Abstract
With the aid of a multi-instrument data set gathered by the Mars Atmosphere and Volatile Evolution (MAVEN) during ten selected periods, we make detailed calculations of the CO Ultraviolet Doublet (UVD) emission brightness profiles which are then compared to the Imaging Ultraviolet Spectrometer limb observations. Our calculations confirm that the photoionization of atmospheric CO is the predominant process driving CO UVD emission at high altitudes, whereas the photoelectron impact ionization of CO becomes more important at low altitudes. The data–model comparisons show good agreement near and above the emission peak at around 120 km with an intensity of 27–45 kR. A special case is found for period 3 coincident with a regional dust storm during which the peak altitude rose by 20 km. Of particular interest is the significant discrepancy below the peak, which is likely associated with the uncertainties in either atmospheric density or incident solar irradiance. A detailed investigation suggests that the latter uncertainty is more likely responsible for such a discrepancy, in that the solar irradiance shortward of a wavelength threshold below 30 nm should be adjusted to achieve reasonable data–model agreement over the entire altitude range. This result highlights the necessity to improve the accuracy of any solar irradiance model used for planetary aeronomical studies.
1. Introduction
The CO ultraviolet doublet (UVD) emission near 289 nm, associated with the CO(B–X) electronic transition, is a distinctive feature of dayside airglow emission from planetary upper atmospheres. On Mars, the CO UVD emission has been extensively observed over the past several decades by remote sensing instruments on board several spacecrafts, including the Mariners 6, 7, and 9 [1,2,3,4], the Mars Express (MEx) [5,6,7,8], and more recently the Mars Atmosphere and Volatile Evolution (MAVEN) [9,10,11,12,13]. The Martian CO UVD emission is considered to be mainly produced by the photoionization and photoelectron impact ionization of CO in the upper atmosphere (e.g., [14]). Systematic variations of this emission feature with the solar Extreme Ultraviolet (EUV) irradiance, Solar Zenith Angle (SZA), and Mars season (solar longitude, ) have been reported (e.g., [5,9,11,12]).
Several numerical investigations have been performed to model the CO UVD emission on Mars (e.g., [6,11,14,15,16,17,18], but few of them adequately reproduced the observations. Fox et al. [14] made the first calculation of this emission feature using a background atmosphere consistent with the Viking 1 Neutral Mass Spectrometer measurements [19] and predicted an intensity 60% lower than the value measured by the Mariner 9 Ultraviolet Spectrometer [3]. More recently, using a background atmosphere extracted from the Mars Thermospheric General Circulation Model [20,21], Shematovich et al. [15] obtained a peak intensity compatible with the value measured by the Spectroscopy for the Investigation of the Characteristics of the Atmosphere of Mars (SPICAM) on board the MEx [5]. However, a similar modeling work conducted by Cox et al. [6] predicted a peak intensity systematically higher than the MEx SPICAM value by 40%. The data–model discrepancies in previous modeling works have been attributed to various sources of uncertainty such as the uncertainties in solar EUV irradiance and background CO density. For instance, Simon et al. [16] had to reduce the CO densities in their nominal background atmosphere model adapted from Forget et al. [22] by a factor of 3 to reproduce the MEx SPICAM observations of CO UVD emission. Meanwhile, it is noteworthy that most of the existing calculations were made using the photoelectron energy distribution derived from kinetic models (e.g., [23,24]), which, in many cases, did not reproduce satisfactorily the measured distribution (e.g., [25]).
With the arrival of MAVEN at Mars in April 2015 [26], it is timely to reinvestigate the Martian CO UVD emission. Aligned with the IUVS limb scan observations of this important emission feature under a range of geophysical conditions [27], several instruments on board MAVEN can provide simultaneous measurements of various parameters necessary to compute the emission brightness rigorously. These parameters include the atmospheric CO density measured by the Neutral Gas and Ion Mass Spectrometer (NGIMS) [28], the photoelectron energy distribution measured by the Solar Wind Electron Analyzer (SWEA) [29], and the solar EUV and X-ray irradiance measured by the Extreme Ultraviolet Monitor (EUVM) [30]. In the present study, we make detailed calculations of the CO UVD emission and compare the modeling results to the IUVS limb observations during Martian year (MY) 33–35. Throughout the calculations, the model inputs are constrained by realistic data as much as possible, a procedure that is advantageous to previous modeling works.
The paper is organized as follows. The CO UVD emission model is presented in Section 2. In Section 3, we describe the multi-instrument MAVEN data set used in our calculations. The model results are then compared to the MAVEN IUVS observations in Section 4. In Section 5, we discuss possible sources for the data–model discrepancy. Finally, we end with concluding remarks in Section 6.
2. Model Description
The CO UVD emission is produced by the de-excitation of the B excited state of CO to the X ground state. Excitation to the B excited state occurs mainly via two processes:
where represents a solar EUV photon and represents a photoelectron. Fluorescent scattering of solar photons by CO is omitted in this study, as its contribution to the total UVD emission is typically less than 10% below ∼200 km on Mars (e.g., [14,31,32]).
The CO(B) production rate via CO2 photoionization, denoted as is computed via
where z is the altitude, is the SZA, is the CO density, refers to the photoionization cross section of CO producing CO at the B excited state by solar photons at wavelength, . In practice, the integration of Equation (3) is performed from nm up to nm, where the former is the minimum wavelength of the available solar spectrum and the latter corresponds to the CO ionization threshold producing CO. The solar flux, , is computed from the unattenuated flux, , at the top of the atmosphere via
with being the optical depth given by
where is the density of the ith neutral species and is the respective wavelength-dependent photoabsorption cross section. The SZA variation along the line of sight is taken into account in Equation (5).
The CO(B) production rate via photoelectron impact ionization of CO, denoted as , is given by
where is the electron impact cross section of CO leading to the formation of CO(B) for an incident electron energy of E, is the differential photoelectron intensity and is the respective ionization threshold of 18.1 eV. Due to the low intensities and small cross sections, the contribution of the high-energy photoelectrons to the formation of CO(B) is negligible, thus is assigned to be 1000 eV in this study.
Various photoabsorption cross sections and electron impact ionization cross sections used in our modelings are adapted from our previous compilation described in Wu et al. [33]. The choice of the CO photoionization cross sections appropriate for the formation of CO(B) deserves some special concern. Indeed, the initial population of the B excited state may be perturbed by the proximity of the A excited state, causing a notable discrepancy between the cross sections obtained from photoelectron spectroscopy and fluorescence measurements [34,35]. Photoelectron spectroscopy provides the branching ratios for all ion states, as the technique directly measures the population of these states before cascading, predissociation, or other deactivating processes take place, whereas for fluorescence measurements, the branching ratios are inferred from the relative intensities of different emission features [36]. Johnson et al. [34] suggested that 50% of CO(B) decay spontaneously to CO(A) upon formation via photoionization, a conclusion that is consistent with the discrepancy in cross section between the two different techniques [36]. In previous studies, Fox and Dalgarno [14] based their calculations on the photoelectron spectroscopy cross sections [36] and assumed a quantum yield of 50%, whereas Cox et al. [6] and Gérard et al. [11] based their calculations on the fluorescence emission cross sections [37,38], and hence a quantum yield of 100% was assumed. In our modelings, the latter scheme is adopted with the same CO photoionization cross sections used by Gérard et al. [11].
Converting the production rates from Equations (3) and (6) in units of cm−3 s−1 to the observed airglow emission intensity in units of Rayleigh (1 Rayleigh = 106 photons cm−2 s−1) is then performed by the integration of
where I() is the brightness at the tangent point, , defined to be the shortest distance between the line of sight and the areoid, s is the distance from the tangent point to any point along the line of sight, and is the total CO(B) production rate by processes (1) and (2). To be compatible with the IUVS observations, the SZA at the tangent point is set to be the average value during each observational period that we intend to simulate (see below). In Equation (7), we have implicitly assumed that the atmospheric absorption of CO UVD emission is negligible for the range of altitude considered here (e.g., [15,32]) and that the atmosphere is spherically symmetric. The factor of 2 comes from the symmetry of the integral with respect to the tangent point.
3. Data Description
The methodology described above is applied to the multi-instrument MAVEN data set which contains ideally simultaneous observations of different atmospheric components, airglow emission, and solar EUV radiation. The atmospheric neutral densities and photoelectron intensities are based on the measurements made by the NGIMS [28] and SWEA [29] instruments, respectively, whereas the unattenuated solar spectrum is provided by the EUVM solar spectral model at Mars [30]. The model results of the CO UVD emission are then compared to the IUVS observations for validation. We caution that due to different operation mechanisms, the spatial coverages of the IUVS and NGIMS/SWEA data are not identical and the IUVS coverage is typically larger. Therefore to facilitate data–model comparison, we choose to use the IUVS observations made over restricted SZA ranges as listed in Table 1.
Table 1.
Ephemeris data for the ten cases analyzed in this study.
3.1. EUVM-Based Solar Flux
The MAVEN EUVM instrument continuously measures the solar EUV flux right at Mars using three different wavelength channels: 0–7, 17–22, and 117–125 nm. Based on the combination of the EUVM band irradiance data and the Flare Irradiance Spectral Model–Mars (FISM–M), the full solar spectrum up to 190 nm is constructed [39], with a 1 nm wavelength resolution at a cadence of 1 min. For the purpose of this study, the EUVM level 3 data products (version 11) are used.
The EUV spectrum at the top of the Martian upper atmosphere as model input, taking period 1 as an example, is displayed in Figure 1A with a finer spectral resolution of 0.1 nm. The re-binned wavelength grid is constructed from the newly released Flare Irradiance Spectral Model version 2 (FISM–2) solar spectrum at the Earth [40]. Specifically, we scale the mean FISM–2 solar spectrum during period 1 by requiring that the integrated FISM–2 solar irradiance is identical to the respective EUVM level 3 value over each 1 nm interval.
Figure 1.
(A) The incident solar EUV spectrum at the top of the Martian atmosphere averaged during period 1, over the wavelength range of 0.1–189.9 nm with a spectral resolution of 0.1 nm. (B) The density profiles of CO, N, CO, and O in the background Martian atmosphere, as given by the colored lines, within regions where the NGIMS measurements of these species are available, as indicated by the colored circles.
3.2. NGIMS-Based Neutral Density
The MAVEN NGIMS instrument is a quadrupole mass spectrometer capable of measuring accurate density profiles of various constituents of the Martian neutral atmosphere (Ar, CO, CO, N, O, and He) from periapsis (∼150–160 km for nominal science operations, ∼125 km during deep dip or aerobraking campaigns) to ∼300 km [28]. However, knowledge of the atmospheric structure up to at least 500 km and down to at least 100 km is required. The former is used to accurately determine solar flux attenuation, whereas the latter is required because our calculations are performed down to altitudes well below the typical emission peak. With the aid of the average MAVEN NGIMS level 2 measurements during each period, we construct the corresponding background Martian atmosphere over the full required altitude range following the procedure of Krasnopolsky [41]. For the purpose of accurately calculating the attenuation of solar flux within the atmosphere, four constituents, CO, O, CO, and N, are included.
Analogous to Krasnopolsky [41], the CO density profile is computed by assuming hydrostatic balance using the neutral temperature profile, , in the form of
where is the lower boundary fixed at 80 km throughout our calculations, is the lower boundary temperature constrained by minimizing the difference between the derived densities and the NGIMS CO data, is the exospheric temperature determined from the isothermal fitting to the NGIMS CO data above 200 km, and is a numerical factor constrained in a similar manner as .
The N and CO density profiles are described by the respective momentum equations taking into account both eddy diffusion and molecular diffusion. Here the eddy diffusion coefficient, , is formulated as
where is constrained by the NGIMS N data based on the assumption of diffusive equilibrium (e.g., [42]). With this, the CO density profile could be favorably constructed, also assuming diffusive equilibrium. The failure to reproduce the NGIMS N and CO measurements below 155 km is unimportant within the context of this study as the modeled CO UVD intensity is essentially unaffected by these minor species at low altitudes (see Section 5).
For O, the diffusive equilibrium condition is found to be ineffective, with an upward flux required to reproduce the NGIMS measurements [43]. In practice, very large upward fluxes up to should be adopted for the simulated periods in order to achieve data–model agreement. Despite orders of magnitude higher than the O escape flux, known to be primarily driven by the dissociative recombination of ionospheric O (e.g., [44]), the large O flux inferred here is not totally unrealistic considering that it may reflect a strong ballistic flow that emanates from the sunlit regions of Mars and forms an extended corona as revealed by existing remote sensing observations (e.g., [45]).
The background atmosphere constructed from the aforementioned scheme is referred to as the NGIMS-based background atmosphere. Only the inbound NGIMS data are used to avoid possible contamination by heterogeneous chemistry as well as physical adsorption and desorption occurring on the instrument antechamber walls (e.g., [28]). The corresponding density profiles of CO, N, CO, and O, taking period 1 as an example, are displayed in Figure 1B, within regions where the NGIMS measurements are available and indicated by the solid circles. It should also be borne in mind that the accuracy of the absolute NGIMS O and CO densities is skeptical [43,46], an issue to be visited in detail in Section 5.1.
3.3. AYS-Based Photoelectron Intensity
According to Mukundan et al. [47], the photoelectron intensity, , can be computed from
with being the total inelastic electron impact cross section at energy E, being the differential photoelectron production rate contributed by the photoionization of all neutral constituents per unit solid angle, and being the composite Analytic Yield Spectrum (AYS) in the form of
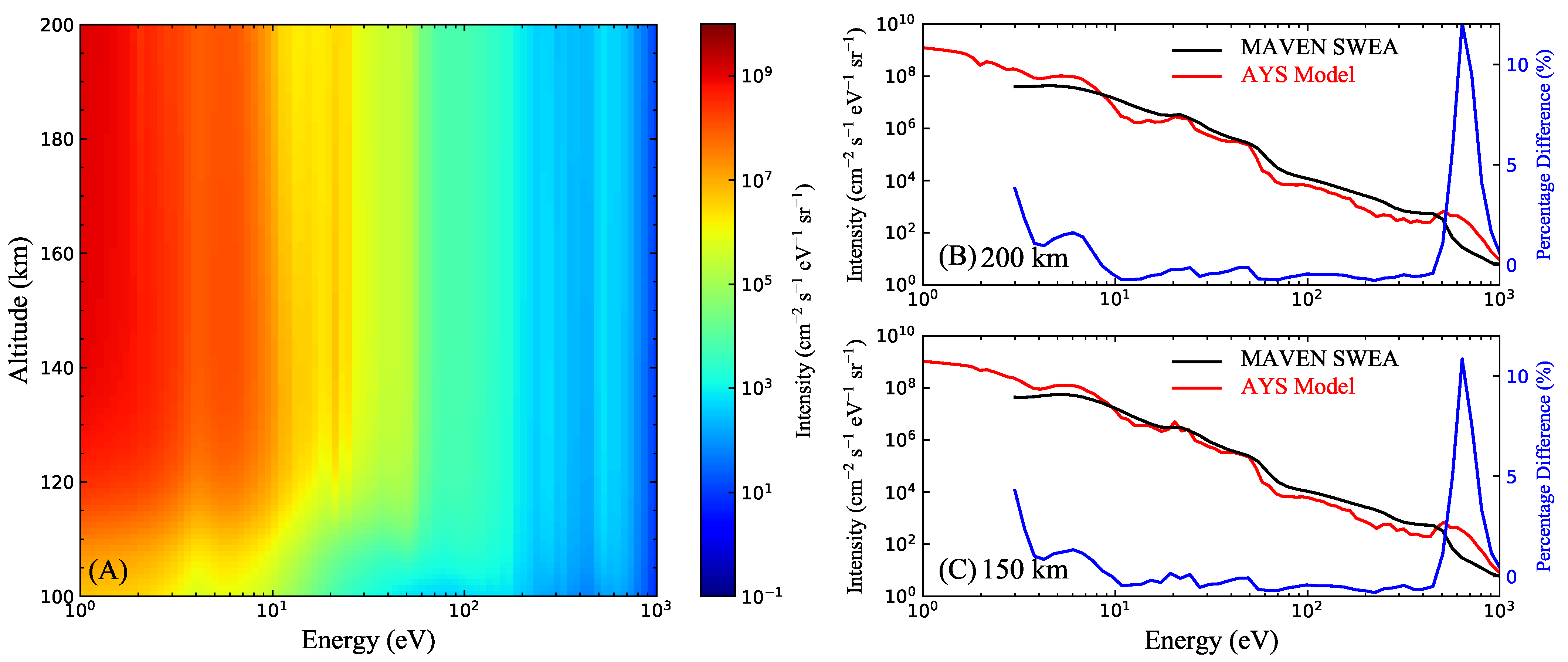
where is averaged over the energy range from E to and is the respective AYS for the ith neutral constituent, characterizing the production of photoelectrons at E from downward degradation of photoelectrons at . For , the analytical expressions given by Green et al. [48] are adopted for all species. The only exception is CO for which we use the more accurate expression from Bhardwaj and Jain [49], taking into account the serious underestimates of the CO AYS by earlier results near and below 15 eV. The photoelectron energy distribution obtained with the AYS method outlined above is shown in Figure 2A, appropriate for period 1 with a mean SZA of 57°. Figure 2B,C show the photoelectron energy spectra at two representative altitudes, 180 km and 130 km, compared with the average SWEA measurements during the same period and at the same altitudes. The blue line in each panel represents the percentage difference in electron intensity between the SWEA measurements and the AYS model results.
Figure 2.
(A) The photoelectron intensity as a function of the altitude and energy calculated with the AYS model appropriate for period 1 with a SZA of 57°. (B,C) The comparison between the modeled photoelectron spectra (red) and the MAVEN SWEA spectra (black) at 200 km and 150 km, respectively. The blue line in each panel represents the percentage difference in electron intensity between the SWEA measurements and the AYS model results. The range of the SWEA spectra used here encompasses the inbound portions of the selected orbits during period 1.
The SWEA instrument is a symmetric hemispheric electrostatic analyzer which provides differential intensity measurements of suprathermal electrons over the energy range from 3 eV to 4.6 keV with a resolution of 17% () and covering a field of view of 360° × 120° [29]. Below 10 eV, the photoelectron spectrum is not reproduced adequately due to the neglect of Coulomb interaction in the AYS approach (e.g., [33]), but such an uncertainty should not affect the calculation of the CO UVD emission which requires photoelectrons at energies above 18.1 eV. The modest underestimate of the photoelectron intensity at 10–100 eV might reflect the combined uncertainty in solar irradiance, atmospheric density, and relevant cross section [33].
3.4. IUVS-Based CO UVD Emission
The MAVEN IUVS is designed to remotely observe the Martian upper atmosphere over the spectral range of 115–340 nm. It is capable of providing calibrated brightnesses for a total number of 28 individual emission lines, which are obtained through multiple linear regression fits of individual spectral components combined with the laboratory spectral data and the reflected background solar spectrum [50]. The geometric information of any individual brightness measurement is recorded at the tangent point. In this study, the level 1C versions 07 data products are used, which are binned onto the tangent point altitude grid with a vertical resolution of 5 km.
In Figure 3, the mean brightness profiles for all simulated periods are displayed as blue dots, along with the corresponding standard deviations given by the horizontal bars. Following Gkouvelis et al. [51], the maximum intensity and peak altitude for each period are determined based on the second-order polynomial fitting to the brightness data in the vicinity of the emission peak (see Table 2).
Figure 3.
The distribution of the CO UVD brightness as a function of the altitude. During each period, the mean brightness profile and the corresponding standard deviation profile are shown in blue, whereas the modeled profile is shown in black. The data—model comparison suggests reasonable data—model agreement near and above the emission peak but considerable discrepancy at lower altitudes.
Table 2.
The observed and modeled CO UVD peak brightness and altitude.
These data have been collected over a narrow SZA interval of 50–60°, around 11.5 h local time, and over a latitude interval of 46–54°S. Such a condition is also compatible with the average condition of the NGIMS measurements made during the same campaign. The mean brightness and the corresponding standard deviation are calculated within every 5 km altitude bin and shown in blue in the figure. Following Gkouvelis et al. [51], the maximum intensity and the peak altitude are determined based on the best fit second-order polynomial to the brightness data in the vicinity of the emission peak, which are 30 kR and 122.5 km, respectively.
4. Model Results
The model results of CO(B) production via different channels are shown in Figure 4, all as a function of the altitude. In general, the relative contributions from the two processes do not change significantly under different conditions. The overall production is dominated by photoionization at higher altitudes and by electron impact ionization at lower altitudes, with the crossover occurring at a roughly stable altitude range of 112–120 km during nearly all periods. The only exception is period 3 when the crossover rises to a higher altitude of 130 km. It is interesting to note that a regional dust storm was observed in the southern hemisphere during the same period (see also below).
Figure 4.
The CO(B) production rate profiles via different processes, blue for photoionization and red for photoelectron impact ionization. The black line represents the respective total production rate profile.
The altitude variations and relative importance of the two channels are in good agreement with the early results of Fox and Dalgarno [14] and Simon et al. [16], reporting that the photoelectron-induced emission rate exceeds the photon-induced emission rate below 110 km and 120 km, respectively. A similar trend is also seen in the distribution of the CO ionization efficiency, defined as the ratio between the photoionization and photoelectron impact ionization rates of atmospheric CO, decreasing substantially with increasing altitude from near or greater than unity around 100 km to a constant level of 0.2 above 160 km [52,53]. Both tendencies stem from the fact that more energetic photons penetrate deeper into the atmosphere, producing photoelectrons at higher energies which can ionize ambient neutrals more than once [54]. However, we cation that Gérard et al. [11] reported a strongly dominant role of photoionization in producing CO(B), with negligible contribution from photoelectron impact ionization at all altitudes. Without further information, it is difficult to determine the source of discrepancy between Gérard et al. [11] and the remaining studies (including ours).
The total CO(B) production rate profile is shown with the black line in each panel of Figure 4, demonstrating a layer structure characterized by a peak production rate ranging from 400 cm s to 520 cm s and a peak altitude ranging from 123 km to 145 km. The highest peak altitude occurs during period 3, coincident with the occurrence of a regional dust storm as noted above. Near the peak, photoionization contributes to ∼83% of total CO(B) production during all periods, consistent with the range of ∼82–92% obtained in previous studies under a range of solar illumination and atmospheric conditions [11,16,17].
The total production rate profile is then integrated along the line of sight according to Equation (7). The data–model comparison of CO UVD emission is displayed in Figure 3. It is seen that the peak characteristics of the modeled and observed brightness profiles are in good agreement during essentially all periods including the one with regional dust storm. Above the peak, the modeled brightness differs from the observations by no more than 5%, which is well within the 1– variability suggested by the IUVS data. However, the brightness profiles show substantial data–model discrepancy below the peak during several periods, where the modeled brightness tends to be either overestimated (periods 3, 8, and 10) or underestimated (periods 2 and 7). The possible sources of discrepancy are discussed in Section 5.
A scrutinization of the IUVS observations and our model results indicates that the variation of the peak brightness essentially reflects the response of the CO UVD emission to the varying solar activity and heliocentric distance of Mars. The peak altitude variation is mostly caused by the change of the overlying CO column density that controls the absorption of solar irradiation within the atmosphere. The highest peak altitude occurs during a period with a regional dust storm, during which the dust-driven lifting of pressure surfaces naturally leads to a rise in brightness peak [55,56,57]. In principle, dust-driven dynamics should not influence the peak brightness. The fact that the largest peak brightness occurs during the dust period according to both IUVS observations and model results (see Table 2) is that the solar ionizing flux is coincidentally highest during this period (see Table 1).
5. Sources of the Data–Model Discrepancy
The data–model comparison presented in Section 4 suggests that our calculations adequately reproduce the CO UVD observations near and above the emission peak. The considerable discrepancy at lower altitudes is likely subject to uncertainties in atmospheric density and incident solar irradiance, which we address in turn below.
5.1. Background Atmosphere
It has been reported that the NGIMS-derived O density might be seriously underestimated, and an enhancement factor of ∼1.5 is suggested as motivated by the data–model comparison of the Martian ionospheric structure [33,58]. Moreover, the NGIMS-derived CO density has been speculated to be overestimated by a large factor of 5–10 based on two completely different approaches, either via ionospheric structure or via photoelectron intensity distribution [33,43]. Such a substantial overestimate is thought to be related to the fact that the NGIMS-based CO count rates are seriously contaminated by CO and N, whose cracking patterns are not known accurately enough to allow a robust extraction of the Martian upper atmospheric composition [43]. Thus, we assign two multiplication factors of 1.5 and 0.2 to correct the NGIMS-based O and CO density profiles as model inputs. The correspondingly recalculated CO UVD emission profile is indicated by the red line in Figure 5 for two representative periods. As expected, the updated atmospheric structure, which we refer to as the nominal background atmosphere throughout the rest of the paper, implies a lesser degree of atmospheric attenuation of incident solar flux and consequently an enhanced production of CO(B) or enhanced emission of CO UVD photons near and below the peak.
Figure 5.
The model results of the CO UVD brightness profile obtained with different choices of the input background atmosphere for two representative periods, black for the NGIMS-derived case (the same as in Figure 3), red for the nominal case with adjusted O and CO densities, green and orange for the cases with the CO densities further multiplied by 1.2 and 0.8, respectively. For comparison, the blue dots with 1– horizontal bars show the averaged IUVS brightness profile with standard deviations during the two periods.
The CO UVD brightness profile clearly depends on the ambient CO distribution. Therefore it is instructive to explore the impact of the atmospheric CO distribution linked to the typical NGIMS density uncertainty of 20% [59]. For illustrative purposes, we compare two model runs with the NGIMS-based CO distribution multiplied by 1.2 and 0.8, respectively, as indicated by the green and orange lines in Figure 5. Near and above the emission peak where the atmosphere is optically thin, the CO UVD brightness is positively correlated with the imposed CO density as the solar irradiance remains unchanged. At lower altitudes where the atmosphere becomes optically thick, a slightly negative correlation is predicted because an enhanced CO distribution implies an enhanced atmospheric attenuation of the incident solar irradiance which is more than enough to counterbalance the effect of more parent neutrals available for CO(B) production. In general, Figure 5 suggests that a constant scaling of the NGIMS-derived CO distribution does not provide a viable solution to the data–model discrepancy. From the above discussion, we conclude that the imposed structure of the background neutral atmosphere is a minor source of uncertainty in the modeled CO UVD brightness.
5.2. Incident Solar Spectrum
Modeling the CO UVD emission requires an unattenuated solar spectrum at the top of the Martian upper atmosphere, which is generally not available from observations but obtainable from various solar irradiance models. In practice, solar irradiance models are bin-averaged into selected wavelength bands and narrow spectral windows with important solar emission lines, in order to rigorously calculate the photoionization and photoelectron impact ionization rates. However, the spectral characteristics of various solar irradiance models may differ significantly, leading to considerable uncertainty in the modeled emission brightness [17].
The impacts of the selected solar irradiance models on the fundamental characteristics of the Martian upper atmosphere, including the photoelectron fluxes, volume emission rates, ion densities, as well as CO Cameron and CO UVD band emission brightnesses, have been discussed by Jain and Bhardwaj [17], with two commonly used solar irradiance models, SOLAR2000 (S2K) of Tobiska et al. [60] and EUVAC of Richards et al. [61], as model inputs. According to their study, the dayglow intensities calculated using the S2K model are ∼40% higher than those calculated using the EUVAC model under the low solar activity condition, whereas the intensities calculated using the EUVAC model are slightly higher (∼20%) than those calculated using the S2K model under the high solar activity condition, due to the higher EUV fluxes at wavelengths below 25 nm in the EUVAC model. A similar impact of the selected solar irradiance models on the N Vegard–Kaplan band emission intensity on Mars has also been reported by Jain and Bhardwaj [62].
As for the FISM model from which the solar EUV spectrum used here is derived, Peterson et al. [25] suggested that the uncertainty of the spectrum at relatively short wavelengths was likely large. Indeed, Peterson et al. [63] found that the realistic variability of the solar irradiance below 8 nm was not fully captured by a variety of solar irradiance models, including the FISM model. This motivates us to explore in detail the impact of the incident solar irradiance on the modeled CO UVD brightness profile.
Two free parameters are selected to characterize the reduction in solar irradiance, in terms of a scaling factor from 0.2 to 2, below a certain wavelength threshold from 10 nm to 30 nm. Adjustment at longer wavelengths is not considered because photons above 30 nm typically affect the modeled CO UVD brightnesses above the peak, which are found to be compatible with the observed brightnesses during all periods according to Figure 3. For each combination of the two parameters, we repeat for each period the calculation of the CO UVD emission profile and determine the respective data–model discrepancy. The nominal background atmosphere is adopted throughout these calculations. The distribution of the discrepancy is demonstrated in Figure 6 for three representative periods, along with the comparison between the respective mean IUVS observations and a sequence of selected model results.

Figure 6.
The impact of the incident solar irradiance on the modeled CO UVD brightness profile for three representative periods, examined in terms of two free parameters that designate a prescribed constant scaling factor applied to the solar irradiance shortward of a prescribed wavelength threshold. Each of the left panels presents a comparison between the mean IUVS observation (blue circles with 1 standard deviations) and a sequence of selected model results with different combinations of the scaling factor and wavelength threshold (colored lines). The color of each line is representative of the respective data–model discrepancy. Each of the right panels shows the distribution of the data–model discrepancy with respect to the solar irradiance scaling factor and wavelength threshold.
The upper row represents a period for which the model results obtained with the EUVM-based solar irradiance are compatible with the mean IUVS observation. As expected, minimum for this period occurs over a narrow horizontal band centered at a solar flux scaling factor of unity. However, this is not the situation for the other two periods shown in Figure 6. In the middle row, the modeled brightness is significantly overestimated, indicating that the solar irradiance at short wavelengths has to be adjusted downward. According to our calculations, reasonable data–model agreement could be achieved provided that the EUVM-based solar irradiance is reduced by a factor of 2–3 at wavelengths shorter than 10–30 nm. The bottom row demonstrates a contrasting example with the modeled CO UVD brightness considerably overestimated. The detailed data–model comparison suggests that the EUVM-based solar irradiance should be increased by 20–40% at wavelengths shorter than 20–30 nm during this period. For both periods, the adjustment of the solar irradiance at short wavelengths does not affect the CO UVD emission at relatively high altitudes, which is above the penetration depth (the altitude at which the optical depth reaches unity) for solar photons shortward of 30 nm. In contrast, the emission intensity becomes substantially enhanced or reduced near and below the peak in response to varying CO(B) production via both photoionization and photoelectron impact ionization.
6. Conclusions
The CO UVD emission feature has been extensively observed in the dayside Martian upper atmosphere [1,3,5,8,11]. This feature is the outcome of the spontaneous decay of CO from the B excited state to the X ground state, for which excited state CO could be produced via both photoionization and photoelectron impact ionization of atmospheric CO [14].
The present study is devoted to a modeling study of the CO UVD emission feature, with the model inputs constrained by realistic data owing to the simultaneous MAVEN measurements of several key parameters required for computing rigorously the CO UVD brightness profile [26]. We focus on the data accumulated during ten selected periods. In particular, the incident solar spectrum at the top of the Martian atmosphere is constructed by combining the EUVM product at Mars [39] and the FISM–2 spectrum at the Earth [40]. The inbound NGIMS measurements [59] are used to construct a background atmosphere composed of CO, O, CO, and N with the aid of the diffusion equation for each species. The photoelectron energy distribution and its contribution to CO(B) production over the fully desired altitude range are obtained based on the AYS model results which are found to agree reasonably with the available SWEA measurements [29], at least over the energy range crucial for CO(B) production. The consequently modeled CO UVD emission brightness profile is then compared to the mean IUVS observations for validation [27].
The data–model comparison shows a good agreement near and above the emission peak at around 120 km with an intensity of 27–45 kR in response to the varying solar activity and heliocentric distance of Mars during different periods. A special case is found for period 3 coincident with a regional dust storm during which the peak altitude rose to nearly 140 km. Of more interest is the significant discrepancy below the peak, which is likely associated with the uncertainties in either atmospheric density or incident solar irradiance. A detailed investigation suggests that the uncertainty in atmospheric density is far insufficient to account for the low altitude discrepancy for any reasonable choice of the scaling factors applied to the NGIMS-derived CO, O, and CO densities [28,33,43,58]. However, the low-altitude data–model discrepancy could be explained by a significant uncertainty of the solar irradiance shortward of a certain wavelength threshold below 30 nm. The data–model comparison of CO UVD emission presented here highlights the necessity to improve the accuracy of any solar irradiance model used for planetary aeronomical studies.
Author Contributions
Conceptualization, Z.L., D.N. and J.C.; data curation, Z.L.; formal analysis, Z.L.; funding acquisition, D.N., H.G., X.W. and J.C.; investigation, Z.L.; methodology, Z.L.; project administration, Z.L., D.N. and J.C.; resources, J.C.; software, Z.L., D.N. and J.C.; supervision, D.N. and J.C.; validation, Z.L., D.N., H.G. and J.C.; visualization, Z.L.; writing—original draft, Z.L.; writing—review and editing, Z.L., D.N., H.G., X.W., Y.H., J.Z. and J.C. All authors have read and agreed to the published version of the manuscript.
Funding
The authors acknowledge support from the National Natural Science Foundation of China through grants 42030201 to J.C., 42104170 to D.N., 41904154 to X.W. and 42105120 to H.G., as well as support from the Chinese Academy of Sciences (CAS) through the B-type Strategic Priority Program No. XDB41000000, the CAS Institute of Geology & Geophysics through grant IGGCAS-201904, and China’s National Space Administration through the pre-research project on Civil Aerospace Technologies No. D020105.
Institutional Review Board Statement
Not applicable.
Informed Consent Statement
Not applicable.
Data Availability Statement
The data set used in this work is publicly available at the MAVEN Science Data Center (http://lasp.colorado.edu/maven/sdc/public/, accessed on 20 October 2021).
Conflicts of Interest
The authors declare no conflict of interest.
References
- Barth, C.A.; Fastie, W.G.; Hord, C.W.; Pearce, J.B.; Kelly, K.K.; Stewart, A.I.; Thomas, G.E.; Anderson, G.P.; Raper, O.F. Marine 6: Ultraviolet Spectrum of Mars Upper Atmosphere. Science 1969, 165, 1004–1005. [Google Scholar] [CrossRef] [PubMed]
- Barth, C.A.; Hord, C.W.; Pearce, J.B.; Kelly, K.K.; Anderson, G.P.; Stewart, A.I. Mariner 6 and 7 Ultraviolet Spectrometer Experiment: Upper atmosphere data. J. Geophys. Res. 1971, 76, 2213. [Google Scholar] [CrossRef] [Green Version]
- Stewart, A.I. Mariner 6 and 7 Ultraviolet Spectrometer Experiment: Implications of CO, CO and O Airglow. J. Geophys. Res. 1972, 77, 54. [Google Scholar] [CrossRef]
- Stewart, A.I.; Barth, C.A.; Hord, C.W.; Lane, A.L. Mariner 9 Ultraviolet Spectrometer Experiment: Structure of Mars’s Upper Atmosphere (A 5. 3). Icarus 1972, 17, 469–474. [Google Scholar] [CrossRef]
- Leblanc, F.; Chaufray, J.Y.; Lilensten, J.; Witasse, O.; Bertaux, J.L. Martian dayglow as seen by the SPICAM UV spectrograph on Mars Express. J. Geophys. Res. Planets 2006, 111, E09S11. [Google Scholar] [CrossRef]
- Cox, C.; Gérard, J.C.; Hubert, B.; Bertaux, J.L.; Bougher, S.W. Mars ultraviolet dayglow variability: SPICAM observations and comparison with airglow model. J. Geophys. Res. Planets 2010, 115, E04010. [Google Scholar] [CrossRef] [Green Version]
- Stiepen, A.; Gérard, J.C.; Bougher, S.; Montmessin, F.; Hubert, B.; Bertaux, J.L. Mars thermospheric scale height: CO Cameron and CO dayglow observations from Mars Express. Icarus 2015, 245, 295–305. [Google Scholar] [CrossRef]
- Montmessin, F.; Korablev, O.; Lefèvre, F.; Bertaux, J.L.; Fedorova, A.; Trokhimovskiy, A.; Chaufray, J.Y.; Lacombe, G.; Reberac, A.; Maltagliati, L.; et al. SPICAM on Mars Express: A 10 year in-depth survey of the Martian atmosphere. Icarus 2017, 297, 195–216. [Google Scholar] [CrossRef]
- Jain, S.K.; Stewart, A.I.F.; Schneider, N.M.; Deighan, J.; Stiepen, A.; Evans, J.S.; Stevens, M.H.; Chaffin, M.S.; Crismani, M.; McClintock, W.E.; et al. The structure and variability of Mars upper atmosphere as seen in MAVEN/IUVS dayglow observations. Geophys. Res. Lett. 2015, 42, 9023–9030. [Google Scholar] [CrossRef] [Green Version]
- Jain, S.K.; Deighan, J.; Schneider, N.M.; Stewart, A.I.F.; Evans, J.S.; Thiemann, E.M.B.; Chaffin, M.S.; Crismani, M.; Stevens, M.H.; Elrod, M.K.; et al. Martian Thermospheric Response to an X8.2 Solar Flare on 10 September 2017 as Seen by MAVEN/IUVS. Geophys. Res. Lett. 2018, 45, 7312–7319. [Google Scholar] [CrossRef] [Green Version]
- Gérard, J.C.; Gkouvelis, L.; Ritter, B.; Hubert, B.; Jain, S.K.; Schneider, N.M. MAVEN-IUVS Observations of the CO UV Doublet and CO Cameron Bands in the Martian Thermosphere: Aeronomy, Seasonal, and Latitudinal Distribution. J. Geophys. Res. Space Phys. 2019, 124, 5816–5827. [Google Scholar] [CrossRef]
- Li, Z.; Cui, J.; Li, J.; Wu, X.; Zhong, J.; Jian, F. Solar control of CO ultraviolet doublet emission on Mars. Earth Planet. Phys. 2020, 4, 543–549. [Google Scholar] [CrossRef]
- Qin, J. Solar Cycle, Seasonal, and Dust-storm-driven Variations of the Mars Upper Atmospheric State and H Escape Rate Derived from the Lyα Emission Observed by NASA’s MAVEN Mission. Astrophys. J. 2021, 912, 77. [Google Scholar] [CrossRef]
- Fox, J.L.; Dalgarno, A. Ionization, luminosity, and heating of the upper atmosphere of Mars. J. Geophys. Res. 1979, 84, 7315–7333. [Google Scholar] [CrossRef] [Green Version]
- Shematovich, V.I.; Bisikalo, D.V.; Gérard, J.C.; Cox, C.; Bougher, S.W.; Leblanc, F. Monte Carlo model of electron transport for the calculation of Mars dayglow emissions. J. Geophys. Res. Planets 2008, 113, E02011. [Google Scholar] [CrossRef] [Green Version]
- Simon, C.; Witasse, O.; Leblanc, F.; Gronoff, G.; Bertaux, J.L. Dayglow on Mars: Kinetic modelling with SPICAM UV limb data. Planet. Space Sci. 2009, 57, 1008–1021. [Google Scholar] [CrossRef]
- Jain, S.K.; Bhardwaj, A. Impact of solar EUV flux on CO Cameron band and CO UV doublet emissions in the dayglow of Mars. Planet. Space Sci. 2012, 63, 110–122. [Google Scholar] [CrossRef] [Green Version]
- González-Galindo, F.; Chaufray, J.Y.; Forget, F.; García-Comas, M.; Montmessin, F.; Jain, S.K.; Stiepen, A. UV Dayglow Variability on Mars: Simulation With a Global Climate Model and Comparison With SPICAM/MEx Data. J. Geophys. Res. Planets 2018, 123, 1934–1952. [Google Scholar] [CrossRef]
- Nier, A.O.; McElroy, M.B. Structure of the Neutral Upper Atmosphere of Mars: Results from Viking 1 and Viking 2. Science 1976, 194, 1298–1300. [Google Scholar] [CrossRef]
- Bougher, S.W.; Murphy, J.R.; Bell, J.M.; Zurek, R.W. Prediction of the structure of the martian upper atmosphere for the Mars Reconnaissance Orbiter (MRO) mission. Int. J. Mars Sci. Explor. 2006, 2, 10–20. [Google Scholar] [CrossRef]
- Bougher, S.W.; McDunn, T.M.; Zoldak, K.A.; Forbes, J.M. Solar cycle variability of Mars dayside exospheric temperatures: Model evaluation of underlying thermal balances. Geophys. Res. Lett. 2009, 36, L05201. [Google Scholar] [CrossRef] [Green Version]
- Forget, F.; Montmessin, F.; Bertaux, J.L.; González-Galindo, F.; Lebonnois, S.; Quémerais, E.; Reberac, A.; Dimarellis, E.; López-Valverde, M.A. Density and temperatures of the upper Martian atmosphere measured by stellar occultations with Mars Express SPICAM. J. Geophys. Res. Planets 2009, 114, E01004. [Google Scholar] [CrossRef] [Green Version]
- Liemohn, M.W.; Ma, Y.; Kozyra, J.U.; Nagy, A.F.; Frahm, R.A.; Winningham, J.D.; Sharber, J.R.; Barabash, S.V.; Lundin, R.N.; Team, T. MHD and kinetic modeling analysis of high-altitude photoelectron observations at Mars. In AGU Spring Meeting Abstracts; American Geophysical Union: New Orleans, LA, USA, 2005; Volume 2005, p. SA32A-05. [Google Scholar]
- Xu, S.; Liemohn, M.W.; Peterson, W.K.; Fontenla, J.; Chamberlin, P. Comparison of different solar irradiance models for the superthermal electron transport model for Mars. Planet. Space Sci. 2015, 119, 62–68. [Google Scholar] [CrossRef] [Green Version]
- Peterson, W.K.; Thiemann, E.M.B.; Eparvier, F.G.; Andersson, L.; Fowler, C.M.; Larson, D.; Mitchell, D.; Mazelle, C.; Fontenla, J.; Evans, J.S.; et al. Photoelectrons and solar ionizing radiation at Mars: Predictions versus MAVEN observations. J. Geophys. Res. Space Phys. 2016, 121, 8859–8870. [Google Scholar] [CrossRef]
- Jakosky, B.M.; Lin, R.P.; Grebowsky, J.M.; Luhmann, J.G.; Mitchell, D.F.; Beutelschies, G.; Priser, T.; Acuna, M.; Andersson, L.; Baird, D.; et al. The Mars Atmosphere and Volatile Evolution (MAVEN) Mission. Space Sci. Rev. 2015, 195, 3–48. [Google Scholar] [CrossRef]
- McClintock, W.E.; Schneider, N.M.; Holsclaw, G.M.; Clarke, J.T.; Hoskins, A.C.; Stewart, I.; Montmessin, F.; Yelle, R.V.; Deighan, J. The Imaging Ultraviolet Spectrograph (IUVS) for the MAVEN Mission. Space Sci. Rev. 2015, 195, 75–124. [Google Scholar] [CrossRef]
- Mahaffy, P.R.; Benna, M.; King, T.; Harpold, D.N.; Arvey, R.; Barciniak, M.; Bendt, M.; Carrigan, D.; Errigo, T.; Holmes, V.; et al. The Neutral Gas and Ion Mass Spectrometer on the Mars Atmosphere and Volatile Evolution Mission. Space Sci. Rev. 2015, 195, 49–73. [Google Scholar] [CrossRef] [Green Version]
- Mitchell, D.L.; Mazelle, C.; Sauvaud, J.A.; Thocaven, J.J.; Rouzaud, J.; Fedorov, A.; Rouger, P.; Toublanc, D.; Taylor, E.; Gordon, D.; et al. The MAVEN Solar Wind Electron Analyzer. Space Sci. Rev. 2016, 200, 495–528. [Google Scholar] [CrossRef]
- Eparvier, F.G.; Chamberlin, P.C.; Woods, T.N.; Thiemann, E.M.B. The Solar Extreme Ultraviolet Monitor for MAVEN. Space Sci. Rev. 2015, 195, 293–301. [Google Scholar] [CrossRef]
- Gronoff, G.; Simon Wedlund, C.; Mertens, C.J.; Barthélemy, M.; Lillis, R.J.; Witasse, O. Computing uncertainties in ionosphere-airglow models: II. The Martian airglow. J. Geophys. Res. Space Phys. 2012, 117, A05309. [Google Scholar] [CrossRef] [Green Version]
- Evans, J.S.; Stevens, M.H.; Lumpe, J.D.; Schneider, N.M.; Stewart, A.I.F.; Deighan, J.; Jain, S.K.; Chaffin, M.S.; Crismani, M.; Stiepen, A.; et al. Retrieval of CO2 and N2 in the Martian thermosphere using dayglow observations by IUVS on MAVEN. Geophys. Res. Lett. 2015, 42, 9040–9049. [Google Scholar] [CrossRef] [Green Version]
- Wu, X.; Cui, J.; Niu, D.; Ren, Z.; Wei, Y. Compositional Variation of the Dayside Martian Ionosphere: Inference from Photochemical Equilibrium Computations. Astrophys. J. 2021, 923, 29. [Google Scholar] [CrossRef]
- Johnson, M.A.; Zare, R.N.; Rostas, J.; Leach, S. Resolution of the Ã/B∼ photoionization branching ratio paradox for the 12CO B∼(000) state. J. Chem. Phys. 1984, 80, 2407–2428. [Google Scholar] [CrossRef]
- Leach, S.; Stannard, P.R.; Gelbart, W.M. Interelectronic-state perturbation effects on photoelectron spectra and emission quantum yields. Mol. Phys. 1978, 36, 1119–1132. [Google Scholar] [CrossRef]
- Samson, J.A.R.; Gardner, J.L. Fluorescence excitation and photoelectron spectra of CO2 induced by vacuum ultraviolet radiation between 185 and 716 Angstroms. J. Geophys. Res. 1973, 78, 3663. [Google Scholar] [CrossRef]
- Padial, N.; Csanak, G.; McKoy, B.V.; Langhoff, P.W. Photoexcitation and ionization in carbon dioxide: Theoretical studies in the separated-channel static-exchange approximation. Phys. Rev. A Gen. Phys. 1981, 23, 218–235. [Google Scholar] [CrossRef] [Green Version]
- Avakyan, S.V.; Ii’In, R.N.; Lavrov, V.M.; Ogurtsov, G.N. Collision Processes and Excitation of UV Emission from Planetary Atmospheric Gases: A Handbook of Cross Sections; CRC Press: Boca Raton, FL, USA, 1998. [Google Scholar]
- Thiemann, E.M.B.; Chamberlin, P.C.; Eparvier, F.G.; Templeman, B.; Woods, T.N.; Bougher, S.W.; Jakosky, B.M. The MAVEN EUVM model of solar spectral irradiance variability at Mars: Algorithms and results. J. Geophys. Res. Space Phys. 2017, 122, 2748–2767. [Google Scholar] [CrossRef]
- Chamberlin, P.C.; Eparvier, F.G.; Knoer, V.; Leise, H.; Pankratz, A.; Snow, M.; Templeman, B.; Thiemann, E.M.B.; Woodraska, D.L.; Woods, T.N. The Flare Irradiance Spectral Model-Version 2 (FISM2). Space Weather 2020, 18, e02588. [Google Scholar] [CrossRef]
- Krasnopolsky, V.A. Mars’ upper atmosphere and ionosphere at low, medium, and high solar activities: Implications for evolution of water. J. Geophys. Res. Planets 2002, 107, 5128. [Google Scholar] [CrossRef]
- Slipski, M.; Jakosky, B.Â.M.; Benna, M.; Elrod, M.; Mahaffy, P.; Kass, D.; Stone, S.; Yelle, R. Variability of Martian Turbopause Altitudes. J. Geophys. Res. Planets 2018, 123, 2939–2957. [Google Scholar] [CrossRef]
- Wu, X.S.; Cui, J.; Yelle, R.V.; Cao, Y.T.; He, Z.G.; He, F.; Wei, Y. Photoelectrons as a Tracer of Planetary Atmospheric Composition: Application to CO on Mars. J. Geophys. Res. Planets 2020, 125, e06441. [Google Scholar] [CrossRef]
- Lillis, R.J.; Deighan, J.; Fox, J.L.; Bougher, S.W.; Lee, Y.; Combi, M.R.; Cravens, T.E.; Rahmati, A.; Mahaffy, P.R.; Benna, M.; et al. Photochemical escape of oxygen from Mars: First results from MAVEN in situ data. J. Geophys. Res. Space Phys. 2017, 122, 3815–3836. [Google Scholar] [CrossRef]
- Chaufray, J.Y.; Deighan, J.; Chaffin, M.S.; Schneider, N.M.; McClintock, W.E.; Stewart, A.I.F.; Jain, S.K.; Crismani, M.; Stiepen, A.; Holsclaw, G.M.; et al. Study of the Martian cold oxygen corona from the O I 130.4 nm by IUVS/MAVEN. Geophys. Res. Lett. 2015, 42, 9031–9039. [Google Scholar] [CrossRef] [Green Version]
- Fox, J.L.; Johnson, A.S.; Ard, S.G.; Shuman, N.S.; Viggiano, A.A. Photochemical determination of O densities in the Martian thermosphere: Effect of a revised rate coefficient. Geophys. Res. Lett. 2017, 44, 8099–8106. [Google Scholar] [CrossRef]
- Mukundan, V.; Thampi, S.V.; Bhardwaj, A.; Krishnaprasad, C. The dayside ionosphere of Mars: Comparing a one-dimensional photochemical model with MAVEN Deep Dip campaign observations. Icarus 2020, 337, 113502. [Google Scholar] [CrossRef]
- Green, A.E.S.; Jackman, C.H.; Garvey, R.H. Electron impact on atmospheric gases, 2. Yield spectra. J. Geophys. Res. 1977, 82, 5104. [Google Scholar] [CrossRef]
- Bhardwaj, A.; Jain, S.K. Monte Carlo model of electron energy degradation in a CO2 atmosphere. J. Geophys. Res. Space Phys. 2009, 114, A11309. [Google Scholar] [CrossRef] [Green Version]
- Stevens, M.H.; Evans, J.S.; Schneider, N.M.; Stewart, A.I.F.; Deighan, J.; Jain, S.K.; Crismani, M.; Stiepen, A.; Chaffin, M.S.; McClintock, W.E.; et al. New observations of molecular nitrogen in the Martian upper atmosphere by IUVS on MAVEN. Geophys. Res. Lett. 2015, 42, 9050–9056. [Google Scholar] [CrossRef] [Green Version]
- Gkouvelis, L.; Gérard, J.C.; Ritter, B.; Hubert, B.; Schneider, N.M.; Jain, S.K. The O(1S) 297.2-nm Dayglow Emission: A Tracer of CO2 Density Variations in the Martian Lower Thermosphere. J. Geophys. Res. Planets 2018, 123, 3119–3132. [Google Scholar] [CrossRef]
- Cui, J.; Wu, X.S.; Xu, S.S.; Wang, X.D.; Wellbrock, A.; Nordheim, T.A.; Cao, Y.T.; Wang, W.R.; Sun, W.Q.; Wu, S.Q.; et al. Ionization Efficiency in the Dayside Martian Upper Atmosphere. Astrophys. J. Lett. 2018, 857, L18. [Google Scholar] [CrossRef]
- Lillis, R.J.; Xu, S.; Mitchell, D.; Thiemann, E.; Eparvier, F.; Benna, M.; Elrod, M. Ionization Efficiency in the Dayside Ionosphere of Mars: Structure and Variability. J. Geophys. Res. Planets 2021, 126, e06923. [Google Scholar] [CrossRef]
- Fox, J.L.; Galand, M.I.; Johnson, R.E. Energy Deposition in Planetary Atmospheres by Charged Particles and Solar Photons. Space Sci. Rev. 2008, 139, 3–62. [Google Scholar] [CrossRef]
- Wang, J.S.; Nielsen, E. Behavior of the Martian dayside electron density peak during global dust storms. Planet. Space Sci. 2003, 51, 329–338. [Google Scholar] [CrossRef]
- Withers, P.; Pratt, R. An observational study of the response of the upper atmosphere of Mars to lower atmospheric dust storms. Icarus 2013, 225, 378–389. [Google Scholar] [CrossRef] [Green Version]
- Liu, G.; England, S.L.; Lillis, R.J.; Withers, P.; Mahaffy, P.R.; Rowland, D.E.; Elrod, M.; Benna, M.; Kass, D.M.; Janches, D.; et al. Thermospheric Expansion Associated With Dust Increase in the Lower Atmosphere on Mars Observed by MAVEN/NGIMS. Geophys. Res. Lett. 2018, 45, 2901–2910. [Google Scholar] [CrossRef]
- Fox, J.L.; Benna, M.; McFadden, J.P.; Jakosky, B.M.; Maven Ngims Team. Rate coefficients for the reactions of CO with O: Lessons from MAVEN at Mars. Icarus 2021, 358, 114186. [Google Scholar] [CrossRef]
- Mahaffy, P.R.; Benna, M.; Elrod, M.; Yelle, R.V.; Bougher, S.W.; Stone, S.W.; Jakosky, B.M. Structure and composition of the neutral upper atmosphere of Mars from the MAVEN NGIMS investigation. Geophys. Res. Lett. 2015, 42, 8951–8957. [Google Scholar] [CrossRef] [Green Version]
- Tobiska, W.K.; Woods, T.; Eparvier, F.; Viereck, R.; Floyd, L.; Bouwer, D.; Rottman, G.; White, O.R. The SOLAR2000 empirical solar irradiance model and forecast tool. J. Atmos. Sol.-Terr. Phys. 2000, 62, 1233–1250. [Google Scholar] [CrossRef]
- Richards, P.G.; Fennelly, J.A.; Torr, D.G. EUVAC: A solar EUV flux model for aeronomic calculations. J. Geophys. Res. 1994, 99, 8981–8992. [Google Scholar] [CrossRef]
- Jain, S.K.; Bhardwaj, A. Model calculation of N2 Vegard-Kaplan band emissions in Martian dayglow. J. Geophys. Res. Planets 2011, 116, E07005. [Google Scholar] [CrossRef] [Green Version]
- Peterson, W.K.; Woods, T.N.; Fontenla, J.M.; Richards, P.G.; Chamberlin, P.C.; Solomon, S.C.; Tobiska, W.K.; Warren, H.P. Solar EUV and XUV energy input to thermosphere on solar rotation time scales derived from photoelectron observations. J. Geophys. Res. Space Phys. 2012, 117, A05320. [Google Scholar] [CrossRef] [Green Version]
Publisher’s Note: MDPI stays neutral with regard to jurisdictional claims in published maps and institutional affiliations. |
© 2022 by the authors. Licensee MDPI, Basel, Switzerland. This article is an open access article distributed under the terms and conditions of the Creative Commons Attribution (CC BY) license (https://creativecommons.org/licenses/by/4.0/).






