Evaluation and Applicability Analysis of GPM Satellite Precipitation over Mainland China
Abstract
1. Introduction
2. Datasets and Methodology
2.1. Study Area
2.2. Data Collection and Processing
2.2.1. The GPM IMERG Precipitation Data
2.2.2. Rain Gauge
2.2.3. Data Preprocessing
2.3. Evaluation Techniques
2.3.1. Statistical Indicators
2.3.2. Detection Indicators
3. Results and Discussion
3.1. Analysis of IMERG Precipitation Product Accuracy
3.1.1. Overall Rainfall Accuracy Analysis
3.1.2. Accuracy Analysis in Different Regions of China
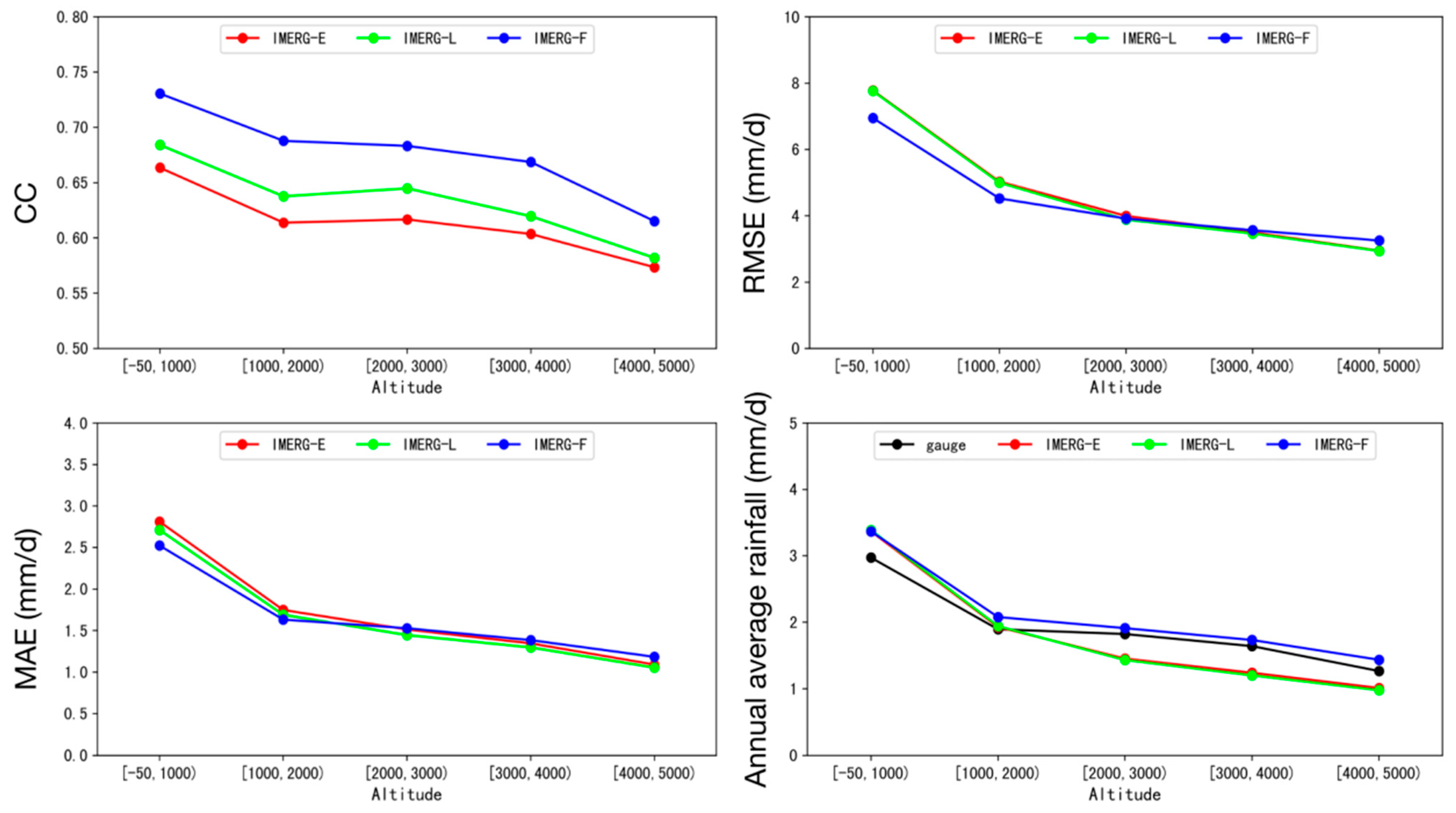
3.1.3. Accuracy Analysis of Different Altitudes in China
3.2. Accuracy Analysis at Different Time Scales
3.2.1. Annual Accuracy Analysis
3.2.2. Accuracy Analysis at Different Seasons
3.2.3. Spatial Distribution of Seasonal Average Daily Precipitation
3.3. Hourly Accuracy Analysis
3.3.1. Spatial Distribution of Average Hourly Rainfall
3.3.2. Analysis of Hourly Average Rainfall Accuracy
3.4. Accuracy Analysis of Different Precipitation Intensities
4. Conclusions
- (1)
- The performance of IMERG products at different spatial scales
- (2)
- The performance of IMERG products at different temporal scales
- (3)
- The performance of IMERG products at different precipitation intensities
Author Contributions
Funding
Data Availability Statement
Conflicts of Interest
References
- Hou, A.Y.; Kakar, R.K.; Neeck, S.; Azarbarzin, A.A.; Kummerow, C.D.; Kojima, M.; Oki, R.; Nakamura, K.; Iguchi, T. The global precipitation measurement mission. Bull. Am. Meteorol. Soc. 2013, 95, 701–722. [Google Scholar] [CrossRef]
- Henderson-Sellers, A. The water cycle. In Encyclopedia of Climate and Weather; Schneider, S.H., Ed.; Oxford University Press: Oxford, UK, 1996; pp. 912–919. [Google Scholar]
- Blacutt, L.A.; Herdies, D.L.; de Goncalves, L.G.; Vila, D.A.; Andrade, M. Precipitation comparison for the cfsr, merra, trmm3b42 and combined scheme datasets in bolivia. Atmos. Res. 2015, 163, 117–131. [Google Scholar] [CrossRef]
- Yu, R.C.; Li, J.; Chen, H.M.; Yuan, W.H. Research progress on diurnal variation of precipitation in mainland China. Acta Meteorol. Sin. 2014, 72, 948–968. [Google Scholar]
- Li, B. Development of weather radar technology in China and its challenges. Adv. Meteorol. Sci. Technol. 2022, 12, 37–46. [Google Scholar]
- Mahmoud, M.T.; Al-Zahrani, M.A.; Sharif, H.O. Assessment of global precipitation measurement satellite products over Saudi Arabia. J. Hydrol. 2018, 559, 1–12. [Google Scholar] [CrossRef]
- Duan, Z.; Liu, I.Z.; Tuo, Y.; Chiogna, G.; Disse, M. Evaluation of eight high spatial resolution gridded precipitation products in Adige Basin (Italy) at multiple temporal and spatial scales. Sci. Total Environ. 2016, 573, 1536–1553. [Google Scholar] [CrossRef]
- Hu, Z.; Zhang, C.; Hu, Q.; Tian, H. Temperature changes in Central Asia from 1979 to 2011 based on multiple datasets. J. Clim. 2014, 27, 1143–1167. [Google Scholar] [CrossRef]
- Gou, Y.; Ma, Y.; Chen, H.; Wen, Y. Radar-derived quantitative precipitation estimation in complex terrain over the eastern Tibetan Plateau. Atmos. Res. 2018, 203, 286–297. [Google Scholar] [CrossRef]
- Alfieri, L.; Claps, P.; Laio, F. Time-dependent ZR relationships for estimating rainfall fields from radar measurements. Nat. Hazards Earth Syst. Sci. 2010, 10, 149–158. [Google Scholar] [CrossRef]
- Lu, X.; Tang, G.; Wei, M.; Yang, L.; Zhang, Y. Evaluation of multi-satellite precipitation products in Xinjiang, China. Int. J. Remote Sens. 2018, 39, 7437–7462. [Google Scholar] [CrossRef]
- Nanding, N.; Rico-Ramirez, M.A.; Han, D. Comparison of different radar-raingauge rainfall merging techniques. J. Hydroinform. 2015, 17, 422–445. [Google Scholar] [CrossRef]
- Nanding, N.; Rico-Ramirez, M.A.; Han, D.; Wu, H.; Dai, D.; Zhang, J. Uncertainty assessment of radar-raingauge merged rainfall estimates in river discharge simulations. J. Hydrol. 2021, 603, 127093. [Google Scholar] [CrossRef]
- Zhang, A.Q.; Fu, Y.F. Case study of precipitation structure detection using dual-frequency radar on GPM satellite. Atmos. Sci. 2018, 42, 33–51. [Google Scholar]
- Chen, T.; Dong, L.; Luo, L.; Yang, S.N. Convective structure characteristics and its impact on heavy rainfall during Typhoon Lekima landfall. Meteorology 2021, 47, 1433–1443. [Google Scholar]
- Giannaros, C.; Dafis, S.; Stefanidis, S.; Giannaros, T.M.; Koletsis, I.; Oikonomou, C. Hydrometeorological analysis of a flash flood event in an ungauged Mediterranean watershed under an operational forecasting and monitoring context. Meteorol. Appl. 2022, 29, e2079. [Google Scholar] [CrossRef]
- Bezak, N.; Borrelli, P.; Panagos, P. Exploring the possible role of satellite-based rainfall data in estimating inter- and intra-annual global rainfall erosivity. Hydrol. Earth Syst. Sci. 2022, 26, 1907–1924. [Google Scholar] [CrossRef]
- Sheffield, J.; Wood, E.F.; Pan, M.; Beck, H.; Coccia, G.; Serrat-Capdevila, A.; Verbist, K. Satellite remote sensing for water resources management: Potential for supporting sustainable development in data-poor regions. Water Resour. Res. 2018, 54, 9724–9758. [Google Scholar] [CrossRef]
- Mahmoud, M.T.; Mohammed, S.A.; Hamouda, M.A.; Dal Maso, M.; Mohamed, M.M. Performance of the IMERG Precipitation Products over High-latitudes Region of Finland. Remote Sens. 2021, 13, 2073. [Google Scholar] [CrossRef]
- Lu, N. Evaluation of IMERG Precipitation Products in the Southeast Costal Urban Region of China. Remote Sens. 2022, 14, 4947. [Google Scholar] [CrossRef]
- Dong, W.; Wang, G.; Guo, L.; Sun, J.; Sun, X. Evaluation of Three Gridded Precipitation Products in Characterizing Extreme Precipitation over the Hengduan Mountains Region in China. Remote Sens. 2022, 14, 4408. [Google Scholar] [CrossRef]
- Yan, Y.; Wang, G.; Nanding, N.; Chen, W. Hydrological evaluation of satellite-based precipitation products in Hunan Province. Remote Sens. 2022, 14, 3127. [Google Scholar] [CrossRef]
- Zhang, R.; Yong, B.; Zeng, S.K. Accuracy assessment of GPM satellite precipitation products over mainland China. People’s Yangtze River 2021, 52, 50–59. [Google Scholar] [CrossRef]
- Li, J.; Yong, B.; Wu, H. Error analysis of FY4A and GPM precipitation inversion products in mainland China (Online). Remote Sens. Technol. Appl. 2023, 1–14. [Google Scholar] [CrossRef]
- Ren, Y.J.; Yong, B.; Lu, D.K.; Chen, H.Q. Multi-scale accuracy assessment of IMERG satellite precipitation product over mainland China based on Global Precipitation Measurement mission multi-satellite precipitation analysis. J. Lake Sci. 2019, 02, 560–572. [Google Scholar]
- Long, Y.P.; Chen, G.Y.; Ma, Q.M.; Chen, J. Ground validation of Fengyun-4A and Global Precipitation Measurement satellite observations over an alpine and canyon basin of the southeastern Tibetan Plateau. J. Mt. Sci. 2022, 19, 3568–3581. [Google Scholar] [CrossRef]
- Sun, G.K.; Wei, Y.X.; Wang, G.S.; Shi, R.; Mo, C.X. Applicability analysis of GPM IMERG satellite precipitation data in Guangxi region. People’s Yangtze River 2022, 53, 98–106. [Google Scholar] [CrossRef]
- Li, X.H.; Sun, Y. Accuracy validation and error decomposition of satellite precipitation products in Sichuan-Chongqing region. People’s Yangtze River 2022, 53, 97–103. [Google Scholar] [CrossRef]
- Li, Y.N.; Huang, C.; Pang, G.W. Accuracy assessment of GSMaP and IMERG satellite precipitation products in Shaanxi region, China. Arid Land Geogr. 2022, 45, 80–90. [Google Scholar]
- Wang, Z.T.; Li, S.B.; Zhang, Z.Y. Multi-scale accuracy evaluation of GPM near real-time precipitation product over the Qinghai-Tibet Plateau. People’s Yangtze River 2021, 43, 43–49+116. [Google Scholar]
- Qu, X.; Fu, Y.; Yuan, X.; Xie, X.; Bai, M. Applicability analysis of GPM-IMERG daily precipitation data in Inner Mongolia. Torrential Rain Disasters 2020, 39, 293–299. [Google Scholar] [CrossRef]
- Zhang, H.L.; Xiao, L.S.; Chen, S.; Wu, N.G. Diurnal variation characteristics and assessment of precipitation during flood season in Guangdong based on GPM satellite. J. Trop. Meteorol. 2020, 39, 335–346. [Google Scholar] [CrossRef]
- Chen, F.J.; Li, Y.X.; Gao, J.L.; Wang, Y.; Zhu, H.L. Verification of IMERG and TMPA precipitation products in summer over central and eastern China. Meteorol. Mon. 2019, 12, 1680–1690. [Google Scholar]
- Wang, H.T.; Zhang, X.X.; Zhao, M.C.; Shu, W.M. Accuracy assessment of TMPA and IMERG satellite precipitation products in the Three Gorges region. J. Yangtze River Sci. Res. Inst. 2019, 12, 23–27. [Google Scholar]
- Chen, F.; Li, X. Evaluation of IMERG and TRMM 3B43 Monthly Precipitation Products over Mainland China. Remote Sens. 2016, 8, 472. [Google Scholar] [CrossRef]
- Tian, F.; Hou, S.; Yang, L.; Hu, H.; Hou, A. How does the evaluation of the GPM IMERG rainfall product depend on gauge density and rainfall intensity? J. Hydrometeorol. 2018, 19, 339–349. [Google Scholar] [CrossRef]
- Tang, G.; Ma, Y.; Long, D.; Zhong, L.; Hong, Y. Evaluation of GPM Day-1 IMERG and TMPA Version-7 legacy products over Mainland China at multiple spatiotemporal scales. J. Hydrol. 2016, 533, 152–167. [Google Scholar] [CrossRef]
- Kazamias, A.P.; Sapountzis, M.; Lagouvardos, K. Evaluation of GPM-IMERG rainfall estimates at multiple temporal and spatial scales over Greece. Atmos. Res. 2022, 269, 106014. [Google Scholar] [CrossRef]
- Shi, L.J.; Feng, W.Y.; Lei, Y.; Wang, Z.M.; Zeng, Q. Accuracy evaluation of daily GPM precipitation product over Mainland China. Meteorol. Mon. 2022, 48, 1428–1438. [Google Scholar]
- Xu, J.T. Precipitation Accuracy Evaluation and Fusion Correction Research of IMERG Precipitation Products in Mainland China. Ph.D. Thesis, Zhejiang University, Hangzhou, China, 2020. [Google Scholar] [CrossRef]
- Pan, Y.; Gu, J.X.; Shi, C.X.; Wang, Z. Evaluation and fusion optimization of multi-source data products for winter precipitation in northern China. Acta Meteorol. Sin. 2022, 80, 953–966. [Google Scholar]
- Jin, X.L.; Shao, H.; Qiu, Y.; Du, H.Y. Research on calibration methods of TRMM satellite precipitation data in Tianshan mountainous area. Meteorol. Mon. 2018, 44, 882–891. [Google Scholar]
- Nanding, N.; Wu, H.; Tao, J.; Maggioni, V.; Beck, H.E.; Zhou, N.; Huang, M.; Huang, Z. Assessment of Precipitation Error Propagation in Discharge Simulations over the Contiguous United States. J. Hydrometeorol. 2021, 22, 1987–2008. [Google Scholar] [CrossRef]











| CC | RMSE (mm/d) | MAE (mm/d) | RE (%) | |
|---|---|---|---|---|
| IMERG-E | 0.67 | 7.03 | 2.53 | 20.1 |
| IMERG-L | 0.69 | 7.01 | 2.44 | 21.1 |
| IMERG-F | 0.74 | 6.31 | 2.30 | 17.8 |
Disclaimer/Publisher’s Note: The statements, opinions and data contained in all publications are solely those of the individual author(s) and contributor(s) and not of MDPI and/or the editor(s). MDPI and/or the editor(s) disclaim responsibility for any injury to people or property resulting from any ideas, methods, instructions or products referred to in the content. |
© 2023 by the authors. Licensee MDPI, Basel, Switzerland. This article is an open access article distributed under the terms and conditions of the Creative Commons Attribution (CC BY) license (https://creativecommons.org/licenses/by/4.0/).
Share and Cite
Pan, X.; Wu, H.; Chen, S.; Nanding, N.; Huang, Z.; Chen, W.; Li, C.; Li, X. Evaluation and Applicability Analysis of GPM Satellite Precipitation over Mainland China. Remote Sens. 2023, 15, 2866. https://doi.org/10.3390/rs15112866
Pan X, Wu H, Chen S, Nanding N, Huang Z, Chen W, Li C, Li X. Evaluation and Applicability Analysis of GPM Satellite Precipitation over Mainland China. Remote Sensing. 2023; 15(11):2866. https://doi.org/10.3390/rs15112866
Chicago/Turabian StylePan, Xinshun, Huan Wu, Sirong Chen, Nergui Nanding, Zhijun Huang, Weitian Chen, Chaoqun Li, and Xiaomeng Li. 2023. "Evaluation and Applicability Analysis of GPM Satellite Precipitation over Mainland China" Remote Sensing 15, no. 11: 2866. https://doi.org/10.3390/rs15112866
APA StylePan, X., Wu, H., Chen, S., Nanding, N., Huang, Z., Chen, W., Li, C., & Li, X. (2023). Evaluation and Applicability Analysis of GPM Satellite Precipitation over Mainland China. Remote Sensing, 15(11), 2866. https://doi.org/10.3390/rs15112866

