholar] [CrossRef]
- De Vente, J.; Poesen, J.; Verstraeten, G.; Van Rompaey, A.; Govers, G. Spatially distributed modelling of soil erosion and sediment yield at regional scales in Spain. Glob. Planet. Chang. 2008, 60, 393–415. [Google Scholar] [CrossRef]
- Cebecauer, T.; Hofierka, J. The consequences of land-cover changes on soil erosion distribution in Slovakia. Geomorphology 2008, 98, 187–198. [Google Scholar] [CrossRef]
- Podmanicky, L.; Balázs, K.; Belényesi, M.; Centeri, C.; Kristóf, D.; Kohlheb, N. Modelling soil quality changes in Europe. An impact assessment of land use change on soil quality in Europe. Ecol. Indic. 2011, 11, 4–15. [Google Scholar] [CrossRef]
- Martín-Fernández, L.; Martínez-Núñez, M. An empirical approach to estimate soil erosion risk in Spain. Sci. Total. Environ. 2011, 409, 3114–3123. [Google Scholar] [CrossRef]
- Rao, E.; Ouyang, Z.; Yu, X.; Xiao, Y. Spatial patterns and impacts of soil conservation service in China. Geomorphology 2013, 207, 64–70. [Google Scholar] [CrossRef]
- Zhuang, H.; Wang, Y.; Liu, H.; Wang, S.; Zhang, W.; Zhang, S.; Dai, Q. Large-Scale Soil Erosion Estimation Considering Vegetation Growth Cycle. Land 2021, 10, 473. [Google Scholar] [CrossRef]
- Panagos, P.; Karydas, C.; Borrelli, P.; Ballabio, C.; Meusburger, K. Advances in soil erosion modelling through remote sensing data availability at European scale. In Proceedings of the Second International Conference on Remote Sensing and Geoinformation of the Environment (RSCy2014), Paphos, Cyprus, 7–10 April 2014. [Google Scholar]
- Panagos, P.; Meusburger, K.; Van Liedekerke, M.; Alewell, C.; Hiederer, R.; Montanarella, L. Assessing soil erosion in Europe based on data collected through a European network. Soil Sci. Plant Nutr. 2014, 60, 15–29. [Google Scholar] [CrossRef]
- Bosco, C.; de Rigo, D.; Dewitte, O.; Poesen, J.; Panagos, P. Modelling soil erosion at European scale: Towards har-monization and reproducibility. Nat. Hazards Earth Syst. Sci. 2015, 15, 225–245. [Google Scholar] [CrossRef]
- Panagos, P.; Ballabio, C.; Borrelli, P.; Meusburger, K. Spatio-temporal analysis of rainfall erosivity and erosivity density in Greece. Catena 2016, 137, 161–172. [Google Scholar] [CrossRef]
- Karamage, F.; Zhang, C.; Liu, T.; Maganda, A.; Isabwe, A. Soil Erosion Risk Assessment in Uganda. Forests 2017, 8, 52. [Google Scholar] [CrossRef]
- Watene, G.; Yu, L.; Nie, Y.; Zhang, Z.; Hategekimana, Y.; Mutua, F.; Ongoma, V.; Ayugi, B. Spatial-Temporal Variability of Future Rainfall Erosivity and Its Impact on Soil Loss Risk in Kenya. Appl. Sci. 2021, 11, 9903. [Google Scholar] [CrossRef]
- Borrelli, P.; Panagos, P.; Märker, M.; Modugno, S.; Schütt, B. Assessment of the impacts of clear-cutting on soil loss by water erosion in Italian forests: First comprehensive monitoring and modelling approach. Catena 2017, 149, 770–781. [Google Scholar] [CrossRef]
- Ito, A. Simulated impacts of climate and land-cover change on soil erosion and implication for the carbon cycle, 1901 to 2100. Geophys. Res. Lett. 2007, 34. [Google Scholar] [CrossRef]
- Qian, K.; Ma, X.; Wang, Y.; Yuan, X.; Yan, W.; Liu, Y.; Yang, X.; Li, J. Effects of Vegetation Change on Soil Erosion by Water in Major Basins, Central Asia. Remote Sens. 2022, 14, 5507. [Google Scholar] [CrossRef]
- Yan, X.; Li, L. Spatiotemporal characteristics and influencing factors of ecosystem services in Central Asia. J. Arid. Land 2022, 15, 1–19. [Google Scholar] [CrossRef]
- Riquetti, N.; Mello, C.R.; Leandro, D.; Guzman, J.A.; Beskow, S. Assessment of the Soil-Erosion-Sediment for Sustainable Development of South America. J. Environ. Manag. 2022, 321, 115933. [Google Scholar] [CrossRef]
- Van Oost, K.; Quine, T.A.; Govers, G.; De Gryze, S.; Six, J.; Harden, J.W.; Ritchie, J.C.; McCarty, G.W.; Heckrath, G.; Kosmas, C.; et al. The Impact of Agricultural Soil Erosion on the Global Carbon Cycle. Science 2007, 318, 626–629. [Google Scholar] [CrossRef]
- Doetterl, S.; Van Oost, K.; Six, J. Towards constraining the magnitude of global agricultural sediment and soil organic carbon fluxes. Earth Surf. Process. Landforms 2011, 37, 642–655. [Google Scholar] [CrossRef]
- Scherer, L.; Pfister, S. Modelling spatially explicit impacts from phosphorus emissions in agriculture. Int. J. Life Cycle Assess. 2015, 20, 785–795. [Google Scholar] [CrossRef]
- Naipal, V.; Reick, C.; Pongratz, J.; Van Oost, K. Improving the global applicability of the RUSLE model—Adjustment of the topographical and rainfall erosivity factors. Geosci. Model Dev. 2015, 8, 2893–2913. [Google Scholar] [CrossRef]
- Liu, Y.; Fu, B.; Liu, Y.; Zhao, W.; Wang, S. Vulnerability assessment of the global water erosion tendency: Vegetation greening can partly offset increasing rainfall stress. Land Degrad. Dev. 2019, 30, 1061–1069. [Google Scholar] [CrossRef]
- Xiong, M.; Sun, R.; Chen, L. Effects of soil conservation techniques on water erosion control: A global analysis. Sci. Total Environ. 2018, 645, 753–760. [Google Scholar] [CrossRef] [PubMed]
- Prosdocimi, M.; Paolo, T.; Artemi, C. Mulching Practices for Reducing Soil Water Erosion: A Review. Earth-Sci. Rev. 2016, 161, 191–203. [Google Scholar] [CrossRef]








| Study Area | C-Factor Value | References |
|---|---|---|
| Europe | M3: Equation (12) | [115,116] |
| Italy | M3: Equation (12) | [59,117] |
| Australia | M2 | [34] |
| Australia | M4 | [118] |
| South Africa | M2 | [119] |
| Spain | M2 | [120] |
| Slovakia | M2 | [121] |
| Europe | M2 | [122] |
| South Korea | M2 | [36] |
| Spain | M6 | [123] |
| China | M4: Equation (26) | [124,125] |
| Europe | M2 | [126,127,128] |
| Europe | M6 | [1,7,18] |
| Mediterranean Europe | M3: Equation (12) | [68] |
| Australia | M2 | [35] |
| Hungary | M2 | [38,39] |
| Italy | M6 | [114] |
| Greece | M6 | [129] |
| Uganda | M3: Equation (12) | [130] |
| Kenya | M2 | [131] |
| Italy | M6 | [132] |
| North Korea | M2 | [37] |
| Global | M2 | [40,41,133] |
| Central Asia | M4: Equation (26) | [134] |
| Central Asia | M3: Equation (12) | [135] |
| South America | M2 | [136] |
| Global | No C-factor | [137] |
| Global | M2 | [138,139] |
| Global | M3: Equation (4) | [140] |
| Global | M6 | [17,97] |
| Global | M3: Equation (12) | [141] |
Disclaimer/Publisher’s Note: The statements, opinions and data contained in all publications are solely those of the individual author(s) and contributor(s) and not of MDPI and/or the editor(s). MDPI and/or the editor(s) disclaim responsibility for any injury to people or property resulting from any ideas, methods, instructions or products referred to in the content. |
© 2023 by the authors. Licensee MDPI, Basel, Switzerland. This article is an open access article distributed under the terms and conditions of the Creative Commons Attribution (CC BY) license (https://creativecommons.org/licenses/by/4.0/).
Share and Cite
Xiong, M.; Leng, G.; Tang, Q. Global Analysis of the Cover-Management Factor for Soil Erosion Modeling. Remote Sens. 2023, 15, 2868. https://doi.org/10.3390/rs15112868
Xiong M, Leng G, Tang Q. Global Analysis of the Cover-Management Factor for Soil Erosion Modeling. Remote Sensing. 2023; 15(11):2868. https://doi.org/10.3390/rs15112868
Chicago/Turabian StyleXiong, Muqi, Guoyong Leng, and Qiuhong Tang. 2023. "Global Analysis of the Cover-Management Factor for Soil Erosion Modeling" Remote Sensing 15, no. 11: 2868. https://doi.org/10.3390/rs15112868
APA StyleXiong, M., Leng, G., & Tang, Q. (2023). Global Analysis of the Cover-Management Factor for Soil Erosion Modeling. Remote Sensing, 15(11), 2868. https://doi.org/10.3390/rs15112868

