Terrestrial Laser Scanning in Assessing the Effect of Different Thinning Treatments on the Competition of Scots Pine (Pinus sylvestris L.) Forests
Abstract
1. Introduction
2. Materials and Methods
2.1. Study Site
2.2. Designing Thinning Experiments
2.3. Terrestrial Laser Scanning Point Cloud Data
2.3.1. Deriving Individual Tree Structural Metrics from Point Clouds
2.3.2. Computation of Competition Indices
2.4. Statistical Analyses
3. Results
3.1. Descriptive Statistics
3.2. Individual Tree Competitiveness
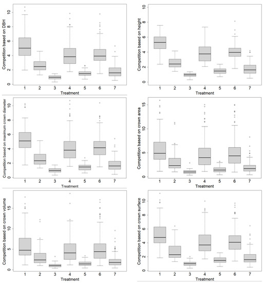
3.3. The Effect of Thinning Treatments on CIs
4. Discussion
5. Conclusions
Author Contributions
Funding
Data Availability Statement
Conflicts of Interest
References
- Lang, A.C.; Härdtle, W.; Bruelheide, H.; Geißler, C.; Nadrowski, K.; Schuldt, A.; Yu, M.; von Oheimb, G. Tree Morphology Responds to Neighbourhood Competition and Slope in Species-Rich Forests of Subtropical China. For. Ecol. Manag. 2010, 260, 1708–1715. [Google Scholar] [CrossRef]
- Yrttimaa, T.; Saarinen, N.; Kankare, V.; Hynynen, J.; Huuskonen, S.; Holopainen, M.; Hyyppä, J.; Vastaranta, M. Performance of Terrestrial Laser Scanning to Characterize Managed Scots Pine (Pinus Sylvestris L.) Stands Is Dependent on Forest Structural Variation. ISPRS J. Photogramm. Remote Sens. 2020, 168, 277–287. [Google Scholar] [CrossRef]
- Ma, Q.; Su, Y.; Tao, S.; Guo, Q. Quantifying Individual Tree Growth and Tree Competition Using Bi-Temporal Airborne Laser Scanning Data: A Case Study in the Sierra Nevada Mountains, California. Int. J. Digit. Earth 2018, 11, 485–503. [Google Scholar] [CrossRef]
- Wainwright, J.; Mulligan, M. (Eds.) Environmental Modelling: Finding Simplicity in Complexity; Wiley and John & Sons: Hoboken, NJ, USA, 2013. [Google Scholar]
- Perry, D.A. Trees Crop Plants; Institute of Terrestrial Ecology: Kendal, UK, 1985. [Google Scholar]
- Pretzsch, H. Growing Space and Competitive Situation of Individual Trees. In Forest Dynamics, Growth and Yield; Springer: Berlin/Heidelberg, Germany, 2009; pp. 291–336. [Google Scholar]
- Cordonnier, T.; Kunstler, G. The Gini Index Brings Asymmetric Competition to Light. Perspect. Plant Ecol. Evol. Syst. 2015, 17, 107–115. [Google Scholar] [CrossRef]
- Forrester, D.I. Linking Forest Growth with Stand Structure: Tree Size Inequality, Tree Growth or Resource Partitioning and the Asymmetry of Competition. For. Ecol. Manag. 2019, 447, 139–157. [Google Scholar] [CrossRef]
- Weiner, J. Asymmetric Competition in Plant Populations. Trends Ecol. Evol. 1990, 5, 360–364. [Google Scholar] [CrossRef]
- Bataineh, M.; Childs, E. Competition Effects on Growth and Crown Dimensions of Shortleaf and Loblolly Pine in Mature, Natural-Origin, Pine–Hardwood Mixtures of the Upper West Gulf Coastal Plain of Arkansas, USA: A Neighborhood Analysis. Forests 2021, 12, 935. [Google Scholar] [CrossRef]
- Thorpe, H.C.; Astrup, R.; Trowbridge, A.; Coates, K.D. Competition and Tree Crowns: A Neighborhood Analysis of Three Boreal Tree Species. For. Ecol. Manag. 2010, 259, 1586–1596. [Google Scholar] [CrossRef]
- Pitkänen, T.P.; Bianchi, S.; Kangas, A. Quantifying the Effects of Competition on the Dimensions of Scots Pine and Norway Spruce Crowns. Int. J. Appl. Earth Obs. Geoinf. 2022, 112, 102941. [Google Scholar] [CrossRef]
- Pont, D.; Dungey, H.S.; Suontama, M.; Stovold, G.T. Spatial Models with Inter-Tree Competition from Airborne Laser Scanning Improve Estimates of Genetic Variance. Front. Plant Sci. 2021, 11, 596315. [Google Scholar] [CrossRef]
- Versace; Gianelle; Frizzera; Tognetti; Garfì; Dalponte Prediction of Competition Indices in a Norway Spruce and Silver Fir-Dominated Forest Using Lidar Data. Remote Sens. 2019, 11, 2734. [CrossRef]
- Coonen, E.J.; Sillett, S.C. Separating Effects of Crown Structure and Competition for Light on Trunk Growth of Sequoia Sempervirens. For. Ecol. Manag. 2015, 358, 26–40. [Google Scholar] [CrossRef]
- Burkhart, H.E.; Tomé, M. Modeling Forest Trees and Stands; Springer: Dordrecht, The Netherlands, 2012; ISBN 978-94-007-1597-4. [Google Scholar]
- Biging, G.S.; Dobbertin, M. Evaluation of Competition Indices in Individual Tree Growth Models. For. Sci. 1995, 41, 360–377. [Google Scholar]
- Tomé, M.; Burkhart, H.E. Distance-Dependent Competition Measures for Predicting Growth of Individual Trees. For. Sci. 1989, 35, 816–831. [Google Scholar]
- Assmann, E. The Principles of Forest Yield Study; Pergamon Press: Oxford, UK, 1970; p. 56. [Google Scholar]
- Larson, P.R. Formation and Properties of Juvenile Wood in Southern Pines: A Synopsis (Vol. 129); US Department of Agriculture, Forest Service, Forest Products Laboratory: Madison, WI, USA, 2001.
- Del Río, M.; Bravo-Oviedo, A.; Pretzsch, H.; Löf, M.; Ruiz-Peinado, R. A Review of Thinning Effects on Scots Pine Stands: From Growth and Yield to New Challenges under Global Change. For. Syst. 2017, 26, eR03S. [Google Scholar] [CrossRef]
- Ashton, M.S.; Kelty, M.J. The Practice of Silviculture: Applied Forest Ecology; Wiley and John & Sons: Hoboken, NJ, USA, 2018. [Google Scholar]
- Jonard, M.; Misson, L.; Ponette, Q. Long-Term Thinning Effects on the Forest Floor and the Foliar Nutrient Status of Norway Spruce Stands in the Belgian Ardennes. Can. J. For. Res. 2006, 36, 2684–2695. [Google Scholar] [CrossRef]
- Niemistö, P.; Kilpeläinen, H.; Poutiainen, E. Effect of First Thinning Type and Age on Growth, Stem Quality and Financial Performance of a Scots Pine Stand in Finland. Silva Fenn. 2018, 52, 21. [Google Scholar] [CrossRef]
- Mäkinen, H.; Isomäki, A. Thinning Intensity and Long-Term Changes in Increment and Stem Form of Norway Spruce Trees. For. Ecol. Manag. 2004, 201, 295–309. [Google Scholar] [CrossRef]
- Cameron, A.D. Importance of Early Selective Thinning in the Development of Long-Term Stand Stability and Improved Log Quality: A Review. Forestry 2002, 75, 25–35. [Google Scholar] [CrossRef]
- Ammer, C. Unraveling the Importance of Inter- and Intraspecific Competition for the Adaptation of Forests to Climate Change; Springer: Cham, Switzerland, 2016; pp. 345–367. [Google Scholar]
- Sohn, J.A.; Saha, S.; Bauhus, J. Potential of Forest Thinning to Mitigate Drought Stress: A Meta-Analysis. For. Ecol. Manag. 2016, 380, 261–273. [Google Scholar] [CrossRef]
- Giuggiola, A.; Bugmann, H.; Zingg, A.; Dobbertin, M.; Rigling, A. Reduction of Stand Density Increases Drought Resistance in Xeric Scots Pine Forests. For. Ecol. Manag. 2013, 310, 827–835. [Google Scholar] [CrossRef]
- Boczoń, A. Effect of thinning on evaporation of scots pine forest. Appl. Ecol. Environ. Res. 2016, 14, 367–379. [Google Scholar] [CrossRef]
- Knoche, D. Effects of Stand Conversion by Thinning and Underplanting on Water and Element Fluxes of a Pine Ecosystem (P. Sylvestris L.) on Lignite Mine Spoil. For. Ecol. Manag. 2005, 212, 214–220. [Google Scholar] [CrossRef]
- Pretzsch, H.; Rais, A. Wood Quality in Complex Forests versus Even-Aged Monocultures: Review and Perspectives. Wood Sci. Technol. 2016, 50, 845–880. [Google Scholar] [CrossRef]
- Mette, T.; Falk, W.; Uhl, E.; Biber, P.; Pretzsch, H. Increment Allocation along the Stem Axis of Dominant and Suppressed Trees in Reaction to Drought-Results from 123 Stem Analyses of Norway Spruce, Scots Pine and European Beech. Austrian J. For. Sci. 2015, 132, 185–254. [Google Scholar]
- Fahlvik, N.; Ekö, P.-M.; Pettersson, N. Influence of Precommercial Thinning Grade on Branch Diameter and Crown Ratio in Pinus Sylvestris in Southern Sweden. Scand. J. For. Res. 2005, 20, 243–251. [Google Scholar] [CrossRef]
- Persson, B.; Persson, A.; Ståhl, E.G.; Karlmats, U. Wood Quality of Pinus Sylvestris Progenies at Various Spacings. For. Ecol. Manag. 1995, 76, 127–138. [Google Scholar] [CrossRef]
- Tamminen, P.; Saarsalmi, A.; Smolander, A.; Kukkola, M.; Helmisaari, H.-S. Effects of Logging Residue Harvest in Thinnings on Amounts of Soil Carbon and Nutrients in Scots Pine and Norway Spruce Stands. For. Ecol. Manag. 2012, 263, 31–38. [Google Scholar] [CrossRef]
- Valinger, E.; Elfving, B.; Mörling, T. Twelve-Year Growth Response of Scots Pine to Thinning and Nitrogen Fertilisation. For. Ecol. Manag. 2000, 134, 45–53. [Google Scholar] [CrossRef]
- Torras, O.; Saura, S. Effects of Silvicultural Treatments on Forest Biodiversity Indicators in the Mediterranean. For. Ecol. Manag. 2008, 255, 3322–3330. [Google Scholar] [CrossRef]
- Ferris, R.; Pritchard, E.K. Risks Associated with Measures to Enhance Biodiversity in European Scots Pine Forests. For. Syst. 2000, 9, 255–272. [Google Scholar]
- Buckner, E.R.; Meadows, J.S. An Index of Competition Based on Relative Crown Position and Size. Gen. Technol. Rep. SRS 1995, 1, 172. [Google Scholar]
- Jimenez-Perez, J.; Aguirre-Calderon, O.; Kramer, H. Tree Crown Structure Indicators in a Natural Uneven-Aged Mixed Coniferous Forest in Northeastern Mexico. In Aguirre-Bravo; Pellicane, C., Patrick, J., Burns, D.P., Draggan, S., Eds.; Monitoring Science and Technology Symposium: Unifying Knowledge for Sustainability in the Western Hemisphere Proceedings RMRS-P-42CD; US Department of Agriculture, Forest Service, Rocky Mountain Research Station: Fort Collins, CO, USA, 2006; Volume 42, pp. 649–654. [Google Scholar]
- Popescu, S.C.; Zhao, K. A Voxel-Based Lidar Method for Estimating Crown Base Height for Deciduous and Pine Trees. Remote Sens. Environ. 2008, 112, 767–781. [Google Scholar] [CrossRef]
- Jung, S.-E.; Kwak, D.-A.; Park, T.; Lee, W.-K.; Yoo, S. Estimating Crown Variables of Individual Trees Using Airborne and Terrestrial Laser Scanners. Remote Sens. 2011, 3, 2346–2363. [Google Scholar] [CrossRef]
- Poorazimy, M.; Ronoud, G.; Yu, X.; Luoma, V.; Hyyppä, J.; Saarinen, N.; Kankare, V.; Vastaranta, M. Feasibility of Bi-Temporal Airborne Laser Scanning Data in Detecting Species-Specific Individual Tree Crown Growth of Boreal Forests. Remote Sens. 2022, 14, 4845. [Google Scholar] [CrossRef]
- Xue, X.; Jin, S.; An, F.; Zhang, H.; Fan, J.; Eichhorn, M.P.; Jin, C.; Chen, B.; Jiang, L.; Yun, T. Shortwave Radiation Calculation for Forest Plots Using Airborne LiDAR Data and Computer Graphics. Plant Phenomics 2022, 2022, 9856739. [Google Scholar] [CrossRef]
- Kankare, V.; Saarinen, N.; Pyörälä, J.; Yrttimaa, T.; Hynynen, J.; Huuskonen, S.; Hyyppä, J.; Vastaranta, M. Assessing the Dependencies of Scots Pine (Pinus Sylvestris L.) Structural Characteristics and Internal Wood Property Variation. Forests 2022, 13, 397. [Google Scholar] [CrossRef]
- Liang, X.; Kankare, V.; Hyyppä, J.; Wang, Y.; Kukko, A.; Haggrén, H.; Yu, X.; Kaartinen, H.; Jaakkola, A.; Guan, F.; et al. Terrestrial Laser Scanning in Forest Inventories. ISPRS J. Photogramm. Remote Sens. 2016, 115, 63–77. [Google Scholar] [CrossRef]
- Luoma, V.; Yrttimaa, T.; Kankare, V.; Saarinen, N.; Pyörälä, J.; Kukko, A.; Kaartinen, H.; Hyyppä, J.; Holopainen, M.; Vastaranta, M. Revealing Changes in the Stem Form and Volume Allocation in Diverse Boreal Forests Using Two-Date Terrestrial Laser Scanning. Forests 2021, 12, 835. [Google Scholar] [CrossRef]
- Bayer, D.; Seifert, S.; Pretzsch, H. Structural Crown Properties of Norway Spruce (Picea Abies [L.] Karst.) and European Beech (Fagus Sylvatica [L.]) in Mixed versus Pure Stands Revealed by Terrestrial Laser Scanning. Trees 2013, 27, 1035–1047. [Google Scholar] [CrossRef]
- Holopainen, M.; Vastaranta, M.; Kankare, V.; Räty, M.; Vaaja, M.; Liang, X.; Yu, X.; Hyyppä, J.; Hyyppä, H.; Viitala, R.; et al. Biomass estimation of individual trees using stem and crown diameter tls measurements. Int. Arch. Photogramm. Remote Sens. Spat. Inf. Sci. 2012, XXXVIII-5, 91–95. [Google Scholar] [CrossRef]
- Yrttimaa, T.; Luoma, V.; Saarinen, N.; Kankare, V.; Junttila, S.; Holopainen, M.; Hyyppä, J.; Vastaranta, M. Exploring Tree Growth Allometry Using Two-Date Terrestrial Laser Scanning. For. Ecol. Manage. 2022, 518, 120303. [Google Scholar] [CrossRef]
- Burkardt, K.; Pettenkofer, T.; Ammer, C.; Gailing, O.; Leinemann, L.; Seidel, D.; Vor, T. Influence of Heterozygosity and Competition on Morphological Tree Characteristics of Quercus Rubra L.: A New Single-Tree Based Approach. New For. 2021, 52, 679–695. [Google Scholar] [CrossRef]
- Höwler, K.; Annighöfer, P.; Ammer, C.; Seidel, D. Competition Improves Quality-Related External Stem Characteristics of Fagus Sylvatica. Can. J. For. Res. 2017, 47, 1603–1613. [Google Scholar] [CrossRef]
- Lin, C.; Thomson, G.; Popescu, S. An IPCC-Compliant Technique for Forest Carbon Stock Assessment Using Airborne LiDAR-Derived Tree Metrics and Competition Index. Remote Sens. 2016, 8, 528. [Google Scholar] [CrossRef]
- Metz, J.; Seidel, D.; Schall, P.; Scheffer, D.; Schulze, E.-D.; Ammer, C. Crown Modeling by Terrestrial Laser Scanning as an Approach to Assess the Effect of Aboveground Intra- and Interspecific Competition on Tree Growth. For. Ecol. Manag. 2013, 310, 275–288. [Google Scholar] [CrossRef]
- Calders, K.; Adams, J.; Armston, J.; Bartholomeus, H.; Bauwens, S.; Bentley, L.P.; Chave, J.; Danson, F.M.; Demol, M.; Disney, M.; et al. Terrestrial Laser Scanning in Forest Ecology: Expanding the Horizon. Remote Sens. Environ. 2020, 251, 112102. [Google Scholar] [CrossRef]
- Saarinen, N.; Kankare, V.; Yrttimaa, T.; Viljanen, N.; Honkavaara, E.; Holopainen, M.; Hyyppä, J.; Huuskonen, S.; Hynynen, J.; Vastaranta, M. Assessing the Effects of Thinning on Stem Growth Allocation of Individual Scots Pine Trees. For. Ecol. Manag. 2020, 474, 118344. [Google Scholar] [CrossRef]
- Cajander, A.K. Ueber Waldtypen. Acta For. Fenn. 1909, 1, 1–17. [Google Scholar]
- Ritter, T.; Schwarz, M.; Tockner, A.; Leisch, F.; Nothdurft, A. Automatic Mapping of Forest Stands Based on Three-Dimensional Point Clouds Derived from Terrestrial Laser-Scanning. Forests 2017, 8, 265. [Google Scholar] [CrossRef]
- Isenburg, M. LAStools—Efficient LiDAR Processing Software, (Version 181001 Academic); Rapidlasso GmbH: Gilching, Germany, 2019. [Google Scholar]
- Popescu, S.C.; Wynne, R.H. Seeing the Trees in the Forest. Photogramm. Eng. Remote Sens. 2004, 70, 589–604. [Google Scholar] [CrossRef]
- Meyer, F.; Beucher, S. Morphological Segmentation. J. Vis. Commun. Image Represent. 1990, 1, 21–46. [Google Scholar] [CrossRef]
- Yrttimaa, T. Automatic Point Cloud Processing Tools to Characterize Trees (Point-Cloud-Tools: V1.0.1); Zenodo: Geneva, Switzerland, 2021. [Google Scholar] [CrossRef]
- Yrttimaa, T.; Saarinen, N.; Kankare, V.; Liang, X.; Hyyppä, J.; Holopainen, M.; Vastaranta, M. Investigating the Feasibility of Multi-Scan Terrestrial Laser Scanning to Characterize Tree Communities in Southern Boreal Forests. Remote Sens. 2019, 11, 1423. [Google Scholar] [CrossRef]
- Saarinen, N.; Kankare, V.; Vastaranta, M.; Luoma, V.; Pyörälä, J.; Tanhuanpää, T.; Liang, X.; Kaartinen, H.; Kukko, A.; Jaakkola, A.; et al. Feasibility of Terrestrial Laser Scanning for Collecting Stem Volume Information from Single Trees. ISPRS J. Photogramm. Remote Sens. 2017, 123, 140–158. [Google Scholar] [CrossRef]
- Silva, C.A.; Klauberg, C.; Mohan, M.M.; Bright, B.C. LiDAR Analysis in R and RLiDAR for Forestry Applications. Lidar Remote Sens. Environ. Monit. 2018, 404, 1–90. [Google Scholar]
- Fernández-Sarría, A.; Martínez, L.; Velázquez-Martí, B.; Sajdak, M.; Estornell, J.; Recio, J.A. Different Methodologies for Calculating Crown Volumes of Platanus Hispanica Trees Using Terrestrial Laser Scanner and a Comparison with Classical Dendrometric Measurements. Comput. Electron. Agric. 2013, 90, 176–185. [Google Scholar] [CrossRef]
- Hegyi, F. A Simulation Model for Managing Jack-Pine Standssimulation. R. Res. Notes 1974, 30, 74–90. [Google Scholar]
- Zhou, M.; Lei, X.; Lu, J.; Gao, W.; Zhang, H. Comparisons of Competitor Selection Approaches for Spatially Explicit Competition Indices of Natural Spruce-Fir-Broadleaf Mixed Forests. Eur. J. For. Res. 2022, 141, 177–211. [Google Scholar] [CrossRef]
- Pedersen, R.Ø.; Bollandsås, O.M.; Gobakken, T.; Næsset, E. Deriving Individual Tree Competition Indices from Airborne Laser Scanning. For. Ecol. Manag. 2012, 280, 150–165. [Google Scholar] [CrossRef]
- Mehtätalo, L.; Lappi, J. Biometry for Forestry and Environmental Data; Chapman and Hall/CRC: Boca Raton, FL, USA, 2020; ISBN 9780429173462. [Google Scholar]
- Pinheiro, J.; Bates, D.; DebRoy, S.; Sarkar, D. R Core Team. Nlme: Linear and Nonlinear Mixed Effects Models. R Package Version 3.1-117; R Core Team: Vienna, Austria, 2014. [Google Scholar]
- Baniya, B.; Mandal, R.A. Assessment of Plant Competition and Tree Typical Crown Area in Thinned and Unthinned Stands of Community Managed Pine Plantation. Ann. Archaeol. 2018, 1, 42–47. [Google Scholar]
- Dippel, M. Evaluation of a Nelder-Design Scotch Pine Spacing Experiment in the Forest District Walsrode [Lower Saxony, Germany, FR]. [Thesis Shortened Version]; Allgemeine Forst und Jagdzeitung: Lower Saxony, Germany, 1982. [Google Scholar]
- Spellmann, H.; Nagel, J. Auswertung Des Nelder-Pflanzverbandsversuches Mit Kiefer Im Forstamt Walsrode. Allg. Forst-Und Jagdztg. 1992, 163, 221–229. [Google Scholar]
- Forrester, D.I.; Theiveyanathan, S.; Collopy, J.J.; Marcar, N.E. Enhanced Water Use Efficiency in a Mixed Eucalyptus Globulus and Acacia Mearnsii Plantation. For. Ecol. Manag. 2010, 259, 1761–1770. [Google Scholar] [CrossRef]
- Brassard, B.W.; Chen, H.Y.H.; Cavard, X.; Laganière, J.; Reich, P.B.; Bergeron, Y.; Paré, D.; Yuan, Z. Tree Species Diversity Increases Fine Root Productivity through Increased Soil Volume Filling. J. Ecol. 2013, 101, 210–219. [Google Scholar] [CrossRef]
- Pukkala, T.; Miina, J.; Kellomäki, S. Response to Different Thinning Intensities in Young Pinus Sylvestris. Scand. J. For. Res. 1998, 13, 141–150. [Google Scholar] [CrossRef]
- del Río, M.; Calama, R.; Cañellas, I.; Roig, S.; Montero, G. Thinning Intensity and Growth Response in SW-European Scots Pine Stands. Ann. For. Sci. 2008, 65, 308. [Google Scholar] [CrossRef]
- Canham, C.D.; Coates, K.D.; Bartemucci, P.; Quaglia, S. Measurement and Modeling of Spatially Explicit Variation in Light Transmission through Interior Cedar-Hemlock Forests of British Columbia. Can. J. For. Res. 1999, 29, 1775–1783. [Google Scholar] [CrossRef]
- Wright, E.F.; Coates, K.D.; Canham, C.D.; Bartemucci, P. Species Variability in Growth Response to Light across Climatic Regions in Northwestern British Columbia. Can. J. For. Res. 1998, 28, 871–886. [Google Scholar] [CrossRef]
- Liang, X.; Hyyppä, J.; Kaartinen, H.; Lehtomäki, M.; Pyörälä, J.; Pfeifer, N.; Holopainen, M.; Brolly, G.; Francesco, P.; Hackenberg, J.; et al. International Benchmarking of Terrestrial Laser Scanning Approaches for Forest Inventories. ISPRS J. Photogramm. Remote Sens. 2018, 144, 137–179. [Google Scholar] [CrossRef]
- Bianchi, S.; Huuskonen, S.; Hynynen, J.; Siipilehto, J.; Niemistö, P. Tree-Level Differences in Norway Spruce and Scots Pine Growth after Extreme Thinning Treatments. Scand. J. For. Res. 2022, 37, 109–118. [Google Scholar] [CrossRef]
- ERIKSSON, E. Thinning Operations and Their Impact on Biomass Production in Stands of Norway Spruce and Scots Pine. Biomass Bioenergy 2006, 30, 848–854. [Google Scholar] [CrossRef]
- Hyytiäinen, K.; Tahvonen, O. Economics of Forest Thinnings and Rotation Periods for Finnish Conifer Cultures. Scand. J. For. Res. 2002, 17, 274–288. [Google Scholar] [CrossRef]




| Before Thinning (2005–2006) | ||||
|---|---|---|---|---|
| No Treatment | Thinning from Below (Moderate/Intensive) | Thinning from Above (Moderate/Intensive) | Systematic Thinning (Moderate/Intensive) | |
| G (m2/ha) | 27.6 | 26.9/26.9 | 27.8/24.7 | 25.4/26.0 |
| N/ha | 1336 | 1285/1260 | 1417/1201 | 1256/1218 |
| V (m3/ha) | 224.4 | 215.4/216.6 | 216.9/191.0 | 199.7/210.6 |
| Dw (cm) | 17.8 | 17.5/18.0 | 17.3/17.6 | 17.5/18.0 |
| Hw (m) | 16.1 | 16.1/16.3 | 15.9/15.6 | 15.9/16.2 |
| After thinning (2005–2006) | ||||
| No Treatment | Thinning from Below (Moderate/Intensive) | Thinning from Above (Moderate/Intensive) | Systematic Thinning (Moderate/Intensive) | |
| G (m2/ha) | 27.6 | 18.3/8.9 | 18.5/9.1 | 18.2/8.7 |
| N/ha | 1336 | 719/292 | 955/479 | 988/522 |
| V (m3/ha) | 224.4 | 148.8/72.9 | 144.0/69.1 | 141.3/67.3 |
| Dw (cm) | 17.8 | 18.7/20.4 | 16.9/16.5 | 16.5/15.7 |
| Hw (m) | 16.1 | 16.5/16.9 | 15.7/15.3 | 15.6/15.5 |
| After growth period (2018–2019) | ||||
| No Treatment | Thinning from Below (Moderate/Intensive) | Thinning from Above (Moderate/Intensive) | Systematic Thinning (Moderate/Intensive) | |
| G (m2/ha) | 37.1 | 28.4/15.9 | 28.3/16.1 | 27.6/15.9 |
| N/ha | 1249 | 705/286 | 915/446 | 937/466 |
| V (m3/ha) | 380.3 | 291.8/160.8 | 282.3/150.5 | 267.9/150.4 |
| Dw (cm) | 21.2 | 23.5/27.5 | 21.2/22.3 | 20.7/22.2 |
| Hw (m) | 21.3 | 21.7/21.6 | 21.0/19.5 | 20.3/20.0 |
| Metric (Unit) | Description/Calculation |
|---|---|
| XY Location (m) | Center of a vertical cylinder fitted into stem points around the breast height |
| DBH (cm) | Diameter at breast height (1.3 m) of the individual trees obtained from taper curve |
| Height (m) | The maximum height of individual tree point cloud |
| Maximum crown diameter (m) | Maximum crown diameter based on the 2D convex hull |
| Crown projection area (m2) | Area of the crown 2D convex hull projected onto XY plane |
| Crown volume (m3) | Volume of the 3D convex hull enveloping crown points |
| Crown surface area (m2) | Surface area enveloping crown points based on the 3D convex hull |
| TLS Metrics | Statistics | No Treatment | Thinning from Below (Moderate/Intensive) | Thinning from Above (Moderate/Intensive) | Systematic Thinning (Moderate/Intensive) |
|---|---|---|---|---|---|
| DBH (cm) | Min | 8 | 12.6/17.9 | 9.6/13.4 | 7.5/10.9 |
| Mean | 18.6 | 22.1/3 | 19.2/20.9 | 18.7/20.2 | |
| Max | 33.7 | 33.2/36.3 | 31.3/30.8 | 32.9/30.4 | |
| Std | 4.8 | 3.5/3.8 | 4.1/3.3 | 4.1/4.1 | |
| H (m) | Min | 3.6 | 3.9/17.4 | 15.1/15.1 | 8.4/13.4 |
| Mean | 19.7 | 20.7/20.8 | 20.1/18.8 | 19.2/18.5 | |
| Max | 28.3 | 25.7/25.2 | 25.4/23.2 | 25.6/23.7 | |
| Std | 3 | 2.1/1.9 | 1.6/1.6 | 2.2/2.5 | |
| MCD (m) | Min | 0.7 | 1/3 | 1.2/2.1 | 0.5/1.5 |
| Mean | 3.1 | 3.9/5.1 | 3.5/4.1 | 3.5/3.9 | |
| Max | 6.7 | 6.5/7.5 | 6.4/6 | 7.1/7.1 | |
| Std | 0.9 | 1.1/0.9 | 0.9/0.7 | 1/0.8 | |
| CA (m2) | Min | 0.2 | 1/6.8 | 1/3.9 | 1/1.8 |
| Mean | 6.4 | 10.8/18.2 | 8.9/12 | 8.3/11 | |
| Max | 25.4 | 24.7/42.4 | 24.8/25 | 27.7/29.7 | |
| Std | 3.6 | 5.3/6.2 | 4.5/4.8 | 4.4/4.7 | |
| CV (m3) | Min | 0.67 | 1/46.2 | 5.5/24.6 | 1/10.2 |
| Mean | 54.3 | 89.56/150.6 | 69.1/85.7 | 63.9/78.9 | |
| Max | 22.8 | 224.46/366.3 | 221.3/181.8 | 214.9/232.6 | |
| Std | 34.9 | 47.16/58.2 | 37.9/34.5 | 36.7/39.5 | |
| CS (m2) | Min | 8.6 | 1/87.2 | 30.1/61.7 | 4/38.9 |
| Mean | 100.5 | 131.1/171.1 | 113/120.8 | 106.3/115 | |
| Max | 231.4 | 229.2/287.8 | 227.3/192.9 | 211.5/2 | |
| Std | 38.4 | 41.7/38.3 | 34.9/27.9 | 35.8/35.8 |
| Attribute | Statistics | No Treatment n = 129 | Thinning from Below | Thinning from Above | Systematic Thinning | |||
|---|---|---|---|---|---|---|---|---|
| Moderate n = 76 | Intensive n = 34 | Moderate n = 141 | Intensive n = 62 | Moderate n = 183 | Intensive n = 95 | |||
| DBH (cm) | Min | 9.75 | 14.25 | 17.9 | 11 | 14.3 | 9 | 11.75 |
| Mean | 16.56 | 21.77 | 26.19 | 19.05 | 21.87 | 19.03 | 21.1 | |
| Max | 34.4 | 31.35 | 34.65 | 32.25 | 28.35 | 28.8 | 29.1 | |
| Std | 4.76 | 3.81 | 4.04 | 4.15 | 2.96 | 3.74 | 3.96 | |
| H (m) | Min | 14.94 | 16.98 | 18.2 | 16.7 | 14.9 | 13.7 | 13.9 |
| Mean | 20.76 | 21.13 | 21.18 | 20.38 | 19.28 | 19.7 | 19.14 | |
| Max | 30.3 | 25.2 | 24.8 | 24.7 | 22.7 | 24.9 | 23.3 | |
| Std | 3.06 | 2.24 | 1.66 | 1.47 | 1.49 | 1.85 | 2.24 | |
| Volume (m3) | Min | 0.06 | 0.13 | 0.23 | 0.08 | 0.12 | 0.04 | 0.07 |
| Mean | 0.33 | 0.39 | 0.56 | 0.3 | 0.36 | 0.29 | 0.34 | |
| Max | 1.27 | 0.89 | 1.03 | 0.92 | 0.66 | 0.73 | 0.72 | |
| Std | 0.2 | 0.16 | 0.19 | 0.14 | 0.11 | 0.12 | 0.14 | |
| Competition Index | Statistics | No Treatment | Thinning from Below (Moderate/Intensive) | Thinning from Above (Moderate/Intensive) | Systematic Thinning (Moderate/Intensive) |
|---|---|---|---|---|---|
| CIDBH | Min | 2 | 1.3/0.3 | 1.7/0.7 | 1.5/0.5 |
| Mean/ (Relative difference) | 5.5 | 2.6 (52.7%)/ 1 (82.5%) | 4.1 (25%)/ 1.5 (73.2%) | 4.2 (24.2%)/ 1.8 (66.8%) | |
| Max | 10.7 | 4.6/1.4 | 9.8/2.6 | 9.8/5.3 | |
| Std | 1.8 | 0.6/0.3 | 1.7/0.4 | 1.4/0.9 | |
| CIH | Min | 2.4 | 1.4/0.3 | 2.1/0.7 | 1.8/0.5 |
| Mean (Relative difference) | 5.2 | 2.5 (50.7%)/ 0.9 (81.6%) | 4 (23%)/ 1.5 (71.2%) | 4.1 (21.3%)/ 1.8 (64.9%) | |
| Max | 7.6 | 4.1/1.4 | 7.3/2.4 | 8.1/4.2 | |
| Std | 1.1 | 0.6/0.2 | 1.3/0.4 | 0.9/0.8 | |
| CIMCD | Min | 1.8 | 1.3/0.3 | 1.5/0.6 | 1.5/0.4 |
| Mean (Relative difference) | 5.2 | 2.7 (49.2%)/ 1 (82%) | 4.2 (19.5%)/ 1.5 (72%) | 4.2 (18.9%)/ 1.8 (64.7%) | |
| Max | 10.3 | 5.1/1.7 | 10.7/2.7 | 10.4/5.4 | |
| Std | 1.7 | 1/0.3 | 1.9/0.4 | 1.5/0.9 | |
| CICA | Min | 1.1 | 1/0.3 | 1.1/0.4 | 1/0.4 |
| Mean (Relative difference) | 5.6 | 3.1 (45.5%)/ 1.1 (81.3%) | 4.7 (15.6%)/ 1.5 (73.1%) | 4.9 (12.8%)/ 2 (64.1%) | |
| Max | 15.9 | 11.3/3 | 15/3.2 | 15/8.3 | |
| Std | 3 | 2/0.5 | 2.9/0.6 | 2.8/1.3 | |
| CICV | Min | 1.2 | 1/0.3 | 1.2/0.4 | 1/0.4 |
| Mean (Relative difference) | 5.8 | 3.1 (46.3%)/ 1.1 (81.7%) | 5 (16.3%)/ 1.5 (73.6%) | 5.1 (13.3%)/ 2.1 (63.2%) | |
| Max | 17.7 | 12.2/3.2 | 18.6/3.4 | 17.1/9.6 | |
| Std | 3.3 | 2.2/0.6 | 3.1/0.7 | 3.1/1.6 | |
| CICS | Min | 1.8 | 1.3/0.3 | 1.7/0.6 | 1.4/0.5 |
| Mean (Relative difference) | 5.2 | 2.7 (48.3%)/ 1 (80.8%) | 4.2 (19.3%)/ 1.5 (71.5%) | 4.2 (18%)/ 1.9 (63.1%) | |
| Max | 11.1 | 6.4/2 | 10/2.6 | 9.7/6.4 | |
| Std | 1.8 | 1/0.4 | 1.8/0.5 | 1.6/1.1 |
| Compared Competition Indices Caused by the Thinning Treatments | Competition Indices with Statistically Significant Difference (p ≤ 0.05) | |
|---|---|---|
| Moderate below | No Treatment | CIDBH, CIH, CIMCD, CICA, CICV, CICS |
| Intensive below | No Treatment | CIDBH, CIH, CIMCD, CICA, CICV, CICS |
| Moderate above | No Treatment | CIDBH, CIH, |
| Intensive above | No Treatment | CIDBH, CIH, CIMCD, CICA, CICV, CICS |
| Moderate systematic | No Treatment | - |
| Intensive systematic | No Treatment | CIDBH, CIH, CIMCD, CICA, CICV, CICS |
| Intensive below | Moderate below | CIDBH, CIH |
| Moderate above | Moderate below | CIDBH |
| Moderate systematic | Moderate below | CIDBH, CIH, CIMCD, CICA, CICV, CICS |
| Intensive above | Intensive below | - |
| Intensive systematic | Intensive below | - |
| Intensive above | Moderate above | CIDBH, CIH, CIMCD, CICA, CICV, CICS |
| Moderate systematic | Moderate above | - |
| Intensive systematic | Intensive above | - |
| Intensive systematic | Moderate systematic | CIDBH, CIH, CIMCD, CICA, CICV, CICS |
Publisher’s Note: MDPI stays neutral with regard to jurisdictional claims in published maps and institutional affiliations. |
© 2022 by the authors. Licensee MDPI, Basel, Switzerland. This article is an open access article distributed under the terms and conditions of the Creative Commons Attribution (CC BY) license (https://creativecommons.org/licenses/by/4.0/).
Share and Cite
Ronoud, G.; Poorazimy, M.; Yrttimaa, T.; Luoma, V.; Huuskonen, S.; Hynynen, J.; Hyyppä, J.; Saarinen, N.; Kankare, V.; Vastaranta, M. Terrestrial Laser Scanning in Assessing the Effect of Different Thinning Treatments on the Competition of Scots Pine (Pinus sylvestris L.) Forests. Remote Sens. 2022, 14, 5196. https://doi.org/10.3390/rs14205196
Ronoud G, Poorazimy M, Yrttimaa T, Luoma V, Huuskonen S, Hynynen J, Hyyppä J, Saarinen N, Kankare V, Vastaranta M. Terrestrial Laser Scanning in Assessing the Effect of Different Thinning Treatments on the Competition of Scots Pine (Pinus sylvestris L.) Forests. Remote Sensing. 2022; 14(20):5196. https://doi.org/10.3390/rs14205196
Chicago/Turabian StyleRonoud, Ghasem, Maryam Poorazimy, Tuomas Yrttimaa, Ville Luoma, Saija Huuskonen, Jari Hynynen, Juha Hyyppä, Ninni Saarinen, Ville Kankare, and Mikko Vastaranta. 2022. "Terrestrial Laser Scanning in Assessing the Effect of Different Thinning Treatments on the Competition of Scots Pine (Pinus sylvestris L.) Forests" Remote Sensing 14, no. 20: 5196. https://doi.org/10.3390/rs14205196
APA StyleRonoud, G., Poorazimy, M., Yrttimaa, T., Luoma, V., Huuskonen, S., Hynynen, J., Hyyppä, J., Saarinen, N., Kankare, V., & Vastaranta, M. (2022). Terrestrial Laser Scanning in Assessing the Effect of Different Thinning Treatments on the Competition of Scots Pine (Pinus sylvestris L.) Forests. Remote Sensing, 14(20), 5196. https://doi.org/10.3390/rs14205196

