A Novel Saliency-Based Decomposition Strategy for Infrared and Visible Image Fusion
Abstract
1. Introduction
- The image decomposition method (DLatLRR_RGF) based on LatLRR and RGF is proposed for infrared and visible image fusion. Compared with the fusion framework based on MDLatLRR in [32], which only decomposes the input images to a series of salient layers and one base layer, in this paper, given that the salient detail layers still have a lot of small structural components, RGF is adopted as the processing means to remove the small structural components and recover the edge information. By the way, the base layer has a preponderance of contour information. Finally, the different types of components can be extracted to different layers more delicately, which is conducive to subsequent image fusion processing.
- The projection matrix L of DLatLRR can be calculated in advance during the training phase. Once the projection matrix L is obtained, it can be used to calculate the low-rank coefficients for each image. The size of the image patch needs to be in line with the size of the project matrix L; thus, the decomposition means can be adaptive to the image of the arbitrary size.
- The fusion strategies are designed for base components and detail components, respectively. On the one hand, the energy minimization model based on the energy information of the base images is adopted to guide the fusion of base components. On the other hand, the nuclear-norm and space frequency are used to calculate the weighted coefficients for every pair of image patches.
2. Related Works
2.1. Latent Low-Rank Representation
2.2. Rolling Guidance Filter
2.2.1. Small Structure Elimination
2.2.2. Edge Recovery
3. Proposed Algorithm
3.1. Pretraining of Projection Matrix L
3.2. Image Decomposition Based on LatLRR-RGF
3.3. Fusion Method
- First of all, the visible images and infrared images can be decomposed by the method based on LatLRR and RGF, which decomposes the input images to a series of salient layers and one base layer. However, given that there are still many small structural components in the salient detail layers, RGF is adopted as a processing tool to remove these small structural components and recover more edge information. By the way, the base layer has a preponderance of contour information. Finally, the different components can be extracted to different layers more delicately, which is conducive to subsequent image fusion processing.
- For the base layer components, the energy minimization model based on the energy information of the base images is adopted to guide the fusion. The energy information can reflect the main component mapping, and the weighting map can fuse the infrared and visible base layer components finely.
- For the detail layer components, the nuclear-norm and space frequency are used to calculate the weighted coefficients for every pair of image patches. The space frequency can show the pixel activity of the different detail layers, which can transfer more information to the fused images.
3.3.1. Fusion of Base Components
3.3.2. Fusion of Detail Components
3.4. Reconstruction
4. Experimental Results and Analysis
4.1. Experimental Setting
4.2. Comparison of the Fusion Effect with and without RGF
4.3. Projection Matrix L
4.3.1. The Patch Size n
4.3.2. The Threshold e
4.4. Decomposition Methods Compared
4.5. Fusion Rules Compared
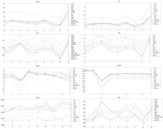
4.6. Subjective Evaluation
4.7. Objective Evaluation
5. Conclusions
Author Contributions
Funding
Data Availability Statement
Conflicts of Interest
References
- Miloslavov, A.; Veeraraghavan, M. Sensor Data Fusion Algorithms for Vehicular Cyber-Physical Systems. IEEE Trans. Parallel Distrib. Syst. 2012, 23, 1762–1774. [Google Scholar] [CrossRef]
- Kristan, M.; Matas, J.; Leonardis, A.; Felsberg, M.; Pflugfelder, R.; Kämäräinen, J.-K.; Zajc, L.C.; Drbohlav, O.; Lukezic, A.; Berg, A.; et al. The Seventh Visual Object Tracking VOT2019 Challenge Results. In Proceedings of the International Conference on Computer Vision Workshop (ICCVW), Seoul, Republic of Korea, 27–28 October 2019. [Google Scholar]
- Lan, X.; Ye, M.; Zhang, S.; Zhou, H.; Yuen, P.C. Modality-correlation-aware sparse representation for RGB-infrared object tracking. Pattern Recognit. Lett. 2020, 130, 12–20. [Google Scholar] [CrossRef]
- Shrinidhi, V.; Yadav, P.; Venkateswaran, N. IR and visible video fusion for surveillance. In Proceedings of the 2018 International Conference on Wireless Communications, Signal Processing and Networking (WiSPNET), Chennai, India, 22–24 March 2018. [Google Scholar]
- Ma, J.; Yu, W.; Liang, P.; Li, C.; Jiang, J. FusionGAN: A generative adversarial network for infrared and visible image fusion. Inf. Fusion 2018, 48, 11–26. [Google Scholar] [CrossRef]
- Li, S.; Kang, X.; Fang, L.; Hu, J.; Yin, H. Pixel-level image fusion: A survey of the state of the art. Inf. Fusion 2017, 33, 100–112. [Google Scholar] [CrossRef]
- Maqsood, S.; Javed, U. Multi-modal medical image fusion based on two-scale image decomposition and sparse representation. Biomed. Signal Process. Control 2020, 57, 101810. [Google Scholar] [CrossRef]
- Ye, Z. The image fusion of compressive sensing with adaptive deviation feature. Electron. Sci. Technol. 2018, 4, 11. [Google Scholar]
- Zheng, Y.; Essock, E.A.; Hansen, B.C.; Haun, A.M. A new metric based on extended spatial frequency and its application to DWT based fusion algorithms. Inf. Fusion 2007, 8, 177–192. [Google Scholar] [CrossRef]
- Yang, S.; Wang, M.; Jiao, L.; Wu, R.; Wang, Z. Image fusion based on a new contourlet packet. Inf. Fusion 2010, 11, 78–84. [Google Scholar] [CrossRef]
- Singh, S.; Anand, R.S. Multimodal medical image sensor fusion model using sparse K-SVD dictionary learning in nonsubsampled shearlet domain. IEEE Trans. Instrum. Meas. 2020, 69, 593–607. [Google Scholar] [CrossRef]
- Zhao, C.; Huang, Y. Infrared and visible image fusion method based on rolling guidance filter and NSST. Int. J. Wavelets Multi 2019, 17, 1950045. [Google Scholar] [CrossRef]
- Qi, B.; Jin, L.; Li, G.; Zhang, Y.; Li, Q.; Bi, G.; Wang, W. Infrared and visible image fusion based on co-occurrence analysis shearlet transform. Remote Sens. 2022, 14, 283. [Google Scholar] [CrossRef]
- Divekar, A.; Ersoy, O. Image fusion by compressive sensing. In Proceedings of the 17th International Conference on Geoinformatics, Rairfax, VA, USA, 12–14 August 2009. [Google Scholar]
- Pesaresi, M.; Benediktsson, J.A. A new approach for the morphological segmentation of high-resolution satellite imagery. IEEE Trans. Geosci. Remote Sens. 2001, 39, 309–320. [Google Scholar] [CrossRef]
- Pesaresi, M.; Ouzounis, G.K.; Gueguen, L. A new compact representation of morphological profiles: Report on first massive VHR image processing at the JRC. Proc. SPIE 2012, 8390, 839025. [Google Scholar]
- Liu, Y.; Chen, X.; Wang, Z.; Wang, Z.; Ward, R.K.; Wang, X. Deep learning for pixel-pixel image fusion: Recent advances and future prospects. Inf. Fusion 2018, 42, 158–173. [Google Scholar] [CrossRef]
- Zhu, Z.; Yin, H.; Chai, Y.; Li, Y.; Qi, G. A novel multi-modality image fusion method based on image decomposition and sparse representation. Inf. Sci. 2018, 432, 516–529. [Google Scholar] [CrossRef]
- Yousif, A.S.; Omar, Z.; Sheikh, U.U. An improved approach for medical image fusion using sparse representation and Siamese convolutional neural network. Biomed. Signal Process. Control 2022, 72, 103357. [Google Scholar] [CrossRef]
- Zhang, C. Convolutional Dictionary Learning Using Global Matching Tracking (CDL-GMT): Application to Visible-Infrared Image Fusion. In Proceedings of the 4th Annual International Conference on Data Science and Business Analytics (ICDSBA), Changsha, China, 5–6 September 2020. [Google Scholar]
- Sun, X.; Hu, S.; Ma, X.; Hu, Q.; Xu, S. IMGAN: Infrared and visible image fusion using a novel intensity masking generative adversarial network. Infrared Phys. Technol. 2022, 125, 104221. [Google Scholar] [CrossRef]
- Liu, Y.; Chen, X.; Peng, H.; Wang, Z. Multi-focus image fusion with a deep convolutional neural network. Inf. Fusion 2017, 36, 191–207. [Google Scholar] [CrossRef]
- Li, H.; Wu, X.-J.; Durrani, T.S. Infrared and visible image fusion with resnet and zero-phase component analysis. Infrared Phys. Technol. 2019, 102, 103039. [Google Scholar] [CrossRef]
- Li, H.; Wu, X.-J.; Kittler, J. Infrared and visible image fusion using a deep learning framework. In Proceedings of the 24th International Conference on Pattern Recognition (ICPR), Beijing, China, 20–24 August 2018. [Google Scholar]
- Li, H.; Wu, X.-J. DenseFuse: A fusion approach to infrared and visible images. IEEE Trans. Image Process. 2019, 28, 2614–2623. [Google Scholar] [CrossRef]
- Xu, H.; Ma, J.; Jiang, J.; Guo, X.; Ling, H. U2Fusion: A Unified Unsupervised Image Fusion Network. IEEE Trans. Pattern Anal. Mach. Intell. 2020, 44, 502–518. [Google Scholar] [CrossRef] [PubMed]
- Ma, J.; Tang, L.; Fan, F.; Huang, J.; Mei, X.; Ma, Y. SwinFusion: Cross-domain long-range learning for general image fusion via Swin transformer. IEEE/CAA J. Autom. Sin. 2022, 9, 1200–1217. [Google Scholar] [CrossRef]
- Liu, G.; Lin, Z.; Yu, Y. Robust subspace segmentation by low-rank representation. In Proceedings of the International Conference on Machine Learning (ICML), Haifa, Israel, 21–24 June 2010. [Google Scholar]
- Liu, G.; Yan, S. Latent low-rank representation for subspace segmentation and feature extraction. In Proceedings of the 2011 International Conference on Computer Vision, Barcelona, Spain, 6–13 November 2011. [Google Scholar]
- Li, S.; Kang, X.; Hu, J. Image fusion with guided filtering. IEEE Trans. Image Process. 2013, 22, 2864–2875. [Google Scholar] [PubMed]
- Jian, L.; Yang, X.; Zhou, Z.; Zhou, K.; Liu, K. Multi-scale image fusion through rolling guidance filter. Future Gener. Comput. Syst. 2018, 83, 310–325. [Google Scholar] [CrossRef]
- Li, H.; Wu, X.-J.; Kittler, J. MDLatLRR: A novel decomposition method for infrared and visible image fusion. IEEE Trans. Image Process. 2020, 29, 4733–4746. [Google Scholar] [CrossRef]
- Li, H.; Wu, X.-J. Multi-focus image fusion using dictionary learning and low-rank representation. In Image and Graphics, Proceedings of the 9th International Conference, ICIG 2017, Shanghai, China, 13–15 September 2017; Springer: Cham, Switzerland, 2017. [Google Scholar]
- Tan, L.; Liu, G.; Xiao, G.; Bavirisettin, D.P.; Zhang, X. Infrared and visible image fusion based on guided hybrid model and generative adversarial network. Infrared Phys. Technol. 2022, 120, 103914. [Google Scholar]
- Gao, C.; Song, C.; Zhang, Y.; Qi, D.; Yu, Y. Improving the Performance of Infrared and Visible Image Fusion Based on Latent Low-rank Representation Nested with Rolling Guided Image Filtering. IEEE Access 2021, 9, 91462–91475. [Google Scholar] [CrossRef]
- Fu, J.; Li, W.; Ouyang, A.; He, B. Multimodal biomedical image fusion method via rolling guidance filter and deep convolutional neural networks. Optik 2021, 237, 166726. [Google Scholar] [CrossRef]
- Cheng, B.; Jin, L.; Li, G. Infrared and low-light-level image fusion based on l2-energy minimization and mixed-l1-gradient regularization. Infrared Phys. Technol. 2018, 96, 163–173. [Google Scholar] [CrossRef]
- Xie, J.; Ying, Z.; Ding, L. Local Standard Deviation Spectral Clustering. In Proceedings of the 2018 IEEE International Conference on Big Data and Smart Computing (BigComp), Shanghai, China, 15–17 January 2018. [Google Scholar]
- Yang, Y.; Cao, S.; Huang, S.; Wan, W. Multimodal Medical Image Fusion Based on Weighted Local Energy Matching Measurement and Improved Spatial Frequency. IEEE Trans. Instrum. Meas. 2021, 70, 5005516. [Google Scholar] [CrossRef]
- Cai, W.; Li, M.; Li, X. Infrared and Visible Image Fusion Scheme Based on Contourlet Transform. In Proceedings of the Fifth International Conference on Image and Graphics (ICIG), Xi’an, China, 20–23 September 2009. [Google Scholar]
- Lewis, J.; O’Callaghan, R.J.; Nikolov, S.G.; Bull, D.R.; Canagarajah, N. Pixel- and region-based image fusion with complex wavelets. Inf. Fusion 2007, 8, 119–130. [Google Scholar] [CrossRef]
- Ma, J.; Chen, C.; Li, C.; Huang, J. Infrared and visible image fusion via gradient transfer and total variation minimization. Inf. Fusion 2016, 31, 100–109. [Google Scholar] [CrossRef]
- Zhou, Z.; Wang, B.; Li, S.; Dong, M. Perceptual fusion of infrared and visible images through a hybrid multi-scale decomposition with Gaussain and bilateral filters. Inf. Fusion 2016, 30, 15–26. [Google Scholar] [CrossRef]
- Yu, L.; Liu, S.P.; Wang, Z. A general framework for image fusion based on multi-scale transform and sparse representation. Inf. Fusion 2014, 24, 147–164. [Google Scholar]
- Li, M.; Dong, Y.; Wang, X. Research on image fusion based on Pyramid Decomposition. Adv. Mater. Res. 2013, 860–863, 2855–2858. [Google Scholar] [CrossRef]
- Bavirisetti, D.P.; Dhuli, R. Two-scale image fusion of visible and infrared images using saliency detection. Infrared Phys. Technol. 2016, 76, 52–64. [Google Scholar] [CrossRef]
- Ma, J.; Zhou, Z.; Wang, B.; Zong, H. Infrared and Visible Image Fusion Based on Visual Saliency Map and Weighted Least Square Optimization. Infrared Phys. Technol. 2017, 82, 8–17. [Google Scholar] [CrossRef]
- Bavirisetti, D.P.; Dhuli, R. Fusion of infrared and visible sensor images based on anisotropic diffusion and karhunen-loeve transform. IEEE Sens. J. 2016, 16, 203–209. [Google Scholar] [CrossRef]
- Jin, H.; Wang, Y. A fusion method for visible and infrared images based on contrast pyramid with teaching learning based optimization. Infrared Phys. Technol. 2014, 64, 134–142. [Google Scholar] [CrossRef]
- Van Aardt, J. Assessment of image fusion procedures using entropy, image quality, and multispectral classification. J. Appl. Remote Sens. 2008, 2, 023522. [Google Scholar] [CrossRef]
- Xydeas, C.S.; Petrović, V. Objective image fusion performance measure. Electron. Lett. 2000, 36, 308–309. [Google Scholar] [CrossRef]
- Ma, K.; Zeng, K.; Wang, Z. Perceptual quality assessment for multi-exposure image fusion. IEEE Trans. Image Process. 2015, 24, 3345–3356. [Google Scholar] [CrossRef] [PubMed]
- Aslantas, V.; Bendes, E. A new image quality metric for image fusion: The sum of the correlations of differences. AEU Int. J. Electron. Commun. 2015, 69, 1890–1896. [Google Scholar] [CrossRef]























| Metrics | AVG | EN | MI | Qabf | SCD | SF | SD |
|---|---|---|---|---|---|---|---|
| L1 (without RGF) | 1.87330 | 5.94780 | 11.89561 | 0.61660 | 1.74054 | 4.06320 | 19.69617 |
| L1 (with RGF) | 2.49603 | 6.01317 | 12.02634 | 0.68572 | 1.75062 | 5.34973 | 20.18842 |
| L2 (without RGF) | 3.05346 | 6.13420 | 12.26839 | 0.72052 | 1.76770 | 6.62708 | 21.94118 |
| L2 (with RGF) | 4.43871 | 6.24749 | 12.49498 | 0.63024 | 1.76299 | 9.41302 | 23.37920 |
| Metrics | AVG | EN | MI | Qabf | SCD | SSIM | SF | SD | Runtime/s |
|---|---|---|---|---|---|---|---|---|---|
| CVT | 5.93150 | 6.71624 | 13.43248 | 0.50564 | 1.54137 | 0.99696 | 12.71199 | 31.07864 | 2.56935 |
| CWT | 5.90104 | 6.69444 | 13.38888 | 0.54181 | 1.54074 | 0.99696 | 12.78876 | 30.91403 | 3.06967 |
| GFF | 5.64820 | 7.02521 | 14.05042 | 0.47950 | 1.30318 | 0.99573 | 12.42413 | 38.69633 | 3.76592 |
| GTF | 5.30221 | 7.01295 | 14.02590 | 0.54415 | 1.64860 | 0.99505 | 11.73354 | 40.60941 | 1.62658 |
| HMSD | 6.47369 | 6.87112 | 13.74224 | 0.52323 | 1.57335 | 0.99625 | 13.91654 | 34.09468 | 18.9567 |
| LP_SR | 6.15730 | 7.17781 | 14.35563 | 0.51370 | 1.47744 | 0.99530 | 13.21347 | 42.19765 | 0.76576 |
| RP | 6.49347 | 6.73163 | 13.46327 | 0.45079 | 1.53093 | 0.99679 | 14.28131 | 32.47274 | 0.58621 |
| TSF | 5.51254 | 6.82671 | 13.65343 | 0.51599 | 1.63624 | 0.99688 | 12.36487 | 33.97755 | 0.10834 |
| WLS | 6.30668 | 6.86250 | 13.72499 | 0.44229 | 1.67990 | 0.99660 | 12.70711 | 37.36021 | 4.77940 |
| ADF | 5.11189 | 6.55777 | 13.11554 | 0.48563 | 1.49885 | 0.99704 | 10.10662 | 27.60857 | 1.66422 |
| U2Fusion | 3.50888 | 6.67918 | 13.35836 | 0.33821 | 1.56602 | 0.97833 | 7.524127 | 36.39723 | 0.60190 |
| DenseFusion | 3.38556 | 6.48795 | 12.97590 | 0.33790 | 1.50824 | 0.99705 | 7.116488 | 26.79117 | 0.29560 |
| Our_L1 | 6.02180 | 6.61190 | 13.22379 | 0.50908 | 1.57302 | 0.99703 | 12.95345 | 34.19755 | 3.21583 |
| Our_L2 | 9.65432 | 7.20059 | 14.47895 | 0.49473 | 1.66344 | 0.99683 | 20.97932 | 43.56282 | 6.56182 |
Disclaimer/Publisher’s Note: The statements, opinions and data contained in all publications are solely those of the individual author(s) and contributor(s) and not of MDPI and/or the editor(s). MDPI and/or the editor(s) disclaim responsibility for any injury to people or property resulting from any ideas, methods, instructions or products referred to in the content. |
© 2023 by the authors. Licensee MDPI, Basel, Switzerland. This article is an open access article distributed under the terms and conditions of the Creative Commons Attribution (CC BY) license (https://creativecommons.org/licenses/by/4.0/).
Share and Cite
Qi, B.; Bai, X.; Wu, W.; Zhang, Y.; Lv, H.; Li, G. A Novel Saliency-Based Decomposition Strategy for Infrared and Visible Image Fusion. Remote Sens. 2023, 15, 2624. https://doi.org/10.3390/rs15102624
Qi B, Bai X, Wu W, Zhang Y, Lv H, Li G. A Novel Saliency-Based Decomposition Strategy for Infrared and Visible Image Fusion. Remote Sensing. 2023; 15(10):2624. https://doi.org/10.3390/rs15102624
Chicago/Turabian StyleQi, Biao, Xiaotian Bai, Wei Wu, Yu Zhang, Hengyi Lv, and Guoning Li. 2023. "A Novel Saliency-Based Decomposition Strategy for Infrared and Visible Image Fusion" Remote Sensing 15, no. 10: 2624. https://doi.org/10.3390/rs15102624
APA StyleQi, B., Bai, X., Wu, W., Zhang, Y., Lv, H., & Li, G. (2023). A Novel Saliency-Based Decomposition Strategy for Infrared and Visible Image Fusion. Remote Sensing, 15(10), 2624. https://doi.org/10.3390/rs15102624

