Next Article in Journal
Upgrades of the Earth Networks Total Lightning Network in 2021
Previous Article in Journal
An AR Geo-Registration Algorithm for UAV TIR Video Streams Based on Dual-Antenna RTK-GPS
 
 
Font Type:
Arial Georgia Verdana
Font Size:
Aa Aa Aa
Line Spacing:
Column Width:
Background:
Article

An Efficient Translational Motion Compensation Approach for ISAR Imaging of Rapidly Spinning Targets

1
Department of Space Microwave Remote Sensing System, Aerospace Information Research Institute, Chinese Academy of Sciences, Beijing 100190, China
2
School of Electronic, Electrical and Communication Engineering, University of Chinese Academy of Sciences, Beijing 100049, China
3
National Key Laboratory of Microwave Imaging Technology, Aerospace Information Research Institute, Chinese Academy of Sciences, Beijing 100190, China
*
Author to whom correspondence should be addressed.
Remote Sens. 2022, 14(9), 2208; https://doi.org/10.3390/rs14092208
Submission received: 21 March 2022 / Revised: 27 April 2022 / Accepted: 3 May 2022 / Published: 5 May 2022

Abstract

:
For inverse synthetic aperture radar (ISAR) imaging of rapidly spinning targets, the large migration through range cells (MTRC) results in weak coherence between adjacent echoes, which makes the conventional envelope alignment method unable to be applied. By analyzing the correlation between the echoes, a translational motion compensation (TMC) method for rapidly spinning targets is proposed. Firstly, the rotation period of the target is estimated by the incoherent accumulation method for the echo signal after range compression. Secondly, Kalman filtering is performed on the shift values required to maximize the correlation coefficient of the echoes with one rotation period difference in azimuth time to obtain the relative translational motion of the radar and the target. Finally, a translational compensation function is constructed according to the results of Kalman filtering to compensate the phase items caused by translational motion. Furthermore, the covariance matrix of observation noise required by Kalman filtering is also provided. This method is used to achieve high-precision envelope alignment, and the effectiveness of the proposed method is validated by simulations.

1. Introduction

With the increasing importance of space utilization, the surveillance of space targets has become an important topic [1]. Inverse synthetic aperture radar (ISAR) has been widely used to observe non-cooperative space targets such as satellites and space debris due to its advantages of all-weather, all-day, and long-range [2,3,4]. However, aside from the bulk’s translational motion, a space target usually follows a spinning motion around its major axis [5,6]. For a high-resolution imaging radar, the rapidly spinning motion of the target causes the large range-cell migration (RCM) and the highly nonstationary Doppler frequency modulation (DFM). Therefore, the traditional RD algorithm finds it difficult to efficiently obtain well-focused ISAR images for rapidly spinning targets.
In recent years, many ISAR imaging methods have been proposed for rapidly spinning targets [7,8,9,10,11,12,13]. The generalized radon transform (GRT) is proposed in [14] to obtain a 3D ISAR image of spinning targets by estimating the parameters of the sinusoidal envelopes in the range-slow time domain after range compression. Similar to GRT, Hough transform (HT) and extended HT (EHT) are also used to detect the sinusoidal envelopes and obtain a 3D ISAR image [15]. In [16], a modified complex valued back-projection algorithm implements the energy accumulation along different sinusoidal trajectories in the range-slow time domain, and then the 3D image is obtained by combining the height information. In [17], the modified particle swarm optimization (MPSO) algorithm extracts the height coordinates and envelopes of strong scatterers and used envelopes as the input of inverse radon transform (IRT) to estimate the 2D coordinates of scatterers, and finally scaled the coordinates to obtain the 3D image. In [18], an ISAR imaging method is proposed to extract the energy of scatterers distributed in different range cells along the rotation radius in the range-Doppler domain and compensate for the higher-order phase term of the signal. These spinning target imaging methods mainly detect the sinusoidal envelopes in the range-slow time domain after range compression by maximizing the accumulated energy. Accumulation includes coherent accumulation of complex envelope and incoherent accumulation of real envelope. Although coherent accumulation can be applied under lower signal-to-noise ratio (SNR) conditions, it is susceptible to phase disturbance and Doppler ambiguity. For ISAR imaging, SNR required by incoherent accumulation can generally meet the requirements [19]. Regardless of coherent accumulation or incoherent accumulation, these methods require that the translational motion has been compensated. However, due to the complexity of translational motion compensation (TMC) for rapidly spinning targets, all the above methods ignore TMC, assuming that the echoes have been accurately compensated.
Translation motion compensation consists of range alignment, which shifts the echoes such that the signals from the same scatterer are centered at the same range bin in different echoes, and phase adjustment, which removes the Doppler phase caused by the translation. Coherent accumulation requires accurate range envelope alignment and phase adjustment, while incoherent accumulation only requires accurate range envelope alignment. If no prior knowledge is available about the translation, range alignment is usually based on the similarity of the envelopes of the echoes. Typical methods include the peak method [20,21,22], the maximum-correlation method [20,21,22], the frequency-domain method [20,21,22], the Hough-transform method [23], and the minimum-entropy method [24,25]. However, the large migration through range cells (MTRC) results in weak coherence between adjacent echoes, which makes the conventional envelope alignment method unable to be applied.
Although the coherence of adjacent pulses of rapidly spinning targets is weak, there is a strong correlation between two pulses separated by one rotation period in azimuth time. The target can be considered to be spinning uniformly for a short time. Therefore, after the rotation period of the target is estimated, the shifts of two pulses separated by one rotation period in azimuth time can be calculated by using the envelope alignment method, and then the translational range difference between the two pulses can be obtained. Kalman filtering (KF) is an optimal estimator that works under the linear restrain system [26]. The KF can recover the signal based on the measurement value and observation noise statistics, whose probability density functions (PDFs) are both supposed to be Gaussian. KF has been used in many applications, such as satellite navigation and global positioning systems [27]. In the KF principle, the signal of interest, i.e., the state vector, is estimated and corrected in each iteration to obtain the desired accurate estimate. In a short time, the shifts made to the echoes are modeled as a polynomial. Therefore, Kalman filtering is performed on the translation range difference and the the precise parameters of the translation motion can be obtained. Then, a translational motion compensation function is constructed through the parameters estimated by the KF.
To consider the problem of weak coherence between adjacent echoes due to large MTRC of targets in the case of a rapidly spinning motion, a translational motion compensation method for fast spin motion targets using the Kalman filter is proposed in this paper. To that end, the spin period and rotational speed of the target need to be estimated. Therefore, an improved method for estimating the spin period of a rotating target is proposed. Firstly, the rotation period of the target is estimated by the incoherent accumulation method for the echo signal after range compression. Secondly, by utilizing the strong correlation between two pulses separated by one rotation period in azimuth time, the shifts of two pulses can be calculated by using the envelope alignment method, and then the translational range difference between the two pulses can be obtained. Then, the relative translation motion of radar and target is obtained by Kalman filtering through constructing a state equation and observation equation. Finally, a TMC function is constructed according to the result of Kalman filtering to compensate the phase items caused by translational motion. Thanks to the very small relative error of the estimated distance difference, the translational motion is estimated very accurately. In addition, the filtering performance of our proposed method is superior under low SNR environments because of the adaptive selection of observation noise covariance.
This paper is organized as follows. The geometric and signal model for rapidly spinning targets is introduced in Section 2. In Section 3, a rotation period estimation method of incoherent accumulation is proposed. An efficient translational motion compensation algorithm based on Kalman filtering is proposed in detail, and some considerations are analyzed in Section 4. Then, the simulation results and analysis are presented in Section 5, to demonstrate the effectiveness of the proposed method. Finally, some discussion and conclusions are provided in Section 6 and Section 7.

2. Geometric and Signal Model for Rapidly Spinning Targets

The geometric model for space debris with rapid spinning is illustrated in Figure 1. The definitions of notation are given as follows. X Y Z denotes a Cartesian coordinate, and r θ Z denotes a cylindrical coordinate. The relation between the two coordinate systems is
X = r cos θ Y = r sin θ Z = Z .
Origin O is the position of the rotating center, and target is spinning around the Z-axis at a rotation speed of ω . R in the YOZ plane denotes the unit vector of the radar line-of-sight (LOS), and α denotes the angle between R and Z-axis.The direction vector of arbitrary scatterer p is r p and the initial phase of scatterer p in the XOY plane is θ p . Therefore, the cylindrical coordinate of scatterer P is r p , θ p , z p , where r p and z p denote the projection of r p on XOY plane and height of scatterer P, respectively.
The radar transmits a linear frequency-modulated (LFM) signal, and it is
s t t r = rect t r T r exp j 2 π f c t r + j π K r t r 2
where t r , f c , T r , and K r denote the fast time in the range direction, carrier frequency of radar signal, pulsewidth, and the frequency modulation rate, respectively. In addition, rect [ · ] is the amplitude modulation term that is presented as
rect ( u ) = 1 u 1 0 u > 1 .
Supposing the number of scatterers is P, then the received baseband signal after down conversion can be written as
s t r , t m = p = 1 P A p rect t r 2 R p t m / c T r exp j π K r t r 2 R p t m c 2 exp j 4 π f c c R p t m
where t m is azimuth slow time, c denotes speed of light and A p corresponds to the reflectivity of the pth scatterer. In (4), R p t m denotes the instantaneous slant range of scatterer p, and it is
R p t m = R t t m + R p r t m .
In (5), R t t m denotes the relative range generated by translational motion between radar and target, which is the same for all scatterers at t m , so it has no contribution to imaging and needs to be compensated, which can be expressed as
R t t m = R 0 + v t m + 1 2 ! a t m 2 + 1 3 ! a ˙ t m 3 +
where R 0 , v , a and a ˙ denote the relative range, relative velocity, relative acceleration and relative acceleration rate of the radar and target, respectively, at the starting time. The initial Cartesian coordinate of scatterer p is r p cos θ p , r p sin θ p , z p . Therefore, the instantaneous coordinate r p t m of scatterer p can be represented as r p cos ω t m + θ p , r p sin ω t m + θ p , z p at azimuth time t m . R p r t m denotes the range migration of scatterer p due to the target spinning. It is different for each scattering point and shows the motion characteristic of scatterer p, which can be expressed as
R p r t m = r p t m · R = r p sin α sin ω t m + θ p + z p cos α
where R = 0 , sin α , cos α . In (7), neither α nor ω varies with azimuth slow time. Therefore, the analysis is based on the uniform rotation of the target and the fixed angle between the LOS and the target axis of rotation during the imaging time.
After the range compression, the signal can be written as
s r , t m = p = 1 P A p sinc 2 B c r R p t m exp j 4 π f c c R p t m
where r is range, B is the bandwidth of the radar, and sinc t = sin π t / π t is the sinc function.
If the relative range generated by translational motion can be estimated, then the compensation function of the translational motion is
H f r , t m = exp j 4 π f r + f c c R ^ t t m
where R ^ t t m is the estimate of R t t m . By applying Fourier transform (FT) to r in (8) and then multiplying the transformed expression by (9), we can obtain
S c f r , t m = p = 1 P A p · rect f r B exp j 4 π f r + f c c R p t m R ^ t t m
By applying Inverse Fourier transform (IFT) to f r in (10), one obtains
s c r , t m = p = 1 P A p sinc 2 B c r R p r t m exp j 4 π f c c R p r t m exp j φ m
where exp j φ m is the residual phase after translational motion compensation, which is caused by the inaccurate estimation of the relative range. We perform incoherent accumulation on the real envelopes of (11), such as GRT, to obtain the 3D image of the target. If the estimation of the relative distance is extremely accurate, exp j φ m can be ignored.

3. Estimation of Rotation Period

In conventional ISAR imaging, for two adjacent echoes, the angle of rotation of the target is generally less than 0.01 . Therefore, the scatterer migration is very small, and the real envelopes of the echoes are very similar. In this case, the alignment of adjacent envelopes can be well-achieved using a cross-correlation approach. However, the above method is not suitable for rapidly spinning targets. If the spin frequency of the target is 1 Hz, and a radar with a pulse repetition frequency (PRF) of 1000 Hz is used for observation, the rotation angle between two adjacent echoes is about 0.36 . This means that the scatterer movement in two adjacent echoes cannot be ignored. It is hard to accurately align adjacent envelopes by the cross-correlation method. More importantly, the alignment method by adjacent echoes is prone to envelope drift and envelope jump, and the average range envelope is meaningless in this case.
Although the correlation between the adjacent echoes of a rapidly spinning target is weak, there is a strong correlation between arbitrary echo and the echo delayed by one rotation period in azimuth time. Therefore, using the correlation method to align the envelopes of these two echoes can achieve a good alignment effect. When the product of the rotation period and PRF is not an integer, for example, the target rotation period is (N + n)PRT, where N is an integer and n is a decimal. Due to the discreteness of azimuth sampling, the estimated target rotation period is NPRT, so the error of nPRT is generated. Even so, the method can still ensure a better alignment effect than the adjacent envelopment alignment method. s(m) denotes the range envelope at azimuth time m. As shown in Figure 2, the correlation coefficient between s(m) and s(m + N) is greater than that between s(m) and s(m + 1) under the same PRF. The higher the PRF of the radar, the stronger the correlation between adjacent echoes, and the strong correlation between echoes can bring about better envelope alignment. It can be seen from the Figure 2 that the correlation coefficient of the two echo envelopes separated by one rotation period in azimuth time under low PRF is even higher than the correlation coefficient of two adjacent echo envelopes under high PRF.
The rotation period of the target needs to be known in advance. The rotation period can be estimated by analyzing the correlation between the signals of the spinning target.
The cross-correlation function of the two signals at t m and t m + τ m is
c c o r τ ; t m , τ m = s ( r , t m ) s * ( r τ , t m + τ m ) d r
where s ( r , t m ) and s ( r , t m + τ m ) denote two signals at t m and t m + τ m , respectively, and { · } * denotes conjugation. In other words, τ denotes the shift value of the range fast time, τ m denotes the shift value of the azimuth slow time, and t m denotes the azimuth time of the selected pulse. Correlation can be quickly achieved by Fourier transform, and the cross-correlation function can be written as
c c o r τ ; t m , τ m = IFFT FFT s ( r , t m ) · FFT s ( r , t m + τ m ) * .
By applying Fourier transform (FT) to r in the real envelope of (8), one obtains
S f r , t m = p = 1 P A p sinc 2 B c r R p t m exp j 2 π f r r d r = p = 1 P A p rect f r B exp j 4 π f r c R p t m .
Conjugate multiplication of the two echoes at azimuth time t m and t m + τ m , one obtains
C c o r f r ; t m , τ m = p = 1 P A p 2 rect f r B × exp j 4 π f r c R p t m + τ m R p t m + i = 1 P j = 1 , j i P A i A j rect f r B × exp j 4 π f r c R j t m + τ m R i t m .
It can be seen from (15) that C c o r consists of two parts. The first term is the self-term of the conjugate multiplication of the same sub-echoes, and the second term is the cross term of the conjugate multiplication of the different sub-echoes. For the scatterer p, the range difference between the two echoes is
Δ R p t m , τ m = R p ( t m + τ m ) R p ( t m ) = Δ R t t m , τ m + Δ R p r t m , τ m
where Δ R t t m , τ m denotes the range difference introduced by the target translational motion, and Δ R p r t m , τ m denotes the range difference introduced by the target spinning. From (7), one obtains
Δ R p r t m , τ m = r p sin ω ( t m + τ m ) + θ p r p sin ω t m + θ p = 2 r p sin ω τ m 2 cos ω t m + θ p + ω τ m 2 .
By applying inverse Fourier transform (IFT) to f r in (15), one obtains
c c o r τ ; t m , τ m = p = 1 P A p 2 sinc 2 B c τ Δ R p t m + 2 i = 1 P j = 1 , j i P A i A j sinc 2 B c τ R j t m + τ m R i t m .
For many scatterers, each component of the cross term in (15) can be approximated as the cosine variation in the fluctuation. If we only consider the self-term of the same sub-echo conjugate multiplication, (18) can be abbreviated as
c c o r τ ; t m , τ m = p = 1 P A p 2 sinc 2 B c τ [ 2 r p sin ω τ m 2 cos ω t m + θ p + ω τ m 2 + Δ R t t m , τ m ] .
Δ R t t m , τ m of all sub-echoes are identical, and r c o r t m , τ m achieves the maximum value when sin ω τ m / 2 = 0 and τ = Δ R t t m , τ m . There is ω τ m / 2 = π at this time, that is
τ m = 2 π ω = T .
Therefore, the target rotation period can be estimated by the maximum correlation method.
Although the method of target rotation period estimation by sliding cross-correlation has been proposed, it is found that the delay corresponding to the maximum value of the sliding correlation is probably not a rotation period. This is because the above analysis is based on ignoring cross-terms and noise. In practice, due to the influence of the cross-terms and noise, when τ m T , c c o r t m , τ m may also achieve the maximum value. In this case, the rotation period obtained by the maximum value of the sliding cross-correlation is wrong.
Since the cross term can be approximated as the cosine change in fluctuation and the noise is randomly distributed, the influence of the cross term and noise can be reduced by the method of accumulation. In addition, it can be seen from (19) that, in the case of ignoring the cross term, the maximum of correlation is only related to τ m = T and has nothing to do with t m .
Based on the above analysis, an improved rotation period estimation method is proposed. The concrete implementation steps are as follows:
(1) Select K signals s r , t 1 , s r , t 2 , , s r , t K after the range compression and carry out sliding cross-correlation with other signals to obtain the correlation coefficient. To clearly see this, the sliding cross-correlation and correlation coefficient are shown in Figure 3a,b, respectively. After that, (19) can be approximated as
c c o r t m , τ m = p = 1 P A p 2 sinc 2 B c 2 r p sin ω τ m 2 cos ω t m + θ p + ω τ m 2 .
(2) Change c c o r t i , τ m i of the ith signal into c c o r t i , τ m 1 by shifting, as shown in Figure 3c. The purpose of this step is to make all c c o r t i , τ m i have the same τ m ;
(3) Add the c c o r t i , τ m of the K signals that have been shifted, as shown in Figure 3d, and the τ T corresponding maximum is the target rotation period T.

4. Kalman Filtering

4.1. Target Tracking Algorithm Based on Kalman Filtering

From the KF principle, the state vector can be estimated and corrected in each iteration based on the transition and observation matrices. The transition matrix describes the change in the quantities of the state vector at each state, while the observation matrix denotes the relationship between the state vector and the measurement value. During the tracking procedure, at each iteration, the state vector is first estimated according to the transition state matrix and then corrected based on the current measurement value.
Assuming that there are N pulses in one rotation period T, without loss of generality, 2N pulses of two periods are considered here. The range cell migration is received by aligning the mth range envelope in the previous period with the (m + N)th range envelope in the next period. Then, the relative translational range difference Δ R m from t m to t m + N can be obtained. By aligning all the range envelopes in the two spinning periods, Δ R = Δ R 1 , Δ R 2 , , Δ R N can be acquired.
Generally, the relative motion state does not change drastically in a short time. Therefore, parameter X = r v a a ˙ a ¨ T of the range polynomial between the target and the radar in the previous period is taken as the state value, and the translational range difference Δ R obtained from the alignment of the echo envelope is taken as the observation value. The state equation and observation equation of Kalman filtering are established as follows:
X k + 1 = F X k + q k
Δ R k + 1 = H X k + 1 + w k
with
F = 1 PRT 1 2 ! PR T 2 1 3 ! PR T 3 1 4 ! PR T 4 0 1 PRT 1 2 ! PR T 2 1 3 ! PR T 3 0 0 1 PRT 1 2 ! PR T 2 0 0 0 1 PRT 0 0 0 0 1
H = 0 T 1 2 ! T 2 1 3 ! T 3 1 4 ! T 4
where k and k + 1 are the indices of the current and the next values. X k + 1 denotes the state vector. F is the transition matrix that describes the transform of the state vector from prior state to the current state. Δ R k + 1 is the measurement value and H is the observation matrix that represents the relationship between the state vector X k + 1 and observation value Δ R k + 1 . q k is the noise vector, which describes the uncertainty of the updated state of the prior iteration. The components of q k follow the zero-mean Gaussian distribution with covariance matrix Q = σ q 2 I , where I is the identity matrix. w k denotes the observation noise, and its components follow the zero-mean Gaussian distribution with covariance matrix W = σ w 2 . The specific steps of iteration are as follows:
(1) Initialize the initial state X 0 = 0 and perform state prediction:
X k + 1 p r e = F X k
where the superscripts p r e on the variables denote that they are the predicted variables.
(2) Initialize the covariance matrix P 0 of the estimation error I , and perform covariance matrix prediction:
P k + 1 p r e = F P k F T + Q .
Since the order of F is sufficiently high, Q can be regarded as a diagonal matrix with very small diagonal elements, or Q = 0 .
(3) Determine the Kalman gain: K k denotes the Kalman gain of the kth iteration, and one obtains
K k + 1 = P k + 1 p r e H T HP k + 1 p r e H T + W 1 .
Because the observation is received through the correlation of the two echoes, and the correlation method is affected by the SNR, W is related to the SNR of the echo. The specific situation will be analyzed in the next subsection.
(4) Calculate the new state estimation and covariance matrix:
X k + 1 = X k + 1 p r e + K k + 1 Δ R k + 1 HP k + 1 p r e
P k + 1 = I K k + 1 H P k + 1 p r e
In conclusion, the prediction of (26) and (27) and update of (28)–(30) can refine the measurement value to the accurate state vector as iteration continues.
Through the above iterations, the relative distance r T 1 at each sampling moment in the first rotation period can be acquired. Accordingly, the relative range between the radar and target at each sampling moment in the second rotation period is r T 2 = r T 1 + Δ R . In order to reduce the impact of excessive alignment errors, Kalman filtering is performed again on r T 2 .
When the echo contains multiple spinning periods, the above operations are performed on the adjacent periods, respectively, and the relative translational motion curve of the radar and the target during the total observation time is obtained.

4.2. Influence of Echo SNR on KF and Estimation of Observation Noise Covariance W

The observations of KF are received by cross-correlation of two signals. However, the correlation between signals is affected by the SNR. When the SNR is low, it is difficult to achieve precise shifting because the cross-correlation method is affected by noise, which results in large noises of the observations.
In order to verify the above analysis, the simulation adds Gaussian noise to the echo to make the SNR of the echo range from 20 dB to 20 dB. After 100 Monte Carlo experiments, the average curve of the mean and variance of the absolute value of the observation noise as a function of the SNR is shown in Figure 4. It can be seen that the mean and variance of the absolute value of the observation noise with a low SNR are greater than that with a high SNR.
The observation noise covariance matrix W affects the Kalman gain K, and ultimately affects the filtering result. Figure 5 shows the relative range errors of the same observations but different observation noise covariance after KF. If W is not selected properly, it is difficult to achieve good results was the filter. However, the observation noise is unknown in practice. Therefore, a method for estimating W is proposed.
Based on the premise that the relative motion state will not change drastically, the observation value without errors should be a smooth curve. That is,
Δ R r e a l = Ax
where Δ R r e a l denotes the ideal observation without error, A denotes the polynomial matrix, and x denotes the coefficient vector of the polynomial. Due to the existence of the observation noise w, the actual observation is
Δ R = Ax + w , w N 0 , σ 2 .
Therefore, the smooth observation acquired by the least square fitting is
Δ R ˜ = A A T A 1 A T Δ R .
Replace the Δ R r e a l with the smooth observation Δ R ˜ , and the obtained observation noise covariance W ˜ is
W ˜ = E Δ R A A T A 1 A T Δ R 2 = E I A A T A 1 A T Ax + w 2 = E I A A T A 1 A T w 2 .
Letting U = A A T A 1 A T , (34) can be written as
W ˜ = E I U w 2 = E w Uw 2 = σ 2 + E Uw 2 2 COV w Uw = σ 2 E Uw 2 .
where COV · denotes covariance and ⊗ denotes the matrix dot product. Since the elements in U are small, E Uw 2 is much smaller than σ 2 , and this conclusion is verified in the simulation.
Therefore, the smooth value Δ R ˜ is obtained by the least square fitting to the observation value Δ R . Using Δ R ˜ as an estimate of Δ R r e a l , the observation noise covariance W ˜ is calculated by (34). It should be noticed that some observations deviate significantly from the true values. If these observation values are used to calculate observation noise covariance and perform Kalman filtering, the accuracy of the final results will deteriorate. In this case, the difference between the Δ R and Δ R ˜ is also too large. As shown in Figure 6, the observation values at azimuth bin 175 and azimuth bin 177 deviate seriously from the true value. The solution is to compare the size of | Δ R ˜ m Δ R m | and the threshold. The selection of the threshold can refer to range resolution. If it is greater than the threshold, we can discard the observation value at that point and use the smooth observation value Δ R ˜ instead.
Since the initial values of the state have not been accurately estimated, the errors of the state values at the beginning of the iteration are relatively large. By the end of the iteration, the error of relative range can converge to the order of 10 3 . Therefore, the new state values of the first half can be received by weighted least squares estimation of the state values of the second half, so as to reduce the influence of excessive errors at the beginning of the iteration.
Finally, the whole flowchart of the spinning targets’ translational motion compensation and imaging method is shown in Figure 7. In combination with the foregoing, the main steps of the translational motion compensation approach and ISAR imaging for rapidly spinning targets can be summarized as follows.
Step 1: The range compression is performed on the echo, so one obtains (8).
Step 2: The rotation period of the target is estimated by the method shown in Figure 3.
Step 3: The RCM of corresponding echoes in adjacent cycles is calculated by the maximum cross-correlation method.
Step 4: Kalman filtering is applied to the RCM received in step 3 to obtain the accurate slant range function between radar and target.
Step 5: The TMC function is constructed to realize accurate TMC of the echo.
Step 6: Three-dimensional imaging is performed by detecting the sinusoidal envelopes in the two-dimensional time domain.

5. Simulation Results and Analysis

To validate the effectiveness of the proposed method, the point-scattering model simulation is carried out in this section. Figure 8 shows a simulated space debris model consisting of 13 points, which spin around the Z-axis. The movement parameters of the radar and the target and the simulation parameters of the radar system are listed in Table 1. At the initial moment, the radar coordinate is 0 , 0 , 0 , the target coordinate is 50 / 3 , 50 / 3 , 50 / 3 km , the angle between the direction of radar movement and the X axis is 120°, and the angle between the direction of target movement and the X axis is 150°.

5.1. Estimation of Rotation Period for Spinning Target

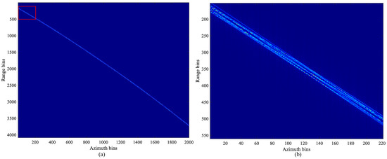
The profile of echo signal after range compression is shown in Figure 9, and there are obvious MTRC between echoes. Range echoes at four different times are randomly selected to correlate with all other echoes. The maximum value of the echo sliding cross-correlation at four different moments is shown in Figure 10. Figure 10a is the maximum sliding correlation between the 51st echo and other echoes. It can be noticed that the maximum value occurs at the 51st and 1086th range echoes when the target spins one cycle, so the rotation period obtained according to the 51st echo is 1035 PRT; Figure 10b is the maximum sliding correlation between the 151st echo and other echoes. As shown in Figure 10b, the maximum value appears at the 151st and 1189th range echoes. Therefore, the rotation period received according to the 151st echo is 1038 PRT. Similarly, the rotation periods acquired from the 251st and 351st echoes are 1037 PRT and 1040 PRT, respectively.
Due to the influence of noise and cross-terms, the time interval corresponding to the maximum value of the distance echo correlation coefficient at different moments may be different. In this case, the rotation period obtained according to the maximum value of the sliding correlation of a single echo may be wrong. The sliding cross-correlation coefficient (normalized) of the echo slip using the method proposed in this paper is shown in Figure 11a. It can be seen that the maximum value appears at the 1040th azimuth bin; that is, the rotation period obtained by the method proposed is 1039 PRT. The simulation parameters are that the target rotation angular velocity is 6.05 rad/s, and the PRF is 1000 Hz, so the theoretical rotation period is 1038.54 PRT. Through the method proposed, the rotation period is best estimated. When the target echo contains multiple rotation periods, the sliding cross-correlation coefficient of the echo using the method proposed in this paper is shown in Figure 11b. It can be seen that there are three peaks at 1040, 2078, and 3117, which are consistent with the simulation parameters, verifying the proposed method.

5.2. Translational Motion Compensation

The target and radar move at the same time, and the relative motion between them is complicated. Using the target rotation period T estimated in the previous subsection, the shift values required for maximum cross-correlation between echoes separated by one rotation period in azimuth time are calculated successively. The space debris model is taken as the simulation target, and the proposed KF method is adopted. After 100 Monte Carlo experiments, the boxplots of the maximum and average errors of the relative range varies with the SNR are shown in Figure 12a,b, respectively. According to the simulation parameters, the range resolution of the radar system is 0.15 m. Therefore, the threshold for comparison with | Δ R ˜ m Δ R m | can be selected as 0.05 m. In the Monte Carlo experiments, the median of the maximum value of the error does not exceed 0.006 m, and the median of the average value of the error does not exceed 0.0025 m. Furthermore, even the worst filtering results have an average error of less than 0.0055 m.
The KF results for if the self-shielding of the rotating target is considered, that is, the scattering point is irradiated by radar for only half of a rotation period, are shown in Figure 12c,d. It can be seen that despite the existence of occlusion, the proposed method is still applicable because the correlation between echoes is not affected. As can be seen from Figure 13, the mean of the KF errors can be less than 0.0025 m, and the alignment accuracy can reach 1.7 % of the range resolution, indicating the effectiveness of the proposed method. In addition, it can be seen from Figure 12 that the variance of alignment error decreases with the increase in SNR. In addition, the estimation error is relatively stable, which indicates that the KF method has relative anti-noise ability.
After Kalman filtering, the translational motion compensation function (9) can be obtained. Figure 14a shows the results of envelope alignment using the adjacent correlation method, and it can be seen that the envelopes have obvious drift and jump. Due to the large MTRC generated by the rapidly spinning targets, the error of envelope alignment by the adjacent echo correlation method is not negligible, and the accumulation of errors will produce envelope drift. In addition, the adjacent correlation method only uses the previous adjacent envelopes as a reference for alignment, so envelope jumps are prone to occur. Figure 14b shows the result of envelope alignment using the average range envelope correlation method. Although the envelope jump can be eliminated, the average range envelope cannot represent the characteristics of the spinning targets because the range envelope is rapidly time-varying. Therefore, using the average range envelope correlation method to align the envelopes for rapidly spinning targets still cannot achieve good results. Figure 14c shows the result of envelope alignment using (9). Because the relative distance between the target and the radar is estimated very accurately, the envelope alignment is very effective. As shown in Figure 14c, the envelopes are clear sinusoids. Accurate ISAR images can be obtained only when accurate TMC is achieved.

5.3. Three-Dimensional Imaging Results

The 3D spatial coordinates of 13 scatterers are estimated by the GRT method to reconstruct the 3D image for the spinning target. The reconstructed 3D image and images with different observation angles are shown in Figure 15a–d, respectively. Compared with Figure 8, the distribution of scatterers coincides with the true one.
Resolution is the minimum range between two distinguishable objects. The imaging algorithm used extracts the curves through the GRT and M-CLEAN methods. The accuracy of the GRT method is much higher than the range resolution C/2B, so the resolution of the coordinates is limited by the M-CLEAN technique. The M-CLEAN technique reconstructs the sinc function in the range domain, so the resolution of the M-CLEAN technique is C/2B, and the resolution of the reconstructed coordinates is C/2B. The reconstruction errors of the coordinates of the 13 scatterers are shown in Figure 16. The effectiveness of the proposed translational motion compensation method is proved.

6. Discussion

Inverse synthetic aperture radar (ISAR) plays a crucial role in the detection, recognition or identification of rapidly spinning targets, because electromagnetic images of non-cooperative targets with rapid rotating motions can be obtained. Conventional studies of ISAR imaging have focused mainly on the estimation of the target coordinate position based on the assumption that TMC operation is conducted. However, the large MTRC results in weak coherence between adjacent echoes, which makes the conventional envelope alignment method unable to be applied. To overcome the obstacles mentioned above, an efficient TMC approach for rapidly spinning targets is proposed. Under the condition that the signal-to-noise ratio is 20 dB, the PRF of the radar system is 1000 Hz and the bandwidth of the transmitted signal is 1 GHz, the average alignment accuracy can be better than 1/50 of the range resolution. At the same time, the proposed approach has a better robustness to noise, as shown in Figure 12. When SNR is at the level of −20 dB to 20 dB, the estimated error for the translational motion is small. The estimation accuracy of of our proposed method is also high in contrast to that of the conventional method, as provided in Figure 14.
However, if the coherent accumulation method is used in the subsequent processing, the residual phase error of the proposed method will reduce the accuracy of detecting sinusoidal envelopes in the range-slow time domain. The focus of future work is how to achieve precise phase adjustment.

7. Conclusions

For rapidly spinning targets, the echo signal has large RCM in a short time, which poses a challenge to the TMC of the echo. In this paper, an envelope alignment method for spinning targets based on Kalman filtering is proposed, and the rotation period estimation method is improved. In the envelope alignment method, the relative range difference is obtained by aligning the envelopes of two pulses that are one rotation period apart in azimuth time. Then, the range difference is used as the observation value, and the Kalman filtering equation is established according to the kinematic formula to obtain the relative range between the radar and the target at each azimuth moment. Finally, the translational compensation function in the frequency domain is obtained through the relative range, and TMC of the echo is realized. Simulation results show that this method can achieve envelope alignment with high accuracy.

Author Contributions

Conceptualization, S.Y.; methodology, S.Y.; software, S.Y.; validation, S.Y.; formal analysis, S.Y.; investigation, S.Y. and S.L.; resources, S.L.; writing—original draft preparation, S.Y.; writing—review and editing, S.Y., Y.C. and Y.L.; visualization, S.Y.; supervision, S.L.; project administration, S.L.; funding acquisition, X.J. All authors have read and agreed to the published version of the manuscript.

Funding

This research was funded by the National Science Foundation of China under grant number 61901446.

Data Availability Statement

Not applicable.

Conflicts of Interest

The authors declare no conflict of interest.

References

  1. Pate-Cornell, E.; Sachon, M. Risks of particle hits during space walks in low Earth orbit. IEEE Trans. Aerosp. Electron. Syst. 2001, 37, 134–146. [Google Scholar] [CrossRef]
  2. Berizzi, F.; Corsini, G. Autofocusing of inverse synthetic aperture radar images using contrast optimization. IEEE Trans. Aerosp. Electron. Syst. 1996, 32, 1185–1191. [Google Scholar] [CrossRef]
  3. Wang, Y.; Ling, H.; Chen, V.C. ISAR motion compensation via adaptive joint time-frequency technique. IEEE Trans. Aerosp. Electron. Syst. 1998, 34, 670–677. [Google Scholar] [CrossRef]
  4. Berizzi, F.; Mese, E.D.; Diani, M.; Martorella, M. High-resolution ISAR imaging of maneuvering targets by means of the range instanta-neous Doppler technique: Modeling and performance analysis. IEEE Trans. Image Process. 2001, 10, 1880–1890. [Google Scholar] [CrossRef] [PubMed]
  5. Xing, M.; Wu, R.; Lan, J.; Bao, Z. Migration through resolution cell compensation in ISAR imaging. IEEE Geosci. Remote Sens. Lett. 2004, 1, 141–144. [Google Scholar] [CrossRef]
  6. Luo, Y.; Zhang, Q.; Yuan, N.; Zhu, F.; Gu, F. Three-dimensional precession feature extraction of space targets. IEEE Trans. Aerosp. Electron. Syst. 2014, 50, 1880–1890. [Google Scholar] [CrossRef]
  7. Sato, T. Shape estimation of space debris using single-range Doppler interferometry. IEEE Trans. Geosci. Remote Sens. 1999, 37, 1000–1005. [Google Scholar] [CrossRef] [Green Version]
  8. Wang, Q.; Xing, M.; Lu, G.; Bao, Z. Single range matching filtering for space debris radar imaging. IEEE Geosci. Remote Sens. 2007, 4, 576–580. [Google Scholar] [CrossRef]
  9. Zhu, J.; Zhu, S.; Liao, G. High-resolution radar imaging of space debris based on sparse representation. IEEE Geosci. Remote Sens. Lett. 2015, 12, 2090–2094. [Google Scholar]
  10. Wang, C.; Wen, S.L.; Ye, C.M. Three-dimensional reconstruction of space rotating target based on narrow-band radar networks. J. Eng. 2019, 2019, 6108–6112. [Google Scholar] [CrossRef]
  11. Wang, Q.; Xing, M.; Lu, G.; Bao, Z. SRMF-CLEAN imaging algorithm for space debris. IEEE Trans. Antennas Propag. 2007, 55, 3524–3533. [Google Scholar] [CrossRef]
  12. Xing, M.; Wang, Q.; Wang, G.; Bao, Z. A Matched-Filter-Bank-Based 3-D Imaging Algorithm for Rapidly Spinning Targets. IEEE Trans. Geosci. Remote Sens. 2009, 47, 2106–2113. [Google Scholar] [CrossRef]
  13. Huo, K.; Liu, Y.; Hu, J.; Jiang, W.; Li, X. A Novel Imaging Method for Fast Rotating Targets Based on the Segmental Pseudo Keystone Transform. IEEE Trans. Geosci. Remote Sens. 2011, 49, 1464–1472. [Google Scholar] [CrossRef]
  14. Wang, Q.; Xing, M.; Lu, G.; Bao, Z. High-Resolution Three-Dimensional Radar Imaging for Rapidly Spinning Targets. IEEE Trans. Geosci. Remote Sens. 2008, 46, 22–30. [Google Scholar] [CrossRef]
  15. Zhang, Q.; Yeo, T.S.; Tan, H.S.; Luo, Y. Imaging of a Moving Target With Rotating Parts Based on the Hough Transform. IEEE Trans. Geosci. Remote Sens. 2008, 46, 291–299. [Google Scholar] [CrossRef]
  16. Bai, X.; Bao, Z. High-Resolution 3D Imaging of Precession Cone-Shaped Targets. IEEE Trans. Antennas Propag. 2014, 62, 4209–4219. [Google Scholar] [CrossRef]
  17. Ning, Y.; Zhou, F.; Bai, X.; Liu, L. A Method for 3-D ISAR Imaging of Space Debris. IEEE Trans. Aerosp. Electron. Syst. 2019, 55, 864–876. [Google Scholar] [CrossRef]
  18. Tan, X.H.; Yang, Z.J.; Li, D.; Liu, H.Q.; Liao, G.S.; Wu, Y. An efficient range-Doppler domain ISAR imaging approach for rapidly spinning targets. IEEE Trans. Geosci. Remote Sens. 2020, 58, 2670–2681. [Google Scholar] [CrossRef]
  19. Bai, X.; Zhou, F.; Xing, M.; Bao, Z. High Resolution ISAR Imaging of Targets with Rotating Parts. IEEE Trans. Aerosp. Electron. Syst. 2011, 47, 2530–2543. [Google Scholar] [CrossRef]
  20. Chen, C.C.; Andrews, H.C. Target-motion-induced radar imaging. IEEE Trans. Aerosp. Electron. Syst. 1980, 16, 2–14. [Google Scholar] [CrossRef]
  21. Wang, J.; Kasilingam, D. Global range alignment for ISAR. IEEE Trans. Aerosp. Electron. Syst. 2003, 39, 351–357. [Google Scholar] [CrossRef]
  22. Wang, J.; Liu, X. Improved Global Range Alignment for ISAR. IEEE Trans. Aerosp. Electron. Syst. 2007, 43, 1070–1075. [Google Scholar] [CrossRef]
  23. Sauer, T.; Schroth, A. Robust range alignment algorithm via Hough transform in an ISAR imaging system. IEEE Trans. Aerosp. Electron. Syst. 1995, 31, 1173–1177. [Google Scholar] [CrossRef]
  24. Li, X.; Liu, G.; Ni, J. Autofocusing of ISAR images based on entropy minimization. IEEE Trans. Aerosp. Electron. Syst. 1999, 35, 1240–1251. [Google Scholar] [CrossRef]
  25. Zhu, D.; Wang, L.; Yu, Y.; Tao, Q.; Zhu, Z. Robust ISAR Range Alignment via Minimizing the Entropy of the Average Range Profile. IEEE Geosci. Remote Sens. Lett. 2009, 6, 204–208. [Google Scholar]
  26. Kanakaraj, S.; Nair, M.S.; Kalady, S. SAR Image Super Resolution using Importance Sampling Unscented Kalman Filter. IEEE J. Sel. Topics Appl. Earth Observ. Remote Sens. 2018, 11, 562–571. [Google Scholar] [CrossRef]
  27. Schmidt, S.F. The Kalman filter-Its recognition and development for aerospace applications. J. Guid. Control 1981, 4, 4–7. [Google Scholar] [CrossRef]
Figure 1. Coordinate system and notation for a spinning target.
Figure 1. Coordinate system and notation for a spinning target.
Remotesensing 14 02208 g001
Figure 2. SNR = 20 dB, correlation coefficients versus different rotation periods.
Figure 2. SNR = 20 dB, correlation coefficients versus different rotation periods.
Remotesensing 14 02208 g002
Figure 3. Illustration of rotation period estimation procedure of the proposed method. (a) Sliding cross-correlation between single signal and all signals. (b) c c o r t m , τ m . (c) Results of shifting c c o r t m , τ m . (d) Results of period estimation.
Figure 3. Illustration of rotation period estimation procedure of the proposed method. (a) Sliding cross-correlation between single signal and all signals. (b) c c o r t m , τ m . (c) Results of shifting c c o r t m , τ m . (d) Results of period estimation.
Remotesensing 14 02208 g003
Figure 4. Mean and variance of observation noise versus different SNRs.
Figure 4. Mean and variance of observation noise versus different SNRs.
Remotesensing 14 02208 g004
Figure 5. The error of filtering results versus different observation noise covariance W. (a) W = 10 2 . (b) W = 10 3 . (c) W = 10 4 . (d) W = 10 5 . (e) W = 10 6 . (f) W = 10 7 .
Figure 5. The error of filtering results versus different observation noise covariance W. (a) W = 10 2 . (b) W = 10 3 . (c) W = 10 4 . (d) W = 10 5 . (e) W = 10 6 . (f) W = 10 7 .
Remotesensing 14 02208 g005
Figure 6. Observations with large errors, and comparisons with corresponding fitting values and true values.
Figure 6. Observations with large errors, and comparisons with corresponding fitting values and true values.
Remotesensing 14 02208 g006
Figure 7. Whole flowchart of proposed method.
Figure 7. Whole flowchart of proposed method.
Remotesensing 14 02208 g007
Figure 8. Point-scattering model simulation of space debris.
Figure 8. Point-scattering model simulation of space debris.
Remotesensing 14 02208 g008
Figure 9. Profile of echo signal after range compression. (a)Total observed time. (b) Local magnification of (a), i.e., the red square.
Figure 9. Profile of echo signal after range compression. (a)Total observed time. (b) Local magnification of (a), i.e., the red square.
Remotesensing 14 02208 g009
Figure 10. Slide shift when the correlation of the selected echo with all echoes is maximized. (a) The 51st echo. (b) The 151st echo. (c) The 251st echo. (d) The 351st echo.
Figure 10. Slide shift when the correlation of the selected echo with all echoes is maximized. (a) The 51st echo. (b) The 151st echo. (c) The 251st echo. (d) The 351st echo.
Remotesensing 14 02208 g010
Figure 11. The estimation of the rotation period by the proposed method. (a) The echo contains two rotation periods. (b) The echo contains multiple rotation periods.
Figure 11. The estimation of the rotation period by the proposed method. (a) The echo contains two rotation periods. (b) The echo contains multiple rotation periods.
Remotesensing 14 02208 g011
Figure 12. Relative range estimation accuracy versus different SNRs. (a) The maximum KF errors in ideal state. (b) The average KF errors in ideal state. (c) The maximum KF errors in the presence of echo blockages. (d) The average KF errors in the presence of echo blockages.
Figure 12. Relative range estimation accuracy versus different SNRs. (a) The maximum KF errors in ideal state. (b) The average KF errors in ideal state. (c) The maximum KF errors in the presence of echo blockages. (d) The average KF errors in the presence of echo blockages.
Remotesensing 14 02208 g012
Figure 13. The mean of KF errors versus different SNRs.
Figure 13. The mean of KF errors versus different SNRs.
Remotesensing 14 02208 g013
Figure 14. Profile of echo signal after envelope alignment. (a) Envelope alignment result with adjacent correlation method. (b) Envelope alignment result with average range envelope correlation method. (c) Envelope alignment result result with the proposed method.
Figure 14. Profile of echo signal after envelope alignment. (a) Envelope alignment result with adjacent correlation method. (b) Envelope alignment result with average range envelope correlation method. (c) Envelope alignment result result with the proposed method.
Remotesensing 14 02208 g014
Figure 15. Three-dimensional image obtained by GRT with SNR = 20 dB. (a) Three-dimensional distribution of the reconstructed scatterers. (b) Projection of (a) onto the xy plane. (c) Projection of (a) onto the yz plane. (d) Projection of (a) onto the xz plane.
Figure 15. Three-dimensional image obtained by GRT with SNR = 20 dB. (a) Three-dimensional distribution of the reconstructed scatterers. (b) Projection of (a) onto the xy plane. (c) Projection of (a) onto the yz plane. (d) Projection of (a) onto the xz plane.
Remotesensing 14 02208 g015
Figure 16. Reconstruction error of coordinates.
Figure 16. Reconstruction error of coordinates.
Remotesensing 14 02208 g016
Table 1. Simulation parameters of ISAR imaging.
Table 1. Simulation parameters of ISAR imaging.
ParametersSymbolValue
Carrier frequency f c 10 GHz
Pulse repetition frequencyPRF1000 Hz
Transmit bandwidthB1 GHz
Pulse width T r 1 us
LOS α 35.26°
Sample frequency F s 1.2 GHz
Rotating angle velocity ω 6.05 rad/s
Target velocity V T 400 m/s
Radar velocity V R 500 m/s
Target acceleration a T 150 m/ s 2
Publisher’s Note: MDPI stays neutral with regard to jurisdictional claims in published maps and institutional affiliations.

Share and Cite

MDPI and ACS Style

Yang, S.; Li, S.; Jia, X.; Cai, Y.; Liu, Y. An Efficient Translational Motion Compensation Approach for ISAR Imaging of Rapidly Spinning Targets. Remote Sens. 2022, 14, 2208. https://doi.org/10.3390/rs14092208

AMA Style

Yang S, Li S, Jia X, Cai Y, Liu Y. An Efficient Translational Motion Compensation Approach for ISAR Imaging of Rapidly Spinning Targets. Remote Sensing. 2022; 14(9):2208. https://doi.org/10.3390/rs14092208

Chicago/Turabian Style

Yang, Shenghui, Shiqiang Li, Xiaoxue Jia, Yonghua Cai, and Yifei Liu. 2022. "An Efficient Translational Motion Compensation Approach for ISAR Imaging of Rapidly Spinning Targets" Remote Sensing 14, no. 9: 2208. https://doi.org/10.3390/rs14092208

APA Style

Yang, S., Li, S., Jia, X., Cai, Y., & Liu, Y. (2022). An Efficient Translational Motion Compensation Approach for ISAR Imaging of Rapidly Spinning Targets. Remote Sensing, 14(9), 2208. https://doi.org/10.3390/rs14092208

Note that from the first issue of 2016, this journal uses article numbers instead of page numbers. See further details here.

Article Metrics

Back to TopTop