Uncertainties in Prediction of Streamflows Using SWAT Model—Role of Remote Sensing and Precipitation Sources
Abstract
1. Introduction
2. Materials and Methods
2.1. SWAT Model
2.2. SUFI2 Calibration Model
2.3. Multi-Criteria Decision-Making Method
VIKOR Method
3. Study Area
4. Results
4.1. Source Uncertainty
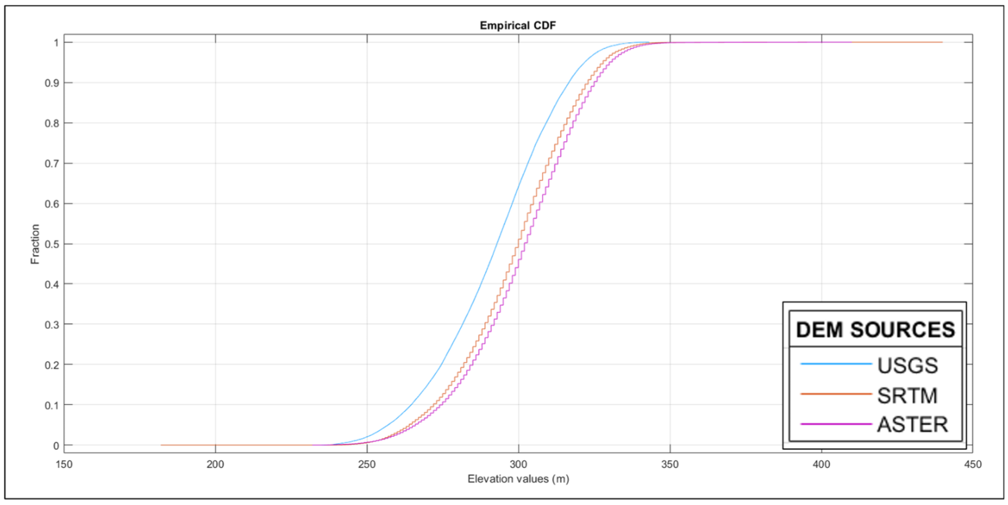
4.1.1. DEM
4.1.2. LULC
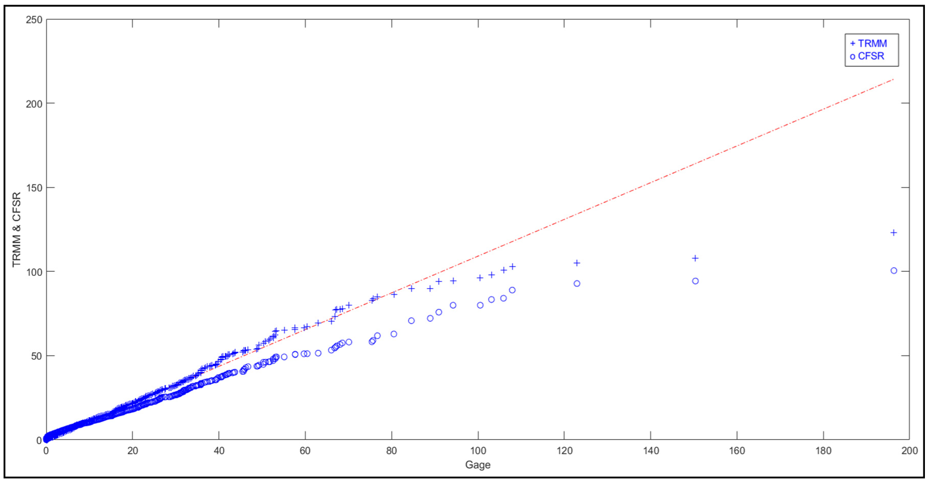
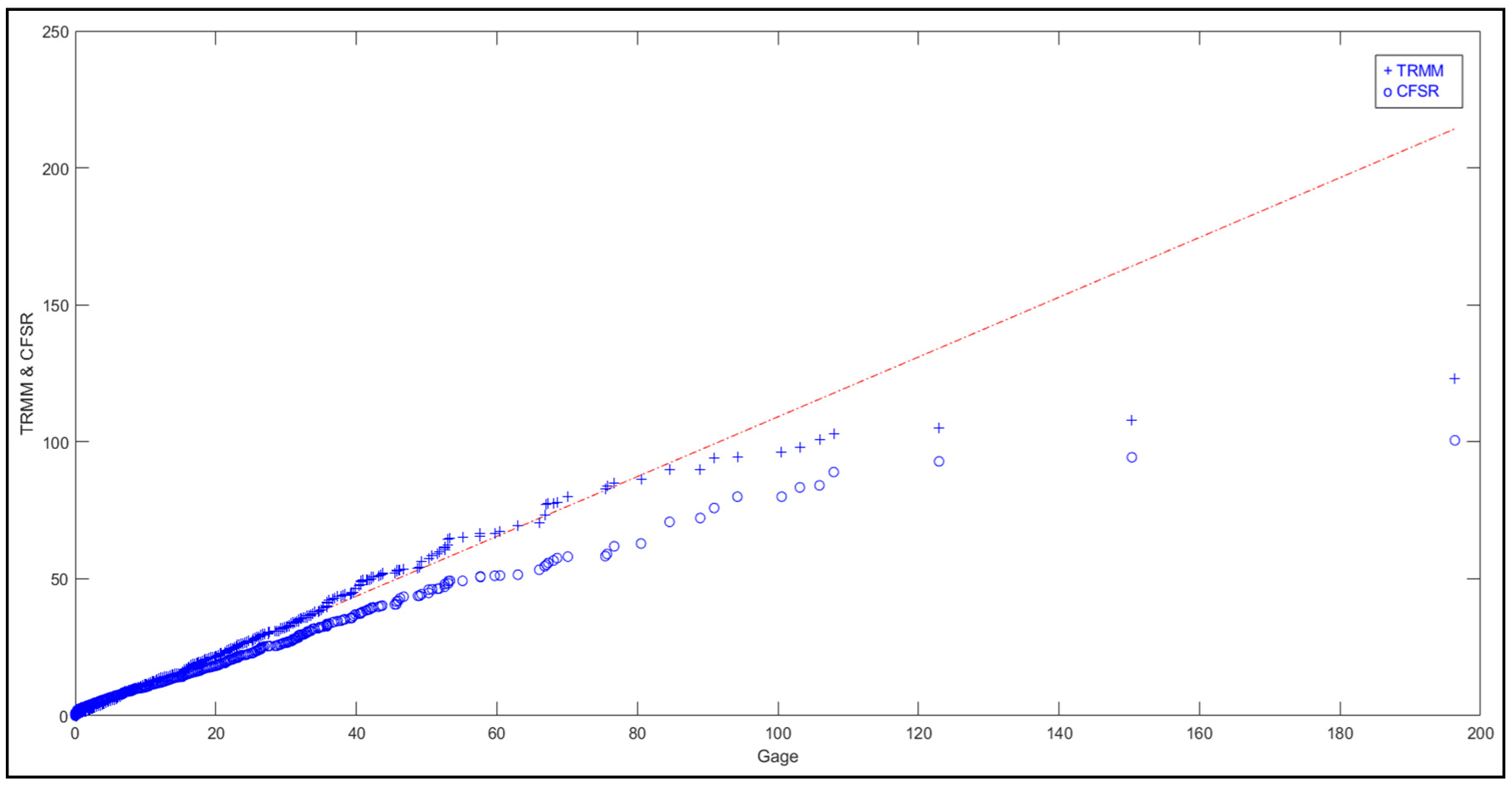
4.1.3. Precipitation
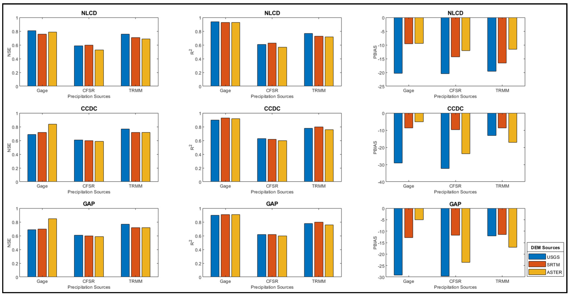
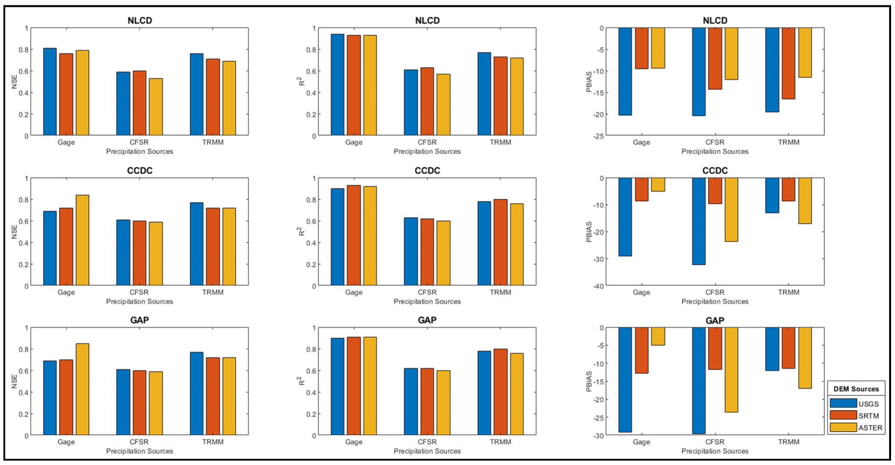
4.2. Performance of the SWAT Models
Impact of Uncertainties on Different Models
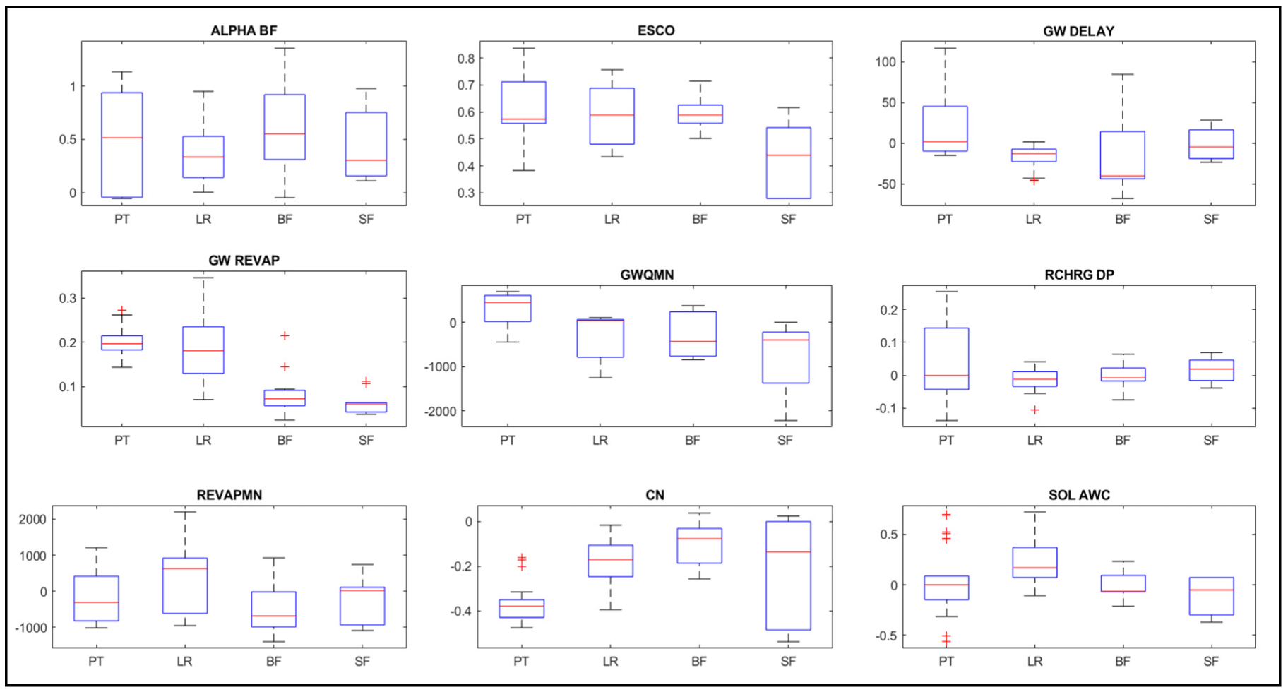
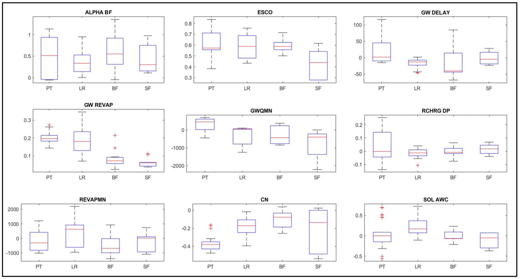
4.3. Parameter Uncertainty
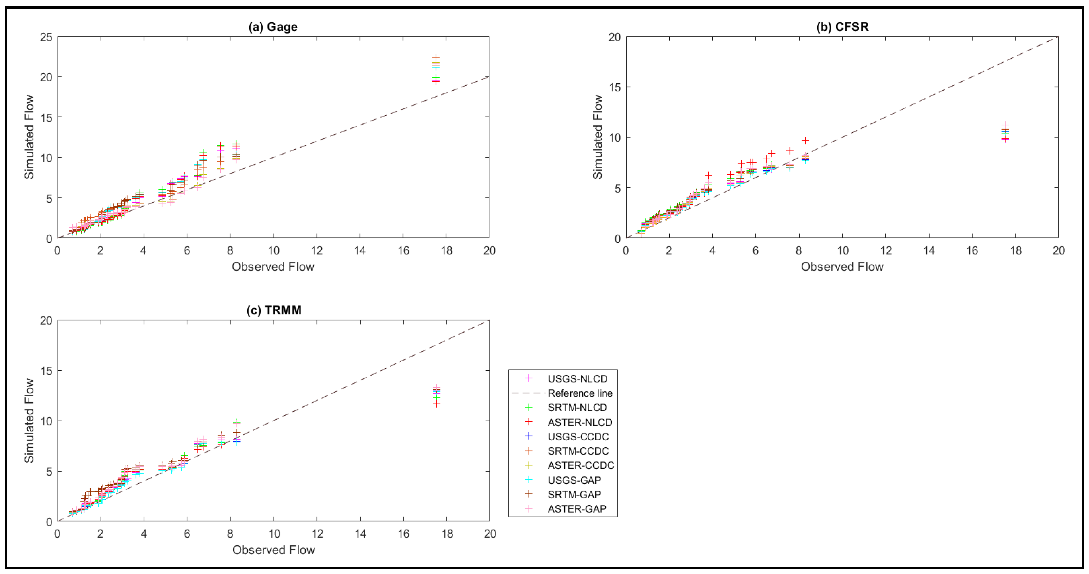
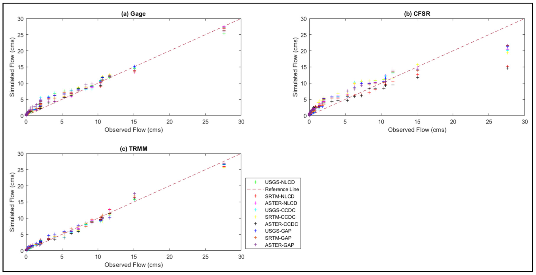
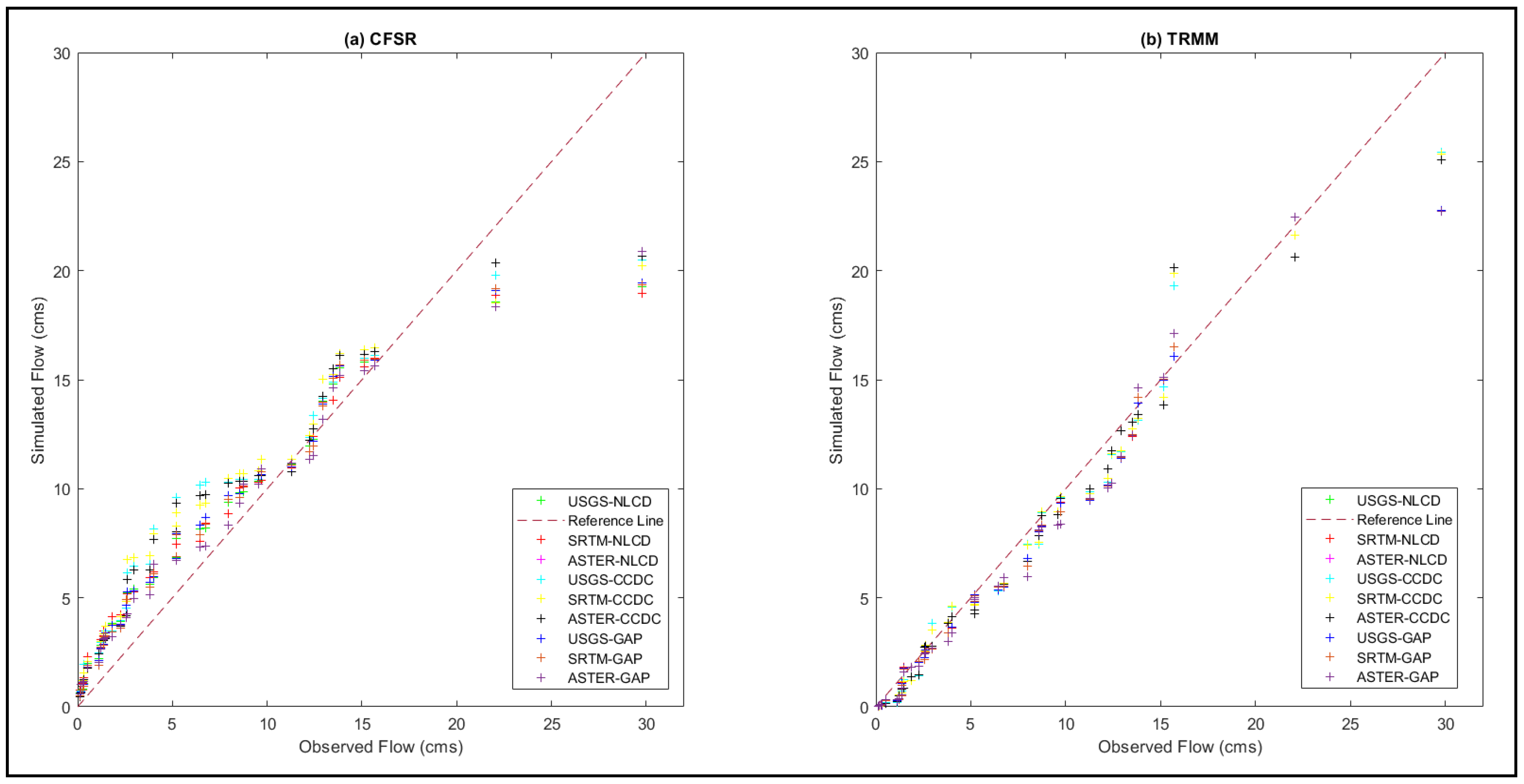
4.4. Quantification of Simulated Flows
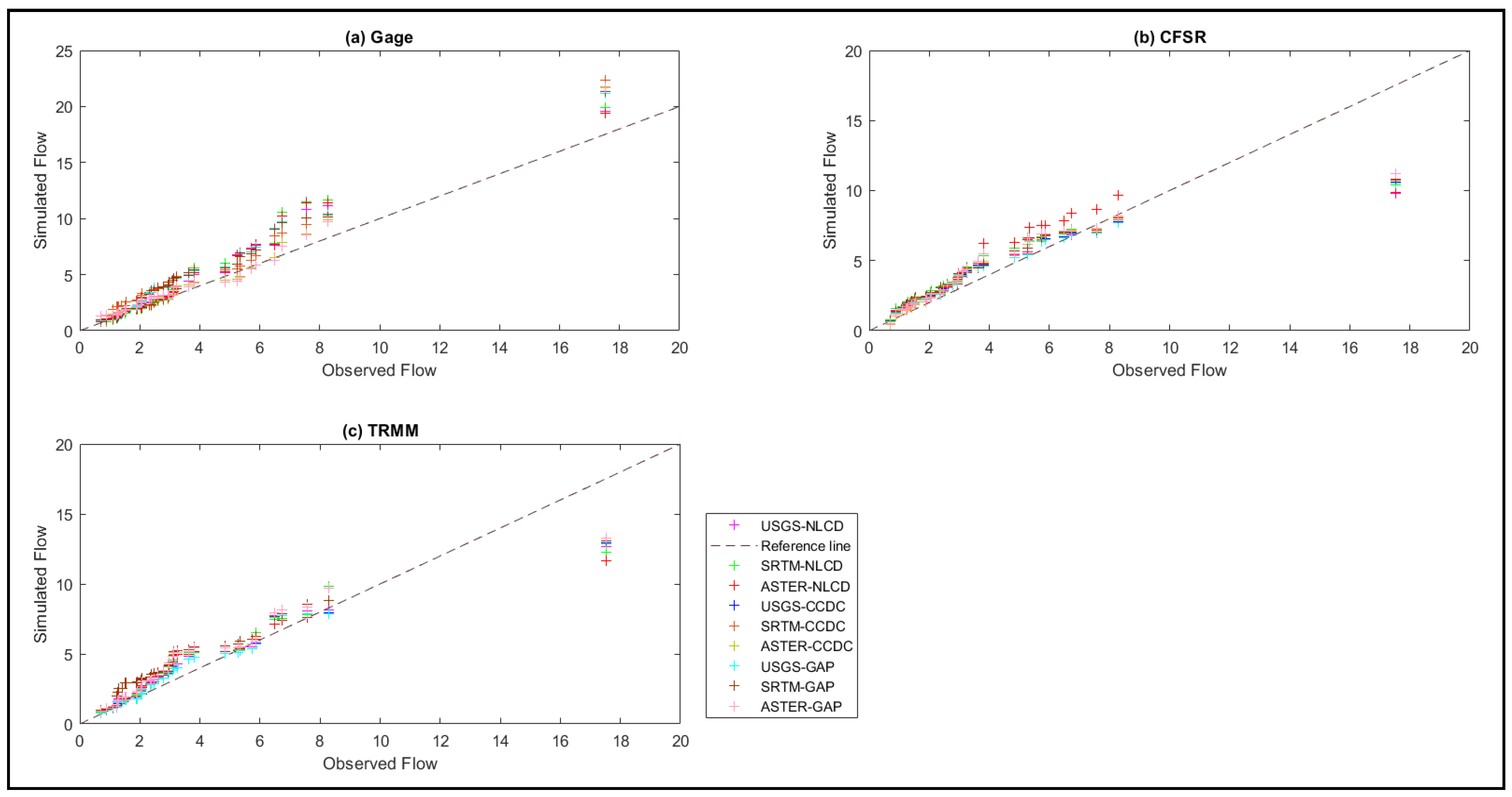
4.4.1. Peachtree Creek Watershed
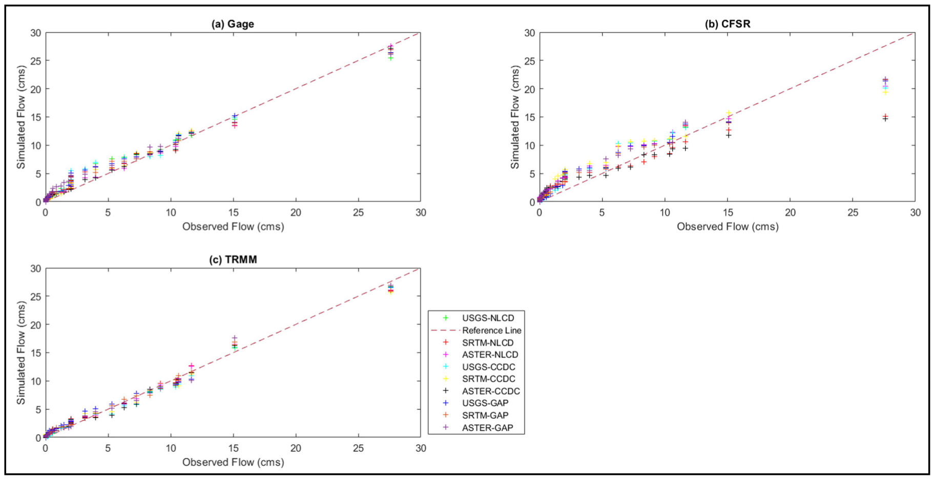
4.4.2. Little River Experimental Watershed
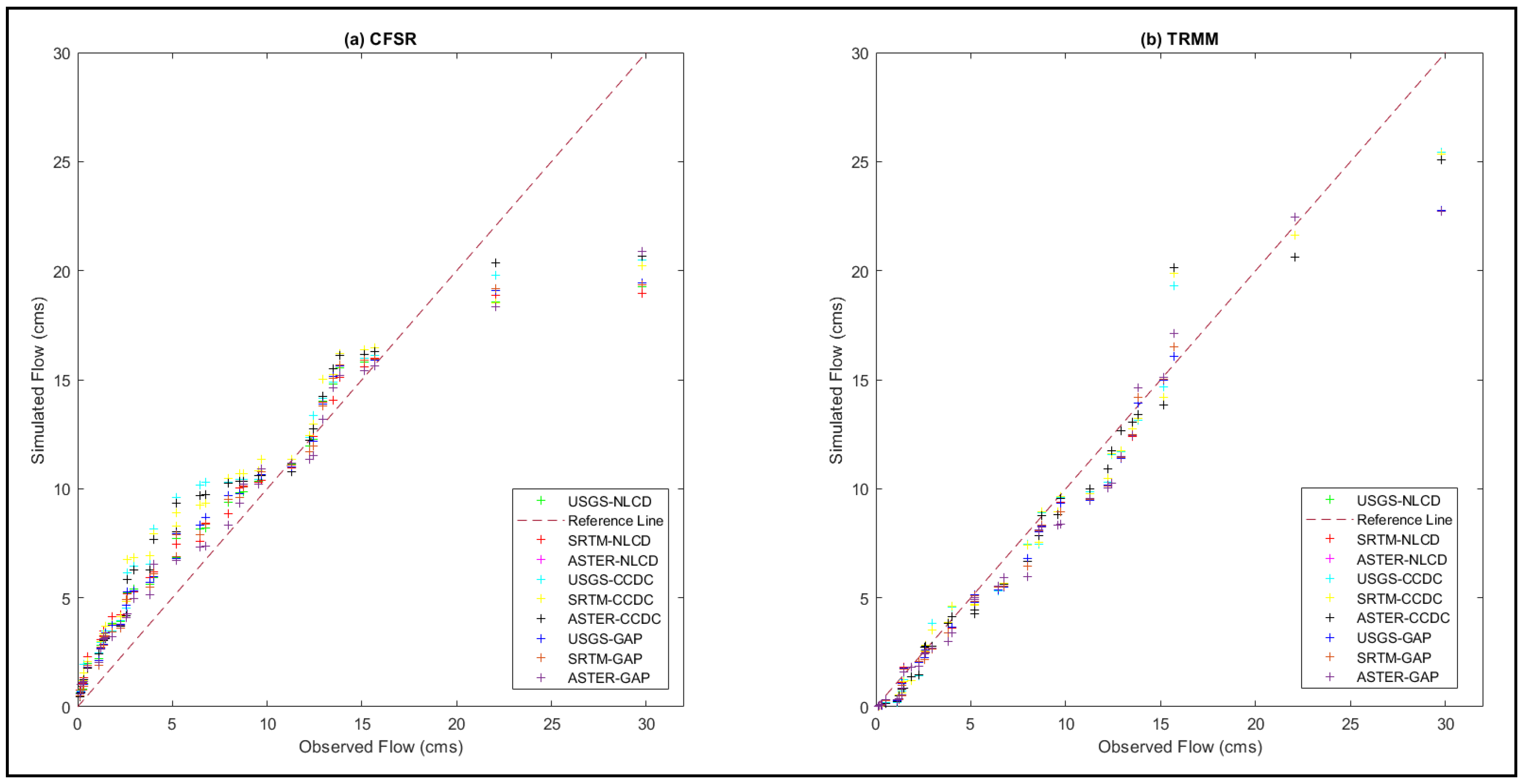
4.4.3. Baron Fork Watershed
4.4.4. South Fork Watershed
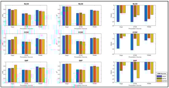
4.5. Multi-Criteria Decision Making (MCDM) Analysis
5. Conclusions
Highlights of the SWAT-MCDM Analysis
Supplementary Materials
Author Contributions
Funding
Data Availability Statement
Acknowledgments
Conflicts of Interest
References
- Arnold, J.; Srinivasan, R.; Muttiah, R.; Williams, J. Large area hydrologic modeling and assessment part i: Model development. J. Am. Water Resour. Assoc. 1998, 34, 73–89. [Google Scholar] [CrossRef]
- Gassman, P.; Reyes, M.; Green, C.; Arnold, J. The soil and water assessment tool: Historical development, applications, and future research directions. Trans. ASABE 2007, 50, 1211–1250. [Google Scholar] [CrossRef]
- Knisel, W. Creams: A Field-Scale Model for Chemicals, Runoff, and Erosion from Agricultural Management Systems; Conservation Research Report. 26; USDA: Washington, DC, USA, 1980. [Google Scholar]
- Leonard, R.; Knisel, W.; Smith, D. Gleams: Groundwater loading effects of agricultural management systems. Trans. ASAE 1987, 30, 1402–1418. [Google Scholar] [CrossRef]
- Arnold, J.; Williams, J.; Nicks, A.; Sammons, N. Swrrb: A Basin-Scale Simulation Model for Soil and Water Resources Management; Texas AM University Press: College Station, TX, USA, 1990. [Google Scholar]
- Zuoda, Q.; Kang, G.; Chu, C.; Qiu, Y. Comparison of swat and gwlf model simulation performance in humid south and semi-arid north of china. Water 2017, 9, 567. [Google Scholar]
- Jaiswal, R.; Ali, S.; Bharti, B. Comparative evaluation of conceptual and physical rainfall-runoff models. J. Appl. Water Sci. 2020, 10, 48. [Google Scholar] [CrossRef]
- Nasiri, S.; Ansari, H.; Ziaei, A. Simulation of water balance equation components using swat model in samalqan watershed (Iran). Arab. J. Geosci. 2020, 13, 421. [Google Scholar] [CrossRef]
- Cotter, A.; Chaubey, I.; Costello, T.; Soerens, T.; Nelson, M. Water quality model output uncertainty as affected by spatial resolution of input data. J. Am. Water Resour. Assoc. 2003, 39, 977–986. [Google Scholar] [CrossRef]
- Yin, Z.; Xiao, H.; Zou, S.; Zhu, R.; Lu, Z.; Lan, Y.; Shen, Y. Simulation of hydrological processes of mountainous watersheds in inland river basins: Taking the Heihe mainstream river as an example. J. Arid. Land 2013, 6, 16–24. [Google Scholar] [CrossRef]
- Kumar, B.; Lakshmi, V.; Patra, K.C. Evaluating the Uncertainties in the SWAT Model Outputs due to DEM Grid Size and Resampling Techniques in a Large Himalayan River Basin. J. Hydrol. Eng. 2017. [Google Scholar] [CrossRef]
- Fan, J.; Galoie, M.; Motamedi, A.; Huang, J. Assessment of land cover resolution impact on flood modeling uncertainty. Water Policy 2021, 52, 78–90. [Google Scholar] [CrossRef]
- Gautam, S.; Dahal, V.; Bhattarai, R. Impacts of Dem Source, Resolution and Area Threshold Values on SWAT Generated Stream Network and Streamflow in Two Distinct Nepalese Catchments. Environ. Process 2019, 6, 597–617. [Google Scholar] [CrossRef]
- Munoth, P.; Goyal, R. Effects of DEM Source, Spatial Resolution and Drainage Area Threshold Values on Hydrological Modeling. Water Resour. Manag. 2019, 33, 3303–3319. [Google Scholar] [CrossRef]
- Sukumaran, H.; Sahoo, S.N. A Methodological Framework for Identification of Baseline Scenario and Assessing the Impact of DEM Scenarios on SWAT Model Outputs. Water Resour. Manag. 2020, 34, 4795–4814. [Google Scholar] [CrossRef]
- Kamali, B.; Abbaspour, K.; Lehmann, A.; Wehrli, B.; Yang, H. Assessing the uncertainty of multiple input datasets in the prediction of water resource components. Water 2017, 9, 709. [Google Scholar] [CrossRef]
- Cüceloğlu, G.; Seker, D.Z.; Tanik, A.; Öztürk, I. Analyzing Effects of Two Different Land Use Datasets on Hydrological Simulations by Using SWAT Model. Int. J. Environ. Geoinform. 2021, 8, 172–185. [Google Scholar] [CrossRef]
- Alnahit, A.O.; Mishra, A.K.; Khan, A.A. Evaluation of high-resolution satellite products for streamflow and water quality assessment in a Southeastern US watershed. J. Hydrol. Reg. Stud. 2020, 27, 100660. [Google Scholar] [CrossRef]
- Le, M.; Lakshmi, V.; Bolten, J.; Bui, D.D. Adequacy of Satellite-derived Precipitation Estimate for Hydrological Modeling in Vietnam Basins. J. Hydrol. 2020, 586, 124820. [Google Scholar] [CrossRef]
- Dinh, K.D.; Anh, T.N.; Nguyen, N.Y.; Bui, D.D.; Srinivasan, R. Evaluation of Grid-Based Rainfall Products and Water Balances over the Mekong River Basin. Remote Sens. 2020, 12, 1858. [Google Scholar] [CrossRef]
- Zhang, L.; Xin, Z.; Zhou, H. Assessment of TMPA 3B42V7 and PERSIANN-CDR in Driving Hydrological Modeling in a Semi-Humid Watershed in Northeastern China. Remote Sens. 2020, 12, 3133. [Google Scholar] [CrossRef]
- Setti, S.; Maheswaran, R.; Sridhar, V.; Barik, K.; Merz, B.; Agarwal, A. Inter-Comparison of Gauge-Based Gridded Data, Reanalysis and Satellite Precipitation Product with an Emphasis on Hydrological Modeling. Atmosphere 2020, 11, 1252. [Google Scholar] [CrossRef]
- Dutta, P.; Sarma, A.K. Hydrological modeling as a tool for water resources management of the data-scarce Brahmaputra basin. J. Water Clim. Chang. 2020, 12, 152–165. [Google Scholar] [CrossRef]
- Beven, K.; Binley, A. The future of distributed models: Model calibration and uncertainty prediction. Hydrol. Process. 1992, 6, 279–298. [Google Scholar] [CrossRef]
- Van Griensven, A.; Meixner, T. Methods to quantify and identify the sources of uncertainty for river basin water quality models. Water Sci. Technol. 2006, 53, 51–59. [Google Scholar] [CrossRef]
- Abbaspour, K. User Manual for Swat-Cup, Swat Calibration, and Uncertainty Analysis Programs; Swiss Federal Institute of Aquatic Science and Technology Eawag: Dübendorf, Switzerland, 2007. [Google Scholar]
- Khoi, D.N.; Thom, V.T. Parameter uncertainty analysis for simulating streamflow in a river catchment of Vietnam. Glob. Ecol. Conserv. 2015, 4, 538–548. [Google Scholar] [CrossRef]
- Wu, H.; Chen, B. Evaluating uncertainty estimates in distributed hydrological modeling for the wenjing river watershed in china by Glue, Sufi-2, and Parasol methods. Ecol. Eng. 2015, 76, 110–121. [Google Scholar] [CrossRef]
- Tang, X.; Zhang, J.; Wang, G.; Jin, J.; Liu, C.; Liu, Y.; He, R.; Bao, Z. Uncertainty analysis of swat modeling in the lancang river basin using four different algorithms. Water 2021, 13, 341. [Google Scholar] [CrossRef]
- Karamouz, M.; Zahraie, B.; Kerachian, R. Development of a Master Plan for Water Pollution Control Using MCDM Techniques: A Case Study. Int. Water Resour. Assoc. 2009, 28, 478–490. [Google Scholar] [CrossRef]
- Raju, K.S.; Kumar, D.N. Ranking general circulation models for India using TOPSIS. J. Water Clim. Chang. 2015, 6, 288–299. [Google Scholar] [CrossRef]
- Islam, S.; Abdullah, R.A.B.; Tirth, V.; Shahid, S.; Algarni, S.; HIrol, H. Evaluation of mass transfer evapotranspiration models under semi-arid conditions using the MCDM approach. Appl. Ecol. Environ. Res. 2020, 18, 6355–6375. [Google Scholar] [CrossRef]
- Chang, C.L.; Lin, Y.T. Using the VIKOR method to evaluate the design of a water quality monitoring network in a watershed. Int. J. Environ. Sci. Technol. 2014, 11, 303–310. [Google Scholar] [CrossRef]
- Kim, Y.; Chung, E.-S. Robust Prioritization of Climate Change Adaptation Strategies Using the VIKOR Method with Objective Weights. JAWRA J. Am. Water Resour. Assoc. 2015, 51, 1167–1182. [Google Scholar] [CrossRef]
- Golfam, P.; Ashofteh, P.; Rajaee, T.; Chu, X. Prioritization of Water Allocation for Adaptation to Climate Change Using Multi-Criteria DecisionMaking (MCDM). Water Resour. Manag. 2017, 33, 3401–3416. [Google Scholar] [CrossRef]
- Bhattacharya, R.K.; Chatterjee, N.D.; Das, K. Sub-basin prioritization for assessment of soil erosion susceptibility in Kangsabati, a plateau basin: A comparison between MCDM and SWAT models. Sci. Total Environ. 2020, 734, 139474. [Google Scholar] [CrossRef] [PubMed]
- Neitsch, S.L.; Arnold, J.G.; Kiniry, J.R.; Williams, J.R. Soil and Water Assessment Tool Theoretical Documentation Version 2009; Texas Water Resources Institute Technical Report No. 406; Texas A&M University: College Station, TX, USA, 2011. [Google Scholar]
- Abbaspour, K.C.; Yang, J.; Maximov, I.; Siber, R.; Bogner, K.; Mieleitner, J.; Zobrist, J.; Srinivasan, R. Modelling hydrology and water quality in the pre-alpine/alpine Thur watershed using SWAT. J. Hydrol. 2007, 333, 413–430. [Google Scholar] [CrossRef]
- Odu, G. Weighting methods for multi-criteria decision making technique. J. Appl. Sci. Environ. Manag. 2019, 23, 1449. [Google Scholar] [CrossRef]
- Kackar, R.N. Off-line quality control, parameter design and the Taguchi method. J. Qual. Technol. 1985, 17, 176–188. [Google Scholar] [CrossRef]
- Gesch, D.B.; Oimoen, M.J.; Evans, G.A. Accuracy Assessment of the U.S. Geological Survey National Elevation Dataset, and Comparison with Other Large-Area Elevation Datasets—SRTM and ASTER; U.S. Geological Survey: Gainesville, FL, USA, 2014. [Google Scholar]
- Maune, D.F.; Maitra, J.B.; McKay, E.J. Accuracy Standards and Guidelines. In Digital Elevation Model Technologies, and Applications—The DEM User’s Manual, 2nd ed.; Maune, D., Ed.; American Society for Photogrammetry and Remote Sensing: Bethesda, MD, USA, 2007; pp. 65–97. [Google Scholar]
- Das, B.; Jain, S.; Singh, S.; Thakur, P. Evaluation of multisite performance of SWAT model in the Gomti River Basin, India. Appl. Water Sci. 2019, 9, 134. [Google Scholar] [CrossRef]
- National Resources Conservation Service—United States Department of Agriculture. Available online: https://www.nrcs.usda.gov/ (accessed on 8 September 2022).
- Tomer, M.D.; James, D.E. Do soil surveys and terrain analyses identify similar priority sites for conservation? Soil Sci. Soc. Am. J. 2004, 68, 1905–1915. [Google Scholar] [CrossRef]
- Tomer, M.D.; James, D.E.; Isenhart, T.M. Optimizing the placement of riparian practices in a watershed using terrain analysis. J. Soil Water Conserv. 2003, 58, 198–206. [Google Scholar]


















| Watersheds | ||||
|---|---|---|---|---|
| Category | Peachtree | Little River | Baron Fork | South Fork | 
| State | Georgia | Georgia | Oklahoma-Arkansas | Iowa | 
| Climate * | Warm Temperate Moist | Tropical Moist | Warm Temperate Moist | Cool Temperate Moist | 
| Slope ** (m) | 152–−305 (moderate) | 0–−152 (mild) | 305–−610 (steep) | 152–−305 (moderate) | 
| Area (km2) | 211.84 | 301.87 | 792.76 | 638.36 | 
| MAP (mm) | 1200 | 1200 | 1118 | 750 | 
| S.No. | DEM Sources | LULC Sources | Precipitation Sources | 
|---|---|---|---|
| 1 | USGS | NLCD | Gage * | 
| 2 | SRTM | CCDC | CFSR | 
| 3 | ASTER | GAP | TRMM satellite | 
| S.No. | DEM | LULC | Precipitation | S.No. | DEM | LULC | Precipitation | 
|---|---|---|---|---|---|---|---|
| 1 | USGS | NLCD | Gage | 10 | USGS | NLCD | CFSR | 
| 2 | SRTM | CCDC | Gage | 11 | SRTM | CCDC | CFSR | 
| 3 | ASTER | GAP | Gage | 12 | ASTER | GAP | CFSR | 
| 4 | USGS | NLCD | Gage | 13 | USGS | NLCD | CFSR | 
| 5 | SRTM | CCDC | Gage | 14 | SRTM | CCDC | CFSR | 
| 6 | ASTER | GAP | Gage | 15 | ASTER | GAP | CFSR | 
| 7 | USGS | NLCD | Gage | 16 | USGS | NLCD | CFSR | 
| 8 | SRTM | CCDC | Gage | 17 | SRTM | CCDC | CFSR | 
| 9 | ASTER | GAP | Gage | 18 | ASTER | GAP | CFSR | 
| S.No. | DEM | LULC | Precipitation | - | - | - | - | 
| 19 | USGS | NLCD | TRMM | - | - | - | - | 
| 20 | SRTM | CCDC | TRMM | - | - | - | - | 
| 21 | ASTER | GAP | TRMM | - | - | - | - | 
| 22 | USGS | NLCD | TRMM | - | - | - | - | 
| 23 | SRTM | CCDC | TRMM | - | - | - | - | 
| 24 | ASTER | GAP | TRMM | - | - | - | - | 
| 25 | USGS | NLCD | TRMM | - | - | - | - | 
| 26 | SRTM | CCDC | TRMM | - | - | - | - | 
| 27 | ASTER | GAP | TRMM | - | - | - | - | 
| S.No. | Parameter | Description of Parameter | 
|---|---|---|
| 1. | CN2.mgt | SCS runoff curve number | 
| 2. | REVAP_MN.gw | Threshold depth of water in the shallow aquifer for “revap” to occur (mm) | 
| 3. | ALPHA_BF.gw | Baseflow alpha-factor (days) | 
| 4. | GW_DELAY.gw | Groundwater delay (days) | 
| 5. | GW_QMN.gw | Threshold depth of water in the shallow aquifer required for return flow to occur (mm) | 
| 6. | ESCO.bsn | Plant uptake compensation factor | 
| 7. | GW_REVAP.gw | Groundwater “revap” coefficient | 
| 8. | RCHRG_DP.gw | Deep aquifer percolation fraction | 
| 9. | SOL_AWC.sol | Available water capacity of the soil layer (mm H2O/mm soil) | 
| Publisher’s Note: MDPI stays neutral with regard to jurisdictional claims in published maps and institutional affiliations. | 
© 2022 by the authors. Licensee MDPI, Basel, Switzerland. This article is an open access article distributed under the terms and conditions of the Creative Commons Attribution (CC BY) license (https://creativecommons.org/licenses/by/4.0/).
Share and Cite
Chordia, J.; Panikkar, U.R.; Srivastav, R.; Shaik, R.U. Uncertainties in Prediction of Streamflows Using SWAT Model—Role of Remote Sensing and Precipitation Sources. Remote Sens. 2022, 14, 5385. https://doi.org/10.3390/rs14215385
Chordia J, Panikkar UR, Srivastav R, Shaik RU. Uncertainties in Prediction of Streamflows Using SWAT Model—Role of Remote Sensing and Precipitation Sources. Remote Sensing. 2022; 14(21):5385. https://doi.org/10.3390/rs14215385
Chicago/Turabian StyleChordia, Jay, Urmila R. Panikkar, Roshan Srivastav, and Riyaaz Uddien Shaik. 2022. "Uncertainties in Prediction of Streamflows Using SWAT Model—Role of Remote Sensing and Precipitation Sources" Remote Sensing 14, no. 21: 5385. https://doi.org/10.3390/rs14215385
APA StyleChordia, J., Panikkar, U. R., Srivastav, R., & Shaik, R. U. (2022). Uncertainties in Prediction of Streamflows Using SWAT Model—Role of Remote Sensing and Precipitation Sources. Remote Sensing, 14(21), 5385. https://doi.org/10.3390/rs14215385
 
        



 
       