A Method Combining Line Detection and Semantic Segmentation for Power Line Extraction from Unmanned Aerial Vehicle Images
Abstract
:1. Introduction
2. Data Descriptions
2.1. UAV Image Data
2.2. Characteristics of Power Lines in UAV Images
- (1)
- The surface layer of a power line is mostly made of special materials, where the colors are mainly gray and bright white.
- (2)
- The topological structure is generally simple, straight, long, and runs through the whole image, which is similar to one straight line, and the power lines are parallel to each other.
- (3)
- The pixel width of a 220 KV power line is about 1–2 pixels, while the maximum width of a 550 KV power line can reach 4 pixels.
- (4)
- The background of power line images acquired by UAVs from overhead typically contain complex ground object information. The ground objects with linear structures that seriously interfere with power line extraction mainly include the branches and stems of land surface vegetation, artificially built roads, and various buildings. However, most of the background objects on both sides of a single power line are similar, and there is no drastic pixel value gradient change [21].
2.3. Analysis of Image Clutter
3. Power Line Extraction Method
3.1. Construction of Power Line Candidate Regions
3.1.1. LSD Algorithm
3.1.2. Multi-Scale LSD Algorithm
3.1.3. Separation of Image Background
- (1)
- Read an image i in P and calculate the gradient for i.
- (2)
- Determine the pixel points x of the peak of , convert the Cartesian coordinates of x into polar coordinates, count the collinear x, and fit the lines L through the least-squares method. Then, calculate the intersection X between L and divide i into several parts through X.
- (3)
- Calculate σ with Formula 7 for each part of i, respectively.
- (4)
- Separate the local foreground of i from the background through σ, and corresponding to the background pixel is discarded.
- (5)
- Judge whether i is the last image in P. If not, repeat (4)–(5); if so, end the algorithm.
- (6)
- Obtain corresponding to the foreground pixel of i in P.
3.2. Segmentation of Power Line Pixels
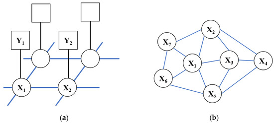
3.2.1. OMRF Model
3.2.2. Construction of WRAG
- (1)
- In order to reduce the amount of calculation and improve the calculation speed, OWRF adopts a neighborhood system for each object. The neighborhood is defined by the common boundary between the segment regions. However, for the problem of power line extraction, the detected segments are not necessarily adjacent to each other, and there is no complete common boundary, such that the neighborhood system cannot be defined with the boundary. In this paper, the k-nearest neighbors (kNN) method [42], based on the Euclidean distance, is used to construct the neighborhood system of line segments, where the value of k is 8. To obtain the distance, the line segments detected by multi-scale LSD are numbered (Figure 6). After numbering, each line segment L = {li|i = 1, 2, …, n} can be used to calculate the minimum Euclidean distance; that is:where x1, x2, y1, and y2 represent the abscissa and ordinate of any two points in the two segments, respectively. The neighborhood system after kNN clustering is shown in Figure 7. Neighborhood A, where segment L1 is located, includes another seven green segments close to L1, while segments of other colors belong to neighborhoods B, C, D, and E.
- (2)
- L in the above neighborhood system can be considered as the over-segmented region Rw = {|i = 1, 2, …, n} in WARP. The node VW = {|i = 1, 2, …, n} of each Ri represents a line segment. The edge set E can be replaced by the distance Ew between line segments; that is, Ew = { = dij|i, j = 1, 2, …, n}.
- (3)
- In addition to the distance between line segments, the angle between two lines also affects whether line segments can be classified into the same class. The angle α of a line segment can be calculated by using the two vertices A1 (x1, y1) and A2 (x2, y2) of the centerline of the line segment (Figure 8); the calculation formula is as follows:
- (4)
- If the RAG is directly constructed using line segments (Figure 9a), the adjacency relationship between each R is the same, and invalid line information cannot be eliminated. By calculating the minimum Euclidean distance and included angle between R, the WRAG, which includes the connection strength between line segments, can be defined (Figure 9b). Taking R1 as the calculation object, the adjacent line segments have different distances and included angles, such that they have different impact weights on R1.
3.2.3. Definition of Likelihood Function
3.2.4. Definition of Joint Distribution for Label Field
3.2.5. Maximum a Posteriori
3.3. Connection and Fitting of Power Lines
- (1)
- Find the longest segment Rstart in the extracted segments Rextract, and take the midpoint of the Rstart centerline as the starting point x1.
- (2)
- Take the adjacent point x2 as the tracking direction point, and initialize the KF with the coordinates of x1 and x2.
- (3)
- Set the tracking step to n = 1.
- (4)
- Use the KF to track the next position and judge whether there is a point x3 of the line segment in the 8-neighborhood of x2.
- (5)
- If there is Rx3x2, add it to the tracked line segment, let x1 = x3, record the tracking position, and repeat step (3); if there is no Rx3x2, make n = n + 1, and judge whether N is greater than the preset step size or exceeds the image boundary. The preset step size is set to 20 pixels in this paper. The previous extraction method can obtain relatively complete power lines, and the fracture of the object is small. When it is more than 20 pixels, it is most likely that they are not interrupted power lines, but other false extraction results.
- (6)
- If n exceeds the step size, mark the segment as USED; if n does not exceed the step size, repeat step (4).
- (7)
- Judge whether all segments are marked as USED. If they are already marked, stop tracking and output all USED segments; if there are unmarked segments, repeat step (1).
- (8)
- All connected segments are fitted into straight lines using the least-squares method.
| Algorithm 1: Power line extraction algorithm based on multi-scale LSD and OMRF. |
| Input: Image I, information entropy thresholds α and ε, the number of classes k (k = 10 in this paper), potential function parameter β. |
Output: The power line extraction results.
|
4. Experimental Results
4.1. Analysis of Parameters
4.1.1. Thresholds of Multi-Scale LSD
4.1.2. Threshold β of OMRF
4.2. Comparison of Different Methods
4.2.1. Results for Different IC Images
4.2.2. Results of Images Including the Power Tower
5. Discussion
- (1)
- The LSD algorithm is an efficient line detection method that can quickly obtain the line segments in an image. However, as the algorithm only judges whether there are other points with a similar gradient angle through the eight areas connected to one pixel, it is easy to produce discontinuous line segments, making it especially sensitive to noise, such as that associated with vegetation, and will produce a large number of short interference results. The multi-scale LSD algorithm used in this paper, combined with the information entropy theory and adaptive Gaussian pyramid, can effectively avoid the disadvantages of LSD and greatly improve the detection ability of LSD for continuous long lines. From the results, a large amount of vegetation information in the image background is filtered, the interruption of the detected straight lines is greatly reduced, and the complete extraction of long straight lines can be basically realized. Multi-scale LSD is more suitable as a line detection algorithm before power line pixel semantic segmentation and can reduce a lot of background noise to enhance subsequent operations.
- (2)
- MRF is a common machine learning algorithm in the field of image segmentation. Its main characteristic is the use of an undirected graph to represent the correlation between variables. It provides a simple way to visualize the structure of a probability model. In this paper, a GMM was used to define the likelihood function of the feature field, and the joint distribution of the label field was defined in combination with the idea of WRAG. This can effectively take into account the pixel information of the object on the image and the relationship information between objects, and form an effective OMRF model for power line pixel segmentation. The model has a strong information mining ability and can accurately segment power line and non-power line pixels, reduce the false lines (e.g., tree leaves and trunks) left by the line detection algorithm, and has good anti-noise ability for some objects with characteristics similar to power lines, such as the edges of artificial buildings. Compared with the method based on Hough and Radon, this method uses richer context information, rather than just edge information, and has a higher improvement in detection accuracy, especially for high IC images. Moreover, this method can obtain power lines in different directions, rather than the results always running through the image, which can be effectively used for extraction work with power towers and direction changes. Compared to the method using a single line detection algorithm, it avoids utilizing only the gradient changes on both sides of the power lines, reduces the influence of false lines from background objects, and improves the application ability of the algorithm in different scenes. This method can provide support for power line inspection work using UAV images with complex backgrounds.
- (3)
- The methods used in this paper also have shortcomings, including the following: With the deepening of the construction of the image feature and object relationship models, the complexity of the algorithm becomes higher and this kind of machine learning model requires a higher number of iterations, thus greatly reducing the efficiency of the algorithm, increasing the time cost of power line detection, and imposing higher computer hardware requirements. Therefore, it is not suitable for the fast or real-time detection of power lines. The statistical time cost results for different methods are shown in Table 3. Moreover, this algorithm lacks automation ability as a whole. Design parameters are required for multi-scale LSD and OMRF, and it is difficult or impossible to provide a suitable parameter value for various scenes, which means that the model may obtain unstable results when considering image data obtained in different situations. Subsequent research may consider designing the parameters to be adaptive, in order to deal with power line images with various complex environments. With the data accumulation and the further construction of data sets, deep learning and other AI methods will be applied for power line extraction from images, and the application and accuracy of extraction will be further improved by carrying out image fusion with other data, such as LiDAR point clouds.
6. Conclusions
Author Contributions
Funding
Institutional Review Board Statement
Informed Consent Statement
Data Availability Statement
Acknowledgments
Conflicts of Interest
References
- Sun, J.J. Application of GIS + GPS Intelligent Inspection System in Transmission Line Management. J. Anhui Electr. Eng. Prof. Tech. Coll. 2011, 3, 93–99. [Google Scholar] [CrossRef]
- Peng, X.Y.; Liang, F.X.; Qian, J.J.; Yang, B.; Zheng, X. Automatic Recognition of Insulator from UAV Infrared Image Based on Periodic Textural Feature. High Volt. Eng. 2019, 45, 922–928. [Google Scholar] [CrossRef]
- Van, N.; Nguyen, R.; Roverso, D. Automatic autonomous vision-based power line inspection: A review of current status and the potential role of deep learning. Int. J. Electr. Power Energy Syst. 2018, 99, 107–120. [Google Scholar]
- Berni, J.A.J.; Zarco-Tejada, P.J.; Suarez, L.; Fereres, E. Thermal and narrowband multispectral remote sensing for vegetation monitoring from an unmanned aerial vehicle. IEEE Trans. Geosci. Remote Sens. 2009, 47, 722–738. [Google Scholar] [CrossRef] [Green Version]
- Peng, X.Y.; Wang, K.; Xiao, X.; Wu, K.; Gu, W. Broadband Satellite Communication System in the Intelligent Inspection of Electric Powe Line Base on Large Scale Unmanned Helicopter. High Volt. Eng. 2019, 45, 368–376. [Google Scholar] [CrossRef]
- Zhou, Z.; Zhang, C.; Chen, X.; Fei, X.; Umer, T. Energyefficient industrial Internet of UAVs for power line inspection in smart grid. IEEE Trans. Ind. Inform. 2018, 14, 2705–2714. [Google Scholar] [CrossRef] [Green Version]
- Shan, H.T.; Zhang, J.; Cao, X.B.; Li, X.L.; Wu, D.P. Multiple auxiliaries assisted airborne power line detection. IEEE Trans. Ind. Electron. 2017, 64, 4810–4819. [Google Scholar] [CrossRef]
- Candamo, J.; Kasturi, R.; Goldgof, D.; Sarkar, S. Detection of thin lines using low-quality video from low-altitude aircraft in urban settings. IEEE Trans. Aerosp. Electron. Syst. 2009, 45, 937–949. [Google Scholar] [CrossRef]
- Li, Z.R.; Liu, Y.; Walker, R.; Ross, H.W.; Zhang, J. Towards automatic power line detection for a UAV surveillance system using pulse coupled neural filter and an improved Hough transform. Mach. Vis. Appl. 2010, 21, 677–686. [Google Scholar] [CrossRef] [Green Version]
- Wang, W.G.; Zhang, J.J.; Han, J.; Zhu, M. Broken strand and foreign body fault detection method for power transmission line based on unmanned aerial vehicle image. J. Comput. Appl. 2015, 35, 2404–2408. [Google Scholar] [CrossRef]
- Huang, X.; Zhang, Y.; Cheng, W.F.; Li, M.; Luo, B.; Zhou, K. Galloping monitoring method of transmission line based on image matching. High Volt. Eng 2015, 41, 808–813. [Google Scholar] [CrossRef]
- Chen, S.X.; Wang, B.H.; Sheng, G.H.; Wang, W.; Jiang, X.C. Application of digital image processing and photogrammetric technology to sag measuring method. High Volt. Eng. 2011, 37, 904–909. [Google Scholar] [CrossRef] [Green Version]
- Hao, Y.P.; Liu, G.T.; Xue, Y.; Zhu, J.; Lie, L. Wavelet image recognition of ice thickness on transmission lines. High Volt. Eng. 2014, 40, 368–373. [Google Scholar] [CrossRef]
- Shan, H.; Zhang, J.; Cao, X. Power line detection using spatial contexts for low altitude environmental awareness. In Proceedings of the 2015 Integrated Communication, Navigation and Surveillance Conference, Herdon, VA, USA, 21–23 April 2015. [Google Scholar]
- Yan, G.; Li, C.; Zhou, G.; Zhang, W.; Liu, X. Automatic extraction of power lines from aerial images. Geosci. Remote Sens. Lett. IEEE 2007, 4, 387–391. [Google Scholar] [CrossRef]
- Li, C.; Yan, G.; Xiao, Z.; Li, X.; Guo, J.; Wang, J. Automatic Extraction of Power Lines from Aerial Images. J. Image Graph. 2007, 12, 1041–1047. [Google Scholar] [CrossRef]
- Tan, J.S.; Guo, M. Automatic Extraction of Power Lines in Helicopter Power Line Inspection. Geospat. Inf. 2012, 10, 70–71. [Google Scholar] [CrossRef]
- Chen, Y.; Li, Y.; Zhang, H.; Tong, L.; Cao, Y. Automatic power line extraction from high resolution remote sensing imagery based on an improved radon transform. Pattern Recognit. 2016, 49, 174–186. [Google Scholar] [CrossRef]
- Zhang, J.; Shan, H.; Cao, X.; Yan, P.; Liu, X. Pylon line spatial correlation assisted transmission line detection. IEEE Trans. Aerosp. Electron. Syst. 2014, 50, 2890–2905. [Google Scholar] [CrossRef]
- Zhao, L.; Wang, X.; Yao, H.; Tian, M.; Jian, Z. Power line extraction from aerial images Using Object-based Markov Random Field with anisotropic weighted penalty. IEEE Access 2019, 7, 125333–125356. [Google Scholar] [CrossRef]
- Zhang, C.X.; Zhao, L.; Wang, Y.P. Research on fast extraction algorithm of power line in complex ground object background. Eng. J. Wuhan Univ. 2018, 51, 8. [Google Scholar]
- Song, B.; Li, X. Power line detection from optical images. Neuro Comput. 2014, 129, 350–361. [Google Scholar] [CrossRef]
- Song, X.Y.; Yuan, S.; Guo, H.B. Pattern identification algorithm with adaptive threshold interval based extended Hough transform. Chin. J. Sci. Instrum. 2014, 35, 1109–1117. [Google Scholar]
- Xu, Z.; Shin, B.S.; Klette, R. Accurate and robust line segment extraction using minimum entropy with Hough transform. IEEE Trans. Image Process. 2015, 24, 813–822. [Google Scholar] [CrossRef]
- Herumurti, D. Automatic urban road extraction on DSM data based on fuzzy ART, region growing, morphological operations and Radon transform. Proc. SPIE 2013, 8892, 88920A. [Google Scholar]
- Grigoryan, A.M.; Du, N. Comments on “Generalised finite Radon transform for N × N images”. Image Vis. Comput. 2011, 29, 797–801. [Google Scholar] [CrossRef]
- Kobasyar, M.; Rusyn, B. The Radon transform application for accurate and efficient curve. In Proceedings of the International Conference Modern Problems of Radio Engineering, Telecommunications and Computer Science, Lviv-Slavsko, Ukraine, 28 February 2004. [Google Scholar]
- Goio, V.; Jakubowicz, G.; Morel, J. LSD: A Fast Line Segment Detector with a False Detection Control. Pattern Anal. Mach. Intell. IEEE Trans. 2010, 32, 722–732. [Google Scholar] [CrossRef] [PubMed]
- Guo, K.Y.; Wang, Y.W.; Guo, X.L. Lane Classification Algorithm Combined LDA and LSD. Comput. Eng. Appl. 2017, 53, 219–225. [Google Scholar] [CrossRef]
- Liu, B.Y.; Zhao, Z.Y. Path Edge Recognition Strategy Based on Improved LSD and AP Clustering. J. Graph. 2019, 5, 915–924. [Google Scholar]
- Lopez, J.; Santos, R.; Fdezvidal, X.R. Two-View Line Matching Algorithm Based on Context and Appearance in Low-Textured Images. Pattern Recognit. 2015, 48, 2164–2184. [Google Scholar] [CrossRef]
- Sun, J.J.; Zhao, Y.; Wang, S.G. Improvement of SIFT Feature Matching Algorithm Based on Image Gradient Information Enhancement. J. Jilin Univ. Sci. Ed. 2018, 56, 82–88. [Google Scholar] [CrossRef]
- Wang, D.M.; Xie, X. Improved LSD Algorithm Based on Entropy Adaptive Gaussian Pyramid. J. Jilin Univ. Inf. Sci. Ed. 2020, 38, 9. [Google Scholar]
- Wang, Z.; Ge, B.; Tu, M.Y. Image Segmentation Algorithm Based on Improved Otsu Algorithm and Artificial Fish Swarm Optimization. Packag. J. 2019, 11, 81–86. [Google Scholar]
- Li, B.Y.; Fan, Y.G.; Gao, Y. Infrared Image Feature Extraction Based on Otsu and Canny Operator. J. Shaanxi Univ. Technol. Nat. Sci. Ed. 2019, 35, 33–40. [Google Scholar]
- Wang, X.; Yin, L.W.; Guo, X.X. Automatic power line extraction from high resolution remote sensing imagery based on an improved radon transform. J. Jilin Univ. Sci. Ed. 2018, 56, 179–184. [Google Scholar]
- Liu, K.P.; Li, X.W.; Li, Y. SIFT Image Matching Algorithm Based on Edge Information. J. Jilin Univ. Inf. Sci. Ed. 2018, 36, 91–97. [Google Scholar]
- Shen, X.J.; Qin, J.; Lu, Y.D. Fast Multi-Threshold Otsu Algorithm with Complete Linear Time Complexity. J. Jilin Univ. Eng. Technol. Ed. 2019, 49, 273–279. [Google Scholar] [CrossRef]
- Li, S.Z. Markov Random Field Modeling in Computer Vision, 3rd ed.; Springer: Berlin/Heidelberg, Germany, 2009. [Google Scholar]
- Zheng, C.; Yao, H. Segmentation for remote sensing imagery using the object-based Gaussian–Markov random field model with region coefficients. Int. J. Remote Sens. 2019, 40, 4441–4472. [Google Scholar] [CrossRef]
- Bilmes, J.A. A Gentle Tutorial of the Em Algorithm and Its Application to Parameter Estimation for Gaussian Mixture and Hidden Markov Models; Technical Report; International Computer Science Institute: Berkeley, CA, USA, 2000. [Google Scholar]
- Li, Y.; Hu, Z.; Gang, Z.L.; Sotelo, M.A. Image sequence matching using both holistic and local features for loop closure detection. IEEE Access 2017, 5, 13835–13846. [Google Scholar] [CrossRef]
- Wen, G.J.; Wang, R.S. A Robust Approach to Extracting Straight Lines. J. Softw. 2001, 12, 1660–1666. [Google Scholar]
- Zheng, C.; Wang, L. Semantic Segmentation of Remote Sensing Imagery Using Object-Based Markov Random Field Model with Regional Penalties. IEEE J. Sel. Top. Appl. Earth Obs. Remote Sens. 2015, 8, 1924–1935. [Google Scholar] [CrossRef]
- Ju, C.Y.; Shi, Y.; Gao, S.D.; Sun, B.Y. Power Line Extraction in Aerial Photogrammetry DOM Based on LSD Algorithm. Electr. Power Surv. Des. 2020, S02, 166–170. [Google Scholar]






















| Method Category | Author | Advantages | Limitations |
|---|---|---|---|
| Edge detection-based | Shan et al. [14], Yan et al. [15,16], Tan et al. [17], Chen et al. [18] | Simple model, fast and automatic, low data requirements | Low noise resistance, low extraction accuracy |
| Joint feature-based | Zhang et al. [19], Zhao et al. [20] | Diverse use of information, high scene applicability, high extraction accuracy | Complex model, high data requirements, low extraction efficiency |
| IHT | CRT | OLSD | LSD-MRF | This Paper | ||
|---|---|---|---|---|---|---|
| Low IC images | Mean Rec | 0.536 | 0.607 | 0.671 | 0.759 | 0.914 |
| Mean Prec | 0.634 | 0.720 | 0.369 | 0.667 | 0.923 | |
| Medium IC images | Mean Rec | 0.413 | 0.423 | 0.620 | 0.679 | 0.876 |
| Mean Prec | 0.456 | 0.569 | 0.267 | 0.581 | 0.878 | |
| High IC images | Mean Rec | 0.328 | 0.355 | 0.566 | 0.699 | 0.853 |
| Mean Prec | 0.330 | 0.448 | 0.213 | 0.511 | 0.839 | |
| All test images | Mean Rec | 0.426 | 0.462 | 0.619 | 0.712 | 0.881 |
| Mean Prec | 0.473 | 0.579 | 0.283 | 0.586 | 0.880 |
| IHT | CRT | OLSD | LSD-MRF | This Paper | ||
| Mean cost time (S) | Low IC images | 1.16 | 4.14 | 5.79 | 10.59 | 14.35 |
| Medium IC images | 2.45 | 5.56 | 7.82 | 12.78 | 17.34 | |
| High IC images | 1.87 | 4.31 | 8.52 | 13.64 | 19.49 | |
| All test images | 1.83 | 4.67 | 7.38 | 12.34 | 17.06 |
Publisher’s Note: MDPI stays neutral with regard to jurisdictional claims in published maps and institutional affiliations. |
© 2022 by the authors. Licensee MDPI, Basel, Switzerland. This article is an open access article distributed under the terms and conditions of the Creative Commons Attribution (CC BY) license (https://creativecommons.org/licenses/by/4.0/).
Share and Cite
Zhao, W.; Dong, Q.; Zuo, Z. A Method Combining Line Detection and Semantic Segmentation for Power Line Extraction from Unmanned Aerial Vehicle Images. Remote Sens. 2022, 14, 1367. https://doi.org/10.3390/rs14061367
Zhao W, Dong Q, Zuo Z. A Method Combining Line Detection and Semantic Segmentation for Power Line Extraction from Unmanned Aerial Vehicle Images. Remote Sensing. 2022; 14(6):1367. https://doi.org/10.3390/rs14061367
Chicago/Turabian StyleZhao, Wenbo, Qing Dong, and Zhengli Zuo. 2022. "A Method Combining Line Detection and Semantic Segmentation for Power Line Extraction from Unmanned Aerial Vehicle Images" Remote Sensing 14, no. 6: 1367. https://doi.org/10.3390/rs14061367
APA StyleZhao, W., Dong, Q., & Zuo, Z. (2022). A Method Combining Line Detection and Semantic Segmentation for Power Line Extraction from Unmanned Aerial Vehicle Images. Remote Sensing, 14(6), 1367. https://doi.org/10.3390/rs14061367

