Comparison of Novel Hybrid and Benchmark Machine Learning Algorithms to Predict Groundwater Potentiality: Case of a Drought-Prone Region of Medjerda Basin, Northern Tunisia
Abstract
1. Introduction
2. Materials and Methods
2.1. Study Area
2.2. Datasets and Methodology
- (i)
- The spatial database was constructed based on data-driven remote sensing.
- (ii)
- Selection of groundwater-related factors (GRFs): the spatial correlations between transmissivity (T) data and geoenvironmental factors were calculated using the frequency ratio (FR) model.
- (iii)
- Transmissivity data were partitioned randomly into training (70%) and testing (30%) datasets and imported with the raster values of 26 GRFs of each T location to the Python environment.
- (iv)
- ANN, RF, SVM, and the novel hybrid NB-RF-SVR algorithms were developed based on training datasets in the Jupyter Lab using the open-source tool of the Anaconda platform to forecast the groundwater potential models.
- (v)
- The model’s performance was validated through a set of statistical metric indices and receiver operating characteristic (ROC) curve analyses of the testing datasets (30%). Then, the area under the curve (AUC) of the ROC curve was computed for the total study area to achieve accurate outputs.
- (vi)
- The resulting output values were converted into spatial datasets for groundwater potential mapping (GPM) in QGIS software.
2.2.1. Datasets
- (1)
- Groundwater productivity datasets
- (2)
- Groundwater potential related factors (GRF)
2.2.2. Models
Frequency Ratio (FR)
Artificial Neural Network (ANN)
Random Forest (RF)
Support Vector Regression (SVR)
Novel Hybrid Model: NB-RF-SVR
2.2.3. Validation of Models
3. Results
3.1. Reliability Analysis of the GRF
3.2. Groundwater Potential Maps
3.3. Validation of Groundwater Potential Maps
4. Discussion
5. Conclusions
Author Contributions
Funding
Data Availability Statement
Acknowledgments
Conflicts of Interest
Appendix A
| Category | Primary Input Data | Source of Data | Original Format Source | Scale/Resolution/Period | GR Factor |
|---|---|---|---|---|---|
| Groundwater productivity | Piezometric records Fieldwork campaign | Regional Commission for Agricultural Development (CRDA) of Ariana, CRDA of Manouba CRDA of Bizerte | Report | 1973-2021 | Water table level (WTL) |
| Pumping tests | General Directorate of Water Resources of Tunisia (DGRE) CRDA of Ariana, CRDA of Manouba, and CRDA of Bizerte | Report | 1963-2020 | Transmissivity | |
| Pumping tests Geological logs | DGRE CRDA of Ariana, CRDA of Manouba, CRDA of Bizerte | Report | 1963-2020 | Hydraulic conductivity | |
| Topomorphometry | DEM | ASTER Global Digital Elevation Model V003 https://search.earthdata.nasa.gov/ | Raster | 30 m | Al, S, Cu, MBI, MRVBF, RSA, Hei-S, Mid-S, NHei, TRI, TS, CI, MPI |
| Hydrology | DEM | ASTER Global Digital Elevation Model V003 https://search.earthdata.nasa.gov/ | Raster | 30 m | TWT, SPI, CB, MRN, VD |
| Topographic sheets of Ariana, Tunis V, Mateur, Porto Farina, Metline, Tebourba | Office of Topography and Cadastral Survey of Tunisia https://www.otc.nat.tn/ | Raster | 1:25,000 | Distance from river; Drainage density | |
| Climate | Monthly precipitation data | National Institute of Meteorology (INM) https://www.meteo.tn | Excel | 1990-2020 | Rainfall |
| Geology | Geological sheets of Ariana, Tunis V, Mateur, Porto Farina, Metline, Tebourba | National Office of Mines of Tunisia: https://www.onm.nat.tn/ DGRE | Raster | 1:50,000 | Lithology; Faults |
| Sentinel-2 satellite images | https://earthengine.google.com/ | Raster | 20 m | Lineament | |
| Soil/Land use | Pedology sheets | Agricultural map of Ariana, Bizerte, and Manouba | Vector | 1:500,000 | Soil |
| Sentinel-2 satellite images | https://earthengine.google.com/ | Raster | 01/1/2020 to 31/12/2020 20 m | NDVI; NDWI; LULC |
| Factor | Class | Total % | Event % | FR |
|---|---|---|---|---|
| Elevation | 0–6.658 | 22.32% | 5.36% | 0.24 |
| 6.658–28.85 | 19.77% | 21.43% | 1.08 | |
| 28.85–62.14 | 19.30% | 21.43% | 1.11 | |
| 62.14–113.2 | 19.52% | 39.29% | 2.01 | |
| >113.2 | 19.08% | 12.50% | 0.66 | |
| Slope | 0–0.016 | 27.46% | 23.21% | 0.85 |
| 0.016–0.033 | 20.44% | 14.29% | 0.7 | |
| 0.033–0.053 | 20.42% | 28.57% | 1.4 | |
| 0.053–109 | 15.87% | 17.86% | 1.13 | |
| 0.109–0.849 | 15.81% | 16.07% | 1.02 | |
| Curvature | −0.063–−0.0001 | 17.78% | 16.07% | 0.9 |
| −0.0001–0.00001 | 19.56% | 25.00% | 1.28 | |
| −0.00001–0.00006 | 37.24% | 33.93% | 0.91 | |
| 0.00006–0.0003 | 13.55% | 10.71% | 0.79 | |
| 0.0003–0.0046 | 11.87% | 14.29% | 1.2 | |
| Mass balance index | −0.85–−0.19 | 20.13% | 10.71% | 0.53 |
| −0.19–−0.10 | 19.88% | 26.79% | 1.35 | |
| −0.10–−0.006 | 20.19% | 16.07% | 0.8 | |
| −0.006–0.19 | 20.82% | 25.00% | 1.2 | |
| 0.19–1.09 | 18.98% | 21.43% | 1.13 | |
| MRVBF | 0–0.47 | 19.92% | 23.21% | 1.17 |
| 0.47–1.87 | 20.28% | 33.93% | 1.67 | |
| 1.87–4.12 | 20.45% | 28.57% | 1.4 | |
| 4.12–5.94 | 17.41% | 8.93% | 0.51 | |
| 5.94–7.57 | 21.94% | 5.36% | 0.24 | |
| Real surface area | <812.93 | 27.46% | 23.21% | 0.85 |
| 812.93–814.56 | 20.44% | 14.29% | 0.7 | |
| 814.56–819.48 | 20.42% | 28.57% | 1.4 | |
| 819.48–829.31 | 15.87% | 17.86% | 1.13 | |
| 829.31–1230.70 | 15.81% | 16.07% | 1.02 | |
| Slope height | 0–1.34 | 0.01% | 0.00% | 0 |
| 1.341–2.01 | 10.27% | 1.79% | 0.17 | |
| 2.01–4.02 | 44.25% | 35.71% | 0.81 | |
| 4.02–9.37 | 26.41% | 44.64% | 1.69 | |
| 9.37–170.83 | 19.04% | 17.86% | 0.94 | |
| Mid-slope | 0–0.09 | 20.00% | 21.43% | 1.07 |
| 0.09–0.22 | 20.00% | 17.86% | 0.89 | |
| 0.22–0.39 | 20.01% | 32.14% | 1.61 | |
| 0.39–0.57 | 25.07% | 23.21% | 0.93 | |
| 0.58–0.99 | 14.92% | 5.36% | 0.36 | |
| Normalized height index | 0.02–0.22 | 20.01% | 7.14% | 0.36 |
| 0.23–0.34 | 20.02% | 23.21% | 1.16 | |
| 0.34–0.45 | 20.01% | 25.00% | 1.25 | |
| 0.45–0.54 | 19.98% | 21.43% | 1.07 | |
| 0.54–0.99 | 19.98% | 23.21% | 1.16 | |
| 0–0.43 | 21.47% | 19.64% | 0.91 | |
| TRI | 0.44–0.77 | 28.75% | 25.00% | 0.87 |
| 0.78–1.12 | 17.15% | 21.43% | 1.25 | |
| 1.13–2.23 | 16.82% | 23.21% | 1.38 | |
| 2.24–21.92 | 15.81% | 10.71% | 0.68 | |
| Convexity | 0–37.36 | 18.55% | 8.93% | 0.48 |
| 37.36–38.90 | 18.67% | 17.86% | 0.96 | |
| 38.90–40.43 | 21.09% | 30.36% | 1.44 | |
| 40.43–43.49 | 22.74% | 25.00% | 1.1 | |
| 43.49–78.10 | 18.96% | 17.86% | 0.94 | |
| Protection index | 0–0.012 | 20.03% | 6.98% | 0.35 |
| 0.013–0.02 | 20.21% | 20.93% | 1.04 | |
| 0.021–0.027 | 20.04% | 27.91% | 1.39 | |
| 0.028–0.043 | 19.93% | 25.58% | 1.28 | |
| 0.044–0.499 | 19.79% | 18.60% | 0.94 | |
| TWI | −10.32–3.86 | 18.97% | 19.64% | 1.04 |
| 3.87–4.83 | 20.61% | 19.64% | 0.95 | |
| 4.83–6.02 | 21.78% | 12.50% | 0.57 | |
| 6.02–10.21 | 11.96% | 3.57% | 0.3 | |
| 10.21–17.09 | 26.69% | 44.64% | 1.67 | |
| SPI | −408,344,80–−2,793,230.43 | 0.00% | 0.00% | 0 |
| −2,793,230.43–−658,748.48 | 0.00% | 0.00% | 0 | |
| −658,748.48–1,475,733.45 | 0.02% | 0.00% | 0 | |
| 1,475,733.46–5,744,697.34 | 99.98% | 100.00% | 1 | |
| 5,744,697.35–135,948,096 | 0.00% | 0.00% | 0 | |
| Distance to river | 0–16.63 | 21.33% | 28.57% | 1.34 |
| 16.63–83.18 | 21.05% | 26.79% | 1.27 | |
| 83.18–199.63 | 19.40% | 16.07% | 0.83 | |
| 199.64–549 | 19.17% | 26.79% | 1.4 | |
| 549–4242.32 | 19.05% | 1.79% | 0.09 | |
| River density | 0–966.499 | 19.85% | 7.14% | 0.36 |
| 966.5–2077.97 | 20.28% | 28.57% | 1.41 | |
| 2077.97–2996.14 | 19.72% | 25.00% | 1.27 | |
| 2996.14–4252.59 | 20.33% | 21.43% | 1.05 | |
| 4252.59–12,322.86 | 19.82% | 17.86% | 0.9 | |
| Cell balance | −1–−0.90 | 19.93% | 14.29% | 0.72 |
| −0.90–−0.49 | 19.93% | 21.43% | 1.08 | |
| −0.49–−0.15 | 19.93% | 28.57% | 1.43 | |
| −0.15–0.28 | 20.28% | 23.21% | 1.14 | |
| 0.28–7 | 19.93% | 12.50% | 0.63 | |
| Melton ruggedness number | 0–0.29 | 51.83% | 50.00% | 0.96 |
| 0.29–0.96 | 13.09% | 8.93% | 0.68 | |
| 0.96–1.88 | 13.85% | 19.64% | 1.42 | |
| 1.88–3.28 | 10.63% | 12.50% | 1.18 | |
| 3.28–9.41 | 10.61% | 8.93% | 0.84 | |
| Valley depth | 0–2.869 | 17.56% | 100.00% | 5.69 |
| 2.87–5.165 | 23.41% | 0.00% | 0 | |
| 5.16–8.60 | 21.21% | 0.00% | 0 | |
| 8.60–15.49 | 19.04% | 0.00% | 0 | |
| 15.49–146.33 | 18.77% | 0.00% | 0 | |
| Rainfall | 325.13–370.93 | 19.54% | 10.71% | 0.55 |
| 370.93—396.66 | 19.84% | 10.71% | 0.54 | |
| 396.66–417.36 | 20.08% | 39.29% | 1.96 | |
| 417.36–439.32 | 19.72% | 26.79% | 1.36 | |
| 439.32–485.13 | 20.82% | 12.50% | 0.6 | |
| Lithology | M3P—Conglomerates, sands, silts, and marl | 5.39% | 4.87% | 0.91 |
| M2—Gypsum marls, gypsum, clays, and sandstones | 5.24% | 2.44% | 0.46 | |
| Plm—Sandstones | 1.81% | 9.75% | 5.38 | |
| T—Clays, gypsum, dolomite, and silts | 3.33% | 2.44% | 0.73 | |
| C7—Limestone bars with marl | 1.09% | 0.00% | 0 | |
| C5-6—Clays, marl with limestone | 2.41% | 0.00% | 0 | |
| Pa—Clays and black-gray marl | 0.39% | 0.00% | 0 | |
| E1g—Limestone with globigerines | 0.32% | 0.00% | 0 | |
| E2—Clays, marl with yellow bubbles, lumachelle | 0.90% | 0.00% | 0 | |
| C4—Marl with limestones bars | 0.99% | 2.44% | 2.47 | |
| C1-3—Marl, limestones with clays and quartzites | 1.27% | 0.00% | 0 | |
| O2—Coarse sandstones | 1.16% | 2.44% | 2.11 | |
| O1—Sandstones and clays | 0.45% | 2.44% | 5.39 | |
| E1n—Limestone with nummulites | 0.65% | 0.00% | 0 | |
| J—Limestone, dolomite, and marl | 0.17% | 0.00% | 0 | |
| M1—Limestone sandstone, lumachelle, and clays | 0.37% | 0.00% | 0 | |
| Qe—Dune sands | 0.36% | 0.08% | 0.21 | |
| Qc—Clays, silts, conglomerates | 73.71% | 73.12% | 0.99 | |
| Lineament density | 0–0.48 | 20.00% | 23.21% | 1.16 |
| 0.48–0.71 | 20.00% | 33.93% | 1.7 | |
| 0.71–0.96 | 20.00% | 12.50% | 0.63 | |
| 0.96–1.32 | 20.00% | 16.07% | 0.8 | |
| 1.32–2.65 | 20.00% | 14.29% | 0.71 | |
| Soil texture | Clay–silt | 36.35% | 21.05% | 0.58 |
| Sandy clay | 29.85% | 22.81% | 0.76 | |
| Silt | 19.20% | 1.75% | 0.09 | |
| Clay | 0.48% | 8.77% | 18.26 | |
| Silt clayey | 3.22% | 0.00% | 0 | |
| Sandy soil; Sandy silt | 6.69% | 3.51% | 0.52 | |
| Sandy clay | 0.03% | 21.05% | 735.65 | |
| Sandy-silty | 0.04% | 21.05% | 587.29 | |
| NDWI | −0.54–−0.25 | 28.27% | 75.61% | 2.67 |
| −0.05 | 39.65% | 41.46% | 1.05 | |
| −0.20–−0.14 | 27.15% | 17.07% | 0.63 | |
| −0.14–0.02 | 4.24% | 2.44% | 0.57 | |
| 0.02–0.41 | 0.69% | 4.88% | 7.07 | |
| NDVI | −0.34–0.09 | 17.02% | 7.32% | 0.43 |
| 0.099–0.134 | 22.08% | 14.63% | 0.66 | |
| 0.135–0.177 | 21.19% | 24.39% | 1.15 | |
| 0.178–0.231 | 20.36% | 34.15% | 1.68 | |
| 0.232–0.571 | 19.34% | 19.51% | 1.01 | |
| LULC | Urban area | 8.74% | 8.06% | 0.92 |
| Water body | 2.14% | 6.91% | 3.22 | |
| Wetlands | 7.67% | 16.48% | 2.15 | |
| Crop | 30.54% | 32.99% | 1.08 | |
| Vegetables | 23.33% | 29.01% | 1.24 | |
| Bare soil | 18.03% | 3.29% | 0.18 | |
| Arboriculture | 5.18% | 2.77% | 0.53 | |
| Forest | 4.37% | 0.50% | 0.11 |
References
- IPCC. Climate Change and Land: An IPCC Special Report on Climate Change, Kimdesertification, Land Degradation, Sustainable Land Management, Food Security, and Greenhouse Gas Fluxes in Terrestrial Ecosystems; Shukla, P.R., Skea, J., Buendía, E.C., Eds.; IPCC: Geneva, Switzerland, 2019. [Google Scholar]
- Arabameri, A.; Pradhan, B.; Rezaei, K.; Lee, S.; Sohrabi, M. An ensemble model for landslide susceptibility mapping in a forested area. Geocarto Int. 2020, 35, 1680–1705. [Google Scholar] [CrossRef]
- Naghibi, S.A.; Moghaddam, D.D.; Kalantar, B.; Pradhan, B.; Kisi, O. A comparative assessment of GIS-based data mining models and a novel ensemble model in groundwater well potential mapping. J. Hydrol. 2017, 548, 471–483. [Google Scholar] [CrossRef]
- Khosravi, K.; Panahi, M.; Tien Bui, D. Spatial prediction of groundwater spring potential mapping based on an adaptive neuro-fuzzy inference system and metaheuristic optimization. Hydrol. Earth Syst. Sci. 2018, 22, 4771–4792. [Google Scholar] [CrossRef]
- Trabelsi, F.; Lee, S.; Khlifi, S.; Arfaoui, A. Frequency Ratio Model for Mapping Groundwater Potential Zones Using GIS and Remote Sensing; Medjerda Watershed Tunisia. In Advances in Sustainable and Environmental Hydrology, Hydrogeology, Hydrochemistry and Water Resources; CAJG 2018, Advances in Science, Technology & Innovation; Chaminé, H., Barbieri, M., Kisi, O., Chen, M., Merkel, B., Eds.; Springer: Berlin/Heidelberg, Germany, 2019; pp. 341–345. [Google Scholar]
- Lee, S.; Rezaie, F. Status of Groundwater Potential Mapping Research Using GIS and Machine Learning. Korean J. Remote Sens. 2020, 36, 14. [Google Scholar] [CrossRef]
- Adeyeye, O.; Ikpokonte, E.; Arabi, S.A. GIS-based groundwater potential mapping within Dengi area, North Central Nigeria Egypt. J. Remote. Sens. Space Sci. 2019, 22, 175–181. [Google Scholar]
- Arabameri, A.; Roy, J.; Saha, S.; Blaschke, T.; Ghorbanzadeh, O.; Bui, D.T. Application of Probabilistic and Machine Learning Models for Groundwater Potentiality Mapping in Damghan Sedimentary Plain, Iran. Remote Sens. 2019, 11, 3015. [Google Scholar] [CrossRef]
- Zhang, T.Y.; Han, L.; Zhang, H.; Zhao, Y.-H.; Li, X.-A.; Zhao, L. GIS-based landslide susceptibility mapping using hybrid integration approaches of fractal dimension with index of entropy and support vector machine. J. Mt. Sci. 2019, 16, 1275–1288. [Google Scholar] [CrossRef]
- Razandi, Y.; Pourghasemi, H.R.; Neisani, N.S.; Rahmati, O. Application of analytical hierarchy process, frequency ratio, and certainty factor models for groundwater potential mapping using GIS. Earth Sci. Inform. 2015, 8, 867–883. [Google Scholar] [CrossRef]
- Trabelsi, F.; Tarhouni, J.; Mammou, A.B. GIS-based subsurface databases and 3-D geological modeling as a tool for the set up of hydrogeological framework: Nabeul–Hammamet coastal aquifer case study (Northeast Tunisia). Environ. Earth Sci. 2013, 70, 2087–2105. [Google Scholar] [CrossRef]
- Arabameri, A.; Pal, S.C.; Rezaie, F.; Nalivan, O.A.; Chowdhuri, I.; Saha, A.; Lee, S.; Moayedi, H. Modeling groundwater potential using novel GIS-based machine-learning ensemble techniques. J. Hydrol. Reg. Stud. 2021, 36, 100848. [Google Scholar] [CrossRef]
- Dar, T.; Rai, N.; Bhat, A. Delineation of potential groundwater recharge zones using analytical hierarchy process (AHP). Geol. Ecol. Landsc. 2020, 5, 292–307. [Google Scholar] [CrossRef]
- Saranya, T.; Saravanan, S. Groundwater potential zone mapping using analytical hierarchy process (AHP) and GIS for Kancheepuram District, Tamilnadu, India. Model. Earth Syst. Environ. 2020, 6, 1105–1122. [Google Scholar] [CrossRef]
- Rahmati, O.; Samani, A.N.; Mahdavi, M.; Pourghasemi, H.R.; Zeinivand, H. Groundwater potential mapping at Kurdistan region of Iran using analytic hierarchy process and GIS. Arab. J. Geosci. 2014, 8, 7059–7071. [Google Scholar] [CrossRef]
- Akgun, A. A comparison of landslide susceptibility maps produced by logistic regression, multi-criteria decision, and likelihood ratio methods: A case study at İzmir, Turkey. Landslides 2011, 9, 93–106. [Google Scholar] [CrossRef]
- Al-Abadi, A.M. Groundwater potential mapping at northeastern Wasit and Missan governorates, Iraq using a data-driven weights of evidence technique in framework of GIS. Environ. Earth Sci. 2015, 74, 1109–1124. [Google Scholar] [CrossRef]
- Tahmassebipoor, N.; Rahmati, O.; Noormohamadi, F.; Lee, S. Spatial analysis of groundwater potential using weights-of-evidence and evidential belief function models and remote sensing. Arab. J. Geosci. 2015, 9, 1–18. [Google Scholar] [CrossRef]
- Nampak, H.; Pradhan, B.; Manap, M.A. Application of GIS based data driven evidential belief function model to predict groundwater potential zonation. J. Hydrol. 2014, 513, 283–300. [Google Scholar] [CrossRef]
- Mogaji, K.A.; Omosuyi, G.O.; Adelusi, A.O.; Lim, H.S. Application of GIS-Based Evidential Belief Function Model to Regional Groundwater Recharge Potential Zones Mapping in Hardrock Geologic Terrain. Environ. Process. 2016, 3, 93–123. [Google Scholar] [CrossRef]
- Oh, H.-J.; Kim, Y.-S.; Choi, J.-K.; Park, E.; Lee, S. GIS mapping of regional probabilistic groundwater potential in the area of Pohang City, Korea. J. Hydrol. 2011, 399, 158–172. [Google Scholar] [CrossRef]
- Guru, B.; Seshan, K.; Bera, S. Frequency ratio model for groundwater potential mapping and its sustainable management in cold desert, India. J. King Saud Univ. Sci. 2017, 29, 333–347. [Google Scholar] [CrossRef]
- Nguyen, P.T.; Ha, D.H.; Jaafari, A.; Nguyen, H.D.; Van Phong, T.; Al-Ansari, N.; Prakash, I.; Van Le, H.; Pham, B.T. Groundwater Potential Mapping Combining Artificial Neural Network and Real AdaBoost Ensemble Technique: The DakNong Province Case-study, Vietnam. Int. J. Environ. Res. Public Health 2020, 17, 2473. [Google Scholar] [CrossRef] [PubMed]
- Mallick, J.; Singh, C.K.; Al-Wadi, H.; Ahmed, M.; Rahman, A.; Shashtri, S.; Mukherjee, S. Geospatial and geostatistical approach for groundwater potential zone delineation. Hydrol. Process. 2014, 29, 395–418. [Google Scholar] [CrossRef]
- Chen, W.; Peng, J.; Hong, H.; Shahabi, H.; Pradhan, B.; Liu, J.; Zhu, A.-X.; Pei, X.; Duan, Z. Landslide susceptibility modelling using GIS-based machine learning techniques for Chongren County, Jiangxi Province, China. Sci. Total. Environ. 2018, 626, 1121–1135. [Google Scholar] [CrossRef] [PubMed]
- Rasool, U.; Yin, X.; Xu, Z.; Rasool, M.A.; Senapathi, V.; Hussain, M.; Siddique, J.; Trabucco, J.C. Mapping of groundwater productivity potential with machine learning algorithms: A case study in the provincial capital of Baluchistan, Pakistan. Chemosphere 2022, 303, 135265. [Google Scholar] [CrossRef] [PubMed]
- Ali, S.A.; Parvin, F.; Pham, Q.B.; Vojtek, M.; Vojteková, J.; Costache, R.; Linh, N.T.T.; Nguyen, H.Q.; Ahmad, A.; Ghorbani, M.A. GIS-based comparative assessment of flood susceptibility mapping using hybrid multi-criteria decision-making approach, naïve Bayes tree, bivariate statistics and logistic regression: A case of Topľa basin, Slovakia. Ecol. Indic. 2020, 117, 106620. [Google Scholar] [CrossRef]
- Truong, X.L.; Mitamura, M.; Kono, Y.; Raghavan, V.; Yonezawa, G.; Truong, X.Q.; Do, T.H.; Bui, D.T.; Lee, S. Enhancing Prediction Performance of Landslide Susceptibility Model Using Hybrid Machine Learning Approach of Bagging Ensemble and Logistic Model Tree. Appl. Sci. 2018, 8, 1046. [Google Scholar] [CrossRef]
- Rahmati, O.; Tahmasebipour, N.; Haghizadeh, A.; Pourghasemi, H.R.; Feizizadeh, B. Evaluation of different machine learning models for predicting and mapping the susceptibility of gully erosion. Geomorphology 2017, 298, 118–137. [Google Scholar] [CrossRef]
- Chowdhuri, I.; Pal, S.C.; Arabameri, A.; Saha, A.; Chakrabortty, R.; Blaschke, T.; Pradhan, B.; Band, S. Implementation of Artificial Intelligence Based Ensemble Models for Gully Erosion Susceptibility Assessment. Remote. Sens. 2020, 12, 3620. [Google Scholar] [CrossRef]
- Talukdar, S.; Roy, S.K.; Sarkar, S.K.; Mahato, S.; Pal, S.; Rahman, A.; Praveen, B.; Das, T. Application of Hybrid Machine Learning Algorithms for Flood Susceptibility Modeling. In Spatial Modelling of Flood Risk and Flood Hazards; Springer: Cham, Switzerland, 2022. [Google Scholar]
- Tehrany, M.S.; Pradhan, B.; Jebur, M.N. Flood susceptibility mapping using a novel ensemble weights-of-evidence and support vector machine models in GIS. J. Hydrol. 2014, 512, 332–343. [Google Scholar] [CrossRef]
- Friedman, J.H.; Meulman, J.J. Multiple additive regression trees with application in epidemiology. Stat. Med. 2003, 22, 1365–1381. [Google Scholar] [CrossRef]
- Naghibi, S.A.; Pourghasemi, H.R. A Comparative Assessment Between Three Machine Learning Models and Their Performance Comparison by Bivariate and Multivariate Statistical Methods in Groundwater Potential Mapping. Water Resour. Manag. 2015, 29, 5217–5236. [Google Scholar] [CrossRef]
- Lee, S.; Hong, S.-M.; Jung, H.-S. GIS-based groundwater potential mapping using artificial neural network and support vector machine models: The case of Boryeong city in Korea. Geocarto Int. 2017, 33, 847–861. [Google Scholar] [CrossRef]
- Lee, S. Editorial for Special Issue: “Application of Artificial Neural Networks in Geoinformatics”. Appl. Sci. 2018, 8, 55. [Google Scholar] [CrossRef]
- Foddis, M.L.; Montisci, A.; Trabelsi, F.; Uras, G. An MLP-ANN-based approach for assessing nitrate contamination. J. Water Supply Res. Technol. 2019, 19, 1911–1917. [Google Scholar] [CrossRef]
- Tamiru, H.; Wagari, M. Comparison of ANN model and GIS tools for delineation of groundwater potential zones, Fincha Catchment, Abay Basin, Ethiopia. Geocarto Int. 2021, 37, 6736–6754. [Google Scholar] [CrossRef]
- Chen, Y.; Chen, W.; Pal, S.C.; Saha, A.; Chowdhuri, I.; Adeli, B.; Janizadeh, S.; Dineva, A.A.; Wang, X.; Mosavi, A. Evaluation efficiency of hybrid deep learning algorithms with neural network decision tree and boosting methods for predicting groundwater potential. Geocarto Int. 2021, 37, 5564–5584. [Google Scholar] [CrossRef]
- Lee, S.; Lee, C.-W. Application of Decision-Tree Model to Groundwater Productivity-Potential Mapping. Sustainability 2015, 7, 13416–13432. [Google Scholar] [CrossRef]
- Chen, C.; He, W.; Zhou, H.; Xue, Y.; Zhu, M. A comparative study among machine learning and numerical models for simulating groundwater dynamics in the Heihe River Basin, northwestern China. Sci. Rep. 2020, 10, 3904. [Google Scholar] [CrossRef]
- Duan, H.; Deng, Z.; Deng, F.; Wang, D. Assessment of Groundwater Potential Based on Multicriteria Decision Making Model and Decision Tree Algorithms. Math. Probl. Eng. 2016, 2016, 1–11. [Google Scholar] [CrossRef]
- Choubin, B.; Hosseini, F.S.; Fried, Z.; Mosavi, A. Application of Bayesian Regularized Neural Networks for Groundwater Level Modeling. In Proceedings of the 2020 IEEE 3rd International Conference and Workshop in Óbuda on Electrical and Power Engineering (CANDO-EPE), Budapest, Hungary, 18–19 November 2020; pp. 209–212. [Google Scholar] [CrossRef]
- Pham, B.T.; Nguyen-Thoi, T.; Ly, H.-B.; Nguyen, M.D.; Al-Ansari, N.; Tran, V.-Q.; Le, T.-T. Extreme Learning Machine Based Prediction of Soil Shear Strength: A Sensitivity Analysis Using Monte Carlo Simulations and Feature Backward Elimination. Sustainability 2020, 12, 2339. [Google Scholar] [CrossRef]
- Naghibi, S.A.; Pourghasemi, H.R.; Abbaspour, K. A comparison between ten advanced and soft computing models for groundwater qanat potential assessment in Iran using R and GIS. Arch. Meteorol. Geophys. Bioclimatol. Ser. B 2017, 131, 967–984. [Google Scholar] [CrossRef]
- Chen, W.; Tsangaratos, P.; Ilia, I.; Duan, Z.; Chen, X. Groundwater spring potential mapping using population-based evolutionary algorithms and data mining methods. Sci. Total Environ. 2019, 684, 31–49. [Google Scholar] [CrossRef] [PubMed]
- Panahi, M.; Sadhasivam, N.; Pourghasemi, H.R.; Rezaie, F.; Lee, S. Spatial prediction of groundwater potential mapping based on convolutional neural network (CNN) and support vector regression (SVR). J. Hydrol. 2020, 588, 125033. [Google Scholar] [CrossRef]
- Fadhillah, M.F.; Lee, S.; Lee, C.W.; Park, Y.C. Application of Support Vector Regression and Metaheuristic Optimization Algorithms for Groundwater Potential Mapping in Gangneung-si, South Korea. Remote Sens. 2021, 13, 1196. [Google Scholar] [CrossRef]
- Al-Fugara, A.; Ahmadlou, M.; Al-Shabeeb, A.R.; AlAyyash, S.; Al-Amoush, H.; Al-Adamat, R. Spatial mapping of groundwater springs potentiality using grid search-based and genetic algorithm-based support vector regression. Geocarto Int. 2022, 37, 284–303. [Google Scholar] [CrossRef]
- Naghibi, S.A.; Dashtpagerdi, M.M. Evaluation of four supervised learning methods for groundwater spring potential mapping in Khalkhal region (Iran) using GIS-based features. Hydrogeol. J. 2016, 25, 169–189. [Google Scholar] [CrossRef]
- Rahmati, O.; Tahmasebipour, N.; Haghizadeh, A.; Pourghasemi, H.R.; Feizizadeh, B. Evaluating the influence of geo-environmental factors on gully erosion in a semi-arid region of Iran: An integrated framework. Sci. Total. Environ. 2017, 579, 913–927. [Google Scholar] [CrossRef]
- Golkarian, A.; Naghibi, S.A.; Kalantar, B.; Pradhan, B. Groundwater potential mapping using C5.0, random forest and multivariate adaptive regression spline models in GIS. Environ. Monit. Assess. 2018, 190, 149. [Google Scholar] [CrossRef]
- Rajasekhar, M.; Sudarsana Raju, G.; Sreenivasulu, Y.; Siddi Raju, R. Delineation of groundwater potential zones in semi-arid region of Jilledubanderu river basin, Anantapur District, Andhra Pradesh, India using fuzzy logic, AHP and integrated fuzzy-AHP approaches. HydroResearch 2019, 2, 97–108. [Google Scholar] [CrossRef]
- Ahmad, I.; Dar, M.A.; Teka, A.H.; Teshome, M.; Andualem, T.G.; Teshome, A.; Shafi, T. GIS and fuzzy logic techniques-based demarcation of groundwater potential zones: A case study from Jemma River basin, Ethiopia. J. Afr. Earth Sci. 2020, 169, 103860. [Google Scholar] [CrossRef]
- Pham, B.; Jaafari, A.; Prakash, I.; Singh, S.; Quoc, N.; Bui, D. Hybrid computational intelligence models for groundwater potential mapping. Catena 2019, 182, 104101. [Google Scholar] [CrossRef]
- Kordestani, M.D.; Naghibi, S.A.; Hashemi, H.; Ahmadi, K.; Kalantar, B.; Pradhan, B. Groundwater potential mapping using a novel data-mining ensemble model. Hydrogeol. J. 2018, 27, 211–224. [Google Scholar] [CrossRef]
- Chen, W.; Pourghasemi, H.R.; Zhao, Z. A GIS-based comparative study of Dempster-Shafer, logistic regression and artificial neural network models for landslide susceptibility mapping. Geocarto Int. 2017, 32, 367–385. [Google Scholar] [CrossRef]
- Naghibi, S.A.; Dolatkordestani, M.; Rezaei, A.; Amouzegari, P.; Heravi, M.T.; Kalantar, B.; Pradhan, B. Application of rotation forest with decision trees as base classifier and a novel ensemble model in spatial modeling of groundwater potential. Environ. Monit. Assess. 2019, 191, 248. [Google Scholar] [CrossRef] [PubMed]
- Chen, W.; Panahic, M.; Khosravid, K.; Pourghasemie, H.R.; Rezaiec, F.; Parvinnejhad, D. Spatial prediction of groundwater potentiality using ANFIS ensembled with teaching-learning-based and biogeography-based optimization. J. Hydrol. 2019, 572, 435–448. [Google Scholar] [CrossRef]
- Termeh, S.V.R.; Khosravi, K.; Sartaj, M.; Keesstra, S.D.; Tsai, F.T.-C.; Dijksma, R.; Pham, B.T. Optimization of an adaptive neuro-fuzzy inference system for groundwater potential mapping. Hydrogeol. J. 2019, 27, 2511–2534. [Google Scholar] [CrossRef]
- Panahi, M.; Gayen, A.; Pourghasemi, H.R.; Rezaie, F.; Lee, S. Spatial prediction of landslide susceptibility using hybrid support vector regression (SVR) and the adaptive neuro-fuzzy inference system (ANFIS) with various metaheuristic algorithms. Sci. Total. Environ. 2020, 741, 139937. [Google Scholar] [CrossRef]
- Milan, S.G.; Roozbahani, A.; Azar, N.A.; Javadi, S. Development of adaptive neuro fuzzy inference system –Evolutionary algorithms hybrid models (ANFIS-EA) for prediction of optimal groundwater exploitation. J. Hydrol. 2021, 598, 126258. [Google Scholar] [CrossRef]
- Xie, Z.; Zhang, Q.; Hsu, W.; Lee, M.L. Enhancing SNNB with Local Accuracy Estimation and Ensemble Techniques. In Database Systems for Advanced Applications; DASFAA 2005, Lecture Notes in Computer Science; Zhou, L., Ooi, B.C., Meng, X., Eds.; Springer: Berlin/Heidelberg, Germany, 2005; Volume 3453, pp. 523–535. [Google Scholar] [CrossRef]
- Miraki, S.; Zanganeh, S.H.; Chapi, K.; Singh, V.P.; Shirzadi, A.; Shahabi, H.; Pham, B.T. Mapping Groundwater Potential Using a Novel Hybrid Intelligence Approach. Water Resour. Manag. 2019, 33, 281–302. [Google Scholar] [CrossRef]
- Awad, M.; Khanna, R. Support Vector Regression. In Efficient Learning Machines: Theories, Concepts, and Applications for Engineers and System Designers; Apress: Berkeley, CA, USA, 2015; pp. 67–80. [Google Scholar] [CrossRef]
- Trabelsi, F.; Ali, S.B.H. Exploring Machine Learning Models in Predicting Irrigation Groundwater Quality Indices for Effective Decision Making in Medjerda River Basin, Tunisia. Sustainability 2022, 14, 2341. [Google Scholar] [CrossRef]
- National Institute of Meteorology, Tunisia 2021. Available online: https://www.meteo.tn/en/national-institute-meteorology (accessed on 1 September 2022).
- Ben Ayed, N. Les Décrochements—Chevauchements de la Tunisie Septentrionale: Géométrie et Essai de Reconstitution des Conditions de Déformations; ETAP: Aberdeen, UK, 1998. [Google Scholar]
- Rouvier, H. Géologie de l’Extrême Nord-Tunisien: Tectonique et Paléogéographie Superposées à l’Extrémité Orientale de la Chaine Nord-Maghrébine. Thèsed’Etat, Paris, France, 1977. [Google Scholar]
- Perthuisot, V. Dynamique et Pétrogenèse des Extrusions Triasiques en Tunisie Septentrionale. Thèse de Doctorat es-Sciences, Trav. Labo. Géol. (Ecole Normale Supérieure), Paris, France, 1978. [Google Scholar]
- Ghanmi, M. Étude Géologique du Djebel Kebbouch (Tunisie Septentrionale). Thèse Doct. 3e Cycle, Univ. Paul-Sabatier, Toulouse, France, 1980. [Google Scholar]
- Melki, F.; Zouaghi, T.; Harrab, S.; Sainz, A.C.; Bédir, M.; Zargouni, F. Structuring and evolution of Neogene transcurrent basins in the Tellian foreland domain, north-eastern Tunisia. J. Geodyn. 2011, 52, 57–69. [Google Scholar] [CrossRef]
- Bejaoui, H.; Aïfa, T.; Melki, F.; Zargouni, F. Structural evolution of Cenozoic basins in northeastern Tunisia, in response to sinistral strike-slip movement on the El Alia-Teboursouk Fault. J. Afr. Earth Sci. 2017, 134, 174–197. [Google Scholar] [CrossRef]
- Bouyahya, N.; Trabelsi, F. Caractérisation de la Géométrie du Système Aquifère de la Basse Vallée de la Medjerda. Mémoire de fin d’études de mastère de recherche, spécialité Changement Climatique et gestion de l’eau. ESIM/Université de Jendouba: Tunisie.
- Regional Commission for Agricultural Development Ariana, Tunisia. 2020. Available online: http://www.ctab.nat.tn/index.php/en/sector-situation/tunisia/structure-and-organization (accessed on 1 September 2022).
- Singh, A.; Panda, S.N.; Uzokwe, V.N.; Krause, P. An assessment of groundwater recharge estimation techniques for sustainable resource management. Groundw. Sustain. Dev. 2019, 9, 100218. [Google Scholar] [CrossRef]
- Choubin, B.; Rahmati, O. Groundwater potential mapping using hybridization of simulated annealing and random forest. In Water Engineering Modeling and Mathematic Tools; Elsevier: Amsterdam, The Netherlands, 2021; pp. 391–403. [Google Scholar] [CrossRef]
- Mallick, J.; Talukdar, S.; Ahmed, M. Combining high resolution input and stacking ensemble machine learning algorithms for developing robust groundwater potentiality models in Bisha watershed, Saudi Arabia. Appl. Water Sci. 2022, 12, 77. [Google Scholar] [CrossRef]
- Costache, R. Flash-Flood Potential assessment in the upper and middle sector of Prahova river catchment (Romania). A comparative approach between four hybrid models. Sci. Total. Environ. 2019, 659, 1115–1134. [Google Scholar] [CrossRef]
- Yousefi, S.; Avand, M.; Yariyan, P.; Pourghasemi, H.; Keesstra, S.; Tavangar, S.; Tabibian, S. A novel GIS-based ensemble technique for rangeland downward trend mapping as an ecological indicator change. Ecol. Indic. 2020, 117, 106591. [Google Scholar] [CrossRef]
- Manap, M.A.; Nampak, H.; Pradhan, B.; Lee, S.; Sulaiman, W.N.A.; Ramli, M.F. Application of probabilistic-based frequency ratio model in groundwater potential mapping using remote sensing data and GIS. Arab. J. Geosci. 2012, 7, 711–724. [Google Scholar] [CrossRef]
- Torcivia, C.E.G.; López, N.N.R. Preliminary Morphometric Analysis: Río Talacasto Basin, Central Precordillera of San Juan, Argentina Advances in Geomorphology and Quaternary Studies in Argentina; Springer: Cham, Switzerland, 2020; pp. 158–168. [Google Scholar]
- Costache, R.; Bui, D.T. Identification of areas prone to flash-flood phenomena using multiple-criteria decision-making, bivariate statistics, machine learning and their ensembles. Sci. Total. Environ. 2020, 712, 136492. [Google Scholar] [CrossRef]
- Böhner, J.; Selige, T. Spatial prediction of soil attributes using terrain analysis and climate regionalization. In SAGA—Analyses and Modelling Applications; Böhner, J., McCloy, K.R., Strobl, J., Eds.; Göttinger Geographische Abhandlungen: Göttingen, Germany, 2006; Volume 115, pp. 13–28 + 118–120. [Google Scholar]
- Gallant, J.C.; Dowling, T.I. A multiresolution index of valley bottom flatness for mapping depositional areas. Water Resour. Res. 2003, 39, 1347–1359. [Google Scholar] [CrossRef]
- Herron, N.; Wilson, C. A water balance approach to assessing the hydrologic buffering potential of an alluvial fan. Water Resour. Res. 2001, 37, 341–351. [Google Scholar] [CrossRef]
- Butterworth, R.; Wilson, C.J.; Herron, N.F.; Greene, R.S.B.; Cunningham, R.B. Geomorphic controls on the physical and hydrologic properties of soils in a valley floor. Earth Surf. Process. Landf. 2000, 25, 1161–1179. [Google Scholar] [CrossRef]
- Bendix, J. Geländeklimatologie. Meteorol. Z. 2004, 14, 282. [Google Scholar]
- Moore, I.D.; Grayson, R.B.; Ladson, A.R. Digital terain modelling: A review of hydrological.; geomorphological.; and biological applications. Hydrol. Process. 1991, 5, 3–30. [Google Scholar] [CrossRef]
- Pourghasemi, H.R.; Beheshtirad, M. Assessment of a data-driven evidential belief function model and GIS for groundwater potential mapping in the Koohrang Watershed, Iran. Geocarto Int. 2014, 30, 662–685. [Google Scholar] [CrossRef]
- Olaya, V. A Gentle Introduction to SAGA GIS. 2001. Available online: http://www.saga-gis.uni-goettingen.de (accessed on 10 August 2022).
- Bourque, C.P.-A.; Bayat, M. Landscape Variation in Tree Species Richness in Northern Iran Forests. PLoS ONE 2015, 10, e0121172. [Google Scholar] [CrossRef]
- Moore, I.D.; Wilson, J.P. Length-slope factors for the revised universal soil loss equation: Simplified method of estimation. J. Soil Water Conserv. 1992, 47, 423–428. [Google Scholar]
- Horton, R.E. Drainage basin characteristics. Trans. Am. Geop. Union 1932, 14, 350–361. [Google Scholar] [CrossRef]
- O’Callaghan, J.F.; Tahmasebipour, M.N. Haghizadeh networks from digital elevation data. Comput. Vis. Graph. Image Process. 1984, 28, 323–344. [Google Scholar] [CrossRef]
- Conrad, O.; Bechtel, B.; Bock, M.; Dietrich, H.; Fischer, E.; Gerlitz, L.; Wehberg, J.; Wichmann, V.; Böhner, J. System for Automated Geoscientific Analyses (SAGA) v. 2.1.4. Geosci. Model Dev. 2015, 8, 1991–2007. [Google Scholar] [CrossRef]
- Oikonomidis, D.; Dimogianni, S.; Kazakis, N.; Voudouris, K. A GIS/Remote Sensing-based methodology for groundwater potentiality assessment in Tirnavos area, Greece. J. Hydrol. 2015, 525, 197–208. [Google Scholar] [CrossRef]
- Travaglia, C.; Dianelli, N. Groundwater Search by Remote Sensing: A Methodological Approach; Author’s Personal Copy; Environment and Natural Earth Sci Inform, Resources Service Sustainable Development Department; FAO: Rome, Italy, 2003; p. 34. [Google Scholar]
- Adiat, K.; Nawawi, M.; Abdullah, K. Assessing the Accuracy of GIS-Based Elementary Multicriteria Decision Analysis as a Spatial Prediction Tool: A Case of Predicting Potential Zones of Sustainable Groundwater Resources. J. Hydrol. 2012, 440–441, 75–89. [Google Scholar] [CrossRef]
- McFeeters, S.K. The use of the Normalized Difference Water Index (NDWI) in the delineation of open water features. Int. J. Remote Sens. 1996, 17, 1425–1432. [Google Scholar] [CrossRef]
- Rouse, J.W.; Haas, R.H.; Schell, J.A.; Deering, D.W. Monitoring vegetation systems in the Great Plains with ERTS. In Proceedings of the Third Earth Resources Technology Satellite Symposium, Washington, DC, USA, 10–14 December 1973; NASA: Washington, DC, USA, 1973; Volume 1, pp. 309–331. [Google Scholar]
- Lee, S.; Pradhan, B. Landslide hazard mapping at Selangor, Malaysia using frequency ratio and logistic regression models. Landslides 2007, 4, 33–41. [Google Scholar] [CrossRef]
- Haykin, S. Neural Networks: A Comprehensive Foundation; Prentice Hall PTR: Delhi, India, 1994. [Google Scholar]
- Jain, S.K.; Das, A.; Srivastava, D.K. Application of ANN for reservoir infow prediction and operation. J. Water Resour. Plan. Manag. 1999, 125, 263–271. [Google Scholar] [CrossRef]
- Vadiati, M.; Yami, Z.R.; Eskandari, E.; Nakhaei, M.; Kisi, O. Application of artificial intelligence models for prediction of groundwater level fluctuations: Case study (Tehran-Karaj alluvial aquifer). Environ. Monit. Assess. 2022, 194, 1–21. [Google Scholar] [CrossRef]
- Khashei, M.; Bijari, M. An artificial neural network (p,d,q) model for timeseries forecasting. Expert Syst. Appl. 2010, 37, 479–489. [Google Scholar] [CrossRef]
- Hasanuzzaman, M.; Mandal, M.H.; Hasnine, M.; Shit, P.K. Groundwater potential mapping using multi-criteria decision, bivariate statistic and machine learning algorithms: Evidence from Chota Nagpur Plateau, India. Appl. Water Sci. 2022, 12, 1–16. [Google Scholar] [CrossRef]
- Ho, T.K. The random subspace method for constructing decision forests. IEEE Trans. Pattern Anal. Mach. Intell. 1998, 20, 832–844. [Google Scholar] [CrossRef]
- Breiman, L. Random forests. Mach. Learn. 2001, 45, 5–32. [Google Scholar] [CrossRef]
- Kim, J.-C.; Lee, S.; Jung, H.-S.; Lee, S. Landslide susceptibility mapping using random forest and boosted tree models in Pyeong-Chang, Korea. Geocarto Int. 2018, 33, 1000–1015. [Google Scholar] [CrossRef]
- Razavi-Termeh, S.V.; Sadeghi-Niaraki, A.; Choi, S.-M. Groundwater Potential Mapping Using an Integrated Ensemble of Three Bivariate Statistical Models with Random Forest and Logistic Model Tree Models. Water 2019, 11, 1596. [Google Scholar] [CrossRef]
- Oliveira, S.; Oehler, F.; San-Miguel-Ayanz, J.; Camia, A.; Pereira, J.M. Modeling spatial patterns of fire occurrence in Mediterranean Europe using Multiple Regression and Random Forest. For. Ecol. Manag. 2012, 275, 117–129. [Google Scholar] [CrossRef]
- Liaw, A.; Wiener, M. Classification and regression by random forest. R News 2002, 2, 18–22. [Google Scholar]
- Catani, F.; Lagomarsino, D.; Segoni, S.; Tofani, V. Landslide susceptibility estimation by random forests technique: Sensitivity and scaling issues. Nat. Hazards Earth Syst. Sci. 2013, 13, 2815–2831. [Google Scholar] [CrossRef]
- Prasad, P.; Loveson, V.J.; Kotha, M.; Yadav, R. Application of machine learning techniques in groundwater potential mapping along the west coast of India. GIScience Remote. Sens. 2020, 57, 735–752. [Google Scholar] [CrossRef]
- Cortes, C.; Vapnik, V. Support-vector networks. Mach. Learn. 1995, 20, 273–297. [Google Scholar] [CrossRef]
- Kombo, O.H.; Kumaran, S.; Ndashimye, E.; Bovim, A. An Ensemble Mode Decomposition Combined with SVR-RF Model for Prediction of Groundwater Level: The Case of Eastern Rwandan Aquifers. In Cybernetics Perspectives in Systems; Lecture Notes in Networks and Systems; Silhavy, R., Ed.; CSOC: Singapore, 2022; pp. 312–328. [Google Scholar] [CrossRef]
- Yang, Z.R. Biological applications of support vector machines. Brief. Bioinform. 2004, 5, 328–338. [Google Scholar] [CrossRef]
- Sajedi-Hosseini, F.; Malekian, A.; Choubin, B.; Rahmati, O.; Cipullo, S.; Coulon, F.; Pradhan, B. A novel machine learning-based approach for the risk assessment of nitrate groundwater contamination. Sci. Total. Environ. 2018, 644, 954–962. [Google Scholar] [CrossRef]
- Yao, X.; Tham, L.G.; Dai, F.C. Landslide susceptibility mapping based on Support Vector Machine: A case study on natural slopes of Hong Kong, China. Geomorphology 2008, 101, 572–582. [Google Scholar] [CrossRef]
- Arabgol, R.; Sartaj, M.; Asghari, K. Predicting nitrate concentration and its spatial distribution in groundwater resources using support vector machines (SVMs) model. Environ. Model. Assess. 2016, 21, 71–82. [Google Scholar] [CrossRef]
- Soria, D.; Garibaldi, J.M.; Ambrogi, F.; Biganzoli, E.M.; Ellis, I.O. A ‘non-parametric’version of the naive Bayes classifier. Knowl. -Based Syst. 2011, 24, 775–784. [Google Scholar] [CrossRef]
- Li, G.; Liu, Q.; Zhao, S.; Qiao, W.; Ren, X. Automatic crack recognition for concrete bridges using a fully convolutional neural network and naive Bayes data fusion based on a visual detection system. Meas. Sci. Technol. 2020, 31, 075403. [Google Scholar] [CrossRef]
- Pham, B.T.; Jaafari, A.; Van Phong, T.; Mafi-Gholami, D.; Amiri, M.; Van Tao, N.; Duong, V.-H.; Prakash, I. Naïve Bayes ensemble models for groundwater potential mapping. Ecol. Inform. 2021, 64, 101389. [Google Scholar] [CrossRef]
- Bhargavi, P.; Jyothi, S. Applying naive bayes data mining technique for classification of agricultural land soils. Int. J. Comput. Sci. Netw. Secur. 2009, 9, 117–122. [Google Scholar]
- Chen, J.; Huang, H.; Tian, S.; Qu, Y. Feature selection for text classification with Naïve Bayes. Expert Syst. Appl. 2009, 36, 5432–5435. [Google Scholar] [CrossRef]
- Gayen, A.; Pourghasemi, H.R.; Saha, S.; Keesstra, S.; Bai, S. Gully erosion susceptibility assessment and management of hazard-prone areas in India using different machine learning algorithms. Sci. Total. Environ. 2019, 668, 124–138. [Google Scholar] [CrossRef]
- Rizeei, H.M.; Pradhan, B.; Saharkhiz, M.A.; Lee, S. Groundwater aquifer potential modeling using an ensemble multi-adoptive boosting logistic regression technique. J. Hydrol. 2019, 579, 124172. [Google Scholar] [CrossRef]
- Mosavi, A.; Sajedi Hosseini, F.; Choubin, B.; Goodarzi, M.; Dineva, A.; Sardooi, E.A. Ensemble Boosting and Bagging Based Machine Learning Models for Groundwater Potential Prediction. Water Resour. Manag. Int. J. 2021, 35, 23–37. [Google Scholar] [CrossRef]
- Wang, Z.; Wang, J.; Han, J. Spatial prediction of groundwater potential and driving factor analysis based on deep learning and geographical detector in an arid endorheic basin. Ecol. Indic. 2022, 142, 109256. [Google Scholar] [CrossRef]
- Wang, J.-F.; Li, X.-H.; Christakos, G.; Liao, Y.-L.; Zhang, T.; Gu, X.; Zheng, X.-Y. Geographical detectors-based health risk assessment and its application in the neural tube defects study of the Heshun region, China. Int. J. Geogr. Inf. Sci. 2010, 24, 107–127. [Google Scholar] [CrossRef]








| ANN | RF | SVR | NB-RF-SVR | |||||
|---|---|---|---|---|---|---|---|---|
| Class | Area (%) | Class | Area (%) | Class | Area (%) | Class | Area (%) | |
| Very Low | <0.18 | 20.43% | <0.21 | 20.36% | <0.10 | 19.90% | <0.24 | 18.67% |
| Low | 0.18–0.27 | 20.49% | 0.21–0.32 | 20.57% | 0.10–0.27 | 20.61% | 0.24–0.31 | 20.53% |
| Moderate | 0.27–0.37 | 21.09% | 0.32–0.43 | 17.90% | 0.27–0.34 | 19.77% | 0.31–0.38 | 21.53% |
| High | 0.37–0.46 | 20.01% | 0.43–0.54 | 22.07% | 0.34–0.51 | 19.90% | 0.45–0.52 | 20.87% |
| Very High | >0.46 | 17.98% | >0.54 | 19.10% | >0.51 | 19.82% | >0.52 | 18.40% |
| ANN | RF | SVR | NB-RF-SVR | |||||
|---|---|---|---|---|---|---|---|---|
| Train | Test | Train | Test | Train | Test | Train | Test | |
| ROC-AUC | 0.782 | 0.762 | 0.865 | 0.889 | 0.920 | 0.899 | 0.988 | 0.956 |
| RMSE | 0.305 | 0.393 | 0.248 | 0.298 | 0.197 | 0.283 | 0.211 | 0.242 |
| MAE | 0.283 | 0.275 | 0.291 | 0.299 | 0.221 | 0.301 | 0.221 | 0.207 |
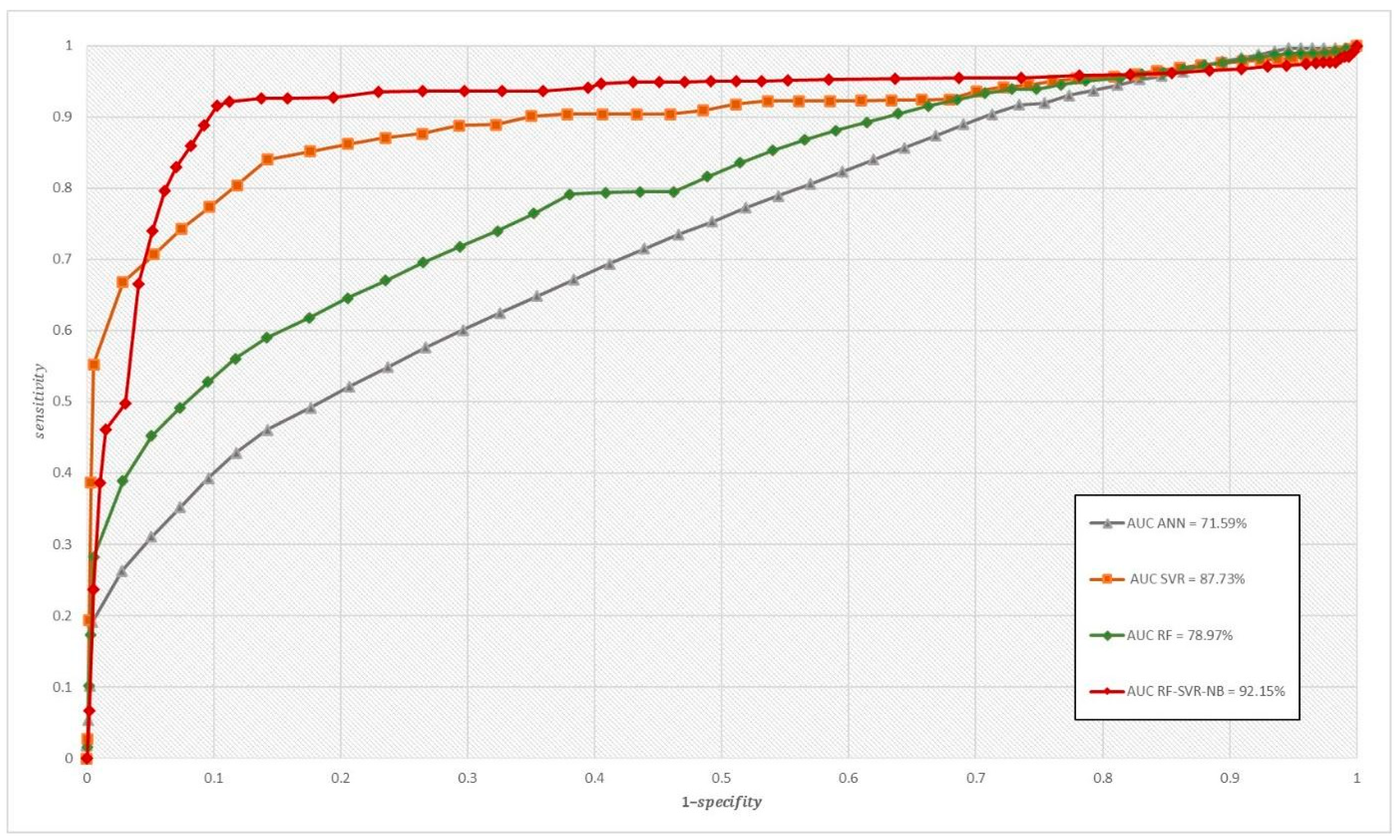
| ROC-AUC | Standard Error | |
|---|---|---|
| ANN | 0.715 | 0.035 |
| RF | 0.790 | 0.027 |
| SVR | 0.877 | 0.025 |
| RF-SVR-NB | 0.921 | 0.010 |
Disclaimer/Publisher’s Note: The statements, opinions and data contained in all publications are solely those of the individual author(s) and contributor(s) and not of MDPI and/or the editor(s). MDPI and/or the editor(s) disclaim responsibility for any injury to people or property resulting from any ideas, methods, instructions or products referred to in the content. |
© 2022 by the authors. Licensee MDPI, Basel, Switzerland. This article is an open access article distributed under the terms and conditions of the Creative Commons Attribution (CC BY) license (https://creativecommons.org/licenses/by/4.0/).
Share and Cite
Trabelsi, F.; Bel Hadj Ali, S.; Lee, S. Comparison of Novel Hybrid and Benchmark Machine Learning Algorithms to Predict Groundwater Potentiality: Case of a Drought-Prone Region of Medjerda Basin, Northern Tunisia. Remote Sens. 2023, 15, 152. https://doi.org/10.3390/rs15010152
Trabelsi F, Bel Hadj Ali S, Lee S. Comparison of Novel Hybrid and Benchmark Machine Learning Algorithms to Predict Groundwater Potentiality: Case of a Drought-Prone Region of Medjerda Basin, Northern Tunisia. Remote Sensing. 2023; 15(1):152. https://doi.org/10.3390/rs15010152
Chicago/Turabian StyleTrabelsi, Fatma, Salsebil Bel Hadj Ali, and Saro Lee. 2023. "Comparison of Novel Hybrid and Benchmark Machine Learning Algorithms to Predict Groundwater Potentiality: Case of a Drought-Prone Region of Medjerda Basin, Northern Tunisia" Remote Sensing 15, no. 1: 152. https://doi.org/10.3390/rs15010152
APA StyleTrabelsi, F., Bel Hadj Ali, S., & Lee, S. (2023). Comparison of Novel Hybrid and Benchmark Machine Learning Algorithms to Predict Groundwater Potentiality: Case of a Drought-Prone Region of Medjerda Basin, Northern Tunisia. Remote Sensing, 15(1), 152. https://doi.org/10.3390/rs15010152

