Retrieval of Aerosol Single-Scattering Albedo from MODIS Data Using an Artificial Neural Network
Abstract
1. Introduction
2. Materials and Methods
2.1. MODIS Data
2.2. OMAERUV Data
2.3. AERONET Data
2.4. Methods
2.4.1. Preliminary Test
2.4.2. Generating Training Datasets
2.4.3. Design and Training of Neural Network
2.4.4. Data Preprocessing
2.4.5. Performing Retrieval
2.4.6. Error Analysis of ANN Model Results
3. Results
3.1. Preliminary Test of Decoupling AOD and SSA from TOA Reflectance
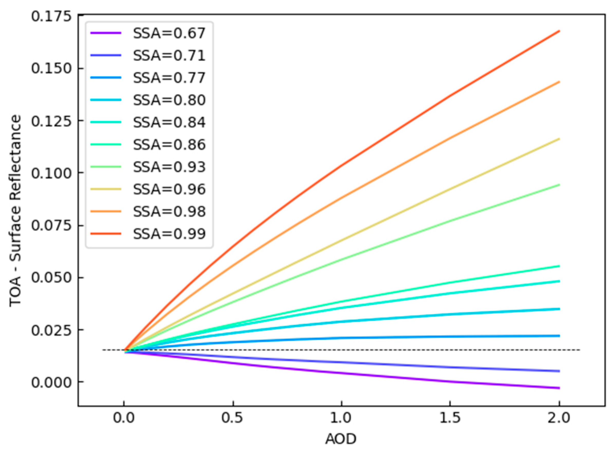
3.1.1. Simulation of TOA-SR vs. AOD for Different SSA Settings
3.1.2. Simulation of TOA Reflectance under Two Specific Conditions for Different AOD and SSA Setting Pairs
3.2. Retrieval Error Analysis
3.2.1. Relationship between Retrieval Error and AOD
3.2.2. Relationship between Retrieval Error and Reflectance Difference
3.2.3. Influence of Surface Reflectance Noise on the Accuracy of Model Retrieval
3.2.4. Validation Result of ANN Model Simulation Results Based on AERONET Data
3.3. Example Analysis of ANN Model Retrieval Results
3.3.1. A Thick Aerosol Case of South Asia
3.3.2. An Aerosol Diffusion Case of South America
3.3.3. A Thick Aerosol Case of North China
3.3.4. The Statistics of Pixel-Based Difference
4. Discussion
5. Conclusions
Author Contributions
Funding
Data Availability Statement
Conflicts of Interest
References
- Charlson, R.J.; Schwartz, S.E.; Hales, J.M.; Cess, R.D.; Coakley, J.A.; Hansen, J.E.; Hofmann, D.J. Climate forcing by anthropogenic aerosols. Science 1992, 255, 423–430. [Google Scholar] [CrossRef]
- Sokolik, I.N.; Toon, O.B. Direct radiative forcing by anthropogenic airborne mineral aerosols. Nature 1996, 381, 681–683. [Google Scholar] [CrossRef]
- Lacagnina, C.; Hasekamp, O.P.; Bian, H.S.; Curci, G.; Myhre, G.; van Noije, T.; Schulz, M.; Skeie, R.B.; Takemura, T.; Zhang, K. Aerosol single-scattering albedo over the global oceans: Comparing PARASOL retrievals with AERONET, OMI, and AeroCom models estimates. J. Geophys. Res.-Atmos. 2015, 120, 9814–9836. [Google Scholar] [CrossRef]
- Boucher, O.; Randall, D.; Artaxo, P.; Bretherton, C.; Feingold, G.; Forster, P.; Kerminen, V.-M.; Kondo, Y.; Liao, H.; Lohmann, U.; et al. Clouds and Aerosols. In Climate Change 2013: The Physical Science Basis. Contribution of Working Group I to the Fifth Assessment Report of the Intergovernmental Panel on Climate Change; Stocker, T.F., Qin, D., Plattner, G.-K., Tignor, M., Allen, S.K., Boschung, J., Nauels, A., Xia, Y., Bex, V., Midgley, P.M., Eds.; Cambridge University Press: Cambridge, UK; New York, NY, USA, 2013; pp. 571–658. [Google Scholar]
- Chung, C.E.; Ramanathan, V.; Decremer, D. Observationally constrained estimates of carbonaceous aerosol radiative forcing. Proc. Natl. Acad. Sci. USA 2012, 109, 11624–11629. [Google Scholar] [CrossRef] [PubMed]
- Li, Z.Q.; Chen, H.; Cribb, M.; Dickerson, R.; Holben, B.; Li, C.; Lu, D.; Luo, Y.; Maring, H.; Shi, G.; et al. Preface to special section on east Asian studies of tropospheric aerosols: An international regional experiment (EAST-AIRE). J. Geophys. Res.-Atmos. 2007, 112. [Google Scholar] [CrossRef]
- Li, Z.Q.; Niu, F.; Fan, J.W.; Liu, Y.G.; Rosenfeld, D.; Ding, Y.N. Long-term impacts of aerosols on the vertical development of clouds and precipitation. Nat. Geosci. 2011, 4, 888–894. [Google Scholar] [CrossRef]
- Ramanathan, V.; Crutzen, P.J.; Kiehl, J.T.; Rosenfeld, D. Atmosphere—Aerosols, climate, and the hydrological cycle. Science 2001, 294, 2119–2124. [Google Scholar] [CrossRef] [PubMed]
- Kaufman, Y.J.; Koren, I.; Remer, L.A.; Rosenfeld, D.; Rudich, Y. The effect of smoke, dust, and pollution aerosol on shallow cloud development over the Atlantic Ocean. Proc. Natl. Acad. Sci. USA 2005, 102, 11207–11212. [Google Scholar] [CrossRef] [PubMed]
- Rosenfeld, D. Suppression of rain and snow by urban and industrial air pollution. Science 2000, 287, 1793–1796. [Google Scholar] [CrossRef]
- Russell, P.B.; Redemann, J.; Schmid, B.; Bergstrom, R.W.; Livingston, J.M.; McIntosh, D.M.; Ramirez, S.A.; Hartley, S.; Hobbs, P.V.; Quinn, P.K.; et al. Comparison of aerosol single scattering albedos derived by diverse techniques in two North Atlantic experiments. J. Atmos. Sci. 2002, 59, 609–619. [Google Scholar] [CrossRef]
- Myhre, G.; Berglen, T.F.; Johnsrud, M.; Hoyle, C.R.; Berntsen, T.K.; Christopher, S.A.; Fahey, D.W.; Isaksen, I.S.A.; Jones, T.A.; Kahn, R.A.; et al. Modelled radiative forcing of the direct aerosol effect with multi-observation evaluation. Atmos. Chem. Phys. 2009, 9, 1365–1392. [Google Scholar] [CrossRef]
- Devi, A.; Satheesh, S.K. Global maps of aerosol single scattering albedo using combined CERES-MODIS retrieval. Atmos. Chem. Phys. Discuss. 2022, 22, 5365–5376. [Google Scholar] [CrossRef]
- Kaufman, Y.J.; Martins, J.V.; Remer, L.A.; Schoeberl, M.R.; Yamasoe, M.A. Satellite retrieval of aerosol absorption over the oceans using sunglint. Geophys. Res. Lett. 2002, 29, 34-1–34-4. [Google Scholar] [CrossRef]
- Li, L.; Dubovik, O.; Derimian, Y.; Schuster, G.L.; Lapyonok, T.; Litvinov, P.; Ducos, F.; Fuertes, D.; Chen, C.; Li, Z.; et al. Retrieval of aerosol components directly from satellite and ground-based measurements. Atmos. Chem. Phys. 2019, 19, 13409–13443. [Google Scholar] [CrossRef]
- Lyapustin, A.; Go, S.; Korkin, S.; Wang, Y.; Torres, O.; Jethva, H.; Marshak, A. Retrievals of Aerosol Optical Depth and Spectral Absorption From DSCOVR EPIC. Front. Remote Sens. 2021, 2, 645794. [Google Scholar] [CrossRef]
- Satheesh, S.K.; Srinivasan, J. A method to infer short wave absorption due to aerosols using satellite remote sensing. Geophys. Res. Lett. 2005, 32, 13814. [Google Scholar] [CrossRef]
- Torres, O.; Bhartia, P.K.; Herman, J.R.; Ahmad, Z.; Gleason, J. Derivation of aerosol properties from satellite measurements of backscattered ultraviolet radiation: Theoretical basis. J. Geophys. Res.-Atmos. 1998, 103, 17099–17110. [Google Scholar] [CrossRef]
- Torres, O.; Bhartia, P.K.; Herman, J.R.; Sinyuk, A.; Ginoux, P.; Holben, B. A long-term record of aerosol optical depth from TOMS observations and comparison to AERONET measurements. J. Atmos. Sci. 2002, 59, 398–413. [Google Scholar] [CrossRef]
- Torres, O.; Bhartia, P.K.; Sinyuk, A.; Welton, E.J.; Holben, B. Total Ozone Mapping Spectrometer measurements of aerosol absorption from space: Comparison to SAFARI 2000 ground-based observations. J. Geophys. Res.-Atmos. 2005, 110, 18. [Google Scholar] [CrossRef]
- Torres, O.; Tanskanen, A.; Veihelmann, B.; Ahn, C.; Braak, R.; Bhartia, P.K.; Veefkind, P.; Levelt, P. Aerosols and surface UV products from Ozone Monitoring Instrument observations: An overview. J. Geophys. Res.-Atmos. 2007, 112. [Google Scholar] [CrossRef]
- Jethva, H.; Torres, O. A comparative evaluation of Aura-OMI and SKYNET near-UV single-scattering albedo products. Atmos. Meas. Tech. 2019, 12, 6489–6503. [Google Scholar] [CrossRef]
- de Almeida Castanho, A.D.; Vanderlei Martins, J.; Artaxo, P. MODIS Aerosol Optical Depth Retrievals with high spatial resolution over an Urban Area using the Critical Reflectance. J. Geophys. Res. Atmos. 2008, 113, 2201. [Google Scholar] [CrossRef]
- Kaufman, Y.J. Satellite sensing of aerosol absorption. J. Geophys. Res.-Atmos. 1987, 92, 4307–4317. [Google Scholar] [CrossRef]
- Kaufman, Y.J.; Fraser, R.S.; Ferrare, R.A. Satellite measurements of large-scale air-pollution—Methods. J. Geophys. Res.-Atmos. 1990, 95, 9895–9909. [Google Scholar] [CrossRef]
- Kaufman, Y.J.; Tanre, D.; Dubovik, O.; Karnieli, A.; Remer, L.A. Absorption of sunlight by dust as inferred from satellite and ground-based remote sensing. Geophys. Res. Lett. 2001, 28, 1479–1482. [Google Scholar] [CrossRef]
- Zhu, L.; Martins, J.V.; Remer, L.A. Biomass burning aerosol absorption measurements with MODIS using the critical reflectance method. J. Geophys. Res.-Atmos. 2011, 116, 7202. [Google Scholar] [CrossRef]
- Wells, K.C.; Martins, J.V.; Remer, L.A.; Kreidenweis, S.M.; Stephens, G.L. Critical reflectance derived from MODIS: Application for the retrieval of aerosol absorption over desert regions. J. Geophys. Res.-Atmos. 2012, 117, 3202. [Google Scholar] [CrossRef]
- Seidel, F.C.; Popp, C. Critical surface albedo and its implications to aerosol remote sensing. Atmos. Meas. Tech. 2012, 5, 1653–1665. [Google Scholar] [CrossRef]
- Huttunen, J.; Kokkola, H.; Mielonen, T.; Mononen, M.E.J.; Lipponen, A.; Reunanen, J.; Lindfors, A.V.; Mikkonen, S.; Lehtinen, K.E.J.; Kouremeti, N.; et al. Retrieval of aerosol optical depth from surface solar radiation measurements using machine learning algorithms, non-linear regression and a radiative transfer-based look-up table. Atmos. Chem. Phys. 2016, 16, 8181–8191. [Google Scholar] [CrossRef]
- Kolios, S.; Hatzianastassiou, N. Quantitative Aerosol Optical Depth Detection during Dust Outbreaks from Meteosat Imagery Using an Artificial Neural Network Model. Remote Sens. 2019, 11, 1022. [Google Scholar] [CrossRef]
- Lary, D.J.; Remer, L.A.; MacNeill, D.; Roscoe, B.; Paradise, S. Machine Learning and Bias Correction of MODIS Aerosol Optical Depth. IEEE Geosci. Remote Sens. Lett. 2009, 6, 694–698. [Google Scholar] [CrossRef]
- Okada, Y.; Mukai, S.; Sano, I. Neural network approach for aerosol retrieval. In Proceedings of the IGARSS 2001: Scanning the Present and Resolving the Future, Sydney, Australia, 9–13 July 2001; Volume 1–7, pp. 1716–1718. [Google Scholar]
- Schroeder, T.; Behnert, I.; Schaale, M.; Fischer, J.; Doerffer, R. Atmospheric correction algorithm for MERIS above case-2 waters. Int. J. Remote Sens. 2007, 28, 1469–1486. [Google Scholar] [CrossRef]
- Levy, R.C.; Mattoo, S.; Munchak, L.A.; Remer, L.A.; Sayer, A.M.; Patadia, F.; Hsu, N.C. The Collection 6 MODIS aerosol products over land and ocean. Atmos. Meas. Tech. 2013, 6, 2989–3034. [Google Scholar] [CrossRef]
- Hsu, N.C.; Tsay, S.C.; King, M.D.; Herman, J.R. Aerosol properties over bright-reflecting source regions. IEEE Trans. Geosci. Remote Sens. 2004, 42, 557–569. [Google Scholar] [CrossRef]
- Holben, B.N.; Eck, T.F.; Slutsker, I.; Tanre, D.; Buis, J.P.; Setzer, A.; Vermote, E.; Reagan, J.A.; Kaufman, Y.J.; Nakajima, T.; et al. AERONET—A federated instrument network and data archive for aerosol characterization. Remote Sens. Environ. 1998, 66, 1–16. [Google Scholar] [CrossRef]
- Dubovik, O.; Smirnov, A.; Holben, B.N.; King, M.D.; Kaufman, Y.J.; Eck, T.F.; Slutsker, I. Accuracy assessments of aerosol optical properties retrieved from Aerosol Robotic Network (AERONET) Sun and sky radiance measurements. J. Geophys. Res. 2000, 105, 9791–9806. [Google Scholar] [CrossRef]
- Giles, D.M.; Sinyuk, A.; Sorokin, M.G.; Schafer, J.S.; Smirnov, A.; Slutsker, I.; Eck, T.F.; Holben, B.N.; Lewis, J.R.; Campbell, J.R.; et al. Advancements in the Aerosol Robotic Network (AERONET) Version 3 database—Automated near-real-time quality control algorithm with improved cloud screening for Sun photometer aerosol optical depth (AOD) measurements. Atmos. Meas. Tech. 2019, 12, 169–209. [Google Scholar] [CrossRef]
- Dubovik, O.; Holben, B.; Eck, T.F.; Smirnov, A.; Kaufman, Y.J.; King, M.D.; Tanre, D.; Slutsker, I. Variability of absorption and optical properties of key aerosol types observed in worldwide locations. J. Atmos. Sci. 2002, 59, 590–608. [Google Scholar] [CrossRef]
- Kotchenova, S.Y.; Vermote, E.F.; Levy, R.; Lyapustin, A. Radiative transfer codes for atmospheric correction and aerosol retrieval: Intercomparison study. Appl. Opt. 2008, 47, 2215–2226. [Google Scholar] [CrossRef]
- Vermote, E.F.; Tanre, D.; Deuze, J.L.; Herman, M.; Morcrette, J.J. Second Simulation of the Satellite Signal in the Solar Spectrum, 6S: An overview. IEEE Trans. Geosci. Remote Sens. 1997, 35, 675–686. [Google Scholar] [CrossRef]
- Nair, V.; Hinton, G.E. Rectified Linear Units Improve Restricted Boltzmann Machines. In Proceedings of the 27th international conference on machine learning, Haifa, Israel, 21–24 June 2010; pp. 807–814. [Google Scholar]
- Kumar, K.R.; Sivakumar, V.; Reddy, R.R.; Gopal, K.R.; Adesina, A.J. Inferring wavelength dependence of AOD and Angstrom exponent over a sub-tropical station in South Africa using AERONET data: Influence of meteorology, long-range transport and curvature effect. Sci. Total Environ. 2013, 461, 397–408. [Google Scholar] [CrossRef] [PubMed]
- Markowicz, K.M.; Stachlewska, I.S.; Zawadzka-Manko, O.; Wang, D.X.; Kumala, W.; Chilinski, M.T.; Makuch, P.; Markuszewski, P.; Rozwadowska, A.K.; Petelski, T.; et al. A Decade of Poland-AOD Aerosol Research Network Observations. Atmosphere 2021, 12, 1583. [Google Scholar] [CrossRef]
- Mallet, M.; Dulac, F.; Formenti, P.; Nabat, P.; Sciare, J.; Roberts, G.; Pelon, J.; Ancellet, G.; Tanre, D.; Parol, F.; et al. Overview of the Chemistry-Aerosol Mediterranean Experiment/Aerosol Direct Radiative Forcing on the Mediterranean Climate (ChArMEx/ADRIMED) summer 2013 campaign. Atmos. Chem. Phys. 2016, 16, 455–504. [Google Scholar] [CrossRef]
- Hsu, N.C.; Jeong, M.J.; Bettenhausen, C.; Sayer, A.M.; Hansell, R.; Seftor, C.S.; Huang, J.; Tsay, S.C. Enhanced Deep Blue aerosol retrieval algorithm: The second generation. J. Geophys. Res.-Atmos. 2013, 118, 9296–9315. [Google Scholar] [CrossRef]













| Site | Longitude | Latitude | Mean AOD | Mean SSA |
|---|---|---|---|---|
| Banizoumbou | 2.665° E | 13.547° N | 0.314 | 0.874 |
| Belsk | 20.792° E | 51.837° N | 0.192 | 0.770 |
| BONDVILLE | 88.372° W | 40.053° N | 0.151 | 0.769 |
| Capo Verde | 22.935° W | 16.733° N | 0.320 | 0.970 |
| CARTEL | 71.931° W | 45.380° N | 0.343 | 0.969 |
| Churchill | 93.818 W | 58.736 N | 0.175 | 0.961 |
| El Arenosillo | 6.733 W | 37.105 N | 0.149 | 0.982 |
| Evora | 7.912 W | 38.568 N | 0.218 | 0.972 |
| GSFC | 76.840 W | 38.992 N | 0.124 | 0.959 |
| Halifax | 63.594 W | 44.638 N | 0.423 | 0.968 |
| La Parguera | 67.045 W | 17.970 N | 0.117 | 0.985 |
| Lampedusa | 12.632 E | 35.517 N | 0.259 | 0.980 |
| Lecce University | 18.111 E | 40.335 N | 0.157 | 0.939 |
| Lille | 3.142 E | 50.612 N | 0.200 | 0.953 |
| MD Science Center | 76.612 W | 39.281 N | 0.223 | 0.885 |
| Minsk | 27.601 E | 53.920 N | 0.171 | 0.905 |
| Missoula | 114.083 W | 46.917 N | 0.467 | 0.942 |
| Monterey | 121.855 W | 36.593 N | 0.353 | 0.917 |
| Moscow MSU MO | 37.522 E | 55.707 N | 0.181 | 0.926 |
| Rimrock | 116.992 W | 46.487 N | 0.158 | 0.923 |
| Rio Branco | 67.869 W | 9.957 S | 0.139 | 0.844 |
| SERC | 76.556 W | 38.889 N | 0.125 | 0.984 |
| Sevilleta | 106.885 W | 34.355 N | 0.237 | 0.928 |
| Sioux Falls | 96.626 W | 43.736 N | 0.451 | 0.965 |
| Skukuza | 31.587 E | 24.992 S | 0.199 | 0.896 |
| TABLE MOUNTAIN CA | 117.680 W | 34.380 N | 0.970 | 0.970 |
| Toravere | 26.467 E | 58.265 N | 0.208 | 0.936 |
| Wallops | 75.472 W | 37.933 N | 0.106 | 0.901 |
| Parameter | Range |
|---|---|
| Solar Zenith Angle | 10, 30, 50, 70 |
| Sensor Zenith Angle | 10, 30, 50, 70 |
| Relative Azimuth Angle | 0, 30, 60, 90, 120, 150, 160, 170, 180 |
| AOD (550 nm) | 0.3, 0.5, 0.8, 1.0, 1.5, 2.0 |
| SSA (Band 1 of MODIS) | 0.65, 0.67, 0.70, 0.71, 0.74, 0.75, 0.77, 0.79, 0.80, 0.82, 0.87, 0.89, 0.91, 0.92, 0.94, 0.96, 0.98, 1.00 |
| Surface Reflectance (Band 1 of MODIS) | 0.06, 0.10, 0.12, 0.14, 0.15, 0.17, 0.18, 0.20, 0.23 |
| SSA Value | Dust-like Component | Water-Soluble Component | Oceanic Component | Soot Component |
|---|---|---|---|---|
| 0.65 | 0.2 | 0.6 | 0 | 0.2 |
| 0.67 | 0.1 | 0.2 | 0.6 | 0.1 |
| 0.70 | 0.2 | 0.3 | 0.4 | 0.1 |
| 0.71 | 0.4 | 0.4 | 0.1 | 0.1 |
| 0.74 | 0.1 | 0.4 | 0.4 | 0.1 |
| 0.75 | 0.2 | 0.5 | 0.2 | 0.1 |
| 0.77 | 0.2 | 0.6 | 0.1 | 0.1 |
| 0.79 | 0.1 | 0.7 | 0.1 | 0.1 |
| 0.80 | 0.1 | 0.8 | 0 | 0.1 |
| 0.82 | 0 | 0.9 | 0 | 0.1 |
| 0.87 | 0.9 | 0.1 | 0 | 0 |
| 0.89 | 0.7 | 0 | 0.3 | 0 |
| 0.91 | 0.7 | 0.1 | 0.2 | 0 |
| 0.92 | 0.7 | 0.2 | 0.1 | 0 |
| 0.94 | 0.5 | 0.5 | 0 | 0 |
| 0.96 | 0 | 0.5 | 0.5 | 0 |
| 0.98 | 0 | 0.1 | 0.9 | 0 |
| 1.00 | 0 | 0 | 1 | 0 |
| Parameter | Range |
|---|---|
| Solar Zenith Angle | 10, 20, 30, 40, 50 |
| Sensor Zenith Angle | 10, 20, 30, 40, 50 |
| Relative Azimuth Angle | 0, 30, 60, 90, 120, 150, 180 |
| AOD (550 nm) | 0.1, 0.2, 0.3, 0.5, 0.8, 1.0, 1.5, 2.0 |
| SSA (Band 1 of MODIS) | 0.71, 0.75, 0.79, 0.82, 0.92, 1.00 |
| Surface Reflectance (Band 1 of MODIS) | 0.04, 0.06, 0.08, 0.10, 0.12, 0.14, 0.16, 0.18, 0.20, 0.22, 0.24, 0.26 |
Publisher’s Note: MDPI stays neutral with regard to jurisdictional claims in published maps and institutional affiliations. |
© 2022 by the authors. Licensee MDPI, Basel, Switzerland. This article is an open access article distributed under the terms and conditions of the Creative Commons Attribution (CC BY) license (https://creativecommons.org/licenses/by/4.0/).
Share and Cite
Qi, L.; Liu, R.; Liu, Y. Retrieval of Aerosol Single-Scattering Albedo from MODIS Data Using an Artificial Neural Network. Remote Sens. 2022, 14, 6341. https://doi.org/10.3390/rs14246341
Qi L, Liu R, Liu Y. Retrieval of Aerosol Single-Scattering Albedo from MODIS Data Using an Artificial Neural Network. Remote Sensing. 2022; 14(24):6341. https://doi.org/10.3390/rs14246341
Chicago/Turabian StyleQi, Lin, Ronggao Liu, and Yang Liu. 2022. "Retrieval of Aerosol Single-Scattering Albedo from MODIS Data Using an Artificial Neural Network" Remote Sensing 14, no. 24: 6341. https://doi.org/10.3390/rs14246341
APA StyleQi, L., Liu, R., & Liu, Y. (2022). Retrieval of Aerosol Single-Scattering Albedo from MODIS Data Using an Artificial Neural Network. Remote Sensing, 14(24), 6341. https://doi.org/10.3390/rs14246341

