PRISMA L1 and L2 Performances within the PRISCAV Project: The Pignola Test Site in Southern Italy
Abstract
:1. Introduction
2. Materials and Methods
2.1. Study Area
2.2. PRISMA Dataset
2.3. Ground Measurements
2.3.1. Field Spectroscopy Measurements
2.3.2. Ground-Based Atmospheric Measurements
- Multiwavelength Raman and depolarization aerosol lidar working at 355, 532, and 1064 nm, providing vertical profiles of the backscatter (at 355, 532, and 1064 nm) and particle depolarization ratio at 532 nm, and, in night-time conditions, the aerosol extinction (355 and 532 nm).
- Raman and depolarization aerosol lidar at 355 nm, providing vertical profiles of the aerosol extinction (in night-time conditions), backscatter, and particle depolarization ratio at 355 nm. Since it is remote-controlled, this system was used as a backup solution when the operation of the multiwavelength Raman lidar was not possible due to restrictions imposed during the COVID-19 pandemic.
- Autonomously operating sun photometer, part of the AERONET network. In daytime conditions, it provides cloud-screened, columnar aerosol optical depth at different wavelengths in the UV–near-IR spectral range.
- Microwave radiometer profiler, which measures the sky brightness temperature (Tb) at 12 frequencies, providing 24 h profiles of temperature and relative humidity.
2.4. PRISMA Data Analysis
2.4.1. PRISMA Radiances: L1 Product Evaluation
2.4.2. PRISMA Atmospheric Correction: L2C Product Evaluation
3. Results and Discussion
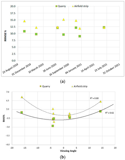
3.1. PRISMA L1 Product Consistency with Field Spectroscopy
3.2. PRISMA Atmospheric Correction Assessment
4. Conclusions
Author Contributions
Funding
Data Availability Statement
Acknowledgments
Conflicts of Interest
References
- Loizzo, R.; Daraio, M.; Guarini, R.; Longo, F.; Lorusso, R.; Dini, L.; Lopinto, E. PRISMA mission status and perspective. In Proceedings of the IGARSS IEEE International Geoscience and Remote Sensing Symposium, Yokohama, Japan, 28 July–2 August 2019; pp. 4503–4506. [Google Scholar]
- Guanter, L.; Kaufmann, H.; Segl, K.; Foerster, S.; Rogass, C.; Chabrillat, S.; Kuester, T.; Hollstein, A.; Rossner, G.; Chlebek, C.; et al. The EnMAP Spaceborne Imaging Spectroscopy Mission for Earth Observation. Remote Sens. 2015, 7, 8830–8857. [Google Scholar] [CrossRef] [Green Version]
- Green, R.O.; Mahowald, N.; Ung, C.; Thompson, D.R.; Bator, L.; Bennet, M.; Zan, J. The earth surface mineral dust source investigation: An earth science imaging spectroscopy mission. In Proceedings of the 2020 IEEE Aerospace Conference, Big Sky, MT, USA, 7–14 March 2020; IEEE Computer Society: Big Sky, MT, USA, 2020. [Google Scholar]
- Lee, C.M.; Cable, M.L.; Hook, S.J.; Green, R.O.; Ustin, S.L.; Mandl, D.J.; Middleton, E.M. An introduction to the NASA Hyperspectral InfraRed Imager (HyspIRI) mission and preparatory activities. Remote Sens. Environ. 2015, 167, 6–19. [Google Scholar] [CrossRef]
- Matsunaga, T.; Iwasaki, A.; Tsuchida, S.; Iwao, K.; Tanii, J.; Kashimura, O.; Tachikawa, T. HISUI status toward FY2019 launch. In Proceedings of the International Geoscience and Remote Sensing Symposium (IGARSS), Valencia, Spain, 22–27 July 2018; pp. 160–163. [Google Scholar]
- Green, R.O.; Thompson, D.R.; EMIT Team. NASA’s Earth Surface Mineral Dust Source Investigation: An Earth Venture Imaging Spectrometer Science Mission. In Proceedings of the 2021 IEEE International Geoscience and Remote Sensing Symposium IGARSS, Bruxelles, Belgium, 11–16 July 2021; pp. 119–122. [Google Scholar]
- Müller, R.; Avbelj, J.; Carmona, E.; Eckardt, A.; Gerasch, B.; Graham, L.; Walter, I. The new hyperspectral sensor DESIS on the multi-payload platform muses installed on the ISS. Int. Arch. Photogramm. Remote Sens. Spat. Inf. Sci. 2016, 41, 461–467. [Google Scholar] [CrossRef] [Green Version]
- Rast, M.; Painter, T.H. Earth Observation Imaging Spectroscopy for Terrestrial Systems: An Overview of Its History, Techniques, and Applications of Its Missions. Surv. Geophys. 2019, 40, 303–331. [Google Scholar] [CrossRef]
- Nieke, J.; Rast, M. Towards the Copernicus Hyperspectral Imaging Mission For The Environment (CHIME). In Proceedings of the IGARSS 2018—2018 IEEE International Geoscience and Remote Sensing Symposium, Valencia, Spain, 22–27 July 2018; pp. 157–159. [Google Scholar]
- Feingersh, T.; Dor, E.B. SHALOM–A commercial hyperspectral space mission. In Optical Payloads for Space Missions; Qian, S.-E., Ed.; Wiley Online Library: Hoboken, NJ, USA, 2015; pp. 247–263. ISBN 9781118945179. [Google Scholar]
- Italian Space Agency Home Page. Available online: https://www.asi.it/en/2021/06/prisma-second-generation-psg-the-survey-for-the-future-of-hyperspectral-earth-observation-from-space/ (accessed on 7 February 2022).
- Pignatti, S.; Casa, R.; Laneve, G.; Li, Z.; Liu, L.; Marzialetti, P.; Mzid, N.; Pascucci, S.; Silvestro, P.C.; Tolomio, M.; et al. Sino–EU Earth Observation Data to Support the Monitoring and Management of Agricultural Resources. Remote Sens. 2021, 13, 2889. [Google Scholar] [CrossRef]
- Castaldi, F.; Palombo, A.; Pascucci, S.; Pignatti, S.; Santini, F.; Casa, R. Reducing the Influence of Soil Moisture on the Estimation of Clay from Hyperspectral Data: A Case Study Using Simulated PRISMA Data. Remote Sens. 2015, 7, 15561–15582. [Google Scholar] [CrossRef] [Green Version]
- Mzid, N.; Castaldi, F.; Tolomio, M.; Pascucci, S.; Casa, R.; Pignatti, S. Evaluation of Agricultural Bare Soil Properties Retrieval from Landsat 8, Sentinel-2 and PRISMA Satellite Data. Remote Sens. 2022, 14, 714. [Google Scholar] [CrossRef]
- Taramelli, A.; Tornato, A.; Magliozzi, M.L.; Mariani, S.; Valentini, E.; Zavagli, M.; Costantini, M.; Nieke, J.; Adams, J.; Rast, M. An Interaction Methodology to Collect and Assess User-Driven Requirements to Define Potential Opportunities of Future Hyperspectral Imaging Sentinel Mission. Remote Sens. 2020, 12, 1286. [Google Scholar] [CrossRef] [Green Version]
- Pignatti, S.; Amodeo, A.; Mona, L.; Palombo, A.; Pascucci, S.; Rosoldi, M.; Santini, F.; Casa, R.; Laneve, G. Evaluation of the PRISMA Hyperspectral Radiance Data: The PRISCAV Project Activities in the Basilicata Region (Southern Italy). In Proceedings of the IGARSS IEEE International Geoscience and Remote Sensing Symposium, Bruxelles, Belgium, 11–16 July 2021; pp. 1390–1393. [Google Scholar]
- Cogliati, S.; Sarti, F.; Chiarantini, L.; Cosi, M.; Lorusso, R.; Lopinto, E.; Miglietta, F.; Genesio, L.; Guanter, L.; Damm, A.; et al. The PRISMA imaging spectroscopy mission: Overview and first performance analysis. Remote Sens. Environ. 2021, 262, 112499. [Google Scholar] [CrossRef]
- Guanter, L.; Irakulis-Loitxate, I.; Gorroño, J.; Sánchez-García, E.; Cusworth, D.H.; Varon, D.J.; Cogliati, S.; Colombo, R.R. Mapping methane point emissions with the PRISMA spaceborne imaging spectrometer. Remote Sens. Environ. 2021, 265, 112671. [Google Scholar] [CrossRef]
- Romaniello, V.; Silvestri, M.; Buongiorno, M.F.; Musacchio, M. Comparison of PRISMA Data with Model Simulations, Hyperion Reflectance and Field Spectrometer Measurements on ‘Piano delle Concazze’ (Mt. Etna, Italy). Sensors 2020, 20, 7224. [Google Scholar] [CrossRef] [PubMed]
- Fox, N. A Guide to Expression of Uncertainty of Measurements. Available online: http://qa4eo.org/docs/QA4EO-QAEO-GEN-DQK-006_v4.0.pdf (accessed on 7 February 2022).
- Niro, F.; Goryl, P.; Dransfeld, S.; Boccia, V.; Gascon, F.; Adams, J.; Themann, B.; Scifoni, S.; Doxani, G. European Space Agency (ESA) Calibration/Validation Strategy for Optical Land-Imaging Satellites and Pathway towards Interoperability. Remote Sens. 2021, 13, 3003. [Google Scholar] [CrossRef]
- Bouvet, M.; Thome, K.; Berthelot, B.; Bialek, A.; Czapla-Myers, J.; Fox, N.P.; Goryl, P.; Henry, P.; Ma, L.; Marcq, S.; et al. RadCalNet: A Radiometric Calibration Network for Earth Observing Imagers Operating in the Visible to Shortwave Infrared Spectral Range. Remote Sens. 2019, 11, 2401. [Google Scholar] [CrossRef] [Green Version]
- Heller Pearlshtien, D.; Pignatti, S.; Greisman-Ran, U.; Ben-Dor, E. PRISMA sensor evaluation: A case study of mineral mapping performance over Makhtesh Ramon, Israel. Int. J. Remote Sens. 2021, 42, 5882–5914. [Google Scholar] [CrossRef]
- Jeffrey Czapla-Myers, J.; Ong, L.; Thome, K.; McCorkel, J. Validation of EO-1 hyperion and advanced land imager using the radiometric calibration test site at Railroad Valley, Nevada. IEEE J. Sel. Top Appl. Earth Obs. Remote Sens. 2015, 9, 816–826. [Google Scholar] [CrossRef]
- Santini, F.; Palombo, A. Physically Based Approach for Combined Atmospheric and Topographic Corrections. Remote Sens. 2019, 11, 1218. [Google Scholar] [CrossRef] [Green Version]
- Coppo, P.; Brandani, F.; Faraci, M.; Sarti, F.; Dami, M.; Chiarantini, L.; Ponticelli, B.; Giunti, L.; Fossati, E.; Cosi, M. Leonardo spaceborne infrared payloads for Earth observation: SLSTRs for Copernicus Sentinel 3 and PRISMA hyperspectral camera for PRISMA satellite. Appl. Opt. 2020, 59, 6888. [Google Scholar] [CrossRef]
- Madonna, F.; Amodeo, A.; Boselli, A.; Cornacchia, C.; Cuomo, V.; D’Amico, G.; Giunta, A.; Mona, L.; Pappalardo, G. CIAO: The CNR-IMAA advanced observatory for atmospheric research. Atmos. Meas. Tech. 2011, 4, 1191–1208. [Google Scholar] [CrossRef] [Green Version]
- Berk, A.G.P.A.; Anderson, G.P.; Acharya, P.K.; Chetwynd, J.H.; Bernstein, L.S.; Shettle, E.P.; Matthew, M.W.; Adler-Golden, S.M. MODTRAN4 User’s Manual; Air Force Research Laboratory: Bedford, MA, USA, 1999. [Google Scholar]
- Vermote, E.F.; Tanré, D.; Deuze, J.L.; Herman, M.; Morcette, J.J. Second simulation of the satellite signal in the solar spectrum, 6S: An. overview. IEEE Trans. Geosci. Remote Sens. 1997, 35, 675–686. [Google Scholar] [CrossRef] [Green Version]
- Bhatt, R.; Doelling, D.R.; Coddington, O.; Scarino, B.; Gopalan, A.; Haney, C. Quantifying the Impact of Solar Spectra on the Inter-Calibration of Satellite Instruments. Remote Sens. 2021, 13, 1438. [Google Scholar] [CrossRef]
- Papagiannopoulos, N.; Mona, L.; Alados-Arboledas, L.; Amiridis, V.; Baars, H.; Binietoglou, I.; Bortoli, D.; D’Amico, G.; Giunta, A.; Guerrero-Rascado, J.L.; et al. CALIPSO climatological products: Evaluation and suggestions from EARLI-NET. Atmos. Chem. Phys. 2016, 16, 2341–2357. [Google Scholar] [CrossRef] [Green Version]
- Papagiannopoulos, N.; Mona, L.; Amodeo, A.; D’Amico, G.; Gumà Claramunt, P.; Pappalardo, G.; Alados-Arboledas, L.; Guerrero-Rascado, J.L.; Amiridis, V.; Kokkalis, P.; et al. An automatic observation-based aerosol typing method for EARLINET. At-mos. Chem. Phys. 2018, 18, 15879–15901. [Google Scholar] [CrossRef] [Green Version]
- Richter, K.; Atzberger, C.; Hank, T.; Mauser, W. Derivation of biophysical variables from Earth Observation data: Validation and statistical measures. J. Appl. Remote Sens. 2012, 6, 063557. [Google Scholar] [CrossRef]
- Chang, C.-I.; Du, Q. Estimation of number of spectrally distinct signal sources in hyperspectral imagery. IEEE Trans. Geosci. Remote Sens. 2004, 42, 608–619. [Google Scholar] [CrossRef] [Green Version]
- Thompson, D.R.; Braverman, A.; Brodrick, P.G.; Candela, A.; Carmon, N.; Clark, R.N.; Connelly, D.; Green, R.O.; Kokaly, R.F.; Li, L.; et al. Quantifying uncertainty for remote spectroscopy of surface composition. Remote Sens. Environ. 2020, 247, 111898. [Google Scholar] [CrossRef]
- Thompson, D.R.; Babu, K.N.; Braverman, A.J.; Eastwood, M.L.; Green, R.O.; Hobbs, J.M.; Jewell, J.B.; Kindel, B.; Massie, S.; Mishra, M.; et al. Optimal estimation of spectral surface reflectance in challenging atmospheres. Remote Sens. Environ. 2019, 232, 111258. [Google Scholar] [CrossRef]
- PRISMA Products Specification Document Issue 2.3 Date 12 March 2020. Italian Space Agency. Available online: http://prisma.asi.it/missionselect/docs/PRISMA%20Product%20Specifications_Is2_3.pdf (accessed on 7 February 2022).
- Cooley, T.; Anderson, G.P.; Felde, G.W.; Hoke, M.L.; Ratkowski, A.J.; Chetwynd, J.H.; Gardner, J.A.; Adler-Golden, S.M.; Matthew, M.W.; Berk, A.; et al. FLAASH, a MODTRAN4-based atmospheric correction algorithm, its application and validation. In Proceedings of the IEEE International Geoscience and Remote Sensing Symposium, Toronto, ON, Canada, 24–28 June 2002; Volume 3, pp. 1414–1418. [Google Scholar]
- Palombo, A.; Santini, F. ImaACor: A Physically Based Tool for Combined Atmospheric and Topographic Corrections of Remote Sensing Images. Remote Sens. 2020, 12, 2076. [Google Scholar] [CrossRef]
- Acito, N.; Diani, M.; Corsini, G. Signal-Dependent Noise Modeling and Model Parameter Estimation in Hyperspectral Images. IEEE Trans. Geosci. Remote Sens. 2011, 49, 2957–2971. [Google Scholar] [CrossRef]
- Fu, P.; Sun, X.; Sun, Q. Hyperspectral Image Segmentation via Frequency-Based Similarity for Mixed Noise Estimation. Remote Sens. 2017, 9, 1237. [Google Scholar] [CrossRef] [Green Version]
- Bernstein, R.; Lotspoech, J.B.; Myers, H.J.; Kolsky, H.G.; Lees, R.D. Analysis And Processing of LANDSAT-4 Sensor Data Using Advanced Image Processing Techniques And Technologies. IEEE Trans. Geosci. Remote Sens. 1984, GE-22, 192–221. [Google Scholar] [CrossRef]
- Helder, D.L.; Ruggles, T.A. Landsat thematic mapper reflective-band radiometric artifacts. IEEE Trans. Geosci. Remote Sens. 2004, 42, 2704–2716. [Google Scholar] [CrossRef]













| Requirements | VNIR | SWIR | PAN | |
|---|---|---|---|---|
| Spectral range | 400–2500 nm | 400–1010 nm | 920–2500 nm | 400–700 nm |
| Spectral resolution (FWHM) | <15 nm | 9–13 nm | 9–14.5 nm | - |
| Spectral bands | 66 | 171 | 1 | |
| SNR | ≥160–200 (400–450 nm) ≥200 (450–1000 nm) ≥200 (1000–1750 nm) ≥100 (1950–2350 nm) ≥100 (PAN) | 161–209 (400–450 nm) 200–450 (450–1000 nm) | 380–800 (1000–1300 nm) 200–400 (1500–1750 nm) 100–200 (1950–2350 nm) | 191 |
| Absolute radiometric accuracy | ≤5% | ≤5% | ≤5% | ≤5% |
| Swath width | 30 Km; 2.77° | |||
| Ground sampling distance (GSD) | 30 m | 30 m | 5 m | |
| Orbital altitude | 620 Km | |||
| Date | Cloud Coverage (%) | View Zenith Angle (°) | Solar Zenith Angle | AeronetAOD@550 nm | Atmospheric Measurements | Ground-Based Measurements | Contemporary S-2 Data |
|---|---|---|---|---|---|---|---|
| 14 October 2019 | 0.31 | −4.14 | 49.90 | 0.09 | √ | √ | n.a. |
| 15 January 2020 | 0.58 | 2.31 | 22.45 | 0.05 | √ | √ | |
| 1 July 2020 | 0.07 | −3.91 | 22.34 | n.a. | √ | √ | √ |
| 17 August 2020 | 2.55 | 14.35 | 30.00 | 0.21 | √ | √ | √ |
| 23 November 2020 | 4.60 | −3.71 | 62.08 | 0.02 | √ | √ | √ |
| 22 December 2020 | 2.41 | −3.9 | 65.57 | 0.02 | √ | √ | n.a. |
| 1 July 2021 | 0.04 | −16.15 | 23.67 | n.a. | √ | √ | √ |
| Parameter | Unit | Values |
|---|---|---|
| Spectral range | nm | 400–2500 |
| Solar irradiance | Kurucz | |
| Molecular band model resolution | cm−1 | 1 |
| DISORT number of streams | 8 | |
| Pressure profile | mb | CIAO according to date |
| Temperature profile | K° | CIAO according to date |
| Water vapour profile | RH | CIAO according to date |
| Aerosol model | Rural | |
| Extinction @550 nm | Km−1 | CIAO according to date |
| Surface height | km | 0.750 |
| SZA | deg | According to date |
| SAA | deg | According to date |
| VZA | deg | According to date |
| True surface albedos | According to ASD (Lambertian condition) |
| Name | Equation |
|---|---|
| Coefficient of determination (R2) | |
| Relative bias | |
| Root-mean-square error | |
| Relative RMSE | |
| Relative mean absolute difference |
| Bare Soil Date (Date hh:mm) | R2 | RBIAS (%) | RMSE (mW/m2/sr/nm) | RRMSE (%) | |
|---|---|---|---|---|---|
| 14 Oct. 2019 09:54 | 0.989 | 3.869 | 1.710 | 13.809 | = 14.76 = 0.72 |
| 15 Jan. 2020 09:58 | 0.980 | −1.513 | 1.685 | 14.862 | |
| 23 Nov. 2020 09:53 | 0.991 | −2.759 | 1.071 | 14.812 | |
| 22 Dec. 2020 09:53 | 0.988 | 1.041 | 1.138 | 15.570 | |
| Quarry Date | |||||
| 14 Oct. 2019 09:54 | 0.993 | −4.141 | 4.199 | 10.828 | = 10.79 = 1.39 |
| 15 Jan. 2020 09:58 | 0.992 | −0.016 | 2.560 | 9.733 | |
| 1 July 2020 09:54 | 0.992 | −4.232 | 6.414 | 12.060 | |
| 17 Aug. 2020 10:04 | 0.993 | 1.368 | 4.736 | 9.585 | |
| 23 Nov. 2020 09:53 | 0.988 | −0.606 | 2.723 | 12.142 | |
| 22 Dec. 2020 09:53 | 0.993 | −0.425 | 2.414 | 8.950 | |
| 1 July 2021 4:43 | 0.988 | 1.070 | 6.500 | 12.262 | |
| Airfield Strip Date | |||||
| 14 Oct. 2019 09:54 | 0.984 | 2.163 | 2.965 | 14.647 | = 13.33 = 1.47 |
| 15 Jan. 2020 09:58 | 0.989 | 0.867 | 1.746 | 12.264 | |
| 1 July 202009:54 | 0.993 | −5.692 | 4.785 | 12.339 | |
| 17 Aug. 202010:04 | 0.983 | 4.229 | 3.013 | 15.213 | |
| 23 Nov. 2020 09:53 | 0.984 | −3.804 | 2.300 | 14.800 | |
| 22 Dec. 2020 09:53 | 0.991 | 0.322 | 1.477 | 11.896 | |
| 1 July 2021 09:44 | 0.989 | 5.495 | 3.4350 | 12.1827 | |
| NPV Date | |||||
| 1 July 2020 09:54 | 0.988 | −0.133 | 2.888 | 11.576 | = 11.54 = 1.31 |
| 17 Aug. 2020 10:04 | 0.986 | 3.375 | 2.852 | 12.828 | |
| 1 July 2021 09:44 | 0.990 | −0.993 | 2.270 | 10.210 | |
| Model | Limestone Quarry | Airfield Strip | NPV | Paved Square |
|---|---|---|---|---|
| ImaACor | 7 | 7 | 12 | 10 |
| L2C | 15 | 10 | 17 | 19 |
Publisher’s Note: MDPI stays neutral with regard to jurisdictional claims in published maps and institutional affiliations. |
© 2022 by the authors. Licensee MDPI, Basel, Switzerland. This article is an open access article distributed under the terms and conditions of the Creative Commons Attribution (CC BY) license (https://creativecommons.org/licenses/by/4.0/).
Share and Cite
Pignatti, S.; Amodeo, A.; Carfora, M.F.; Casa, R.; Mona, L.; Palombo, A.; Pascucci, S.; Rosoldi, M.; Santini, F.; Laneve, G. PRISMA L1 and L2 Performances within the PRISCAV Project: The Pignola Test Site in Southern Italy. Remote Sens. 2022, 14, 1985. https://doi.org/10.3390/rs14091985
Pignatti S, Amodeo A, Carfora MF, Casa R, Mona L, Palombo A, Pascucci S, Rosoldi M, Santini F, Laneve G. PRISMA L1 and L2 Performances within the PRISCAV Project: The Pignola Test Site in Southern Italy. Remote Sensing. 2022; 14(9):1985. https://doi.org/10.3390/rs14091985
Chicago/Turabian StylePignatti, Stefano, Aldo Amodeo, Maria Francesca Carfora, Raffaele Casa, Lucia Mona, Angelo Palombo, Simone Pascucci, Marco Rosoldi, Federico Santini, and Giovanni Laneve. 2022. "PRISMA L1 and L2 Performances within the PRISCAV Project: The Pignola Test Site in Southern Italy" Remote Sensing 14, no. 9: 1985. https://doi.org/10.3390/rs14091985
APA StylePignatti, S., Amodeo, A., Carfora, M. F., Casa, R., Mona, L., Palombo, A., Pascucci, S., Rosoldi, M., Santini, F., & Laneve, G. (2022). PRISMA L1 and L2 Performances within the PRISCAV Project: The Pignola Test Site in Southern Italy. Remote Sensing, 14(9), 1985. https://doi.org/10.3390/rs14091985

