Modeling and Analysis of Microwave Emission from Multiscale Soil Surfaces Using AIEM Model
Abstract
1. Introduction
2. Materials and Methods
2.1. Multiscale Rough Surface: Decomposition of Multiscale Correlation Function
2.2. Computation of Microwave Emissivity Using AIEM Model
2.3. Multiscale Sensitivity Index (MSI)
3. Results
3.1. Parameter Dependence
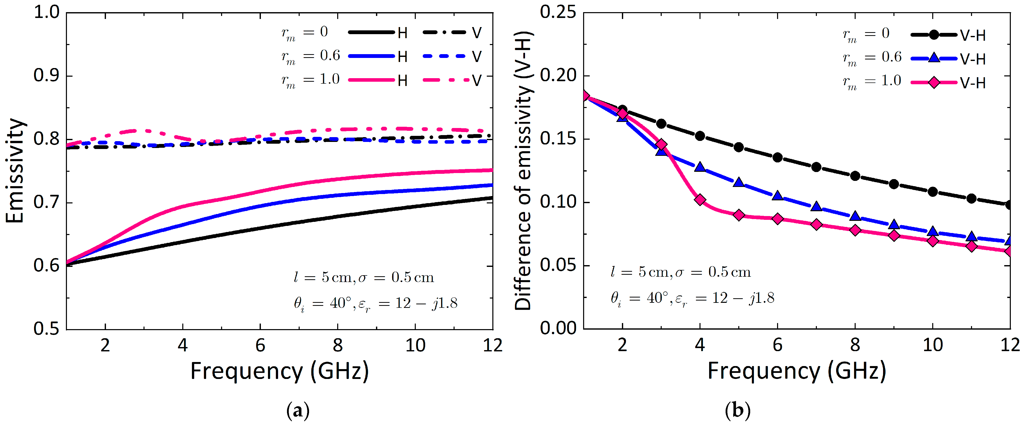
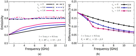
3.1.1. Influence of Frequency
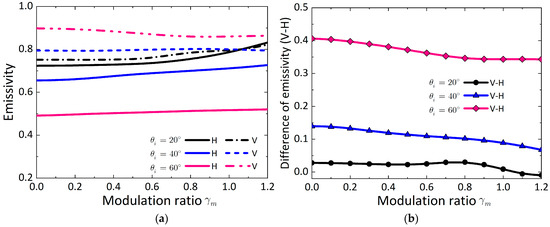
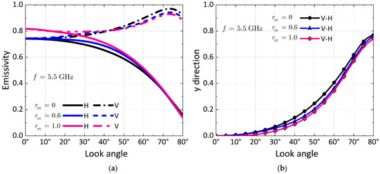
3.1.2. Influence of Look Angle
3.2. Surface Parameter Dependence
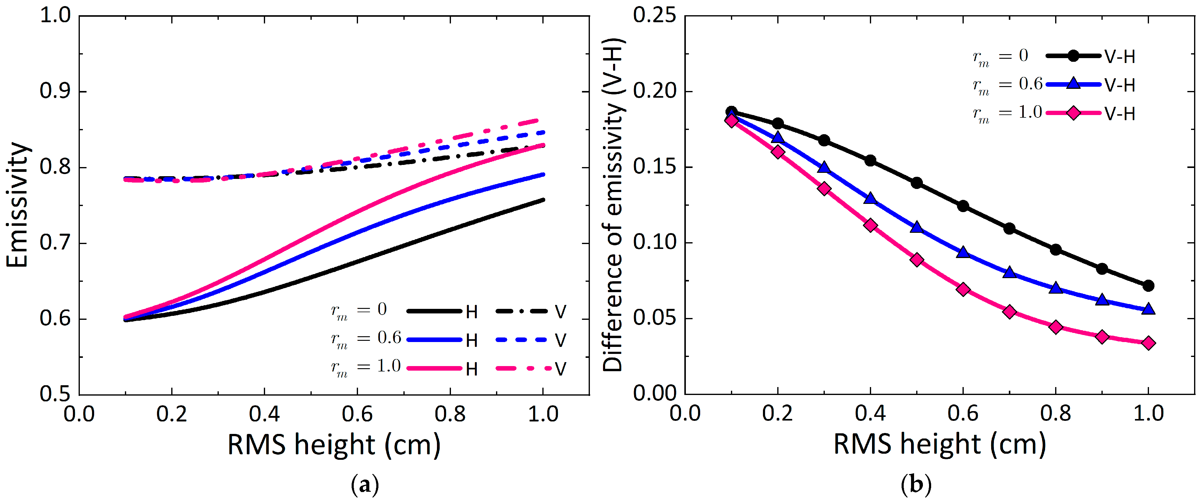
3.2.1. Influence of Roughness
3.2.2. Influence of Soil Moisture
3.3. Comparison of Emissivity with Experimental Data
3.3.1. Measurements from Snow Surface
3.3.2. Measurements from Bare fields
4. Discussion
5. Conclusions
Author Contributions
Funding
Conflicts of Interest
References
- Burrough, P.A. Multiscale sources of spatial variation in soil. I. The application of fractal concepts to nested levels of soil variation. Eur. J. Soil Sci. 1983, 34, 577–597. [Google Scholar] [CrossRef]
- Burrough, P.A. Multiscale sources of spatial variation in soil. II. A non-Brownian fractal model and its application in soil survey. Eur. J. Soil Sci. 1983, 34, 599–620. [Google Scholar] [CrossRef]
- Chen, K.S.; Wu, T.D.; Fung, A.K. A study of backscattering from multi-scale rough surface. J. Electromagn. Waves Appl. 1998, 12, 961–979. [Google Scholar] [CrossRef]
- Mattia, F.; Toan, T.L. Backscattering properties of multi-scale rough surfaces. J. Electromagn. Waves Appl. 1999, 13, 493–528. [Google Scholar] [CrossRef]
- Davidson, M.; Toan, T.L.; Mattia, F.; Satalino, G.; Manninen, T.; Borgeaud, M. On the characterization of agricultural soil roughness for radar remote sensing studies. IEEE Trans. Geosci. Remote Sens. 2000, 38, 630–640. [Google Scholar] [CrossRef]
- Mattia, F.; Toan, T.L.; Davidson, M. An analytical, numerical, and experimental study of backscattering from multiscale soil surface. Radio Sci. 2001, 36, 119–135. [Google Scholar] [CrossRef]
- Manninen, A.T. Multiscale surface roughness description for scattering modelling of bare soil. Phys. A 2003, 319, 535–551. [Google Scholar] [CrossRef]
- Zribi, M.; Baghdadi, N.; Holah, N.; Fafin, O.; Guérin, C. Evaluation of a rough soil surface description with ASAR-ENVISAT radar data. Remote Sens. Environ. 2005, 95, 67–76. [Google Scholar] [CrossRef]
- Dong, L.; Baghdadi, N.; Ludwig, R. Validation of the AIEM through correlation length parameterization at field scale using radar imagery in a semi-arid environment. IEEE Geosci. Remote Sens. Lett. 2013, 10, 461–465. [Google Scholar] [CrossRef]
- Martens, B.; Lievens, H.; Colliander, A.J.; Jackson, T.; Verhoest, N.E.C. Estimating effective roughness parameters of the L-MEB model for soil moisture retrieval using passive microwave observations from SMAPVEX12. IEEE Trans. Geosci. Remote Sens. 2015, 53, 4091–4103. [Google Scholar] [CrossRef]
- Zribi, M.; Sahnoun, M.; Baghdadi, N.; Toan, T.L.; Hamida, A.B. Analysis of the relationship between backscattered P-band radar signals and soil roughness. Remote Sens. Environ. 2016, 186, 13–21. [Google Scholar] [CrossRef]
- Bai, X.; He, B.; Li, X. Optimum surface roughness to parameterize advanced integral equation model for soil moisture retrieval in prairie area using RADARSAT-2 data. IEEE Trans. Geosci. Remote Sens. 2016, 54, 2437–2449. [Google Scholar] [CrossRef]
- Martinez-Agirre, A.; Álvarez-Mozos, J.; Lievens, H.; Verhoest, N.E.C. Influence of surface roughness measurement scale on radar backscattering in different agricultural soils. IEEE Trans. Geosci. Remote Sens. 2017, 55, 5925–5936. [Google Scholar] [CrossRef]
- Ulaby, F.T.; Moore, R.K.; Fung, A.K. Microwave. Remote Sensing: Active and Passive Volume II; Artech House: Norwood, MA, USA, 1952. [Google Scholar]
- Plant, W.J. A stochastic, multiscale model of microwave backscatter from the ocean. J. Geophys. Res. 2002, 107, 3120. [Google Scholar] [CrossRef]
- Neelam, M.; Colliander, A.; Mohanty, B.P.; Cosh, M.H.; Misra, S.; Jackson, T.J. Multiscale surface roughness for improved soil moisture estimation. IEEE Trans. Geosci. Remote Sens. 2020, 58, 5264–5276. [Google Scholar] [CrossRef]
- Yang, Y.; Chen, K.S.; Chao, R. Radar scattering from a modulated rough surface: Simulations and applications. IEEE Trans. Geosci. Remote Sens. 2021, 59, 9842–9850. [Google Scholar] [CrossRef]
- Owe, M.; de Jeu, R.; Walker, J. A methodology for surface soil moisture and vegetation optical depth retrieval using the microwave polarization difference index. IEEE Trans. Geosci. Remote Sens. 2001, 39, 1643–1654. [Google Scholar] [CrossRef]
- De Jeu, R.A.M.; Owe, M. Further validation of a new methodology for surface moisture and vegetation optical depth retrieval. Int. J. Remote Sens. 2003, 24, 4559–4578. [Google Scholar] [CrossRef]
- Meesters, A.G.C.A.; De Jeu, R.A.M.; Owe, M. Analytical derivation of the vegetation optical depth from the microwave polarization difference index. IEEE Geosci. Remote Sens. Lett. 2005, 2, 121–123. [Google Scholar] [CrossRef]
- Chen, K.S.; Wu, T.D.; Tsang, L.; Li, Q.; Shi, J.; Fung, A.K. Emission of rough surfaces calculated by the integral equation method with comparison to three-dimensional moment method simulations. IEEE Trans. Geosci. Remote Sens. 2003, 41, 90–101. [Google Scholar] [CrossRef]
- Chen, K.S. Radar Scattering and Imaging of Rough Surface: Modeling and Simulation with MATLAB®; CRC Press: Boca Raton, FL, USA, 2020. [Google Scholar]
- Fung, A.K. Backscattering from Multiscale Rough Surfaces with Application to Wind Scatterometry; Artech House: Norwood, MA, USA, 2015. [Google Scholar]
- Macelloni, G.; Brogioni, M.; Pampaloni, P.; Cagnati, A.; Drinkwater, M.R. DOMEX 2004: An experimental campaign at DOME-C antarctica for the calibration of spaceborne low-frequency microwave radiometers. IEEE Trans. Geosci. Remote Sens. 2006, 44, 2642–2653. [Google Scholar] [CrossRef]
- Wang, J.R.; O’neill, P.E.; Jackson, T.J.; Engman, E.T. Multifrequency measurements of the effects of soil moisture, soil texture, and surface roughness. IEEE Trans. Geosci. Remote Sens. 1983, 21, 44–51. [Google Scholar] [CrossRef]
- Monerris, A.; Schmugge, T. Soil Moisture Estimation Using L-Band Radiometry; InTech: Hampshire, UK, 2009. [Google Scholar]



















Publisher’s Note: MDPI stays neutral with regard to jurisdictional claims in published maps and institutional affiliations. |
© 2022 by the authors. Licensee MDPI, Basel, Switzerland. This article is an open access article distributed under the terms and conditions of the Creative Commons Attribution (CC BY) license (https://creativecommons.org/licenses/by/4.0/).
Share and Cite
Yang, Y.; Chen, K.-S.; Jiang, R. Modeling and Analysis of Microwave Emission from Multiscale Soil Surfaces Using AIEM Model. Remote Sens. 2022, 14, 5899. https://doi.org/10.3390/rs14225899
Yang Y, Chen K-S, Jiang R. Modeling and Analysis of Microwave Emission from Multiscale Soil Surfaces Using AIEM Model. Remote Sensing. 2022; 14(22):5899. https://doi.org/10.3390/rs14225899
Chicago/Turabian StyleYang, Ying, Kun-Shan Chen, and Rui Jiang. 2022. "Modeling and Analysis of Microwave Emission from Multiscale Soil Surfaces Using AIEM Model" Remote Sensing 14, no. 22: 5899. https://doi.org/10.3390/rs14225899
APA StyleYang, Y., Chen, K.-S., & Jiang, R. (2022). Modeling and Analysis of Microwave Emission from Multiscale Soil Surfaces Using AIEM Model. Remote Sensing, 14(22), 5899. https://doi.org/10.3390/rs14225899

