Particle Scattering Induced Orbital Angular Momentum Spectrum Change of Vector Bessel–Gaussian Vortex Beam
Abstract
:1. Introduction
2. Theoretical Background
2.1. GLMT of a Sphere Illuminated by an Arbitrarily Shaped Beam
2.2. Spiral Spectrum Expansion Method
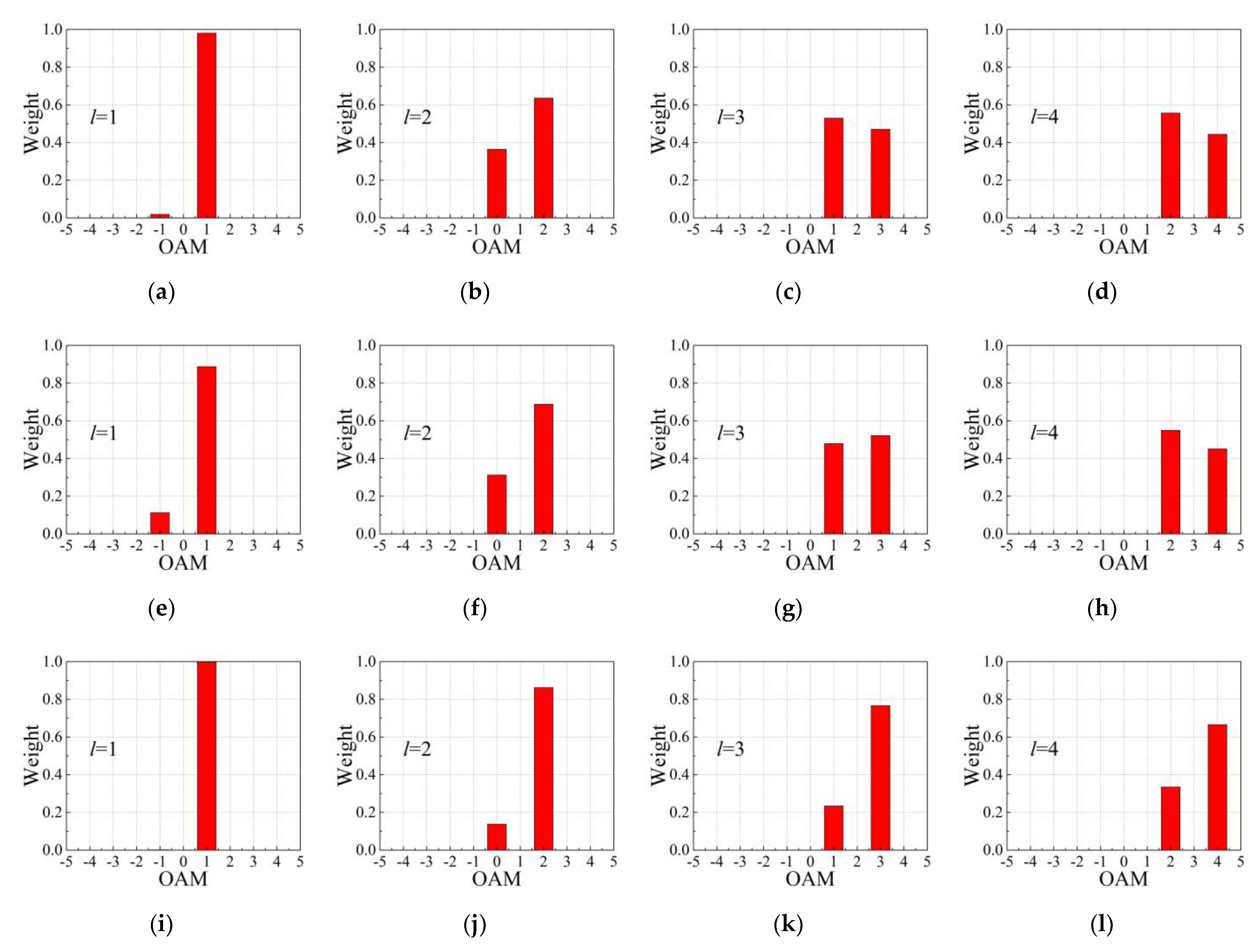
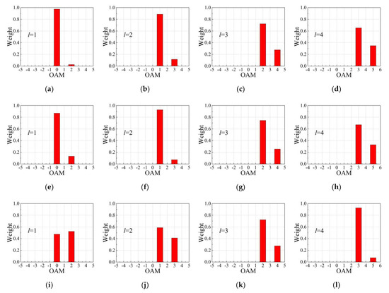
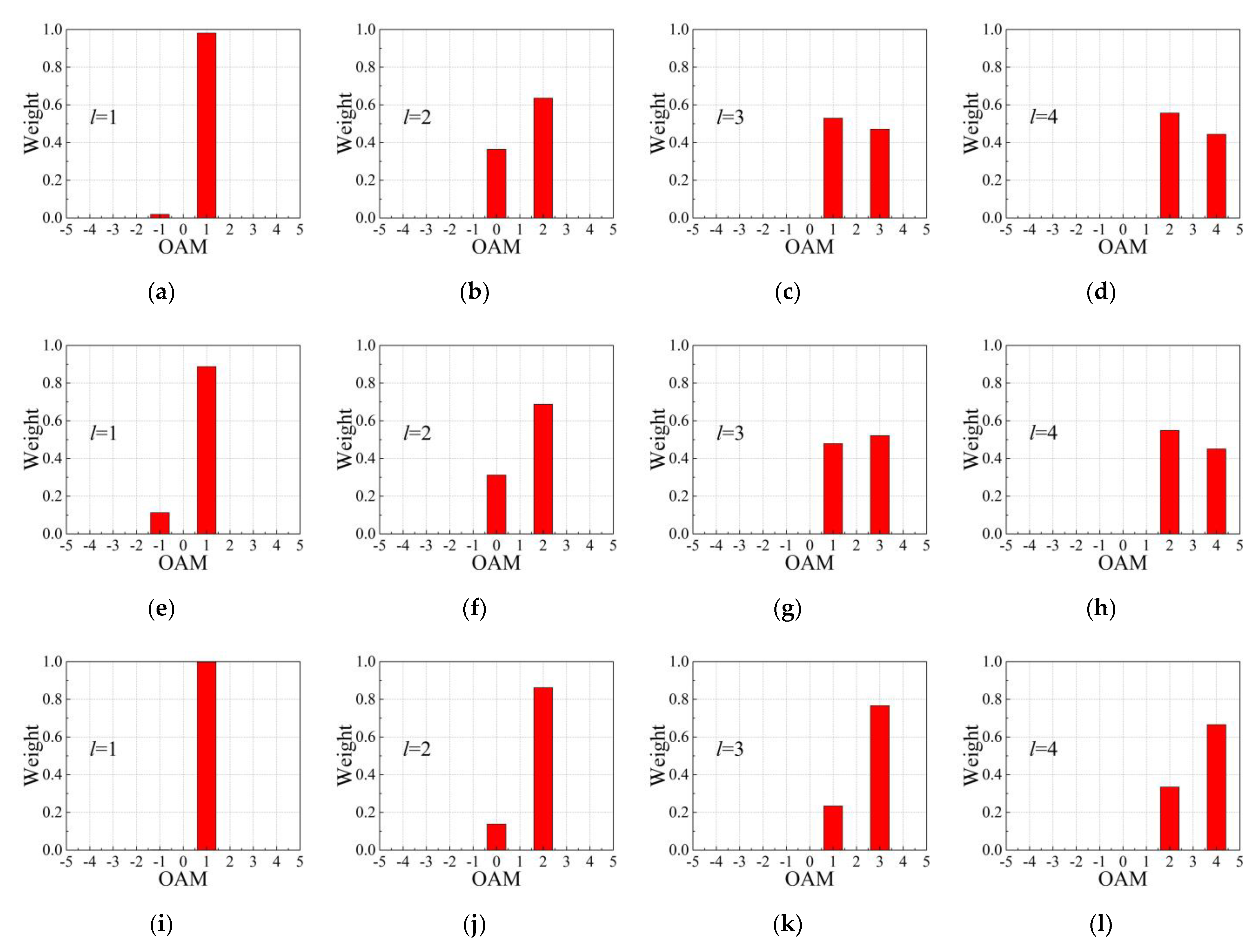
3. Simulation and Discussion
4. Conclusions
Author Contributions
Funding
Institutional Review Board Statement
Informed Consent Statement
Data Availability Statement
Acknowledgments
Conflicts of Interest
Appendix A

- Y polarizationwhere
- Right circular polarizationThe expressions of and are consistent with those of the y polarization state.
- Radial polarization
References
- Allen, L.; Beijersbergen, M.W.; Spreeuw, R.J.; Woerdman, J.P. Orbital angular momentum of light and the transformation of Laguerre-Gaussian laser modes. Phys. Rev. A 1992, 45, 8185–8189. [Google Scholar] [CrossRef] [PubMed]
- Otte, E.; Denz, C. Optical trapping gets structure: Structured light for advanced optical manipulation. Appl. Rhys. Rev. 2020, 7, 041308. [Google Scholar] [CrossRef]
- Wang, J.; Liu, K.; Cheng, Y.; Wang, H. Vortex SAR imaging method based on OAM beams design. IEEE Sens. J. 2019, 19, 11873–11879. [Google Scholar] [CrossRef]
- Wang, J.; Yang, J.; Fazal, I.; Ahmed, N.; Yan, Y.; Huang, H.; Ren, Y.; Yue, Y.; Dolinar, S.; Tur, M.; et al. Terabit free-space data transmission employing orbital angular momentum multiplexing. Nat. Photonics 2012, 6, 488–496. [Google Scholar] [CrossRef]
- Wang, J.; Liu, J.; Li, S.; Zhao, Y.; Du, J.; Zhu, L. Orbital angular momentum and beyond in free-space optical communications. Nanophotonics 2022, 11, 645–680. [Google Scholar] [CrossRef]
- Willner, A.; Pang, K.; Song, H.; Zou, K.; Zhou, H. Orbital angular momentum of light for communications. Appl. Phys. Rev. 2021, 8, 041312. [Google Scholar] [CrossRef]
- Gong, L.; Zhao, Q.; Zhang, H.; Hu, X.; Huang, K.; Yang, J.; Li, Y. Optical orbital-angular-momentum-multiplexed data transmission under high scattering. Light Sci. Appl. 2019, 8, 27. [Google Scholar] [CrossRef]
- Zhang, C.; Chen, D. Large-scale orbital angular momentum radar pulse generation with rotational antenna. IEEE Antennas Wirel. Propag. Lett. 2017, 16, 2316–2319. [Google Scholar] [CrossRef]
- Barbuto, M.; Alù, A.; Bilotti, F.; Toscano, A. Dual-circularly polarized topological patch antenna with pattern diversity. IEEE Access 2021, 9, 48769–48776. [Google Scholar] [CrossRef]
- Liu, K.; Li, X.; Gao, Y.; Cheng, Y.; Wang, H.; Qin, Y. High-resolution electromagnetic vortex imaging based on sparse bayesian learning. IEEE Sens. J. 2017, 17, 6918–6927. [Google Scholar] [CrossRef]
- Lin, M.; Gao, Y.; Liu, P.; Liu, J. Super-resolution orbital angular momentum based radar targets detection. Electron. Lett. 2016, 52, 1168–1170. [Google Scholar] [CrossRef]
- Wang, W.; Gozali, R.; Shi, L.; Lindwasser, L.; Alfano, R. Deep transmission of Laguerre-Gaussian vortex beams through turbid scattering media. Opt. Lett. 2016, 41, 2069–2072. [Google Scholar] [CrossRef] [PubMed]
- Tang, B.; Bai, J.; Sheng, X. Orbital-angular-momentum-carrying wave scattering by the chaff clouds. IET Radar Sonar Nav. 2018, 12, 649–653. [Google Scholar]
- Torner, L.; Torres, J.; Carrasco, S. Digital spiral imaging. Opt. Express 2005, 13, 873–881. [Google Scholar] [CrossRef]
- Wang, Y.; Bai, L.; Xie, J.; Zhang, D.; Lv, Q.; Guo, L. Spiral spectrum of high-order elliptic Gaussian vortex beams in a non-Kolmogorov turbulent atmosphere. Opt. Express 2021, 29, 16056–16072. [Google Scholar] [CrossRef]
- Wang, A.; Zhu, L.; Deng, M.; Lu, B.; Guo, X. Experimental demonstration of OAM-based transmitter mode diversity data transmission under atmosphere turbulence. Opt. Express 2021, 29, 13171–13182. [Google Scholar] [CrossRef]
- Li, J.; Chen, X.; McDuffie, S.; Najjar, M.; Rafsanjani, S.; Korotkova, O. Mitigation of atmospheric turbulence with random light carrying OAM. Opt. Commun. 2019, 446, 178–185. [Google Scholar] [CrossRef]
- Klug, A.; Nape, I.; Forbes, A. The orbital angular momentum of a turbulent atmosphere and its impact on propagating structured light fields. New J. Phys. 2021, 23, 093012. [Google Scholar] [CrossRef]
- Ferlic, N.; Iersel, M.; Davis, C. Weak turbulence effects on different beams carrying orbital angular momentum. J. Opt. Soc. Am. A 2021, 38, 1423–1437. [Google Scholar] [CrossRef]
- Watkins, R.; Dai, K.; White, G.; Li, W.; Miller, J.; Morgan, K.; Johnson, E. Experimental probing of turbulence using a continuous spectrum of asymmetric OAM beams. Opt. Express 2020, 28, 924–935. [Google Scholar] [CrossRef]
- Porfirev, A.; Kirilenko, M.; Khonina, S.; Skidanov, R.; Soifer, V. Study of propagation of vortex beams in aerosol optical medium. Appl. Opt. 2017, 56, E8–E15. [Google Scholar] [CrossRef] [PubMed]
- Baghdady, J.; Miller, K.; Morgan, K.; Byrd, M.; Osler, S.; Ragusa, R.; Li, W.; Cochenour, B.; Johnson, E. Multi-gigabit/s underwater optical communication link using orbital angular momentum multiplexing. Opt. Express 2016, 24, 9794–9805. [Google Scholar] [CrossRef] [PubMed]
- Deng, S.; Yang, D.; Zhang, Y. Capacity of communication link with carrier of vortex localized wave in absorptive turbulent seawater. Waves Random Complex Media 2020, 12, 1–14. [Google Scholar] [CrossRef]
- Yang, H.; Yan, Q.; Wang, P.; Hu, L.; Zhang, Y. Bit-error rate and average capacity of an absorbent and turbulent underwater wireless communication link with perfect Laguerre-Gauss beam. Opt. Express 2022, 30, 9053–9064. [Google Scholar] [CrossRef]
- Wang, W.; Wang, P.; Pang, W.; Pan, Y.; Nie, Y.; Guo, L. Evolution properties and spatial-mode UWOC performances of the perfect vortex beam subject to oceanic turbulence. IEEE Trans. Commun. 2021, 69, 7647–7658. [Google Scholar] [CrossRef]
- Petrov, D.; Rahuel, N.; Molina-Terriza, G.; Torner, L. Characterization of dielectric spheres by spiral imaging. Opt. Lett. 2012, 37, 869–871. [Google Scholar] [CrossRef]
- Li, H.; Honary, F.; Wu, Z.; Shang, Q.; Bai, L. Reflection, transmission, and absorption of vortex beams propagation in an inhomogeneous magnetized plasma slab. IEEE Trans. Antennas Propag. 2018, 66, 4194–4201. [Google Scholar] [CrossRef]
- Liu, K.; Liu, H.; Sha, W.; Cheng, Y.; Wang, H. Backward scattering of electrically large standard objects illuminated by OAM Beams. IEEE Antennas Wirel. Propag. Lett. 2020, 19, 1167–1171. [Google Scholar] [CrossRef]
- Mcgloin, D.; Dholakia, K. Bessel beams: Diffraction in a new light. Contemp. Phys. 2005, 46, 15–28. [Google Scholar] [CrossRef]
- Akram, M.; Mehmood, M.; Tauqeer, T.; Rana, A.; Rukhlenko, I.; Zhu, W. Highly efficient generation of Bessel beams with polarization insensitive metasurfaces. Opt. Express 2019, 27, 9467–9480. [Google Scholar] [CrossRef]
- Aiello, A.; Agarwal, G. Wave-optics description of self-healing mechanism in Bessel beams. Opt. Lett. 2014, 39, 6819–6822. [Google Scholar] [CrossRef] [PubMed]
- Chu, X. Analytical study on the self-healing property of Bessel beam. Eur. Phys. J. D 2012, 66, 1–5. [Google Scholar] [CrossRef]
- Gatto, A.; Tacca, M.; Martelli, P.; Boffi, P.; Martinelli, M. Free-space orbital angular momentum division multiplexing with Bessel beams. J. Opt. 2011, 13, 064018. [Google Scholar] [CrossRef]
- Eyyuboğlu, H. Propagation of higher order Bessel-Gaussian beams in turbulence. Appl. Phys. B 2007, 88, 259–265. [Google Scholar] [CrossRef]
- Lukin, I. Integral momenta of vortex Bessel-Gaussian beams in turbulent atmosphere. Appl. Opt. 2016, 55, B61–B66. [Google Scholar] [CrossRef] [PubMed]
- Xu, Y.; Zhang, Y. Bandwidth-limited orbital angular momentum mode of Bessel Gaussian beams in the moderate to strong non-Kolmogorov turbulence. Opt. Commun. 2019, 438, 90–95. [Google Scholar] [CrossRef]
- Vyas, S.; Kozawa, Y.; Sato, S. Self-healing of tightly focused scalar and vector Bessel-Gauss beams at the focal plane. J. Opt. Soc. Am. A 2011, 28, 837–843. [Google Scholar] [CrossRef]
- Li, P.; Zhang, Y.; Liu, S.; Cheng, H.; Han, L.; Wu, D.; Zhao, J. Generation and self-healing of vector Bessel-Gauss beams with variant state of polarizations upon propagation. Opt. Express 2017, 25, 5821–5831. [Google Scholar] [CrossRef]
- Huang, K.; Shi, P.; Cao, G.; Li, K.; Zhang, X.; Li, Y. Vector-vortex Bessel-Gauss beams and their tightly focusing properties. Opt. Lett. 2011, 36, 888–890. [Google Scholar] [CrossRef]
- Shi, C.; Guo, L.; Cheng, M.; Li, R. Scattering of a high-order vector Bessel Gaussian beam by a spherical marine aerosol. J. Quant. Spectrosc. Radiat. Transf. 2021, 265, 107552. [Google Scholar] [CrossRef]
- Shi, C.; Cheng, M.; Guo, L.; Li, R.; Li, J. Attenuation characteristics of Bessel Gaussian vortex beam by a wet dust particle. Opt. Commun. 2022, 514, 128138. [Google Scholar] [CrossRef]
- Gouesbet, G.; Gréhan, G. Generalized Lorenz-Mie Theories; Springer: Berlin/Heidelberg, Germany, 2011; pp. 50–55. [Google Scholar]
- Zambrana-Puyalto, X.; Molina-Terriza, G. The role of the angular momentum of light in Mie scattering. Excitation of dielectric spheres with Laguerre-Gaussian modes. J. Quant. Spectrosc. Radiat. Transf. 2013, 126, 50–55. [Google Scholar] [CrossRef]
- Bohren, C.; Huffman, D. Absorption and Scattering of Light by Small Particles; Wiley: New York, NY, USA, 1983; p. 100. [Google Scholar]
- Klačka, J.; Kocifaj, M. Scattering of electromagnetic waves by charged spheres and some physical consequences. J. Quant. Spectrosc. Radiat. Transf. 2007, 106, 170–183. [Google Scholar] [CrossRef]
- Kocifaj, M.; Klačka, J. Scattering of electromagnetic waves by charged spheres: Near-field external intensity distribution. Opt. Lett. 2012, 37, 265–267. [Google Scholar] [CrossRef] [PubMed]
- Ou, J.; Jiang, Y.; Zhang, J.; Tang, H.; He, Y.; Wang, S.; Liao, J. Spreading of spiral spectrum of Bessel-Gaussian beam in non-Kolmogorov turbulence. Opt. Commun. 2014, 318, 95–99. [Google Scholar] [CrossRef]
- Sztul, H.; Alfano, R. The Poynting vector and angular momentum of Airy beams. Opt. Express 2008, 16, 9411–9416. [Google Scholar] [CrossRef] [PubMed]
- Jiang, Y.; Wang, S.; Zhang, J.; Ou, J.; Tang, H. Spiral spectrum of Laguerre-Gaussian beam propagation in non-Kolmogorov turbulence. Opt. Commun. 2013, 303, 38–41. [Google Scholar] [CrossRef]
- Yao, E.; Franke-Arnold, S.; Courtial, J.; Barnett, S.; Padgett, M. Fourier relationship between angular position and optical orbital angular momentum. Opt. Express 2006, 14, 9071–9076. [Google Scholar] [CrossRef]
- Jack, B.; Padgett, M.; Franke-Arnold, S. Angular diffraction. New J. Phys. 2008, 10, 103013. [Google Scholar] [CrossRef]
- Yang, L.; Sun, S.; Sha, W. Ultrawideband reflection-type metasurface for generating integer and fractional orbital angular momentum. IEEE Trans. Antennas Propag. 2020, 68, 2166–2175. [Google Scholar] [CrossRef] [Green Version]

















| OAM Modes | Relative Error Caused by the Algorithm | |||
|---|---|---|---|---|
| l = 1 | l = 2 | l = 3 | l = 4 | |
| −5 | - | - | - | - |
| −4 | - | - | - | - |
| −3 | - | - | - | - |
| −2 | - | - | - | - |
| −1 | 2.12% | - | - | - |
| 0 | - | 3.72% | - | - |
| 1 | −0.21% | - | 3.03% | - |
| 2 | - | −0.40% | - | 3.53% |
| 3 | 5.99% | - | −0.50% | - |
| 4 | - | 5.31% | - | −0.30% |
| 5 | - | - | 4.88% | - |
| OAM Modes | Relative Error Caused by the Algorithm | |||
|---|---|---|---|---|
| l = 1 | l = 2 | l = 3 | l = 4 | |
| −5 | - | - | - | - |
| −4 | - | - | - | - |
| −3 | - | - | - | - |
| −2 | - | - | - | - |
| −1 | 6.38% | - | - | - |
| 0 | - | 0.01% | - | - |
| 1 | −0.13% | - | −0.01% | - |
| 2 | - | 0.00% | - | 0.00% |
| 3 | - | - | 0.01% | - |
| 4 | - | −0.01% | - | 0.00% |
| 5 | - | - | - | - |
Publisher’s Note: MDPI stays neutral with regard to jurisdictional claims in published maps and institutional affiliations. |
© 2022 by the authors. Licensee MDPI, Basel, Switzerland. This article is an open access article distributed under the terms and conditions of the Creative Commons Attribution (CC BY) license (https://creativecommons.org/licenses/by/4.0/).
Share and Cite
Shi, C.; Cheng, M.; Guo, L.; Lavery, M.P.J.; Wang, P.; Liu, S.; Li, R.; Li, J. Particle Scattering Induced Orbital Angular Momentum Spectrum Change of Vector Bessel–Gaussian Vortex Beam. Remote Sens. 2022, 14, 4550. https://doi.org/10.3390/rs14184550
Shi C, Cheng M, Guo L, Lavery MPJ, Wang P, Liu S, Li R, Li J. Particle Scattering Induced Orbital Angular Momentum Spectrum Change of Vector Bessel–Gaussian Vortex Beam. Remote Sensing. 2022; 14(18):4550. https://doi.org/10.3390/rs14184550
Chicago/Turabian StyleShi, Chenge, Mingjian Cheng, Lixin Guo, Martin P. J. Lavery, Ping Wang, Songhua Liu, Renxian Li, and Jiangting Li. 2022. "Particle Scattering Induced Orbital Angular Momentum Spectrum Change of Vector Bessel–Gaussian Vortex Beam" Remote Sensing 14, no. 18: 4550. https://doi.org/10.3390/rs14184550
APA StyleShi, C., Cheng, M., Guo, L., Lavery, M. P. J., Wang, P., Liu, S., Li, R., & Li, J. (2022). Particle Scattering Induced Orbital Angular Momentum Spectrum Change of Vector Bessel–Gaussian Vortex Beam. Remote Sensing, 14(18), 4550. https://doi.org/10.3390/rs14184550

