Soil Salinity Detection and Mapping in an Environment under Water Stress between 1984 and 2018 (Case of the Largest Oasis in Africa-Morocco)
Abstract
:1. Introduction
2. Materials and Methods
2.1. Study Area
2.2. Field Measurement of Soil and Analysis
2.3. Images Data and Processing
| Satellites | Sensors | Average Altitude | Swath | Acquisition Date | Spatial Resolution |
|---|---|---|---|---|---|
| Landsat 4/5 | TM | 705 km | 185 km | 10 July 1984 | 30 m |
| 9 June 1990 | |||||
| 24 May 1996 | |||||
| 30 March 2005 | |||||
| 4 September 2010 | |||||
| Landsat 7 | ETM+ | 705 km | 185 km | 13 August 1999 | 30 m |
| 27 May 2000 | |||||
| Landsat 8 | OLI | 705 Km | 185 km | 7 March 2014 | 30 m 15 m for the panchromatic |
| 19 April 2018 | |||||
| Sentinel 2 | MSI | 786 km | 290 km | 26 November 2015 | 10, 20 and30 |
| 24 May 2016 | |||||
| 13 July 2016 | |||||
| 20 November 2016 | |||||
| 29 May 2017 | |||||
| 13 July 2017 | |||||
| 20 November 2017 | |||||
| 14 May 2018 | |||||
| 8 July 2018 | |||||
| 10 November 2018 |
| Index | Abbreviation | Formulas | Satellite/Sensor | Context | References |
|---|---|---|---|---|---|
| Salinity index | SI-KHAN | (B1 ∗ B3)0.5 | IRS-1B LISS-II | desertic | [52] |
| Normalized Salinity Index | NDSI_KHAN1 | (B3 − B4)/(B3 + B4) | IRS-1B LISS-II | desertic | [52] |
| Brightness Index | BI | (B3 + B4)0.5 | IRS-1B LISS-II | desertic | [52] |
| Normalized Difference Salinity Index | NDSI_KHAN2 | (B2 − B3)/(B2+B3) | IRS-1B LISS-II | desertic | [52] |
| Normalized Difference Salinity Index | NDSI | (B4 − B5)/(B4 + B5) | ASTER | semi-arid | [14] |
| visible infrared salinity index | SIvir | 2 ∗ V − (R + PIR) | ASTER | arid | [53] |
| Salinity index 4 | SI | (B12 + B22)0.5 | SPOT2 | Semi-arid | [54] |
| Salinity index 1 | SI-1 | (B4/B5) | Landsat 5- TM | Semi-arid | [55] |
| Salinity index 2 | SI-2 | (B7 − B4)/(B7 + B4) | Landsat 5- TM | Semi-arid | [55] |
| Soil salinity and sodicity index 1 | SSSI-1 | (B5 − B6) | EO-1 ALI | Semi-arid | [56] |
| Soil salinity and sodicity index 2 | SSSI-2 | (B5 ∗ B6 − B6 ∗ B6)/B5 | EO-1 ALI | Semi-arid | [56] |
| Salinity index | S1 | (B1/B3) | IRS-1B LISS-II | desertic | [57] |
| Salinity index | S2 | (B1 − B3)/(B1 + B3) | IRS-1B LISS-II | desertic | [57] |
| Vegetation index and soil salinity | VSSI | 2 ∗ B2 − 5(B3 + B4) | Landsat TM | temperate | [58] |
| Salinity index | SI | (B3 ∗ B4)0.5 | Landsat TM | temperate | [58] |
| Salinity ration | SR | (B3 − B4)/(B2 + B4) | Landsat TM | temperate | [58] |
2.4. Model Construction and Evaluation
- 1.
- Linear model
- 2.
- Logarithmic model
- 3.
- Polynomial model, where (h) is called the degree of the polynomial (in our case, we have used h = 2 “quadratic” and h = 4 “quartic”).
- (a)
- The ordinate of the point of intersection of the line with the vertical axis in X = 0
- (b)
- The slope of the line, which passes through the cloud of points.
- (Y)
- The predicted electrical conductivity.
- (X)
- The measured electrical conductivity.
3. Results and Discussion
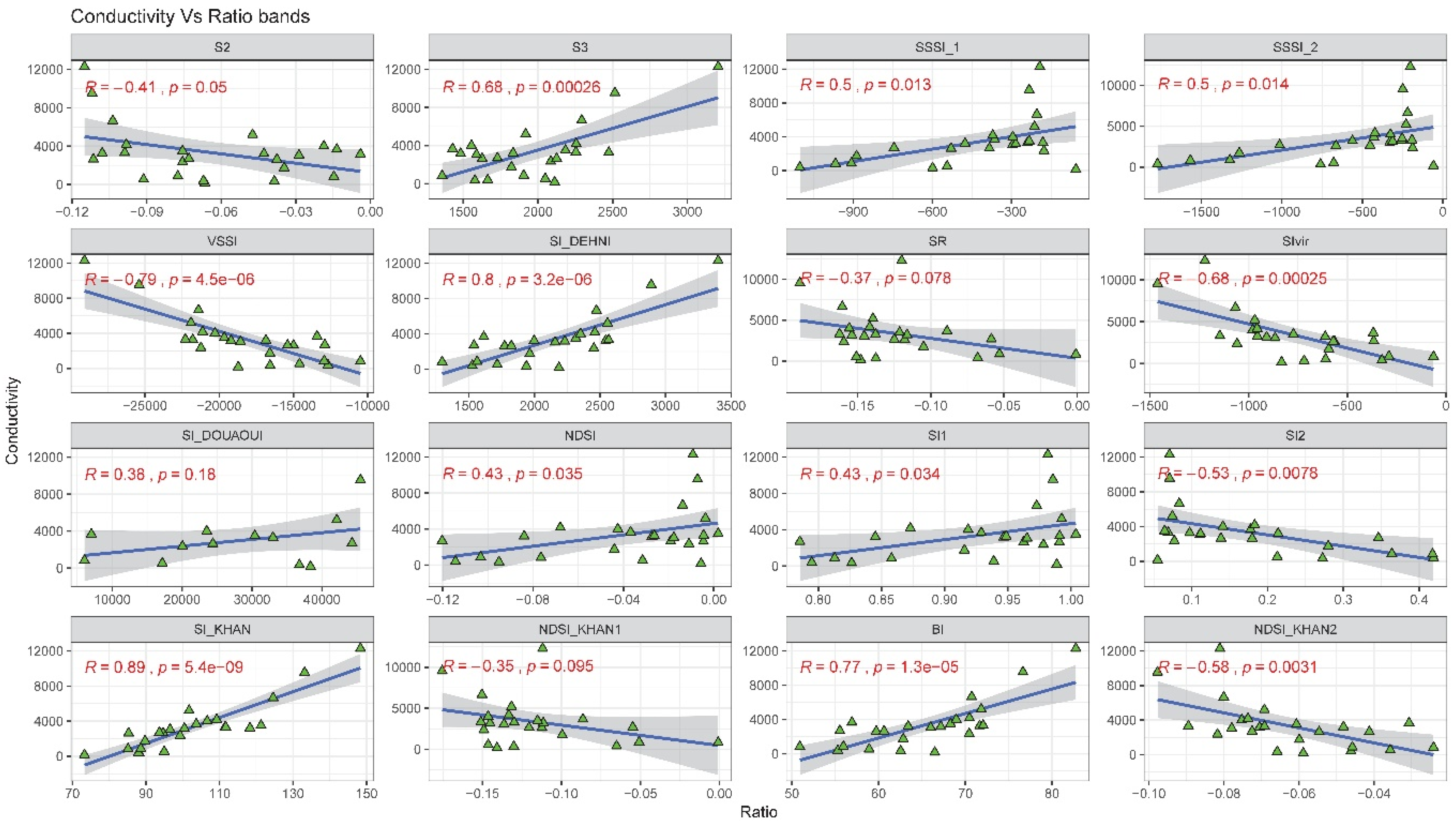
3.1. Salinity Model Validation: Visual and Statistical Analysis
3.2. Spatio-Temporal Change Trend Analysis of Soil Salinity Correlated with Drought Index
4. Conclusions
Author Contributions
Funding
Institutional Review Board Statement
Informed Consent Statement
Data Availability Statement
Acknowledgments
Conflicts of Interest
References
- Bleu, P.; Antipolis, S. Les Menaces Sur Les Sols Dans Les Pays Méditerranéens Méditerranéens. 2003. Available online: https://side.developpement-durable.gouv.fr/NVAQ/doc/SYRACUSE/38318/les-menaces-sur-les-sols-dans-les-pays-mediterraneens-etude-bibliographique (accessed on 22 February 2022).
- McBratney, A.; Field, D.J.; Koch, A. The dimensions of soil security. Geoderma 2014, 213, 203–213. [Google Scholar] [CrossRef] [Green Version]
- Bannari, A.; Al-Ali, Z.M. Assessing climate change impact on soil salinity dynamics between 1987–2017 in arid landscape using Landsat TM, ETM+ and OLI data. Remote Sens. 2020, 12, 2794. [Google Scholar] [CrossRef]
- El hafyani, M.; Essahlaoui, A.; El baghdadi, M.; Teodoro, A.C.; Mohajane, M.; El hmaidi, A.; El ouali, A. Modeling and mapping of soil salinity in Tafilalet plain (Morocco). Arab. J. Geosci. 2019, 12, 35. [Google Scholar] [CrossRef]
- Peng, J.; Biswas, A.; Jiang, Q.; Zhao, R.; Hu, J.; Hu, B.; Shi, Z. Estimating soil salinity from remote sensing and terrain data in southern Xinjiang Province, China. Geoderma 2019, 337, 1309–1319. [Google Scholar] [CrossRef]
- Shahid, S.A.; Zaman, M.; Heng, L. Introduction to soil salinity, sodicity and diagnostics techniques. In Guideline for Salinity Assessment, Mitigation and Adaptation Using Nuclear and Related Techniques; Springer: Berlin/Heidelberg, Germany, 2018; pp. 1–42. [Google Scholar]
- Mermoud, A. Cours de Physique du Sol. Etat l’eau du Sol. Ec. Polytech. Fédérale Lausanne. 2007. Available online: https://www.academia.edu/28701179/%C3%89COLE_POLYTECHNIQUE_F%C3%89D%C3%89RALE_DE_LAUSANNE_Section_Sciences_et_Ing%C3%A9nierie_de_lEnvironnement_Assainissement_du_sol (accessed on 22 February 2022).
- Aragüés, R.; Medina, E.T.; Martínez-Cob, A.; Faci, J. Effects of deficit irrigation strategies on soil salinization and sodification in a semiarid drip-irrigated peach orchard. Agric. Water Manag. 2014, 142, 1–9. [Google Scholar] [CrossRef] [Green Version]
- Allbed, A.; Kumar, L.; Sinha, P. Mapping and modelling spatial variation in soil salinity in the Al Hassa Oasis based on remote sensing indicators and regression techniques. Remote Sens. 2014, 6, 1137–1157. [Google Scholar] [CrossRef] [Green Version]
- Nosetto, M.D.; Acosta, A.M.; Jayawickreme, D.H.; Ballesteros, S.I.; Jackson, R.B.; Jobbágy, E.G. Land-use and topography shape soil and groundwater salinity in central Argentina. Agric. Water Manag. 2013, 129, 120–129. [Google Scholar] [CrossRef]
- Mashimbye, Z.E. Remote Sensing of Salt-Affected Soils. Ph.D. Thesis, Stellenbosch University, Stellenbosch, South Africa, 2013. [Google Scholar]
- Meimei, Z.; Ping, W. Using HJ-I satellite remote sensing data to surveying the Saline soil distribution in Yinchuan Plain of China. African J. Agric. Res. 2011, 6, 6592–6597. [Google Scholar]
- Rafik, A.; Bahir, M.; Beljadid, A.; Ouazar, D.; Chehbouni, A.; Dhiba, D.; Ouhamdouch, S. Surface and Groundwater Characteristics within a Semi-Arid Environment Using Hydrochemical and Remote Sensing Techniques. Water 2021, 13, 277. [Google Scholar] [CrossRef]
- Al-Khaier, F. Soil Salinity Detection Using Satellite Remote Sensing. Master’s Thesis, International Institute for Geo-Information Science and Earth Observation, Enschede, The Netherlands, 2003; 61p. [Google Scholar]
- Kurylyk, B.L.; MacQuarrie, K.T.B. The uncertainty associated with estimating future groundwater recharge: A summary of recent research and an example from a small unconfined aquifer in a northern humid-continental climate. J. Hydrol. 2013, 492, 244–253. [Google Scholar] [CrossRef]
- Oo, A.N.; Iwai, C.B.; Saenjan, P. Food security and socio-economic impacts of soil salinization in northeast Thailand. Environ. Rural Dev. 2013, 4, 76–81. [Google Scholar]
- Teh, S.Y.; Koh, H.L. Climate change and soil salinization: Impact on agriculture, water and food security. Int. J. Agric. For. Plant. 2016, 2, 1–9. [Google Scholar]
- Zhang, H.; Schroder, J.L.; Pittman, J.J.; Wang, J.J.; Payton, M.E. Soil salinity using saturated paste and 1: 1 soil to water extracts. Soil Sci. Soc. Am. J. 2005, 69, 1146–1151. [Google Scholar] [CrossRef]
- Burt, R. Soil Survey Laboratory Methods Manual, Soil Survey Investigation Report; U.S. Department of Agriculture Natural Resources Conservation Service National Soil Survey Center: Lincoln, NE, USA, 2004.
- VALLEY, I.N.S. Relations Entre Les Mesures de Conductivités Sur des Extraits de Sols de Rapports Sol/Solwtion Variables, Dans la Vallée du Fleuve SENEGAL. 1982. Available online: https://horizon.documentation.ird.fr/exl-doc/pleins_textes/cahiers/PTP/3202.PDF (accessed on 22 February 2022).
- Fan, X.; Weng, Y.; Tao, J. Towards decadal soil salinity mapping using Landsat time series data. Int. J. Appl. Earth Obs. Geoinf. 2016, 52, 32–41. [Google Scholar] [CrossRef]
- Bannari, A.; Guédon, A.M.; El-Ghmari, A. Mapping slight and moderate saline soils in irrigated agricultural land using advanced land imager sensor (EO-1) data and semi-empirical models. Commun. Soil Sci. Plant. Anal. 2016, 47, 1883–1906. [Google Scholar] [CrossRef]
- Abuelgasim, A.; Ammad, R. Mapping soil salinity in arid and semi-arid regions using Landsat 8 OLI satellite data. Remote Sens. Appl. Soc. Environ. 2019, 13, 415–425. [Google Scholar] [CrossRef]
- Lhissoui, R.; El Harti, A.; Chokmani, K. Mapping soil salinity in irrigated land using optical remote sensing data. Eurasian J. Soil Sci. 2014, 3, 82–88. [Google Scholar] [CrossRef] [Green Version]
- Scudiero, E.; Corwin, D.; Anderson, R.; Yemoto, K.; Clary, W.; Wang, Z.; Skaggs, T. Remote sensing is a viable tool for mapping soil salinity in agricultural lands. Calif. Agric. 2017, 71, 231–238. [Google Scholar] [CrossRef] [Green Version]
- Wu, W.; Mhaimeed, A.S.; Al-Shafie, W.M.; Ziadat, F.; Dhehibi, B.; Nangia, V.; De Pauw, E. Mapping soil salinity changes using remote sensing in Central Iraq. Geoderma Reg. 2014, 2, 21–31. [Google Scholar] [CrossRef]
- Zhu, K.; Sun, Z.; Zhao, F.; Yang, T.; Tian, Z.; Lai, J.; Zhu, W.; Long, B. Relating hyperspectral vegetation indices with soil salinity at different depths for the diagnosis of winter wheat salt stress. Remote Sens. 2021, 13, 250. [Google Scholar] [CrossRef]
- Sun, H.; Xu, L.; Wang, J.; Fu, X. Remote Sensing Monitoring of Spatial–Temporal Variation of Soil Salinization before and after Irrigation in the Yellow River Delta. J. Coast. Res. 2020, 105, 56–60. [Google Scholar] [CrossRef]
- Besma, Z.; Christian, W.; Didier, M.; Pierre, M.J.; Mohamed, H. Soil salinization monitoring method evolution at various spatial and temporal scales in arid context: A review. Arab. J. Geosci. 2021, 14, 283. [Google Scholar] [CrossRef]
- Wang, F.; Yang, S.; Wei, Y.; Shi, Q.; Ding, J. Characterizing soil salinity at multiple depth using electromagnetic induction and remote sensing data with random forests: A case study in Tarim River Basin of southern Xinjiang, China. Sci. Total Environ. 2021, 754, 142030. [Google Scholar] [CrossRef] [PubMed]
- Delavar, M.A.; Naderi, A.; Ghorbani, Y.; Mehrpouyan, A.; Bakhshi, A. Soil salinity mapping by remote sensing south of Urmia Lake, Iran. Geoderma Reg. 2020, 22, e00317. [Google Scholar] [CrossRef]
- Habibi, V.; Ahmadi, H.; Jafari, M.; Moeini, A. Quantitative assessment of soil salinity using remote sensing data based on the artificial neural network, case study: Sharif Abad Plain, Central Iran. Model. Earth Syst. Environ. 2021, 7, 1373–1383. [Google Scholar] [CrossRef]
- Teshaev, N.; Mamadaliyev, B.; Ibragimov, A.; Khasanov, S. The Soil-Adjusted Vegetation Indexfor Soil Salinity Assessment in Uzbekistan. ИнтерКартo. ИнтерГИС 2020, 26, 324–333. [Google Scholar]
- Fathizad, H.; Ali, M.; Ardakani, H.; Sodaiezadeh, H.; Kerry, R.; Taghizadeh-Mehrjardi, R. Investigation of the spatial and temporal variation of soil salinity using random forests in the central desert of Iran. Geoderma 2020, 365, 114233. [Google Scholar] [CrossRef]
- Wang, Z.; Zhang, F.; Zhang, X.; Chan, N.W.; Kung, H.; Zhou, X.; Wang, Y. Quantitative Evaluation of Spatial and Temporal Variation of Soil Salinization Risk Using GIS-Based Geostatistical Method. Remote Sens. 2020, 12, 2405. [Google Scholar] [CrossRef]
- Kulmatov, R.; Khasanov, S.; Odilov, S.; Li, F. Assessment of the Space-Time Dynamics of Soil Salinity in Irrigated Areas under Climate Change: A Case Study in Sirdarya Province, Uzbekistan. Water Air Soil Pollut. 2021, 232, 216. [Google Scholar] [CrossRef]
- Al-Ismaili, A.M. GIS and remote sensing techniques in Controlled Environment Agriculture: A review. J. Agric. Mar. Sci. 2021, 26, 10–23. [Google Scholar] [CrossRef]
- Mohd Ruhaizi, S.N.H.; Daliman, S. Spatiotemporal Analysis of Environmental Changes Based On Integrated Remote Sensing Indexes in River Basin of Kelantan. IOP Conf. Ser. Earth Environ. Sci. 2021, 842, 12001. [Google Scholar] [CrossRef]
- Youssef, Y.M.; Gemail, K.S.; Sugita, M.; AlBarqawy, M.; Teama, M.A.; Koch, M.; Saada, S.A. Natural and Anthropogenic Coastal Environmental Hazards: An Integrated Remote Sensing, GIS, and Geophysical-based Approach. Surv. Geophys. 2021, 42, 1109–1141. [Google Scholar] [CrossRef]
- Han, L.; Ding, J.; Zhang, J.; Chen, P.; Wang, J.; Wang, Y.; Wang, J.; Ge, X.; Zhang, Z. Precipitation events determine the spatiotemporal distribution of playa surface salinity in arid regions: Evidence from satellite data fused via the enhanced spatial and temporal adaptive reflectance fusion model. CATENA 2021, 206, 105546. [Google Scholar] [CrossRef]
- Farah, A.; Algouti, A.; Algouti, A.; Ifkirne, M.; Rafik, A. Remote Sensing for Spatio-temporal Mapping of Land surface temperature and Surface Energy Fluxes in the Bouregreg-Chaouia Region of Morocco. J. Environ. Agric. Stud. 2021, 2, 23–35. [Google Scholar] [CrossRef]
- Bahir, M.; Ouhamdouch, S.; Ouazar, D.; Rafik, A.; Chehbouni, A. An assessment of groundwater from semi-arid environment of Morocco for drinking and agricultural uses with reference to water quality indices technique. Carbonates Evaporites 2021, 36, 62. [Google Scholar] [CrossRef]
- McKee, T.B.; Doesken, N.J.; Kleist, J. The relationship of drought frequency and duration to time scales. In Proceedings of the 8th Conference on Applied Climatology, Boston, MA, USA, 17–22 January 1993; Volume 17, pp. 179–183. [Google Scholar]
- Ouhamdouch, S.; Bahir, M.; Ouazar, D.; Carreira, P.M.; Zouari, K. Evaluation of climate change impact on groundwater from semi-arid environment (Essaouira Basin, Morocco) using integrated approaches. Environ. Earth Sci. 2019, 78, 449. [Google Scholar] [CrossRef]
- Bahir, M.; Ouazar, D.; Ouhamdouch, S. Hydrogeochemical investigation and groundwater quality in Essaouira region, Morocco. Mar. Freshw. Res. 2019, 70, 1317–1332. [Google Scholar] [CrossRef]
- Ouhamdouch, S.; Bahir, M. Climate change impact on future rainfall and temperature in semi-arid areas (Essaouira Basin, Morocco). Environ. Process. 2017, 4, 975–990. [Google Scholar] [CrossRef]
- Bahir, M.; Ouazar, D.; Ouhamdouch, S. Characterization of mechanisms and processes controlling groundwater salinization in coastal semi-arid area using hydrochemical and isotopic investigations (Essaouira basin, Morocco). Environ. Sci. Pollut. Res. 2018, 25, 24992–25004. [Google Scholar] [CrossRef]
- Bahir, M.; Ouhamdouch, S.; Ouazar, D.; Chehbouni, A. Assessment of groundwater quality from semi-arid area for drinking purpose using statistical, water quality index (WQI) and GIS technique. Carbonates Evaporites 2020, 35, 27. [Google Scholar] [CrossRef]
- Driouech, F. Distribution des Précipitations Hivernales Sur le MAROC Dans le Cadre D’un Changement Climatique: Descente D’échelle et Incertitudes. Ph.D. Thesis, Université Fédérale Toulouse Midi-Pyrénées, Toulouse, France, 2010. [Google Scholar]
- Paré, S. Contribution à la Détermination D’un Terme du Bilan Hydrologique Dans la Région D’errachidia-Tafilalet: Evaluation de L’évapotranspiration de Référence et de L’évaporation à Travers la Zone Non Saturée de la Plaine de Tafilalet. 2009. Available online: https://thesesenafrique.imist.ma/handle/123456789/133 (accessed on 22 February 2022).
- Alali, A.; Benmohammadi, A. La plaine du Tafilalet (Sud-est, Maroc) face aux problèmes d’environnement. Rev. Marocaine des Sci. Agron. Vétérinaires 2013, 1, 47–51. [Google Scholar]
- Khan, S.; Abbas, A. Using remote sensing techniques for appraisal of irrigated soil salinity. In Proceedings of the International Congress on Modelling and Simulation (MODSIM), Christchurch, New Zealand, 10–13 December 2007; pp. 2632–2638. [Google Scholar]
- Nicolas, H.; Walter, C. Detecting salinity hazards within a semiarid context by means of combining soil and remote-sensing Data. Geoderma 2006, 134, 217–230. [Google Scholar]
- Douaoui, A.; Hartani, T.; Lakehal, M. La salinisation dans la plaine du Bas-Cheliff: Acquis et perspectives. In Proceedings of the Economies d’eau en Systèmes IRrigués au Maghreb. Deuxième Atelier Régional du Projet Sirma, Marrakech, Morocco, 29–31 May 2006. [Google Scholar]
- IDNP Indo-Dutch Network Project: A Methodology for Identification of Waterlogging and Soil Salinity Conditions Using Remote Sensing. 2002. Available online: https://edepot.wur.nl/87639 (accessed on 22 February 2022).
- Bannari, A.; Khurshid, K.S.; Staenz, K.; Schwarz, J. Potential of Hyperion EO-1 hyperspectral data for wheat crop chlorophyll content estimation. Can. J. Remote Sens. 2008, 34, S139–S157. [Google Scholar] [CrossRef]
- Abbas, A.; Khan, S.; Hussain, N.; Hanjra, M.A.; Akbar, S. Characterizing soil salinity in irrigated agriculture using a remote sensing approach. Phys. Chem. Earth Parts A/B/C 2013, 55, 43–52. [Google Scholar] [CrossRef]
- Dehni, A.; Lounis, M. Remote sensing techniques for salt affected soil mapping: Application to the Oran region of Algeria. Procedia Eng. 2012, 33, 188–198. [Google Scholar] [CrossRef] [Green Version]
- Taylor, R. Interpretation of the correlation coefficient: A basic review. J. Diagnostic Med. Sonogr. 1990, 6, 35–39. [Google Scholar] [CrossRef]
- Nash, J.E.; Sutcliffe, J. V River flow forecasting through conceptual models part I—A discussion of principles. J. Hydrol. 1970, 10, 282–290. [Google Scholar] [CrossRef]
- Nagelkerke, N.J.D. A note on a general definition of the coefficient of determination. Biometrika 1991, 78, 691–692. [Google Scholar] [CrossRef]
- Moriasi, D.N.; Arnold, J.G.; Van Liew, M.W.; Bingner, R.L.; Harmel, R.D.; Veith, T.L. Model Evaluation Guidelines for Systematic Quantification of Accuracy in Watershed Simulations. Trans. ASABE 2007, 50, 885–900. [Google Scholar] [CrossRef]






| SI-KHAN | VSSI | S3 | BI | SI-DEHNI | |
|---|---|---|---|---|---|
| ML | 0.794 0.891 1363.160 | 0.623 0.789 1613.641 | 0.461 0.679 3849.202 | 0.585 0.765 1698.066 | 0.634 0.796 1586.838 |
| Mlog | 0.847 0.920 1108.005 | 0.789 0.888 1191.479 | 0.626 0.791 4012.786 | 0.777 0.882 1228.093 | 0.781 0.884 1216.199 |
| MP2 | 0.857 0.926 1119.833 | 0.813 0.901 1132.108 | 0.682 0.826 4066.773 | 0.806 0.898 1152.354 | 0.809 0.899 1143.353 |
| MP4 | 0.746 0.864 1519.815 | 0.525 0.725 1827.096 | 0.380 0.616 3766.247 | 0.538 0.733 1800.108 | 0.542 0.736 1791.024 |
| Time | Area (km2) | Dynamics of Change | %/Total Area | SPAI | Drought Intensity |
|---|---|---|---|---|---|
| 10 July 1984 | 36.02 | 8.56 | −0.99 | severely dry | |
| 9 June 1990 | 34.06 | −1.96 | 8.09 | −0.96 | |
| 24 May 1996 | 30.17 | −3.89 | 7.17 | −0.13 | moderately dry |
| 13 August 1999 | 26.15 | −4.02 | 6.21 | −0.02 | |
| 27 May 2000 | 32.54 | 6.39 | 7.73 | −0.37 | |
| 30 March 2005 | 32.32 | −0.22 | 7.68 | −0.13 | |
| 4 September 2010 | 34.78 | 2.46 | 8.26 | −0.55 | |
| 7 March 2014 | 35.67 | 0.89 | 8.47 | −0.63 | |
| 26 November 2015 | 36.07 | 0.40 | 8.57 | −0.64 | |
| 24 May 2016 | 32.01 | −4.06 | 7.60 | −0.15 | |
| 13 July 2016 | 34.43 | 2.42 | 8.18 | −0.85 | |
| 20 November 2016 | 15.35 | −19.08 | 3.65 | 1.86 | very wet |
| 29 May 2017 | 26.04 | 10.69 | 6.18 | −0.65 | moderately dry |
| 13 July 2017 | 27.23 | 1.20 | 6.47 | −1.01 | severely dry |
| 20 November 2017 | 20.37 | −6.86 | 4.84 | −0.70 | moderately dry |
| 19 April 2018 | 25.22 | 4.85 | 5.99 | 1.59 | very wet |
| 14 May 2018 | 28.19 | 2.98 | 6.70 | 1.52 | |
| 8 July 2018 | 35.55 | 7.36 | 8.44 | −0.82 | moderately dry |
| 10 November 2018 | 19.00 | −16.55 | 4.51 | 0.94 |
Publisher’s Note: MDPI stays neutral with regard to jurisdictional claims in published maps and institutional affiliations. |
© 2022 by the authors. Licensee MDPI, Basel, Switzerland. This article is an open access article distributed under the terms and conditions of the Creative Commons Attribution (CC BY) license (https://creativecommons.org/licenses/by/4.0/).
Share and Cite
Rafik, A.; Ibouh, H.; El Alaoui El Fels, A.; Eddahby, L.; Mezzane, D.; Bousfoul, M.; Amazirh, A.; Ouhamdouch, S.; Bahir, M.; Gourfi, A.; et al. Soil Salinity Detection and Mapping in an Environment under Water Stress between 1984 and 2018 (Case of the Largest Oasis in Africa-Morocco). Remote Sens. 2022, 14, 1606. https://doi.org/10.3390/rs14071606
Rafik A, Ibouh H, El Alaoui El Fels A, Eddahby L, Mezzane D, Bousfoul M, Amazirh A, Ouhamdouch S, Bahir M, Gourfi A, et al. Soil Salinity Detection and Mapping in an Environment under Water Stress between 1984 and 2018 (Case of the Largest Oasis in Africa-Morocco). Remote Sensing. 2022; 14(7):1606. https://doi.org/10.3390/rs14071606
Chicago/Turabian StyleRafik, Abdellatif, Hassan Ibouh, Abdelhafid El Alaoui El Fels, Lhou Eddahby, Daoud Mezzane, Mohamed Bousfoul, Abdelhakim Amazirh, Salah Ouhamdouch, Mohammed Bahir, Abdelali Gourfi, and et al. 2022. "Soil Salinity Detection and Mapping in an Environment under Water Stress between 1984 and 2018 (Case of the Largest Oasis in Africa-Morocco)" Remote Sensing 14, no. 7: 1606. https://doi.org/10.3390/rs14071606
APA StyleRafik, A., Ibouh, H., El Alaoui El Fels, A., Eddahby, L., Mezzane, D., Bousfoul, M., Amazirh, A., Ouhamdouch, S., Bahir, M., Gourfi, A., Dhiba, D., & Chehbouni, A. (2022). Soil Salinity Detection and Mapping in an Environment under Water Stress between 1984 and 2018 (Case of the Largest Oasis in Africa-Morocco). Remote Sensing, 14(7), 1606. https://doi.org/10.3390/rs14071606

