Inversion of the Full-Depth Temperature Profile Based on Few Depth-Fixed Temperatures
Abstract
1. Introduction
2. Materials and Methods
2.1. EOF Decomposition
2.2. BP Neural Network
3. Experimental Results
3.1. Experimental Data
3.2. EOF Decomposition
3.3. Analysis of EOF Coefficients
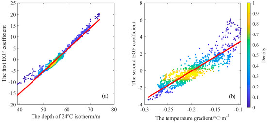
3.3.1. Physical Meaning of the First Two EOF Coefficients
3.3.2. Correlation Analysis of the EOF Coefficients
4. Temperature Profile Inversion and Analysis
4.1. Inversion of Temperature Profiles at H1
4.2. Temperature Profiles Inversion at O1 and S17
5. Conclusions
6. Discussion
Author Contributions
Funding
Data Availability Statement
Conflicts of Interest
References
- Sun, D.J.; Yu, M.; Cai, K.J. Inversion of ocean sound speed profiles from travel time measurements using a ray-gradient-enhanced surrogate model. Remote Sens. Lett. 2022, 13, 888–897. [Google Scholar] [CrossRef]
- Li, B.Y.; Zhai, J.S. A Novel Sound Speed Profile Prediction Method Based on the Convolutional Long-Short Term Memory Network. J. Mar. Sci. Eng. 2022, 10, 572. [Google Scholar] [CrossRef]
- Li, H.P.; Qu, K.; Zhou, J.B. Reconstructing sound speed profile from remote sensing data: Nonlinear inversion based on Self-Organizing Map. IEEE Access 2021, 9, 109754–109762. [Google Scholar] [CrossRef]
- Rubenstein, D. Observations of cnoidal internal waves and their effect on acoustic propagation in shallow water. IEEE J. Ocean. Eng. 1999, 24, 346–357. [Google Scholar] [CrossRef]
- Lv, Z.C.; Du, L.B.; Li, H.M.; Wang, L.; Qin, J.X.; Yang, M.; Ren, C. Influence of Temporal and Spatial Fluctuations of the Shallow Sea Acoustic Field on Underwater Acoustic Communication. Sensors 2022, 22, 5795. [Google Scholar] [CrossRef]
- Khan, S.; Song, Y.; Huang, J.; Piao, S. Analysis of underwater acoustic propagation under the influence of mesoscale ocean vortices. J. Mar. Sci. Eng. 2021, 9, 799. [Google Scholar] [CrossRef]
- Zhang, L.; Song, Y.; Zhou, S.D.; Liu, F.; Han, Y. Review of measurement techniques for temperature, salinity and depth profile of sea water. Mar. Sci. Bull. 2017, 36, 481–489. [Google Scholar]
- Hurlburt, H.E.; Fox, D.N.; Metzger, E.J. Statistical inference of weakly correlated subthermocline fields from satellite altimeter data. J. Geophys. Res. Oceans 1990, 95, 11375–11409. [Google Scholar] [CrossRef]
- Guinehut, S.; Traon, L.; Larnicol, G.; Philipps, S. Combining Argo and remote- sensing data to estimate the ocean three-dimensional temperature fields-a first approach based on simulated observations. J. Mar. Syst. 2004, 46, 85–98. [Google Scholar] [CrossRef]
- Han, Z.; Zhao, N. Seawater temperature model from Argo data by LM-BP neural network in Northwest Pacific Ocean. Mar. Environ. Sci. 2012, 31, 555–560. [Google Scholar]
- Munk, W.; Wunsch, C. Ocean acoustic tomography: A scheme for large scale monitoring. Deep Sea Research Part A. Oceanogr. Res. Pap. 1979, 26, 123–161. [Google Scholar] [CrossRef]
- Munk, W.H.; Worcester, P.; Wuncsh, C. Ocean Acoustic Tomography; Cambridge University Press: Cambridge, UK, 1995. [Google Scholar]
- Shang, E.C. Ocean acoustic tomography based on adiabatic mode theory. J. Acoust. Soc. Am. 1989, 85, 1531–1537. [Google Scholar] [CrossRef]
- Tolstoy, I.A. Low-frequency acoustic tomography using matched field processing. J. Acoust. Soc. Am. 1989, 86, S7. [Google Scholar] [CrossRef]
- Zhang, Z.; Li, Z.; Dai, Q. Sound speed profile reconstruction from the data measured in a limited depth. Technol. Acoust. 2008, 27, 106–107. [Google Scholar]
- Taroudakis, M.; Papadakis, J. A modal inversion scheme for ocean acoustic tomography. J. Comp. Acoust. 1993, 1, 395–421. [Google Scholar] [CrossRef]
- Leblanc, L.; Middleton, F. An underwater acoustic sound velocity data model. J. Acoust. Soc. Am. 1980, 67, 2055–2062. [Google Scholar] [CrossRef]
- Casagrande, G.; Varnas, A.W.; Stephan, Y.; Thomas, F. Genesis of the coupling of internal wave modes in the Strait of Messina. J. Mar. Syst. 2009, 78, S191–S204. [Google Scholar] [CrossRef]
- Li, Q.; Shi, J.; Li, Z.; Luo, Y.; Yang, F.; Zhang, K. Acoustic sound speed profile inversion based on orthogonal matching pursuit. Acta Oceanol. Sin. 2019, 38, 149–157. [Google Scholar] [CrossRef]
- Rumelhart, D.E.; Hinton, G.E.; Williams, R.J. Learning representations by back-propagating errors. Nature 1986, 323, 6088. [Google Scholar] [CrossRef]
- Liu, C.; Xiang, X.; Yang, L.; Li, J.; Yang, S. A hierarchical disturbance rejection depth tracking control of underactuated AUV with experimental verification. Ocean Eng. 2022, 264, 112458. [Google Scholar] [CrossRef]
- Tanakitkorn, K.; Wilson, P.A.; Turnock, S.R.; Phillips, A.B. Depth control for an over-actuated, hover-capable autonomous underwater vehicle with experimental verification. Mechatronics 2017, 41, 67–81. [Google Scholar] [CrossRef]














Publisher’s Note: MDPI stays neutral with regard to jurisdictional claims in published maps and institutional affiliations. |
© 2022 by the authors. Licensee MDPI, Basel, Switzerland. This article is an open access article distributed under the terms and conditions of the Creative Commons Attribution (CC BY) license (https://creativecommons.org/licenses/by/4.0/).
Share and Cite
Li, Q.; Yan, X.; Wang, Z.; Li, Z.; Cao, S.; Tong, Q. Inversion of the Full-Depth Temperature Profile Based on Few Depth-Fixed Temperatures. Remote Sens. 2022, 14, 5984. https://doi.org/10.3390/rs14235984
Li Q, Yan X, Wang Z, Li Z, Cao S, Tong Q. Inversion of the Full-Depth Temperature Profile Based on Few Depth-Fixed Temperatures. Remote Sensing. 2022; 14(23):5984. https://doi.org/10.3390/rs14235984
Chicago/Turabian StyleLi, Qianqian, Xian Yan, Ziwen Wang, Zhenglin Li, Shoulian Cao, and Qian Tong. 2022. "Inversion of the Full-Depth Temperature Profile Based on Few Depth-Fixed Temperatures" Remote Sensing 14, no. 23: 5984. https://doi.org/10.3390/rs14235984
APA StyleLi, Q., Yan, X., Wang, Z., Li, Z., Cao, S., & Tong, Q. (2022). Inversion of the Full-Depth Temperature Profile Based on Few Depth-Fixed Temperatures. Remote Sensing, 14(23), 5984. https://doi.org/10.3390/rs14235984
