Applying Variable Selection Methods and Preprocessing Techniques to Hyperspectral Reflectance Data to Estimate Tea Cultivar Chlorophyll Content
Abstract
1. Introduction
2. Materials and Methods
2.1. Measurements
2.2. Preprocessing of Raw Reflectance Data
2.2.1. First-Derivative Reflectance (FDR)
2.2.2. Continuum Removal (CR)
2.2.3. Detrending (DT)
2.2.4. Standard Normal Variate (SNV)
2.2.5. Multiplicative Scatter Correction (MSC)
2.3. Variable Selection Methods Applied in This Study
2.4. Regression Models Based on Machine Learning Algorithms
2.5. Performance Assessment
3. Results
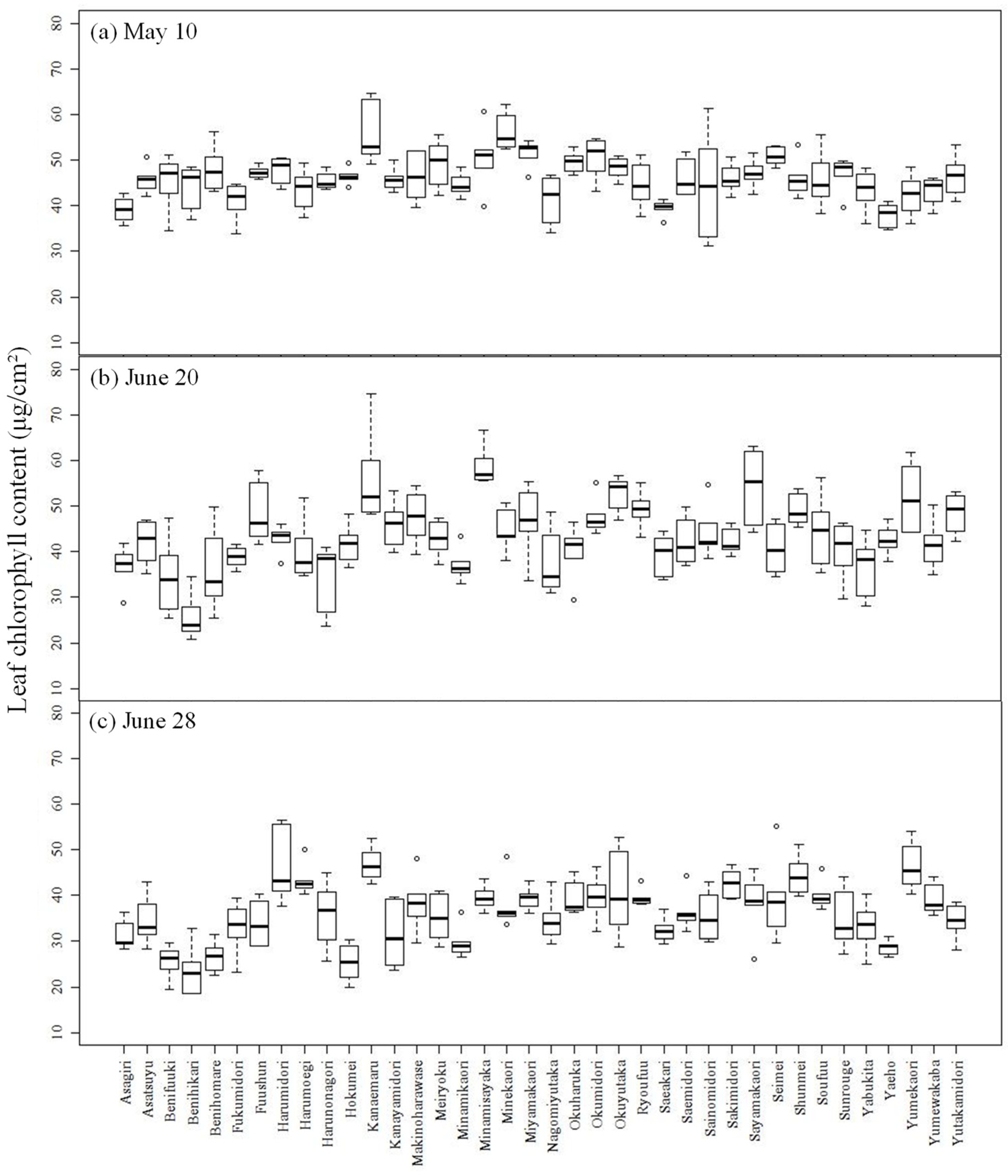
3.1. Chlorophyll Content for Each Cultivar
3.2. Spectral Reflectance According to Preprocessing Treatment
3.3. Wavelengths Selected by the Variable Selection Methods
3.4. Accuracy Assessment
3.5. Sensitivity Analysis
4. Discussion
4.1. Relationship between Reflectance Recorded Using the Compact Spectrometer and Chlorophyll Content
4.2. Comparison of Variable Selection Methods and Preprocessing Techniques
5. Conclusions
Author Contributions
Funding
Data Availability Statement
Acknowledgments
Conflicts of Interest
References
- Katoh, M.; Katoh, Y.; Kinoshita, T.; Yamaguchi, Y.; Omori, M. Identification of Tea Cultivar by Amolified DNA Fragment Length Polymorphism (AFLP) Using Black Teas as Sample. J. Jpn. Soc. Food Sci. Technol. Nippon Shokuhin Kagaku Kogaku Kaishi 2010, 57, 389–394. [Google Scholar] [CrossRef]
 - Hazra, A.; Dasgupta, N.; Sengupta, C.; Bera, B.; Das, S. Tea: A Worthwhile, Popular Beverage Crop Since Time Immemorial. Agron. Crops 2019, 1, 507–531. [Google Scholar] [CrossRef]
 - Korus, A. Effect of preliminary and technological treatments on the content of chlorophylls and carotenoids in kale (Brassica oleracea L. var. Acephala). J. Food Process. Preserv. 2013, 37, 335–344. [Google Scholar] [CrossRef]
 - Zhang, H.; Duan, Z.; Li, Y.Y.; Zhao, G.Y.; Zhu, S.M.; Fu, W.; Peng, T.; Zhao, Q.Z.; Svanberg, S.; Hu, J.D. Vis/NIR reflectance spectroscopy for hybrid rice variety identification and chlorophyll content evaluation for different nitrogen fertilizer levels. R. Soc. Open Sci. 2019, 6, 191132. [Google Scholar] [CrossRef]
 - Colla, G.; Cardarelli, M.; Fiorillo, A.; Rouphael, Y.; Rea, E. Enhancing Nitrogen Use Efficiency in Cucurbitaceae Crops by Grafting. In Proceedings of the International Symposium on Advanced Technologies and Management Towards Sustainable Greenhouse Ecosystems: Greensys2011, Athens, Greece, 5–10 June 2011; Volume 952, pp. 863–869. [Google Scholar]
 - Wang, L.F.; Park, S.C.; Chung, J.O.; Baik, L.H.; Park, S.K. The compounds contributing to the greenness of green tea. J. Food Sci. 2004, 69, S301–S305. [Google Scholar] [CrossRef]
 - Wang, K.B.; Liu, F.; Liu, Z.H.; Huang, J.A.; Xu, Z.X.; Li, Y.H.; Chen, J.H.; Gong, Y.S.; Yang, X.H. Analysis of chemical components in oolong tea in relation to perceived quality. Int. J. Food Sci. Technol. 2010, 45, 913–920. [Google Scholar] [CrossRef]
 - Prado-Cabrero, A.; Beatty, S.; Howard, A.; Stack, J.; Bettin, P.; Nolan, J.M. Assessment of lutein, zeaxanthin and meso-zeaxanthin concentrations in dietary supplements by chiral high-performance liquid chromatography. Eur. Food Res. Technol. 2016, 242, 599–608. [Google Scholar] [CrossRef]
 - Das, A.; Guyer, L.; Hortensteiner, S. Chlorophyll and Chlorophyll Catabolite Analysis by HPLC. Plant Senescence Methods Protoc. 2018, 1744, 223–235. [Google Scholar] [CrossRef]
 - Leon, A.P.; Vina, S.Z.; Frezza, D.; Chaves, A.; Chiesa, A. Estimation of chlorophyll contents by correlations between SPAD-502 meter and chroma meter in butterhead lettuce. Commun. Soil Sci. Plant Anal. 2007, 38, 2877–2885. [Google Scholar] [CrossRef]
 - Peng, S.B.; Garcia, F.V.; Laza, R.C.; Cassman, K.G. Adjustment for Specific Leaf Weight Improves Chlorophyll Meter’s Estimate of Rice Leaf Nitrogen Concentration. Agron. J. 1993, 85, 987–990. [Google Scholar] [CrossRef]
 - Sano, T.; Horie, H.; Matsunaga, A.; Hirono, Y. Effect of shading intensity on morphological and color traits and on chemical components of new tea (Camellia sinensis L.) shoots under direct covering cultivation. J. Sci. Food Agric. 2018, 98, 5666–5676. [Google Scholar] [CrossRef] [PubMed]
 - Feret, J.B.; Gitelson, A.A.; Noble, S.D.; Jacquemoud, S. PROSPECT-D: Towards modeling leaf optical properties through a complete lifecycle. Remote Sens. Environ. 2017, 193, 204–215. [Google Scholar] [CrossRef]
 - Piegari, E.; Gossn, J.I.; Grings, F.; Bernadas, V.B.; Juarez, A.B.; Mateos-Naranjo, E.; Trilla, G.G. Estimation of leaf area index and leaf chlorophyll content in Sporobolus densiflorus using hyperspectral measurements and PROSAIL model simulations. Int. J. Remote Sens. 2021, 42, 1181–1200. [Google Scholar] [CrossRef]
 - Dao, P.D.; He, Y.H.; Proctor, C. Plant drought impact detection using ultra-high spatial resolution hyperspectral images and machine learning. Int. J. Appl. Earth Obs. Geoinf. 2021, 102, 102364. [Google Scholar] [CrossRef]
 - Doktor, D.; Lausch, A.; Spengler, D.; Thurner, M. Extraction of Plant Physiological Status from Hyperspectral Signatures Using Machine Learning Methods. Remote Sens. 2014, 6, 12247–12274. [Google Scholar] [CrossRef]
 - Zhang, C.; Zhao, Y.Y.; Yan, T.Y.; Bai, X.L.; Xiao, Q.L.; Gao, P.; Li, M.; Huang, W.; Bao, Y.D.; He, Y.; et al. Application of near-infrared hyperspectral imaging for variety identification of coated maize kernels with deep learning. Infrared Phys. Technol. 2020, 111, 103550. [Google Scholar] [CrossRef]
 - Gautam, D.; Lucieer, A.; Watson, C.; McCoull, C. Lever-arm and boresight correction, and field of view determination of a spectroradiometer mounted on an unmanned aircraft system. ISPRS J. Photogramm. Remote Sens. 2019, 155, 25–36. [Google Scholar] [CrossRef]
 - Zarco-Tejada, P.J.; Berjon, A.; Lopez-Lozano, R.; Miller, J.R.; Martin, P.; Cachorro, V.; Gonzalez, M.R.; de Frutos, A. Assessing vineyard condition with hyperspectral indices: Leaf and canopy reflectance simulation in a row-structured discontinuous canopy. Remote Sens. Environ. 2005, 99, 271–287. [Google Scholar] [CrossRef]
 - Feret, J.B.; Francois, C.; Asner, G.P.; Gitelson, A.A.; Martin, R.E.; Bidel, L.P.R.; Ustin, S.L.; le Maire, G.; Jacquemoud, S. PROSPECT-4 and 5: Advances in the leaf optical properties model separating photosynthetic pigments. Remote Sens. Environ. 2008, 112, 3030–3043. [Google Scholar] [CrossRef]
 - Sonobe, R.; Yamashita, H.; Mihara, H.; Morita, A.; Ikka, T. Hyperspectral reflectance sensing for quantifying leaf chlorophyll content in wasabi leaves using spectral pre-processing techniques and machine learning algorithms. Int. J. Remote Sens. 2021, 42, 1311–1329. [Google Scholar] [CrossRef]
 - Sonobe, R.; Wang, Q. Nondestructive assessments of carotenoids content of broadleaved plant species using hyperspectral indices. Comput. Electron. Agric. 2018, 145, 18–26. [Google Scholar] [CrossRef]
 - Sonobe, R.; Miura, Y.; Sano, T.; Horie, H. Monitoring Photosynthetic Pigments of Shade-Grown Tea from Hyperspectral Reflectance. Can. J. Remote Sens. 2018, 44, 104–112. [Google Scholar] [CrossRef]
 - Sonobe, R.; Yamashita, H.; Mihara, H.; Morita, A.; Ikka, T. Estimation of Leaf Chlorophyll a, b and Carotenoid Contents and Their Ratios Using Hyperspectral Reflectance. Remote Sens. 2020, 12, 3265. [Google Scholar] [CrossRef]
 - Sonobe, R.; Miura, Y.; Sano, T.; Horie, H. Estimating leaf carotenoid contents of shade-grown tea using hyperspectral indices and PROSPECT-D inversion. Int. J. Remote Sens. 2018, 39, 1306–1320. [Google Scholar] [CrossRef]
 - Sonobe, R.; Hirono, Y.; Oi, A. Quantifying chlorophyll-aandbcontent in tea leaves using hyperspectral reflectance and deep learning. Remote Sens. Lett. 2020, 11, 933–942. [Google Scholar] [CrossRef]
 - Uto, K.; Seki, H.; Saito, G.; Kosugi, Y.; Komatsu, T. Development of a Low-Cost Hyperspectral Whiskbroom Imager Using an Optical Fiber Bundle, a Swing Mirror, and Compact Spectrometers. IEEE J. Sel. Top. Appl. Earth Obs. Remote Sens. 2016, 9, 3909–3925. [Google Scholar] [CrossRef]
 - Hovi, A.; Forsstrom, P.; Mottus, M.; Rautiainen, M. Evaluation of Accuracy and Practical Applicability of Methods for Measuring Leaf Reflectance and Transmittance Spectra. Remote Sens. 2018, 10, 25. [Google Scholar] [CrossRef]
 - Balabin, R.M.; Smirnov, S.V. Variable selection in near-infrared spectroscopy: Benchmarking of feature selection methods on biodiesel data. Anal. Chim. Acta 2011, 692, 63–72. [Google Scholar] [CrossRef]
 - Sonobe, R.; Sugimoto, Y.; Kondo, R.; Seki, H.; Sugiyama, E.; Kiriiwa, Y.; Suzuki, K. Hyperspectral wavelength selection for estimating chlorophyll content of muskmelon leaves. Eur. J. Remote Sens. 2021, 54, 512–523. [Google Scholar] [CrossRef]
 - R Core Team. R: A Language and Environment for Statistical Computing. Available online: https://www.R-project.org/ (accessed on 24 October 2022).
 - Wellburn, A.R. The spectral determination of chlorophyll a and chlorophyll b, as well as total carotenoids, using various solvents with spectrophotometers of different resolution. J. Plant Physiol. 1994, 144, 307–313. [Google Scholar] [CrossRef]
 - Rinnan, A.; van den Berg, F.; Engelsen, S.B. Review of the most common pre-processing techniques for near-infrared spectra. Trac-Trends Anal. Chem. 2009, 28, 1201–1222. [Google Scholar] [CrossRef]
 - Ali, A.; Imran, M.M. Evaluating the potential of red edge position (REP) of hyperspectral remote sensing data for real time estimation of LAI & chlorophyll content of kinnow mandarin (Citrus reticulata) fruit orchards. Sci. Hortic. 2020, 267, 11. [Google Scholar] [CrossRef]
 - Boloorani, A.D.; Ranjbareslamloo, S.; Mirzaie, S.; Bahrami, H.A.; Mirzapour, F.; Tehrani, N.A. Spectral behavior of Persian oak under compound stress of water deficit and dust storm. Int. J. Appl. Earth Obs. Geoinf. 2020, 88, 16. [Google Scholar] [CrossRef]
 - Meng, X.T.; Bao, Y.L.; Liu, J.G.; Liu, H.J.; Zhang, X.L.; Zhang, Y.; Wang, P.; Tang, H.T.; Kong, F.C. Regional soil organic carbon prediction model based on a discrete wavelet analysis of hyperspectral satellite data. Int. J. Appl. Earth Obs. Geoinf. 2020, 89, 102111. [Google Scholar] [CrossRef]
 - Cho, M.A.; Skidmore, A.K. A new technique for extracting the red edge position from hyperspectral data: The linear extrapolation method. Remote Sens. Environ. 2006, 101, 181–193. [Google Scholar] [CrossRef]
 - Clark, R.N.; Roush, T.L. Reflectance spectroscopy: Quantitative analysis techniques for remote sensing applications. J. Geophys. Res. 1984, 89, 6329–6340. [Google Scholar] [CrossRef]
 - Mutanga, O.; Skidmore, A.K. Narrow band vegetation indices overcome the saturation problem in biomass estimation. Int. J. Remote Sens. 2004, 25, 3999–4014. [Google Scholar] [CrossRef]
 - Barnes, R.J.; Dhanoa, M.S.; Lister, S.J. Standard Normal Variate Transformation and De-Trending of Near-Infrared Diffuse Reflectance Spectra. Appl. Spectrosc. 1989, 43, 772–777. [Google Scholar] [CrossRef]
 - Shao, Y.N.; He, Y.; Bao, Y.D.; Mao, J.Y. Near-Infrared Spectroscopy for Classification of Oranges and Prediction of the Sugar Content. Int. J. Food Prop. 2009, 12, 644–658. [Google Scholar] [CrossRef]
 - Liu, Y.D.; Sun, X.D.; Ouyang, A.G. Nondestructive measurement of soluble solid content of navel orange fruit by visible-NIR spectrometric technique with PLSR and PCA-BPNN. LWT Food Sci. Technol. 2010, 43, 602–607. [Google Scholar] [CrossRef]
 - Geladi, P.; MacDougall, D.; Martens, H. Linearization and scatter-correction for near infrared reflectance spectra of meat. Appl. Spectrosc. 1985, 39, 491–500. [Google Scholar] [CrossRef]
 - Pierna, J.A.F.; Abbas, O.; Baeten, V.; Dardenne, P. A Backward Variable Selection method for PLS regression (BVSPLS). Anal. Chim. Acta 2009, 642, 89–93. [Google Scholar] [CrossRef] [PubMed]
 - Mehmood, T.; Liland, K.H.; Snipen, L.; Saebo, S. A review of variable selection methods in Partial Least Squares Regression. Chemom. Intell. Lab. Syst. 2012, 118, 62–69. [Google Scholar] [CrossRef]
 - Wang, Y.G.; Gao, Y.; Yu, X.Z.; Wang, Y.Y.; Deng, S.; Gao, J.M. Rapid Determination of Lycium barbarum Polysaccharide with Effective Wavelength Selection Using Near-Infrared Diffuse Reflectance Spectroscopy. Food Anal. Methods 2016, 9, 131–138. [Google Scholar] [CrossRef]
 - Chong, I.G.; Jun, C.H. Performance of some variable selection methods when multicollinearity is present. Chemom. Intell. Lab. Syst. 2005, 78, 103–112. [Google Scholar] [CrossRef]
 - Fan, S.X.; Zhang, B.H.; Li, J.B.; Huang, W.Q.; Wang, C.P. Effect of spectrum measurement position variation on the robustness of NIR spectroscopy models for soluble solids content of apple. Biosyst. Eng. 2016, 143, 9–19. [Google Scholar] [CrossRef]
 - Forina, M.; Casolino, C.; Millan, C.P. Iterative predictor weighting (IPW) PLS: A technique for the elimination of useless predictors in regression problems. J. Chemom. 1999, 13, 165–184. [Google Scholar] [CrossRef]
 - Villar, A.; Fernandez, S.; Gorritxategi, E.; Ciria, J.I.; Fernandez, L.A. Optimization of the multivariate calibration of a Vis-NIR sensor for the on-line monitoring of marine diesel engine lubricating oil by variable selection methods. Chemom. Intell. Lab. Syst. 2014, 130, 68–75. [Google Scholar] [CrossRef]
 - Li, H.D.; Zeng, M.M.; Tan, B.B.; Liang, Y.Z.; Xu, Q.S.; Cao, D.S. Recipe for revealing informative metabolites based on model population analysis. Metabolomics 2010, 6, 353–361. [Google Scholar] [CrossRef]
 - Pan, L.Q.; Lu, R.F.; Zhu, Q.B.; Tu, K.; Cen, H.Y. Predict Compositions and Mechanical Properties of Sugar Beet Using Hyperspectral Scattering. Food Bioprocess Technol. 2016, 9, 1177–1186. [Google Scholar] [CrossRef]
 - Lindgren, F.; Geladi, P.; Rannar, S.; Wold, S. Interactive variable selection (IVS) for pls. Part 1: Theory and algorithms. J. Chemom. 1994, 8, 349–363. [Google Scholar] [CrossRef]
 - Le Cao, K.A.; Rossouw, D.; Robert-Granie, C.; Besse, P. A Sparse PLS for Variable Selection when Integrating Omics Data. Stat. Appl. Genet. Mol. Biol. 2008, 7, 35. [Google Scholar] [CrossRef] [PubMed]
 - Fernandez-Delgado, M.; Sirsat, M.S.; Cernadas, E.; Alawadi, S.; Barro, S.; Febrero-Bande, M. An extensive experimental survey of regression methods. Neural Netw. 2019, 111, 11–34. [Google Scholar] [CrossRef] [PubMed]
 - Sonobe, R.; Yamashita, H.; Nofrizal, A.Y.; Seki, H.; Morita, A.; Ikka, T. Use of spectral reflectance from a compact spectrometer to assess chlorophyll content in Zizania latifolia. Geocarto Int. 2021, 37. [Google Scholar] [CrossRef]
 - Kuhn, M.; Weston, S.; Keefer, C.; Coulter, N.; Quinlan, R.; Rulequest Research Pty, Ltd. Package ‘Cubist’. Available online: https://cran.r-project.org/web/packages/Cubist/Cubist.pdf (accessed on 24 October 2022).
 - Williams, P.; Norris, K. Near-Infrared Technology in the Agricultural and Food Industries; American Association of Cereal Chemists Inc.: St. Paul, MN, USA, 1987; p. 330. [Google Scholar]
 - Chang, C.W.; Laird, D.A.; Mausbach, M.J.; Hurburgh, C.R. Near-infrared reflectance spectroscopy-principal components regression analyses of soil properties. Soil Sci. Soc. Am. J. 2001, 65, 480–490. [Google Scholar] [CrossRef]
 - Stevens, A.; Ramirez-Lopez, L. Package ‘Prospectr’. Available online: https://cran.r-project.org/web/packages/prospectr/prospectr.pdf (accessed on 24 October 2022).
 - Kucheryavskiy, S. Multivariate Data Analysis for Chemometrics. Available online: https://cran.r-project.org/web/packages/mdatools/mdatools.pdf (accessed on 24 October 2022).
 - Chung, D.; Chun, H.; Keles, S.; Todorov, M.V. Sparse Partial Least Squares (SPLS) Regression and Classification. Available online: https://cran.r-project.org/web/packages/spls/spls.pdf (accessed on 24 October 2022).
 - Borchers, H.W. Practical Numerical Math Functions. Available online: https://cran.r-project.org/web/packages/pracma/pracma.pdf (accessed on 24 October 2022).
 - Liland, K.H.; Mehmood, T.; Sabo, S. Variable Selection in Partial Least Squares. Available online: https://cran.r-project.org/web/packages/plsVarSel/plsVarSel.pdf (accessed on 24 October 2022).
 - Chen, X.W.; Dong, Z.Y.; Liu, J.B.; Wang, H.H.; Zhang, Y.; Chen, T.Q.; Du, Y.C.; Shao, L.; Xie, J.C. Hyperspectral characteristics and quantitative analysis of leaf chlorophyll by reflectance spectroscopy based on a genetic algorithm in combination with partial least squares regression. Spectrochim. Acta Part A-Mol. Biomol. Spectrosc. 2020, 243, 118786. [Google Scholar] [CrossRef]
 - Navarro-Cerrillo, R.M.; Trujillo, J.; de la Orden, M.S.; Hernandez-Clemente, R. Hyperspectral and multispectral satellite sensors for mapping chlorophyll content in a Mediterranean Pinus sylvestris L. plantation. Int. J. Appl. Earth Obs. Geoinf. 2014, 26, 88–96. [Google Scholar] [CrossRef]
 - Carter, G.A.; Knapp, A.K. Leaf optical properties in higher plants: Linking spectral characteristics to stress and chlorophyll concentration. Am. J. Bot. 2001, 88, 677–684. [Google Scholar] [CrossRef]
 - Datt, B. Remote sensing of chlorophyll a, chlorophyll b, chlorophyll a + b, and total carotenoid content in eucalyptus leaves. Remote Sens. Environ. 1998, 66, 111–121. [Google Scholar] [CrossRef]
 - Merzlyak, M.N.; Solovchenko, A.E.; Gitelson, A.A. Reflectance spectral features and non-destructive estimation of chlorophyll, carotenoid and anthocyanin content in apple fruit. Postharvest Biol. Technol. 2003, 27, 197–211. [Google Scholar] [CrossRef]
 - Gitelson, A.; Solovchenko, A. Generic Algorithms for Estimating Foliar Pigment Content. Geophys. Res. Lett. 2017, 44, 9293–9298. [Google Scholar] [CrossRef]
 - Miller, J.R.; Hare, E.W.; Wu, J. Quantitative characterisation of the red edge reflectance 1. An inverted-Gaussian model. Int. J. Remote Sens. 1990, 11, 1755–1773. [Google Scholar] [CrossRef]
 - Hamamatsu Photonics. Mini-Spectrometer. Available online: http://www.farnell.com/datasheets/2822646.pdf (accessed on 8 December 2022).
 - Croft, H.; Chen, J.M.; Zhang, Y. The applicability of empirical vegetation indices for determining leaf chlorophyll content over different leaf and canopy structures. Ecol. Complex. 2014, 17, 119–130. [Google Scholar] [CrossRef]
 - Galvao, L.S.; Breunig, F.M.; Teles, T.S.; Gaida, W.; Balbinot, R. Investigation of terrain illumination effects on vegetation indices and VI-derived phenological metrics in subtropical deciduous forests. GIScience Remote Sens. 2016, 53, 360–381. [Google Scholar] [CrossRef]
 - Sonobe, R.; Sano, T.; Horie, H. Using spectral reflectance to estimate leaf chlorophyll content of tea with shading treatments. Biosyst. Eng. 2018, 175, 168–182. [Google Scholar] [CrossRef]
 - Sonobe, R.; Hirono, Y.; Oi, A. Non-Destructive Detection of Tea Leaf Chlorophyll Content Using Hyperspectral Reflectance and Machine Learning Algorithms. Plants 2020, 9, 368. [Google Scholar] [CrossRef]
 - Zheng, F.L.; Xu, B.; Xiao, P.F.; Zhang, X.L.; Manlike, A.; Jin, Y.X.; Li, C.; Feng, X.Z.; An, S.Z. Estimation of chlorophyll content in mountain steppe using in situ hyperspectral measurements. Spectrosc. Lett. 2021, 54, 495–506. [Google Scholar] [CrossRef]
 - Liang, S.; Zhao, G.X.; Zhu, X.C. Hyperspectral Estimation Models of Chlorophyll Content in Apple Leaves. Spectrosc. Spectr. Anal. 2012, 32, 1367–1370. [Google Scholar]
 - Ram, M.; Prasad, K.V.; Kaur, C.; Singh, S.K.; Arora, A.; Kumar, S. Induction of anthocyanin pigments in callus cultures of Rosa hybrida L. in response to sucrose and ammonical nitrogen levels. Plant Cell Tissue Organ Cult. 2011, 104, 171–179. [Google Scholar] [CrossRef]
 - Gitelson, A.A.; Keydan, G.P.; Merzlyak, M.N. Three-band model for noninvasive estimation of chlorophyll, carotenoids, and anthocyanin contents in higher plant leaves. Geophys. Res. Lett. 2006, 33, L11402. [Google Scholar] [CrossRef]
 - Hu, J.G.; Zhang, L.J.; Sheng, Y.Y.; Wang, K.R.; Shi, Y.L.; Liang, Y.R.; Zheng, X.Q. Screening tea hybrid with abundant anthocyanins and investigating the effect of tea processing on foliar anthocyanins in tea. Folia Hortic. 2020, 32, 279–290. [Google Scholar] [CrossRef]
 








| Filter method | ||
| Loading weights (LW) | Regression coefficients (RC) | Variable importance in projection (VIP) | 
| Wrapper method | ||
| Backward variable elimination (BVE) | Competitive adaptive reweighted sampling (CARS) | Genetic algorithm (GA) | 
| Iterative predictive weighting (IPW) | PLS with Martens’ uncertainty test (MUT) | Regularized elimination procedure (REP) | 
| Sub-window permutation analysis (SwPA) | Uninformative variable elimination (UVE) | |
| Embedded method | ||
| Backward interval PLS (BiPLS) | Forward interval PLS (FiPLS) | Sparse PLS (SPLS) | 
| Preprocessing/PLS Regression | Package | 
|---|---|
| First-derivative reflectance (FDR) | prospectr [60] | 
| Continuum removal (CR) | prospectr [60] | 
| De-trending (DT) | prospectr [60] | 
| Multiplicative scatter correction (MSC) | mdatools [61] | 
| Standard normal variate (SNV) | prospectr [60] | 
| Interval PLS (BiPLS and FiPLS) | mdatools [61] | 
| Sparse PLS (SPLS) | spls [62] | 
| CARS | pracma [63] | 
| Other PLS | plsVarSel [64] | 
| Cubist | Cubist [57] | 
| Method | OR | FDR | CR | DT | MSC | SNV | 
|---|---|---|---|---|---|---|
| BiPLS | 2.56 | 2.06 | 2.49 | 2.60 | 2.53 | 2.59 | 
| BVE | 2.53 | 2.07 | 2.55 | 2.50 | 2.44 | 2.49 | 
| CARS | 2.26 | 2.09 | 2.24 | 2.46 | 2.28 | 2.40 | 
| FiPLS | 2.41 | 1.99 | 2.47 | 2.59 | 2.49 | 2.52 | 
| GA | 1.75 | 1.57 | 1.83 | 1.99 | 1.91 | 2.07 | 
| IPW | 2.52 | 2.08 | 2.44 | 2.56 | 2.39 | 2.52 | 
| LWPLS | 2.45 | 1.95 | 2.46 | 2.50 | 2.27 | 2.55 | 
| Marten | 2.58 | 2.11 | 2.47 | 2.56 | 2.10 | 2.51 | 
| RC | 2.59 | 2.11 | 2.52 | 2.60 | 2.51 | 2.59 | 
| REP | 2.58 | 2.11 | 2.49 | 2.58 | 2.44 | 2.55 | 
| Sparse | 2.59 | 2.10 | 2.47 | 2.56 | 2.45 | 2.56 | 
| SwPA | 2.57 | 2.08 | 2.50 | 2.59 | 2.42 | 2.58 | 
| UVE | 2.05 | 1.58 | 2.00 | 2.36 | 2.07 | 2.22 | 
| VIP | 2.59 | 2.12 | 2.59 | 2.59 | 2.44 | 2.57 | 
| Method | OR | FDR | CR | DT | MSC | SNV | 
|---|---|---|---|---|---|---|
| BiPLS | 3.27 | 4.07 | 3.36 | 3.22 | 3.31 | 3.23 | 
| BVE | 3.31 | 4.04 | 3.28 | 3.34 | 3.43 | 3.36 | 
| CARS | 3.71 | 4.01 | 3.74 | 3.41 | 3.67 | 3.49 | 
| FiPLS | 3.47 | 4.21 | 3.38 | 3.24 | 3.36 | 3.32 | 
| GA | 4.78 | 5.35 | 4.58 | 4.21 | 4.38 | 4.03 | 
| IPW | 3.32 | 4.03 | 3.43 | 3.27 | 3.51 | 3.32 | 
| LWPLS | 3.42 | 4.30 | 3.40 | 3.35 | 3.69 | 3.29 | 
| Marten | 3.24 | 3.97 | 3.39 | 3.27 | 3.99 | 3.33 | 
| RC | 3.24 | 3.96 | 3.32 | 3.21 | 3.34 | 3.23 | 
| REP | 3.24 | 3.97 | 3.36 | 3.24 | 3.43 | 3.28 | 
| Sparse | 3.23 | 3.98 | 3.39 | 3.27 | 3.42 | 3.26 | 
| SwPA | 3.26 | 4.03 | 3.35 | 3.23 | 3.46 | 3.25 | 
| UVE | 4.08 | 5.28 | 4.19 | 3.54 | 4.05 | 3.78 | 
| VIP | 3.23 | 3.95 | 3.24 | 3.23 | 3.43 | 3.25 | 
| Variable Selection Method | Pre-Processing Technique | Time | Variable Selection Method | Pre-Processing Technique | Time | 
|---|---|---|---|---|---|
| BiPLS | OR | 1 | RC | OR | 3 | 
| BiPLS | CR | 1 | RC | CR | 2 | 
| BiPLS | DT | 7 | RC | DT | 8 | 
| BiPLS | MSC | 4 | RC | SNV | 2 | 
| BiPLS | SNV | 3 | REP | OR | 4 | 
| BVE | CR | 1 | REP | DT | 1 | 
| FiPLS | DT | 6 | SPLS | OR | 4 | 
| FiPLS | MSC | 1 | SPLS | DT | 3 | 
| FiPLS | SNV | 1 | SPLS | MSC | 1 | 
| IPW | OR | 3 | SPLS | SNV | 3 | 
| IPW | CR | 1 | SwPA | OR | 2 | 
| IPW | DT | 2 | SwPA | CR | 1 | 
| IPW | SNV | 2 | SwPA | DT | 6 | 
| LW | OR | 1 | SwPA | MSC | 1 | 
| LW | MSC | 2 | UVE | OR | 1 | 
| LW | SNV | 3 | UVE | CR | 3 | 
| MUT | OR | 3 | UVE | DT | 1 | 
| MUT | CR | 3 | VIP | CR | 5 | 
| MUT | DT | 3 | VIP | DT | 1 | 
Disclaimer/Publisher’s Note: The statements, opinions and data contained in all publications are solely those of the individual author(s) and contributor(s) and not of MDPI and/or the editor(s). MDPI and/or the editor(s) disclaim responsibility for any injury to people or property resulting from any ideas, methods, instructions or products referred to in the content.  | 
© 2022 by the authors. Licensee MDPI, Basel, Switzerland. This article is an open access article distributed under the terms and conditions of the Creative Commons Attribution (CC BY) license (https://creativecommons.org/licenses/by/4.0/).
Share and Cite
Sonobe, R.; Hirono, Y. Applying Variable Selection Methods and Preprocessing Techniques to Hyperspectral Reflectance Data to Estimate Tea Cultivar Chlorophyll Content. Remote Sens. 2023, 15, 19. https://doi.org/10.3390/rs15010019
Sonobe R, Hirono Y. Applying Variable Selection Methods and Preprocessing Techniques to Hyperspectral Reflectance Data to Estimate Tea Cultivar Chlorophyll Content. Remote Sensing. 2023; 15(1):19. https://doi.org/10.3390/rs15010019
Chicago/Turabian StyleSonobe, Rei, and Yuhei Hirono. 2023. "Applying Variable Selection Methods and Preprocessing Techniques to Hyperspectral Reflectance Data to Estimate Tea Cultivar Chlorophyll Content" Remote Sensing 15, no. 1: 19. https://doi.org/10.3390/rs15010019
APA StyleSonobe, R., & Hirono, Y. (2023). Applying Variable Selection Methods and Preprocessing Techniques to Hyperspectral Reflectance Data to Estimate Tea Cultivar Chlorophyll Content. Remote Sensing, 15(1), 19. https://doi.org/10.3390/rs15010019
        
