Effects of Anthropogenic Emission Control and Meteorology Changes on the Inter-Annual Variations of PM2.5–AOD Relationship in China
Abstract
1. Introduction
2. Materials and Methods
2.1. Observations
2.2. Model Description
2.3. Experimental Setup
3. Results
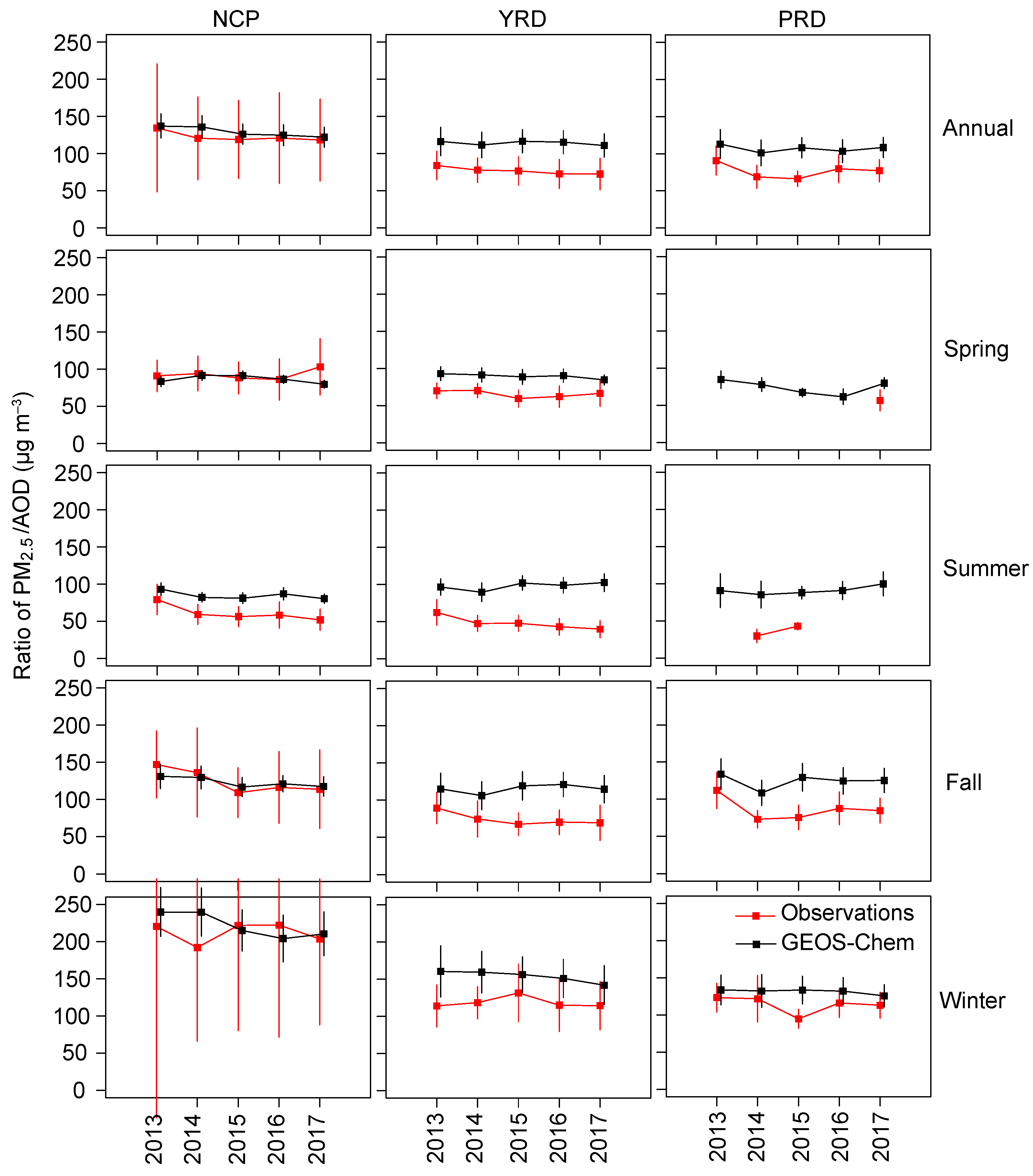
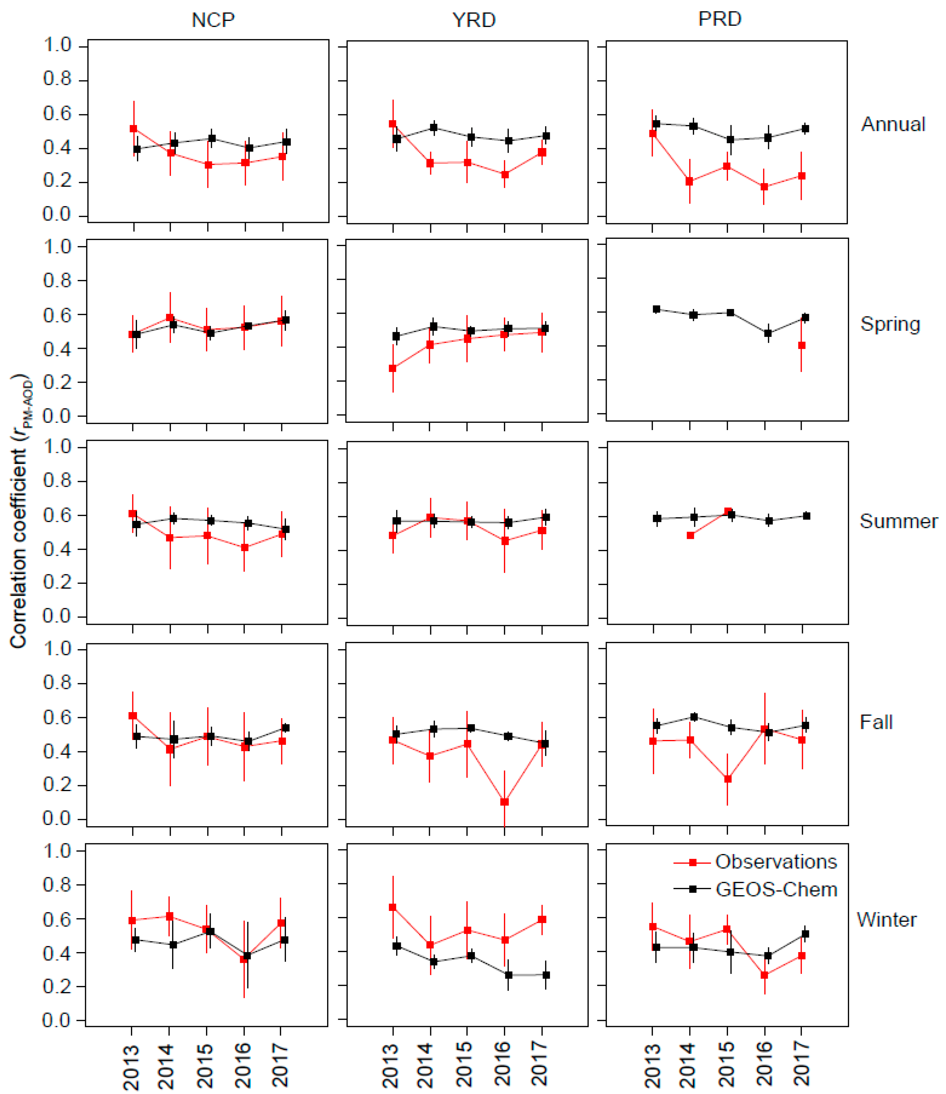
3.1. Observed and Simulated Long-Term Trends of PM2.5–AOD Relationship
3.2. Contributions of Anthropogenic Emission Control and Meteorology Changes to PM2.5–AOD Relationship
3.3. Responses of PM2.5 /AOD Ratios to Anthropogenic Emission Changes (FIXMET)
3.4. Meteorological Elements That Influence the Correlation of PM2.5 and AOD (FIXEMISS)
4. Discussion
5. Conclusions
Author Contributions
Funding
Data Availability Statement
Acknowledgments
Conflicts of Interest
References
- Liu, J.; Yin, H.; Tang, X.; Zhu, T.; Zhang, Q.; Liu, Z.; Tang, X.; Yi, H. Transition in air pollution, disease burden and health cost in China: A comparative study of long-term and short-term exposure. Environ. Pollut. 2021, 277, 116770. [Google Scholar] [CrossRef] [PubMed]
- Burnett, R.; Chen, H.; Szyszkowicz, M.; Fann, N.; Hubbell, B.; Pope, C.A., 3rd; Apte, J.S.; Brauer, M.; Cohen, A.; Weichenthal, S.; et al. Global estimates of mortality associated with long-term exposure to outdoor fine particulate matter. Proc. Natl. Acad. Sci. USA 2018, 115, 9592–9597. [Google Scholar] [CrossRef] [PubMed]
- Xue, T.; Zheng, Y.; Tong, D.; Zheng, B.; Li, X.; Zhu, T.; Zhang, Q. Spatiotemporal continuous estimates of PM2.5 concentrations in China, 2000–2016: A machine learning method with inputs from satellites, chemical transport model, and ground observations. Environ. Int. 2019, 123, 345–357. [Google Scholar] [CrossRef] [PubMed]
- Geng, G.; Zhang, Q.; Martin, R.V.; van Donkelaar, A.; Huo, H.; Che, H.; Lin, J.; He, K. Estimating long-term PM2.5 concentrations in China using satellite-based aerosol optical depth and a chemical transport model. Remote Sens. Environ. 2015, 166, 262–270. [Google Scholar] [CrossRef]
- Zheng, Y.; Zhang, Q.; Liu, Y.; Geng, G.; He, K. Estimating ground-level PM2.5 concentrations over three megalopolises in China using satellite-derived aerosol optical depth measurements. Atmos. Environ. 2016, 124, 232–242. [Google Scholar] [CrossRef]
- He, Q.; Gu, Y.; Zhang, M. Spatiotemporal trends of PM2.5 concentrations in central China from 2003 to 2018 based on MAIAC-derived high-resolution data. Environ. Int. 2020, 137, 105536. [Google Scholar] [CrossRef]
- Xin, J.; Gong, C.; Liu, Z.; Cong, Z.; Gao, W.; Song, T.; Pan, Y.; Sun, Y.; Ji, D.; Wang, L.; et al. The observation-based relationships between PM2.5and AOD over China. J. Geophys. Res. Atmos. 2016, 121, 10701–10716. [Google Scholar] [CrossRef]
- Wang, J. Intercomparison between satellite-derived aerosol optical thickness and PM2.5mass: Implications for air quality studies. Geophys. Res. Lett. 2003, 30, 2095. [Google Scholar] [CrossRef]
- Zheng, C.; Zhao, C.; Zhu, Y.; Wang, Y.; Shi, X.; Wu, X.; Chen, T.; Wu, F.; Qiu, Y. Analysis of influential factors for the relationship between PM2.5 and AOD in Beijing. Atmos. Chem. Phys. 2017, 17, 13473–13489. [Google Scholar] [CrossRef]
- Kong, L.; Xin, J.; Zhang, W.; Wang, Y. The empirical correlations between PM2.5, PM10 and AOD in the Beijing metropolitan region and the PM2.5, PM10 distributions retrieved by MODIS. Environ. Pollut. 2016, 216, 350–360. [Google Scholar] [CrossRef]
- Shao, P.; Xin, J.; An, J.; Kong, L.; Wang, B.; Wang, J.; Wang, Y.; Wu, D. The empirical relationship between PM2.5 and AOD in Nanjing of the Yangtze River Delta. Atmos. Pollut. Res. 2017, 8, 233–243. [Google Scholar] [CrossRef]
- Yang, Q.; Yuan, Q.; Yue, L.; Li, T.; Shen, H.; Zhang, L. The relationships between PM2.5 and aerosol optical depth (AOD) in mainland China: About and behind the spatio-temporal variations. Environ. Pollut. 2019, 248, 526–535. [Google Scholar] [CrossRef] [PubMed]
- Guo, J.; Xia, F.; Zhang, Y.; Liu, H.; Li, J.; Lou, M.; He, J.; Yan, Y.; Wang, F.; Min, M.; et al. Impact of diurnal variability and meteorological factors on the PM2.5—AOD relationship: Implications for PM2.5 remote sensing. Environ. Pollut. 2017, 221, 94–104. [Google Scholar] [CrossRef] [PubMed]
- Xu, Q.; Chen, X.; Yang, S.; Tang, L.; Dong, J. Spatiotemporal relationship between Himawari-8 hourly columnar aerosol optical depth (AOD) and ground-level PM2.5 mass concentration in mainland China. Sci. Total Environ. 2021, 765, 144241. [Google Scholar] [CrossRef]
- He, Q.; Wang, M.; Yim, S.H.L. The spatiotemporal relationship between PM2.5 and aerosol optical depth in China: Influencing factors and implications for satellite PM2.5 estimations using MAIAC aerosol optical depth. Atmos. Chem. Phys. 2021, 21, 18375–18391. [Google Scholar] [CrossRef]
- Wang, Z.; Chen, L.; Tao, J.; Liu, Y.; Hu, X.; Tao, M. An empirical method of RH correction for satellite estimation of ground-level PM concentrations. Atmos. Environ. 2014, 95, 71–81. [Google Scholar] [CrossRef]
- Gong, W.; Huang, Y.; Zhang, T.; Zhu, Z.; Ji, Y.; Xiang, H. Impact and Suggestion of Column-to-Surface Vertical Correction Scheme on the Relationship between Satellite AOD and Ground-Level PM2.5 in China. Remote Sens. 2017, 9, 1038. [Google Scholar] [CrossRef]
- Li, M.; Liu, H.; Geng, G.; Hong, C.; Liu, F.; Song, Y.; Tong, D.; Zheng, B.; Cui, H.; Man, H.; et al. Anthropogenic emission inventories in China: A review. Natl. Sci. Rev. 2017, 4, 834–866. [Google Scholar] [CrossRef]
- Yin, L.; Du, P.; Zhang, M.; Liu, M.; Xu, T.; Song, Y. Estimation of emissions from biomass burning in China (2003–2017) based on MODIS fire radiative energy data. Biogeosciences 2019, 16, 1629–1640. [Google Scholar] [CrossRef]
- Bilal, M.; Nazeer, M.; Nichol, J.; Qiu, Z.; Wang, L.; Bleiweiss, M.; Shen, X.; Campbell, J.; Lolli, S. Evaluation of Terra-MODIS C6 and C6.1 Aerosol Products against Beijing, XiangHe, and Xinglong AERONET Sites in China during 2004–2014. Remote Sens. 2019, 11, 486. [Google Scholar] [CrossRef]
- He, Q.; Li, C.; Tang, X.; Li, H.; Geng, F.; Wu, Y. Validation of MODIS derived aerosol optical depth over the Yangtze River Delta in China. Remote Sens. Environ. 2010, 114, 1649–1661. [Google Scholar] [CrossRef]
- Qi, L.; Zheng, H.; Ding, D.; Ye, D.; Wang, S. Effects of Meteorology Changes on Inter-Annual Variations of Aerosol Optical Depth and Surface PM2.5 in China—Implications for PM2.5 Remote Sensing. Remote Sens. 2022, 14, 2762. [Google Scholar] [CrossRef]
- Booker, D.H.R.M.J. UK Equivalence Programme for Monitoring of Particulate Matter; BV/AQ/AD202209/DH/2396; Bureau Veritas: Neuilly-sur-Seine, France, 2006. [Google Scholar]
- Song, S.; Gao, M.; Xu, W.; Shao, J.; Shi, G.; Wang, S.; Wang, Y.; Sun, Y.; McElroy, M.B. Fine-particle pH for Beijing winter haze as inferred from different thermodynamic equilibrium models. Atmos. Chem. Phys. 2018, 18, 7423–7438. [Google Scholar] [CrossRef]
- Park, R.J.; Jacob, D.J.; Field, B.D.; Yantosca, R.M.; Chin, M. Natural and transboundary pollution influences on sulfate-nitrate-ammonium aerosols in the United States: Implications for policy. J. Geophys. Res. Atmos. 2004, 109, D15204. [Google Scholar] [CrossRef]
- Alexander, B.; Park, R.J.; Jacob, D.J.; Gong, S. Transition metal-catalyzed oxidation of atmospheric sulfur: Global implications for the sulfur budget. J. Geophys. Res. 2009, 114, D02309. [Google Scholar] [CrossRef]
- Pye, H.O.T.; Chan, A.W.H.; Barkley, M.P.; Seinfeld, J.H. Global modeling of organic aerosol: The importance of reactive nitrogen (NOx and NO3). Atmos. Chem. Phys. 2010, 10, 11261–11276. [Google Scholar] [CrossRef]
- Marais, E.A.; Jacob, D.J.; Jimenez, J.L.; Campuzano-Jost, P.; Day, D.A.; Hu, W.; Krechmer, J.; Zhu, L.; Kim, P.S.; Miller, C.C.; et al. Aqueous-phase mechanism for secondary organic aerosol formation from isoprene: Application to the Southeast United States and co-benefit of SO2 emission controls. Atmos. Chem. Phys. 2016, 16, 1603–1618. [Google Scholar] [CrossRef]
- Fairlie, T.D.; Jacob, D.J.; Dibb, J.E.; Alexander, B.; Avery, M.A.; van Donkelaar, A.; Zhang, L. Impact of mineral dust on nitrate, sulfate, and ozone in transpacific Asian pollution plumes. Atmos. Chem. Phys. 2010, 10, 3999–4012. [Google Scholar] [CrossRef]
- Zheng, H.; Zhao, B.; Wang, S.; Wang, T.; Ding, D.; Chang, X.; Liu, K.; Xing, J.; Dong, Z.; Aunan, K.; et al. Transition in source contributions of PM2.5 exposure and associated premature mortality in China during 2005–2015. Environ. Int. 2019, 132, 105111. [Google Scholar] [CrossRef]
- Randerson, J.T.; Van Der Werf, G.R.; Giglio, L.; Collatz, G.J.; Kasibhatla, P.S. Global Fire Emissions Database, Version 4.1 (GFEDv4); ORNL DAAC: Oak Ridge, TN, USA, 2018. [Google Scholar] [CrossRef]
- Zhang, L.; Gong, S.; Padro, J.; Barrie, L. A size-segregated particle dry deposition scheme for an atmospheric aerosol module. Atmos. Environ. 2001, 35, 549–560. [Google Scholar] [CrossRef]
- Wang, Q.; Jacob, D.J.; Spackman, J.R.; Perring, A.E.; Schwarz, J.P.; Moteki, N.; Marais, E.A.; Ge, C.; Wang, J.; Barrett, S.R.H. Global budget and radiative forcing of black carbon aerosol: Constraints from pole-to-pole (HIPPO) observations across the Pacific. J. Geophys. Res.-Atmos. 2014, 119, 195–206. [Google Scholar] [CrossRef]
- Miao, R.; Chen, Q.; Zheng, Y.; Cheng, X.; Sun, Y.; Palmer, P.I.; Shrivastava, M.; Guo, J.; Zhang, Q.; Liu, Y.; et al. Model bias in simulating major chemical components of PM2.5 in China. Atmos. Chem. Phys. 2020, 20, 12265–12284. [Google Scholar] [CrossRef]
- Ma, Z.; Liu, R.; Liu, Y.; Bi, J. Effects of air pollution control policies on PM2.5 pollution improvement in China from 2005 to 2017: A satellite-based perspective. Atmos. Chem. Phys. 2019, 19, 6861–6877. [Google Scholar] [CrossRef]
- Xu, J.; Han, F.; Li, M.; Zhang, Z.; Xiaohui, D.; Wei, P. On the opposite seasonality of MODIS AOD and surface PM2.5 over the Northern China plain. Atmos. Environ. 2019, 215, 116909. [Google Scholar] [CrossRef]
- Van Donkelaar, A.; Martin, R.V.; Brauer, M.; Kahn, R.; Levy, R.; Verduzco, C.; Villeneuve, P.J. Global estimates of ambient fine particulate matter concentrations from satellite-based aerosol optical depth: Development and application. Environ. Health Perspect. 2010, 118, 847–855. [Google Scholar] [CrossRef]
- Zhang, Q.; Zheng, Y.; Tong, D.; Shao, M.; Wang, S.; Zhang, Y.; Xu, X.; Wang, J.; He, H.; Liu, W.; et al. Drivers of improved PM2.5 air quality in China from 2013 to 2017. Proc. Natl. Acad. Sci. USA 2019, 116, 24463–24469. [Google Scholar] [CrossRef]
- Ma, Q.; Zhang, Q.; Wang, Q.; Yuan, X.; Yuan, R.; Luo, C. A comparative study of EOF and NMF analysis on downward trend of AOD over China from 2011 to 2019. Environ. Pollut. 2021, 288, 117713. [Google Scholar] [CrossRef]
- Leung, D.M.; Shi, H.; Zhao, B.; Wang, J.; Ding, E.M.; Gu, Y.; Zheng, H.; Chen, G.; Liou, K.N.; Wang, S. Wintertime particulate matter decrease buffered by unfavorable chemical processes despite emissions reductions in China. Geophys. Res. Lett. 2020, 47, e2020GL087721. [Google Scholar] [CrossRef]
- Shah, V.; Jaeglé, L.; Thornton, J.A.; Lopez-Hilfiker, F.D.; Lee, B.H.; Schroder, J.C.; Campuzano-Jost, P.; Jimenez, J.L.; Guo, H.; Sullivan, A.P.; et al. Chemical feedbacks weaken the wintertime response of particulate sulfate and nitrate to emissions reductions over the eastern United States. Proc. Natl. Acad. Sci. USA 2018, 115, 8110–8115. [Google Scholar] [CrossRef]
- Zhang, K.; Zhou, L.; Fu, Q.; Yan, L.; Morawska, L.; Jayaratne, R.; Xiu, G. Sources and vertical distribution of PM2. 5 over Shanghai during the winter of 2017. Sci. Total Environ. 2020, 706, 135683. [Google Scholar] [CrossRef]
- Su, T.; Li, Z.; Kahn, R. Relationships between the planetary boundary layer height and surface pollutants derived from lidar observations over China: Regional pattern and influencing factors. Atmos. Chem. Phys. 2018, 18, 15921–15935. [Google Scholar] [CrossRef]
- Li, Z.; Zhao, X.; Kahn, R.; Mishchenko, M.; Remer, L.; Lee, K.; Wang, M.; Laszlo, I.; Nakajima, T.; Maring, H. Uncertainties in satellite remote sensing of aerosols and impact on monitoring its long-term trend: A review and perspective. Ann. Geophys. 2009, 27, 2755–2770. [Google Scholar] [CrossRef]
- Cheng, T.; Chen, H.; Gu, X.; Yu, T.; Guo, J.; Guo, H. The inter-comparison of MODIS, MISR and GOCART aerosol products against AERONET data over China. J. Quant. Spectrosc. Radiat. Transf. 2012, 113, 2135–2145. [Google Scholar] [CrossRef]






| Season | Experiments | NCP | YRD | PRD |
|---|---|---|---|---|
| Annual | BASE | −1.25 * | −0.76 + | −1.40 * |
| FIXEMISS | 0.04 | 0.41 | −0.03 | |
| FIXMET | −1.39 * | −1.25 * | −1.16 * | |
| Spring | BASE | −0.87 # | −1.48 * | −2.41 * |
| FIXEMISS | 0.75 # | 0.06 | −0.54 | |
| FIXMET | −1.59 * | −1.56 * | −1.46 * | |
| Summer | BASE | −1.42 * | −0.38 | −2.22 * |
| FIXEMISS | −0.70 # | 0.37 | −0.49 | |
| FIXMET | −1.01 * | −0.96 * | −1.83 * | |
| Fall | BASE | −2.36 * | −0.50 | −0.22 |
| FIXEMISS | −1.11 + | 0.41 | 0.18 | |
| FIXMET | −1.48 * | −1.49 * | −0.64 * | |
| Winter | BASE | 0.39 | 0.23 | −0.17 |
| FIXEMISS | 1.45 + | 0.99 | 0.37 | |
| FIXMET | −1.06 * | −0.68 * | −0.43 * |
| Season | Experiments | NCP | YRD | PRD |
|---|---|---|---|---|
| Annual | FIXEMISS | 0.42 | 0.26 | 0.64 |
| FIXMET | 0.87 | 0.70 | 0.77 | |
| Spring | FIXEMISS | 0.30 | 0.57 | 0.81 |
| FIXMET | 0.58 | 0.68 | 0.78 | |
| Summer | FIXEMISS | 0.95 | 0.83 | 0.76 |
| FIXMET | 0.76 | 0.35 | 0.79 | |
| Fall | FIXEMISS | 0.89 | 0.77 | 0.97 |
| FIXMET | 0.85 | 0.50 | 0.28 | |
| Winter | FIXEMISS | 0.83 | 0.94 | 0.92 |
| FIXMET | 0.00 | 0.30 | 0.26 |
| Season | Experiments | NCP | YRD | PRD |
|---|---|---|---|---|
| Annual | FIXEMISS | 0.73 | 0.95 | 0.96 |
| FIXMET | 0.26 | 0.17 | 0.63 | |
| Spring | FIXEMISS | 0.94 | 0.95 | 0.94 |
| FIXMET | −0.18 | −0.04 | 0.69 | |
| Summer | FIXEMISS | 0.82 | 0.96 | 0.92 |
| FIXMET | 0.14 | 0.06 | 0.53 | |
| Fall | FIXEMISS | 0.90 | 0.91 | 0.96 |
| FIXMET | 0.15 | 0.21 | 0.28 | |
| Winter | FIXEMISS | 0.99 | 0.95 | 0.96 |
| FIXMET | −0.18 | 0.26 | 0.36 |
| Season | NCP | YRD | PRD | |||
|---|---|---|---|---|---|---|
| Positive | Negative | Positive | Negative | Positive | Negative | |
| Spring | T500hPa (0.88) | TROPPT (−0.88) | T500hPa (0.80) | U500hPa (−0.65) | T500hPa (0.80) | U500hPa (−0.82) |
| Tsurface (0.84) | PS (−0.77) | Tsurface (0.74) | PS (−0.62) | dU850–500hPa (0.78) | PS (−0.76) | |
| T850hPa (0.82) | SLP (−0.67) | T850hPa (0.72) | SLP (−0.61) | RH500hPa (0.77) | O500hPa (−0.46) | |
| Summer | dVsurface–850hPa (0.45) | PS (−0.53) | V500hPa (0.54) | U500hPa (−0.38) | RH850hPa (0.53) | dT850–500hPa (−0.49) |
| U850hPa (0.43) | SLP (−0.46) | V850hPa (0.42) | dVsurface–850hPa (−0.33) | RH500hPa (0.42) | O850hPa (−0.44) | |
| dT850–500hPa (0.41) | V500hPa (−0.38) | TROPPT (0.38) | PV850hPa (−0.31) | PV850hPa (0.36) | SLP (−0.41) | |
| Fall | dVsurface–850hPa (0.44) | PV850hPa (−0.41) | Tsurface (0.46) | Usurface (−0.40) | Tsurface (0.39) | U500hPa (−0.42) |
| dT850–500hPa (0.37) | RH500hPa (−0.25) | T850hPa (0.43) | U500hPa (−0.38) | dU850–500hPa (0.38) | PS (−0.34) | |
| PBLH (0.33) | SLP (−0.24) | T500hPa (0.39) | TROPPT (−0.37) | dTsurface–850hPa (0.38) | SLP (−0.34) | |
| Winter | O850hPa (0.67) | RH850hPa (−0.54) | O850hPa (0.37) | RH500hPa (−0.35) | Tsurface (0.54) | PV850hPa (−0.39) |
| Usurface (0.60) | PREC (−0.51) | O500hPa (0.25) | PBLH (−0.33) | dT850–500hPa (0.46) | Osurface (−0.37) | |
| dVsurface–850hPa (0.60) | V850hPa (−0.51) | PS (0.24) | TROPPT (−0.30) | T850hPa (0.45) | U500hPa (−0.34) | |
Publisher’s Note: MDPI stays neutral with regard to jurisdictional claims in published maps and institutional affiliations. |
© 2022 by the authors. Licensee MDPI, Basel, Switzerland. This article is an open access article distributed under the terms and conditions of the Creative Commons Attribution (CC BY) license (https://creativecommons.org/licenses/by/4.0/).
Share and Cite
Qi, L.; Zheng, H.; Ding, D.; Wang, S. Effects of Anthropogenic Emission Control and Meteorology Changes on the Inter-Annual Variations of PM2.5–AOD Relationship in China. Remote Sens. 2022, 14, 4683. https://doi.org/10.3390/rs14184683
Qi L, Zheng H, Ding D, Wang S. Effects of Anthropogenic Emission Control and Meteorology Changes on the Inter-Annual Variations of PM2.5–AOD Relationship in China. Remote Sensing. 2022; 14(18):4683. https://doi.org/10.3390/rs14184683
Chicago/Turabian StyleQi, Ling, Haotian Zheng, Dian Ding, and Shuxiao Wang. 2022. "Effects of Anthropogenic Emission Control and Meteorology Changes on the Inter-Annual Variations of PM2.5–AOD Relationship in China" Remote Sensing 14, no. 18: 4683. https://doi.org/10.3390/rs14184683
APA StyleQi, L., Zheng, H., Ding, D., & Wang, S. (2022). Effects of Anthropogenic Emission Control and Meteorology Changes on the Inter-Annual Variations of PM2.5–AOD Relationship in China. Remote Sensing, 14(18), 4683. https://doi.org/10.3390/rs14184683

