Using Satellite-Based Data to Facilitate Consistent Monitoring of the Marine Environment around Ireland
Abstract
:1. Introduction
2. Materials and Methods
2.1. Study Area
2.2. Satellite-Derived Essential Climate Variables (ECVs)
2.3. Statistical Analyses
2.3.1. Time Series Decomposition
2.3.2. Non-Parametric Trend Analysis
2.3.3. Similarities between ICES Divisions
3. Results
3.1. Exploratory Statistical Analyses
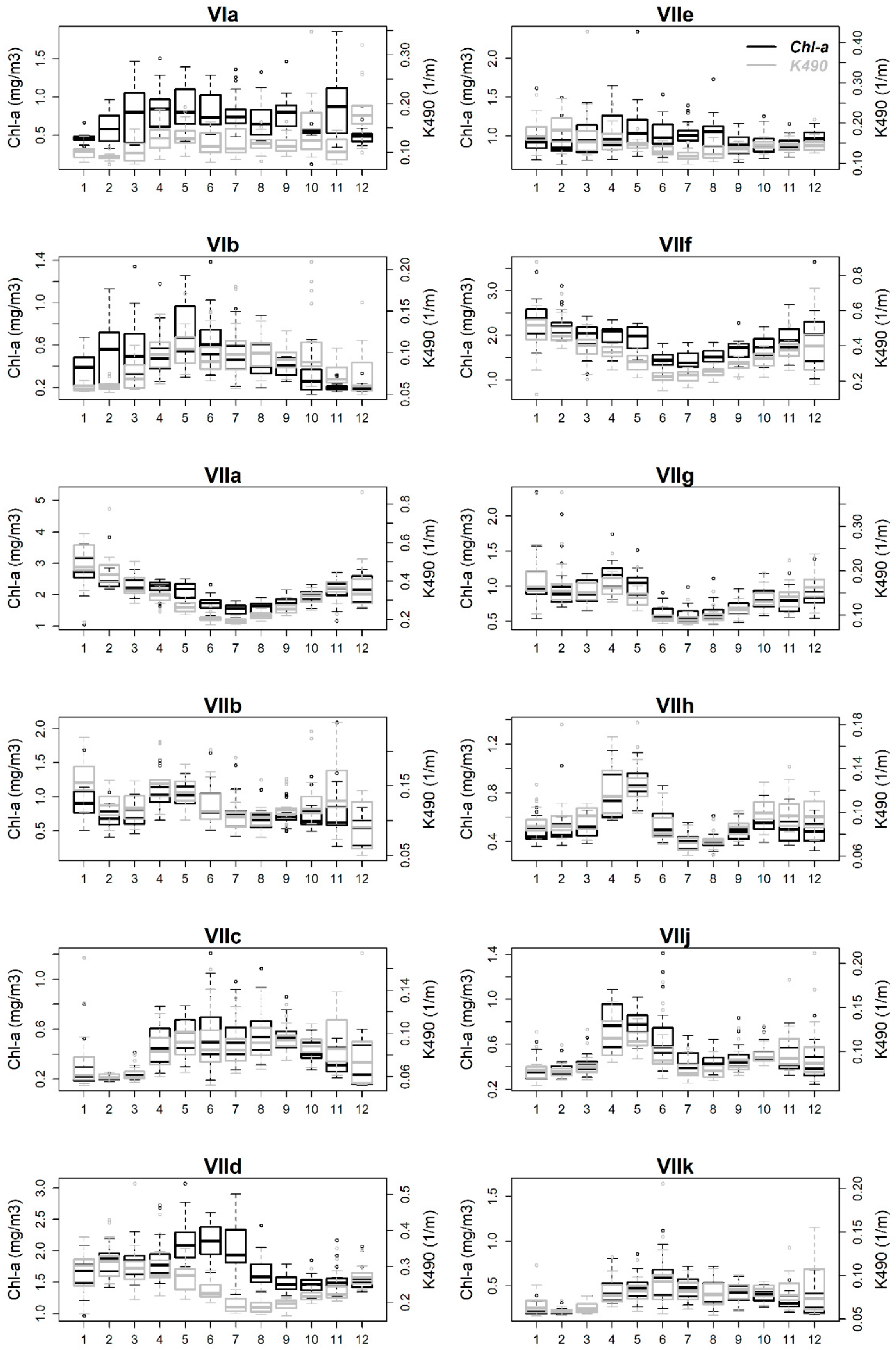
3.2. Chl-a and K490 Temporal and Spatial Variability
3.3. Chl-a Temporal Trends
3.4. K490 Temporal Trends
4. Discussion
5. Conclusions
Author Contributions
Funding
Data Availability Statement
Acknowledgments
Conflicts of Interest
References
- FAO. The State of World Fisheries and Aquaculture 2016. Contributing to Food Security and Nutrition for All; Food and Agriculture Organization of the United Nations: Rome, Italy, 2016. [Google Scholar]
- ICES. The Stock Book 2020: Annual Review of Fish Stocks in 2020 with Management Advice for 2021; Marine Institute: Galway, Ireland, 2020. [Google Scholar]
- ICES. The Stock Book. Report to the Minister for Agriculture, Food, and the Marine. Annual Review of Fish Stocks in 2021 with Management Advice for 2022; Marine Institute: Galway, Ireland, 2021. [Google Scholar]
- Juan-Jordá, M.J.; Mosqueira, I.; Cooper, A.B.; Freire, J.; Dulvy, N.K. Global population trajectories of tunas and their relatives. Proc. Natl. Acad. Sci. USA 2011, 108, 20650–20655. [Google Scholar] [CrossRef] [PubMed] [Green Version]
- Dickey-Collas, M.; Nash, R.D.M.; Brunel, T.; van Damme, C.J.G.; Marshall, C.T.; Payne, M.R.; Corten, A.; Geffen, A.J.; Peck, M.A.; Hatfield, E.M.C.; et al. Lessons learned from stock collapse and recovery of North Sea herring: A review. ICES J. Mar. Sci. 2010, 67, 1875–1879. [Google Scholar] [CrossRef] [Green Version]
- Morishita, J. What is the ecosystem approach for fisheries management? Mar. Policy 2008, 32, 19–26. [Google Scholar] [CrossRef]
- Chassot, E.; Bonhommeau, S.; Reygondeau, G.; Nieto, K.; Polovina, J.J.; Huret, M.; Dulvy, N.K.; Demarcq, H. Satellite remote sensing for an ecosystem approach to fisheries management. ICES J. Mar. Sci. 2011, 68, 651–666. [Google Scholar] [CrossRef] [Green Version]
- Garcia, S.M.; Zerbi, A.; Chi, D.T.; Lasserre, G. The Ecosystem Approach to Fisheries. Issues, Terminology, Principles, Institutional Foundations, Implementation and Outlook; FAO Fisheries Technical Paper: Rome, Italy, 2003; p. 443. [Google Scholar]
- Cury, P.; Shin, Y.-J.; Planque, B.; Durant, J.-M.; Fromentin, J.-M.; Kramer-Schadt, S.; Stenseth, N.C.; Travers, M.; Grimm, V. Ecosystem oceanography for global change in fisheries. Trends Ecol. Evol. 2008, 23, 338–346. [Google Scholar] [CrossRef]
- Juan-Jordá, M.J.; Barth, J.A.; Clarke, M.E.; Wakefield, W.W. Groundfish species associations with distinct oceanographic habitats in the Northern California Current. Fish. Oceanogr. 2009, 18, 1–19. [Google Scholar] [CrossRef]
- Falcini, F.; Palatella, L.; Cuttitta, A.; Buongiorno-Nardelli, B.; Lacorata, G.; Lanotte, A.S.; Patti, B.; Santoreli, R. The role of hydrodynamic processes on anchovy eggs and larvae distribution in the Sicily Channel (Mediterranean Sea): A case study for the 2004 data set. PLoS ONE 2015, 10, e0123213. [Google Scholar] [CrossRef]
- Stuart, V.; Platt, T.; Sathyendranath, S. The future of fisheries science in management: A remote-sensing perspective. ICES J. Mar. Sci. 2011, 68, 644–650. [Google Scholar] [CrossRef] [Green Version]
- Boyce, D.G.; Lewis, M.R.; Worm, B. Global phytoplankton decline over the past century. Nature 2010, 466, 591–596. [Google Scholar] [CrossRef]
- Mills, K.E.; Pershing, A.J.; Brown, C.J.; Chen, Y.; Chiang, F.S.; Holland, D.S.; Lehuta, S.; Nye, J.A.; Sun, J.C.; Thomas, A.C.; et al. Fisheries management in a changing climate: Lessons from the 2012 ocean heat wave in the Northwest Atlantic. Oceanography 2013, 26, 191–195. [Google Scholar] [CrossRef] [Green Version]
- Bellido, J.M.; Pierce, G.J.; Wang, P.J. Modelling intra-annual variation in abundance of squid Loligo forbesi in Scottish waters using generalised additive models. Fish. Res. 2001, 52, 23–39. [Google Scholar] [CrossRef]
- Cheung, W.W.L.; Oyinlola, M.A. Vulnerability of flatfish and their fisheries to climate change. J. Sea Res. 2018, 140, 1–10. [Google Scholar] [CrossRef]
- Hoegh-Guldberg, O.; Cai, R.; Poloczanska, E.; Brewer, P.; Sundby, S.; Hilmi, K. The Ocean Climate Change 2014: Impacts, Adaptation, and Vulnerability Part B: Regional Aspects Contribution of Working Group II to the Fifth Assessment Report of the Intergovernmental Panel on Climate Change; Barros, V., Field, C., Dokken, D., Mastrandrea, M., Mach, K., Bilir, T., Eds.; Cambridge University Press: Cambridge, NY, USA, 2014; pp. 1655–1731. [Google Scholar]
- Phillipart, C.J.M.; Anadón, R.; Donavaro, R.; Dippner, J.W.; Drinkwater, K.F.; Hawkins, S.J.; Oguz, T.; O’Sullivan, G.; Reid, P.C. Impacts of climate change on European marine ecosystems. J. Exp. Mar. Biol. Ecol. 2011, 400, 52–69. [Google Scholar] [CrossRef]
- Nye, J.A.; Link, J.S.; Hare, J.A.; Overholtz, W.J. Changing spatial distribution of fish stocks in relation to climate and population size on the Northeast United States continental shelf. Mar. Ecol. Prog. Ser. 2009, 393, 111–129. [Google Scholar] [CrossRef] [Green Version]
- Simpson, S.D.; Jennings, S.; Johnson, M.P.; Blanchard, J.L.; Schön, P.J.; Sims, D.W.; Genner, M. Continental shelf-wide response of a fish assemblage to rapid warming of the sea. Curr. Biol. 2011, 21, 1565–1570. [Google Scholar] [CrossRef]
- Hofmann, E.E.; Powell, T.M. Environmental variability effects on marine fisheries: Four case studies. Ecol. Appl. 1998, 8, S23–S32. [Google Scholar] [CrossRef] [Green Version]
- Makris, N.C.; Ratilal, P.; Jagannathan, S.; Gong, Z.; Andrews, M.; Bertsatos, I.; Godo, O.R.; Nero, R.W.; Jech, J.M. Critical population density triggers rapid formation of vast oceanic fish shoals. Science 2009, 323, 1734–1737. [Google Scholar] [CrossRef] [Green Version]
- IOCCG. Remote Sensing in Fisheries and Aquaculture; Forget, M.H., Stuart, V., Platt, T., Eds.; Reports of the International Ocean-Colour Coordinating Group 8: Dartmouth, NS, Canada, 2009. [Google Scholar]
- Borja, A.; Elliott, M.; Andersen, J.H.; Berg, T.; Carstensen, J.; Halpern, B.S.; Heiskanen, A.S.; Korpinen, S.; Lowndes, J.S.S.; Martin, G.; et al. Overview of integrative assessment of marine systems: The ecosystem approach in practice. Front. Mar. Sci. 2016, 3, 1–20. [Google Scholar] [CrossRef] [Green Version]
- Trochta, J.T.; Pons, M.; Rudd, M.B.; Dirgbaum, M.; Tanz, A.; Hilborn, R. Ecosystem-based fisheries management: Perception on definitions, implementations and aspirations. PLoS ONE 2018, 13, e0190467. [Google Scholar] [CrossRef]
- Borja, A.; Galparsoro, I.; Irigoien, X.; Iriondo, A.; Menchaca, I.; Muxika, I.; Pascual, M.; Quincoces, I.; Revilla, M.; Germán Rodríguez, J.; et al. Implementation of the European Marine Strategy Framework Directive: A methodological approach for assessment of environmental status, from the Basque Country (Bay of Biscay). Mar. Pollut. Bull. 2011, 62, 889–904. [Google Scholar] [CrossRef]
- Juan-Jordá, M.J.; Murua, H.; Arrizabalaga, H.; Dulvy, N.K.; Restrepo, V. Report card on ecosystem-based fisheries management in tuna regional fisheries management organisations. Fish Fish. 2018, 19, 321–339. [Google Scholar] [CrossRef]
- Platt, T.; Sathyhendranath, S. Ecological indicators for the pelagic zone of the ocean from remote sensing. Remote Sens. Environ. 2008, 112, 3426–3436. [Google Scholar] [CrossRef]
- Casal, G.; Lavender, S. Spatio-temporal variability of sea surface temperature (SST) in Irish waters (1982–2015) using AVHRR sensor. J. Sea Res. 2017, 129, 89–104. [Google Scholar] [CrossRef]
- Dransfeld, L.; Maxwell, H.W.; Moriarty, M.; Nolan, C.; Kelly, E.; Pedreschi, D.; Slattery, N.; Connolly, P. North Western Waters Atlas, 3rd ed.; Marine Institute: Galway, Ireland, 2014. [Google Scholar]
- Gerritsen, H.; Kelly, E. Atlas of Commercial Fisheries around Ireland; Marine Institute: Galway, Ireland, 2009. [Google Scholar]
- Beaulieu, C.; Henson, S.A.; Sarmiento, J.L.; Dunne, J.P.; Doney, S.C.; Rykaczewski, R.R.; Bopp, L. Factors challenging our ability to detect long-term trends in ocean chlorophyll. Biogeosciences 2013, 10, 2711–2724. [Google Scholar] [CrossRef] [Green Version]
- Belo-Couto, A.; Brotas, V.; Mélin, F.; Groom, S.; Sathyendranath, S. Inter-comparison of OC-CCI chlorophyll-a estimates with precursor data sets. Int. J. Remote Sens. 2016, 37, 4337–4355. [Google Scholar] [CrossRef]
- Hu, C.; Lee, Z.P.; Franz, B. Chlorophyll algorithms for oligotrophic oceans: A novel approach based on three-band reflectance difference. J. Geophys. Res. 2012, 117, C01011. [Google Scholar] [CrossRef] [Green Version]
- Gohin, F.; Druon, J.N.; Lampert, L. A five-channel chlorophyll concentration algorithm applied to SeaWiFS data processed by SeaDAS in coastal waters. Int. J. Remote Sens. 2002, 23, 1639–1661. [Google Scholar] [CrossRef]
- O’Reilly, J.E.; Maritorena, S.; Mitchell, B.G.; Siegel, D.A.; Carder, K.L.; Garver, S.A.; Kahru, M.; McClain, C. Ocean Color Chlorophyll Algorithms for SeaWiFS. J. Geophys. Res. 1998, 103, 24937–24953. [Google Scholar] [CrossRef] [Green Version]
- O’Reilly, J.E.; Maritorena, S.; O’Brien, M.C.; Siegel, D.A.; Toole, D.; Menzies, D. Ocean color chlorophyll a algorithms for SeaWiFS, OC2, and OC4: Version 4. In SeaWiFS Post Launch Calibration and Validation Analyses: Part 3; Hooker, S.B., Firestone, E.R., Eds.; NASA Tech. Memo. 2000–206892; NASA Goddard Space Flight Centre: Greenbelt, MD, USA, 2000; Volume 11, pp. 9–23. [Google Scholar]
- Sathyendranath, S.; Grant, M.; Brewin, R.J.W.; Brockmann, C.; Brotas, V.; Chuprin, A.; Doerffer, R.; Dowell, M.; Farman, A.; Groom, S.; et al. ESA Ocean Colour Climate Change Initiative (Ocean_Colour_CCI): Global Chlorophyll-a Data Products Gridded on a Geographic Projection, Version 3.1, 2018, Centre for Environmental Data Analysis. Available online: https://catalogue.ceda.ac.uk/uuid/12d6f4bdabe144d7836b0807e65aa0e2 (accessed on 31 January 2022).
- Reynolds, R.W.; Smith, T.M.; Liu, C.; Chelton, D.B.; Casey, K.S. Daily High-Resolution-Blended Analyses for Sea Surface Temperature. J. Clim. 2007, 20, 5473–5496. [Google Scholar] [CrossRef]
- May, D.A.; Parmeter, M.M.; Olszewski, D.S.; McKenzie, B.D. Operational processing of satellite sea surface temperature retrievals at the Naval Oceanographic Office. Bull. Amer. Meteor. Soc. 1998, 79, 397–407. [Google Scholar] [CrossRef] [Green Version]
- Reynolds, R.W. What’s New in Version 2. 2009. Available online: https://www.ncdc.noaa.gov/sites/default/files/attachments/Reynolds2009_oisst_daily_v02r00_version2-features.pdf (accessed on 31 January 2022).
- Casey, K.S.; Brandon, T.B.; Cornillon, P.; Evans, R.H. The past, present and future of the AVHRR pathfinder SST Program. In Oceanography from the Space: Revisited; Berale, V., Gower, J.F.R., Albertoranza, L., Eds.; Springer: Berlin/Heidelberg, Germany, 2010. [Google Scholar]
- Shiskin, J. Seasonal adjustment of sensitive indicators. In Seasonal Analysis of Economic Time Series; Zeller, A., Ed.; National Bureau of Economic Research: Cambridge, MA, USA, 1978; pp. 97–103. [Google Scholar]
- Cristina, S.; Cordeiro, C.; Lavender, S.; Costa Goela, P.; Icely, J.; Newton, A. MERIS phytoplankton time series products from the SW Iberian Peninsula (Sagres) using seasonal-trend decomposition based on Loess. Remote Sens. 2016, 8, 449. [Google Scholar] [CrossRef] [Green Version]
- Cordeiro, C. stl.fit(): Function Developed in Cristina et al. 2016. Available at GitHub repository. Available online: https://github.com/ClaraCordeiro/stl.fit (accessed on 31 January 2022).
- Cleveland, R.B.; Cleveland, W.S.; McRae, J.E.; Terpenning, I. STL: A seasonal-trend decomposition procedure based on loess. J. Off. Stat. 1990, 6, 3–73. [Google Scholar]
- Qian, S.S.; Borsuk, M.E.; Stow, C.A. Seasonal and long-term nutrient trend decomposition along a spatial gradient in the Neuse River watershed. Environ. Sci. Technol. 2000, 34, 4474–4482. [Google Scholar] [CrossRef]
- Jiang, B.; Liang, S.; Wang, J.; Xiao, Z. Modelling MODIS LAI time series using three statistical methods. Remote Sens. Environ. 2010, 114, 1432–1444. [Google Scholar] [CrossRef]
- Mann, H.B. Nonparametric Tests against Trend. Econometrica 1945, 13, 245. [Google Scholar] [CrossRef]
- Kendall, M.G. Rank Correlation Methods, 4th ed.; Charles Griffin: London, UK, 1975. [Google Scholar]
- Zeileis, A.; Leisch, F.; Hornik, K.; Kleiber, C. Strucchange: An R Package for Testing for Structural Change in Linear Regression Models. J. Stat. Softw. 2002, 7, 1–38. [Google Scholar] [CrossRef] [Green Version]
- Jassby, A.D.; Cloern, J.E. wql: Some Tools for Exploring Water Quality Monitoring Data. R package Version 0.4.9. 2017. Available online: https://cloud.r-project.org/web/packages/wql/index.html (accessed on 31 January 2022).
- Cloern, J.E. Patterns, pace, and processes of water-quality variability in a long-studied estuary. Limnol. Oceanogr. 2019, 64, 192–208. [Google Scholar] [CrossRef] [Green Version]
- Blei, D.M.; Lafferty, J.D. A correlated topic model of science. Annu. Appl. Stat. 2007, 1, 17–35. [Google Scholar] [CrossRef] [Green Version]
- Blei, D.M.; Lafferty, J.D. Topic models. In Chapman and Hall/CRC. Data Mining and Knowledge Discovery Series; Srivastava, A., Sahami, M., Eds.; Taylor and Francis Group, LLC: New York, NY, USA, 2009; 71p. [Google Scholar]
- Bergman, L.R.; Magnusson, D. Person-centered Research. In International Encyclopedia of the Social & Behavioral Sciences; Elsevier: Amsterdam, The Netherlands, 2001; pp. 11333–11339. [Google Scholar]
- Murtagh, F.; Contreras, P. Algorithms for hierarchical clustering: An overview. WIREs Data Mining Knowl. Discov. 2012, 2, 86–97. [Google Scholar] [CrossRef]
- Hopkins, J.E.; Palmer, M.R.; Poulton, A.J.; Hickman, A.E.; Sharples, J. Control of a phytoplankton bloom by wind-driven vertical mixing and light availability. Limnol. Oceanogr. 2021, 66, 1926–1949. [Google Scholar] [CrossRef]
- Uncles, R.J. Physical properties and processes in the Bristol Channel and Severn Estuary. Mar. Pollut. Bull. 2010, 61, 5–20. [Google Scholar] [CrossRef] [PubMed]
- Sánchez-Carnero, N.; Couñago, E.; Rodríguez-Pérez, D.; Freire, J. Exploiting oceanographic satellite data to study the small scale coastal dynamics in a NE Atlantic open embayment. J. Mar. Syst. 2011, 87, 123–132. [Google Scholar] [CrossRef]
- Chollett, I.; Mumby, P.; Muller-Karger, F.E.; Hu, C. Physical environments of the Caribbean Sea. Limnol. Oceanogr. 2012, 57, 1233–1244. [Google Scholar] [CrossRef]
- Hobday, A.J.; Young, J.W.; Moeseneder, C.; Dambacher, J.M. Defining dynamic pelagic habitats in ocean waters off eastern Australia. Deep-Sea Res. II 2011, 58, 734–745. [Google Scholar] [CrossRef]
- Deward, H.; Prince, E.D.; Musyl, M.K.; Brill, R.W.; Sepulveda, C.; Luo, J.; Foley, D.; Orbesen, E.S.; Domeier, L.; Nasby-Lucas, N.; et al. Movements and behaviors of swordfish in the Atlantic and Pacific Oceans examined using pop-up satellite archival tags. Fish. Oceanogr. 2011, 20, 219–241. [Google Scholar] [CrossRef]
- Bachiller, E.; Cotano, U.; Boyra, G.; Irigoien, X. Spatial distribution of the stomach weights of juvenile anchovy (Eugraulis encrasicolus L.) in the Bay of Biscay. ICES J. Mar. Sci. 2013, 70, 362–378. [Google Scholar] [CrossRef] [Green Version]
- Solanki, H.U.; Bhatpuria, D.; Chauhan, P. Signature analysis of Satellite derived SSHA, SST and Chlorophyll Concentration and their linkage with marine fishery resources. J. Mar. Syst. 2015, 150, 12–21. [Google Scholar] [CrossRef]
- Bacha, M.; Jeyid, M.A.; Vantrepotte, V.; Dessilly, D.; Amara, R. Evnironmental effects on the spatio-temporal patters of abundance and distribution of Sardina pilchardus and sardinella off the Mauritanian coast (North-West Africa). Fish. Oceanogr. 2017, 26, 282–298. [Google Scholar] [CrossRef]
- Nurdin, S.; Mustapha, M.A.; Lihan, T.; Zainudding, M. Applicatility of remote sensing oceanographic data in the detection of potential fishing grounds of Rastrelliger kanagurta in the archipelagic waters of Spermonde, Indonesia. Fish. Res. 2017, 196, 1–12. [Google Scholar] [CrossRef]
- Kizenga, H.J.; Jebri, F.; Shaghude, Y.; Raitsos, D.E.; Srokosz, M.; Jacobs, Z.L.; Nencioli, F.; Shalli, M.; Kyewalyanga, M.S.; Popova, E. Variability of mackerel fish catch and remotely-sensed biophysical controls in the eastern Pemba Channel. Ocean Coast. Manag. 2021, 207, 105593. [Google Scholar] [CrossRef]
- EPA. Ireland´s Environment—An Integrated Assessment 2020; Environmental Protection Agency: Wexford, Ireland, 2000; 460p, ISBN 978-1-84095-953-6.
- ICES. Celtic Sea mixed fisheries considerations. In Report of the ICES Advisory Committee; International Council for the Exploration of the Sea: Copenhagen, Denmark, 2021. [Google Scholar]
- DEFRA. Annual Review and Outlook for Agriculture, Food and the Marine 2020; Department of Agriculture, Food and the Marine: London, UK, 2020.
- Harvey, E.T.; Kratzer, S.; Philipson, P. Satellite-based water quality monitoring for improved spatial and temporal retrieval of chlorophyll-a in coastal waters. Remote Sens. Environ. 2015, 158, 417–430. [Google Scholar] [CrossRef]
- Roxy, M.K.; Modi, A.; Murtugudde, R.; Valsala, V.; Panickal, S.; Kumar, S.P.; Ravichandran, M.; Vichi, M.; Lévy, M. A reduction in marine primary productivity driven by rapid warming over the tropical Indian Ocean. Geophys. Res. Lett. 2016, 43, 826–833. [Google Scholar] [CrossRef] [Green Version]
- Wihsgott, J.U.; Sharples, J.; Hopkins, J.E.; Woodward, E.M.S.; Hull, T.; Greenwood, N.; Sivyer, D.B. Observations of vertical mixing in autumn and its effect on the autumn phytoplankton bloom. Prog. Oceanogr. 2019, 177, 102059. [Google Scholar] [CrossRef]
- O’Boyle, J.; Silke, J. A review of phytoplankton ecology in estuarine and coastal waters around Ireland. J. Plankton Res. 2010, 32, 99–118. [Google Scholar] [CrossRef] [Green Version]
- Van der Kooij, J.; Capuzzo, E.; da Silva, J.; Brereton, T. PELTIC12: Small Pelagic Fish in the Coastal Waters of the Eastern Channel and Celtic Sea. 2012. Available online: https://www.bodc.ac.uk/resources/inventories/cruise_inventory/reports/endeavour18_12.pdf (accessed on 31 January 2022).
- Newton, A.; Icely, J.D.; Falcao, M.; Nobre, A.; Nunes, J.P.; Ferreira, J.G.; Vale, C. Evaluation of eutrophication in the Ria Formosa coastal lagoon. Cont. Shelf Res. 2003, 23, 1945–1961. [Google Scholar] [CrossRef]
- Reid, P.C.; Edwards, M.; Hunt, H.G.; Warner, A.J. Phytoplankton change in the North Atlantic. Nature 1998, 391, 546. [Google Scholar] [CrossRef]
- Painter, S.C.; Finlay, M.; Hemsley, V.S.; Martin, A.P. Seasonality, phytoplankton succession and the biogeochemical impacts of an autumn storm in the northeast Atlantic Ocean. Prog. Oceanogr. 2016, 142, 72–104. [Google Scholar] [CrossRef] [Green Version]
- Gowen, R.J.; Mills, D.K.; Trimmer, M.; Nedwell, D.B. Production and its fate in two coastal regions of the Irish Sea: The influence of anthropogenic nutrients. Mar. Ecol. Prog. Ser. 2000, 208, 51–64. [Google Scholar] [CrossRef]
- Casal, G. Spatial and temporal variability of sea surface temperature (SST) and chlorophyll-a (Chl-a) in the coast of Ireland. In Proceedings of the ESA Living Planet Symposium, Prague, Czech Republic, 9–13 May 2016; Volume SP-740. [Google Scholar]
- Henson, S.A.; Sarmiento, J.L.; Dunne, J.P.; Bopp, L.; Lima, I.; Doney, S.C.; John, J.; Beaulieu, C. Detection of anthropogenic climate change in satellite records of ocean chlorophyll and productivity. Biogeosciences 2010, 7, 621–640. [Google Scholar] [CrossRef] [Green Version]
- Zeileis, A.; Kleiber, C.; Kramer, W.; Hornik, K. Testing and dating of structural changes in practice. Comput. Stat. Data Anal. 2003, 44, 109–123. [Google Scholar] [CrossRef] [Green Version]
- Ueyama, R.; Monger, B.C. Wind-induced modulation of seasonal phytoplankton blooms in the North Atlantic derived from satellite observations. Limnol. Oceanogr. 2005, 50, 1820–1829. [Google Scholar] [CrossRef]
- MET Office, UK, 2022, Past Weather Events. Available online: https://www.metoffice.gov.uk/weather/learn-about/past-uk-weather-events#y2002 (accessed on 31 January 2022).
- ICES. Celtic Seas Ecoregion-Ecosystem Overview. In ICES Ecosystem Overviews 2020. Available online: https://www.ices.dk/sites/pub/Publication%20Reports/Advice/2019/2019/EcosystemOverview_CelticSeas_2019.pdf (accessed on 31 January 2022).
- Hazen, E.L.; Scales, K.L.; Maxwell, S.M.; Briscoe, D.K.; Welch, H.; Bograd, S.J.; Bailey, H.; Benson, S.R.; Eguchi, T.; Dewar, H.; et al. A dynamic ocean management tool to reduce bycatch and support sustainable fisheries. Sci. Adv. 2018, 4, eaar3001. [Google Scholar] [CrossRef] [PubMed] [Green Version]
- Bryn, A.; Bekby, T.; Rinde, E.; Gundersen, H.; Halvorsen, R. Reliability in Distribution Modeling—A Synthesis and Step-by-Step Guidelines for Improved Practice. Front. Ecol. Evol. 2021, 9, 658713. [Google Scholar] [CrossRef]
- Pérez-Jorge, S.; Tobeña, M.; Prieto, R.; Vandeperre, F.; Calmetters, B.; Lehodey, P.; Silva, M.A. Environmental drivers of large-scale movements of baleen whales in the mid-North Atlantic Ocean. Biodivers. Res. 2020, 26, 683–698. [Google Scholar] [CrossRef] [Green Version]
- Belkin, I.M. Remote Sensing of Ocean Fronts in Marine Ecology and Fisheries. Remote Sens. 2021, 13, 883. [Google Scholar] [CrossRef]









| ICES Area | Area Name | SST-Chl-a | SST-K490 | Chl-a-K490 |
|---|---|---|---|---|
| VIa | West of Scotland | 0.20 ** | 0.04 | 0.86 *** |
| VIb | Rockall | 0.44 *** | 0.11 | 0.41 *** |
| VIIa | Irish Sea | −0.58 *** | −0.56 *** | 0.86 *** |
| VIIb | West of Ireland | −0.23 *** | −0.27 *** | 0.74 *** |
| VIIc | Porcupine Bank | 0.42 *** | 0.32 *** | 0.86 *** |
| VIId | Eastern English Channel | −0.53 *** | −0.62 *** | 0.64 *** |
| VIIe | Western English Channel | −0.2 ** | −0.33 *** | 0.70 *** |
| VIIf | Bristol Channel | −0.55 *** | −0.58 *** | 0.89 *** |
| VIIg | North Celtic Sea | −0.56 *** | −0.51 *** | 0.84 *** |
| VIIh | South Celtic Sea | −0.34 *** | −0.37 *** | 0.70 *** |
| VIIj | Southwest of Ireland—East | −0.07 | −0.19 ** | 0.64 *** |
| VIIk | Southwest of Ireland—West | 0.31 *** | 0.08 | 0.59 *** |
| Parameter | ICES Area | Area Name | SS | %SS | p-Value |
|---|---|---|---|---|---|
| VIa | West of Scotland | 0.003 | 0.290 | 0.170 | |
| VIb | Rockall | 0.001 | 0.130 | 0.395 | |
| VIIa | Irish Sea | 0.014 | 1.446 | 0.000 | |
| VIIb | West of Ireland | 0.007 | 0.714 | 0.000 | |
| VIIc | Porcupine Bank | 0.004 | 0.364 | 0.001 | |
| Chl-a | VIId | Eastern English Channel | 0.010 | 1.000 | 0.000 |
| VIIe | Western English Channel | 0.004 | 0.412 | 0.002 | |
| VIIf | Bristol Channel | 0.004 | 0.353 | 0.113 | |
| VIIg | North Celtic Sea | 0.004 | 0.420 | 0.003 | |
| VIIh | South Celtic Sea | 0.005 | 0.491 | 0.000 | |
| VIIj | Southwest of Ireland—East | 0.006 | 0.584 | 0.000 | |
| VIIk | Southwest of Ireland—West | 0.005 | 0.474 | 0.000 |
| Parameter | ICES Area | Area Name | SS | %SS | p-Value |
|---|---|---|---|---|---|
| VIa | West of Scotland | 0.001 | 0.063 | 0.002 | |
| VIb | Rockall | 0.000 | 0.042 | 0.004 | |
| VIIa | Irish Sea | 0.000 | −0.015 | 0.758 | |
| VIIb | West of Ireland | 0.001 | 0.063 | 0.009 | |
| VIIc | Porcupine Bank | 0.000 | 0.042 | 0.001 | |
| K490 | VIId | Eastern English Channel | 0.001 | 0.059 | 0.056 |
| VIIe | Western English Channel | 0.001 | 0.125 | 0.000 | |
| VIIf | Bristol Channel | 0.000 | −0.011 | 0.818 | |
| VIIg | North Celtic Sea | 0.001 | 0.078 | 0.000 | |
| VIIh | South Celtic Sea | 0.000 | 0.041 | 0.001 | |
| VIIj | Southwest of Ireland—East | 0.001 | 0.070 | 0.000 | |
| VIIk | Southwest of Ireland—West | 0.000 | 0.049 | 0.001 |
Publisher’s Note: MDPI stays neutral with regard to jurisdictional claims in published maps and institutional affiliations. |
© 2022 by the authors. Licensee MDPI, Basel, Switzerland. This article is an open access article distributed under the terms and conditions of the Creative Commons Attribution (CC BY) license (https://creativecommons.org/licenses/by/4.0/).
Share and Cite
Casal, G.; Cordeiro, C.; McCarthy, T. Using Satellite-Based Data to Facilitate Consistent Monitoring of the Marine Environment around Ireland. Remote Sens. 2022, 14, 1749. https://doi.org/10.3390/rs14071749
Casal G, Cordeiro C, McCarthy T. Using Satellite-Based Data to Facilitate Consistent Monitoring of the Marine Environment around Ireland. Remote Sensing. 2022; 14(7):1749. https://doi.org/10.3390/rs14071749
Chicago/Turabian StyleCasal, Gema, Clara Cordeiro, and Tim McCarthy. 2022. "Using Satellite-Based Data to Facilitate Consistent Monitoring of the Marine Environment around Ireland" Remote Sensing 14, no. 7: 1749. https://doi.org/10.3390/rs14071749
APA StyleCasal, G., Cordeiro, C., & McCarthy, T. (2022). Using Satellite-Based Data to Facilitate Consistent Monitoring of the Marine Environment around Ireland. Remote Sensing, 14(7), 1749. https://doi.org/10.3390/rs14071749

