HY-1C/D Reveals the Chlorophyll-a Concentration Distribution Details in the Intensive Islands’ Waters and Its Consistency with the Distribution of Fish Spawning Ground
Abstract
:1. Introduction
2. Data and Methods
2.1. Study Area
2.2. Satellite Data
2.3. In Situ Data and Process
2.4. Wind
2.5. Data Processing
3. Results
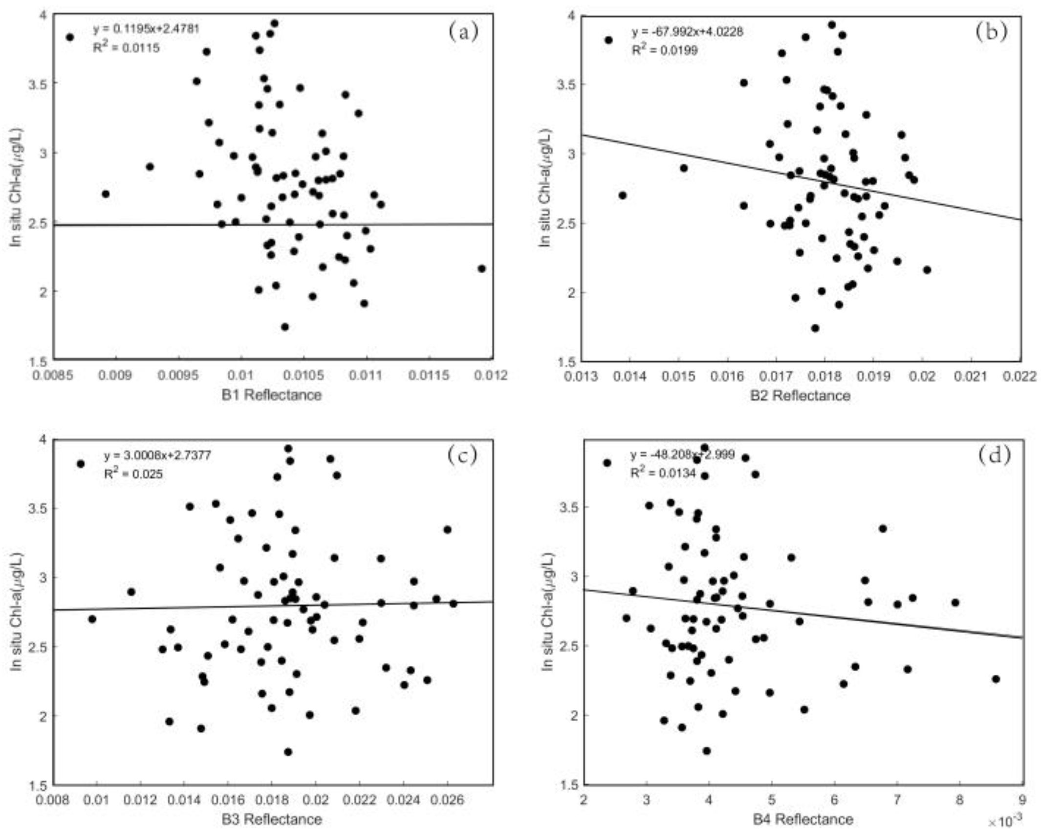
3.1. Sensitive Bands of Chl-a
3.2. Band Combination
3.3. Model Building
3.4. Chl-a in Shengsi-Centered Area
3.5. Distribution of Fishery Resources in the Waters of Zhoushan Archipelago
4. Discussion
4.1. Feasibility of the New Model
4.2. Factors Affecting Chl-a Concentration and the Fishery Resources in the Waters of Zhoushan Archipelago
5. Conclusions
Author Contributions
Funding
Acknowledgments
Conflicts of Interest
References
- Ning, X.; Liu, Z.; Hu, Q. Distribution characteristics of chlorophyll a and primary productivity in the upwelling area along the Zhejiang coast. Acta Oceanol. Sin. 1988, 6, 78–82. [Google Scholar]
- Li, S.; Chen, Z.; Mao, X.; Pan, D. Laboratory Chlorophyll a Concentration Determination. Mar. Environ. Sci. 1988, 2, 78–82. [Google Scholar]
- Kattawar, G.W.; Humphreys, T.J. Remote sensing of chlorophyll in an atmosphere-ocean environment: A theoretical study. Appl. Opt. 1976, 15, 273–282. [Google Scholar] [CrossRef]
- Lesht, B.M.; Barbiero, R.P.; Warren, G.J. Verification of a simple band ratio algorithm for retrieving Great Lakes open water surface chlorophyll concentrations from satellite observations. J. Great Lakes Res. 2016, 42, 448–454. [Google Scholar] [CrossRef]
- Ahn, Y.-H.; Shanmugam, P. Derivation and analysis of the fluorescence algorithms to estimate phytoplankton pigment concentrations in optically complex coastal waters. J. Opt. A Pure Appl. Opt. J. Eur. Opt. Soc. 2007, 9, 352–362. [Google Scholar] [CrossRef]
- Liu, G.; Li, L.; Song, K.; Li, Y.; Lyu, H.; Wen, Z.; Fang, C.; Bi, S.; Sun, X.; Wang, Z.; et al. An OLCI-based algorithm for semi-empirically partitioning absorption coefficient and estimating chlorophyll a concentration in various turbid case-2 waters. Remote Sens. Environ. 2020, 239, 648–661. [Google Scholar] [CrossRef]
- Muralikrishna, I.V. Ocean chlorophyll retrieval algorithms. Pergamon 1984, 4, 149–153. [Google Scholar] [CrossRef]
- Tilstone, G.H.; Angel-Benavides, I.M.; Pradhan, Y.; Shutler, J.D.; Groom, S.; Sathyendranath, S. An assessment of chlorophyll-a algorithms available for SeaWiFS in coastal and open areas of the Bay of Bengal and Arabian Sea. Remote Sens. Environ. 2011, 115, 2277–2291. [Google Scholar] [CrossRef]
- Rainey, M.P.; Tyler, A.N.; Gilvear, D.J.; Bryant, R.G.; McDonald, P. Mapping intertidal estuarine sediment grain size distributions through airborne remote sensing. Remote Sens. Environ. 2003, 86, 480–490. [Google Scholar] [CrossRef]
- Zunbin, L.; Deyong, S.; Shengqiang, W.; Zhongfeng, Q.; Yu, H.; Zhihua, M.; Yijun, H. Remote sensing estimation of colored dissolved organic matter (CDOM) from GOCI measurements in the Bohai Sea and Yellow Sea. Environ. Sci. Pollut. Res. Int. 2020, 27, 6872–6885. [Google Scholar]
- Gitelson, A.A.; Kondratyev, K.Y. Optical models of mesotrophic and eutrophic water bodies. Int. J. Remote Sens. 1991, 12, 373–385. [Google Scholar] [CrossRef]
- Tassan, S. local algorithms using SeaWifS data for the retrieval of phytoplankton, pigments, suspended sediment, and yellow substance in coastal waters. Appl. Opt. 1994, 33, 2369–2379. [Google Scholar] [CrossRef] [PubMed]
- Tang, J.; Wang, S.; Song, Q.; Li, T.; Huang, H.; Ren, J.; Jan, W. Statistical inversion model of water color elements in the second-class water bodies in the Yellow and East China Sea. In Proceedings of the 14th National Remote Sensing Technology Academic Exchange Conference, Qingdao, China, 1 October 2003; p. 7. [Google Scholar]
- Zhao, M.; Li, Y.; Zhang, L.; Cui, C.; Zhu, X. Preliminary Study on Ocean Color Data Derived from Geostationary Ocean Color Satellite:GOCI in Bohai Sea and Yellow Sea; Shanghai Pujiang Education Press: Shanghai, China, 2015; pp. 661–672. [Google Scholar]
- Yapa, K.K.A.S. Seasonal variability of sea surface chlorophyll-a of waters around Sri Lanka. J. Earth Syst. Sci. 2000, 109, 427–432. [Google Scholar] [CrossRef]
- Pinkerton, M.H.; Richardson, K.M.; Boyd, P.W.; Gall, M.P.; Zeldis, J.; Oliver, M.D.; Murphy, R.J. Intercomparison of ocean colour band-ratio algorithms for chlorophyll concentration in the Subtropical Front east of New Zealand. Remote Sens. Environ. 2005, 97, 382–402. [Google Scholar] [CrossRef]
- Prakash, P.; Kumar, T.S.; Rahman, S.H.; Nayak, S. Binning algorithm for high-resolution IRS-P4 OCM chlorophyll image. Int. J. Remote Sens. 2012, 33, 5789–5798. [Google Scholar] [CrossRef]
- Pittman, N.A.; Strutton, P.G.; Johnson, R.; Matear, R.J. An Assessment and Improvement of Satellite Ocean Color Algorithms for the Tropical Pacific Ocean. J. Geophys. Res. Ocean. 2019, 124, 9020–9039. [Google Scholar] [CrossRef]
- Matthews, M.W.; Odermatt, D. Improved algorithm for routine monitoring of cyanobacteria and eutrophication in inland and near-coastal waters. Remote Sens. Environ. 2015, 156, 374–382. [Google Scholar] [CrossRef]
- Dekker, A.G.; Vos, R.J.; Peters, S.W.M. Analytical algorithms for lake water TSM estimation for retrospective analyses of TM and SPOT sensor data. Int. J. Remote Sens. 2002, 23, 15–35. [Google Scholar] [CrossRef]
- Zou, Y. Analysis of Temporal and Spatial Distribution Characteristics of Chlorophyll a in Bohai Sea. Remote Sens. Inf. 2004, 12, 30–31, 62. [Google Scholar]
- Zhou, L.; Chen, J.; Sun, J.; Fu, J. Monitoring seasonal distribution of chlorophyll a concentration in Taihu Lake based on CBERS-1 images. Spectrosc. Spectr. Anal. 2011, 31, 530–534. [Google Scholar]
- Guo, Y.; Qian, J.; Lei, Y.; Dong, S.; Wu, C.; Qu, W.; Zhang, Q. Joint inversion of chlorophyll a concentration in reservoirs based on GF-1 satellite data. Surv. Eng. 2021, 30, 14–19. [Google Scholar]
- Fan, D.-X.; Huang, Y.-L.; Song, L.-X.; Liu, D.-F.; Zhang, G.; Zhang, B. Prediction of chlorophyll a concentration using HJ-1 satellite imagery for Xiangxi Bay in Three Gorges Reservoir. Water Sci. Eng. 2014, 7, 70–80. [Google Scholar]
- Shanmugam, P. A new bio-optical algorithm for the remote sensing of algal blooms in complex ocean waters. J. Geophys. Res. Earth Surf. 2011, 116, 16–40. [Google Scholar] [CrossRef]
- O’Reilly, J.E.; Werdell, P.J. Chlorophyll algorithms for ocean color sensors—OC4, OC5 & OC6. Remote Sens. Environ. 2019, 229, 32–47. [Google Scholar]
- Feng, L. Shengsi, Zhejiang: Constructing Marine Ranch to Conserve “Blue Land”. Chin. Land 2019, 3, 56–57. [Google Scholar]
- Li, Y.; Miao, Z. Analysis of hydrological characteristics of squid spawning grounds in northern Zhejiang. J. Zhejiang Fish. Inst. 1986, 2, 139–145. [Google Scholar]
- Song, Y. Hydrological characteristics of Zhoushan Islands. Hydrology 2001, 1, 59–62. [Google Scholar]
- Liu, L.; Sui, Y.; Jiang, R.; Xu, K.; Zhu, W.; Zhou, Y. Species composition and quantity distribution of eggs, larvae and juveniles in Zhoushan fishery in spring. J. Zhejiang Ocean Univ. (Nat. Sci. Ed.) 2021, 40, 1–8. [Google Scholar]
- Cai, L.; Tang, D.; Li, X.; Zheng, H.; Shao, W. Remote sensing of spatial-temporal distribution of suspended sediment and analysis of related environmental factors in Hangzhou Bay, China. Remote Sens. Lett. 2015, 6, 597–603. [Google Scholar] [CrossRef]
- Yu, C.; Chen, Q.; Chen, X.; Ning, P.; Zheng, J. Composition and quantity distribution of fish species in Zhoushan fishery and adjacent waters. Oceanol. Limnol. Sin. 2010, 41, 410–417. [Google Scholar]
- Li, T.; Wang, Y.; Jin, Y.; Hu, H. Interannual variation of nutrient content and degree of eutrophication in Daiquyang from 2011 to 2017. In Proceedings of the 2nd International Symposium on Modern Marine Ranching, 2018 Academic Annual Meeting of Fishery Resources and Environment Professional Committee of Chinese Fisheries Society, Dalian, China, 28–30 October 2018; p. 1. [Google Scholar]
- “Ocean Survey Specifications” series of national standards. Stand. China 2011, 2, 22–23.
- An unstructured grid, finite-volumn coastal ocean model (FVCOM) system. Oceanography 2006, 6, 19.
- Chen, C.; Xue, P.; Ding, P.; Beardsley, R.C.; Xu, Q.; Mao, X.; Gao, G.; Qi, J.; Li, C.; Lin, H.; et al. Physical mechanisms for the offshore detachment of Changjiang diluted water in the East China Sea. J. Geophys. Res. 2008, 113, 122–125. [Google Scholar] [CrossRef]
- Chen, X.-Y.; Zhang, J.; Tong, C.; Liu, R.-J.; Mu, B.; Ding, J. Retrieval Algorithm of Chlorophyll-a Concentration in Turbid Waters from Satellite HY-1C Coastal Zone Imager Data. J. Coast. Res. 2019, 90, 146–155. [Google Scholar] [CrossRef]
- Tong, C.; Mu, B.; Liu, R.-J.; Ding, J.; Zhang, M.-W.; Xiao, Y.-F.; Liang, X.-J.; Chen, X.-Y. Atmospheric Correction Algorithm for HY-1C CZI over Turbid Waters. J. Coast. Res. 2019, 90, 156–163. [Google Scholar] [CrossRef]
- Zhang, X.; Zheng, X. Comparison of inversion algorithms for chlorophyll concentration in Bohai Bay based on GOCI data. Mar. Sci. Bull. 2017, 19, 62–74. [Google Scholar]
- Zhang, J.; Shen, F.; Yu, X.; Zhou, Y. Winter and summer variation of phytoplankton absorption characteristics in the adjacent waters of Hangzhou Bay. Geogr. Geo-Inf. Sci. 2013, 29, 112–118. [Google Scholar]
- Fu, J.; Chen, C.; Chu, Y. Spatial–temporal variations of oceanographic parameters in the Zhoushan sea area of the East China Sea based on remote sensing datasets. Reg. Stud. Mar. Sci. 2019, 28, 100626. [Google Scholar] [CrossRef]
- Harish, C.M.; Baba, M. On spectral and statistical characteristics of shallow water waves. Pergamon 1986, 13, 239–248. [Google Scholar] [CrossRef]
- Oba, T.; Mimuro, M.; Wang, Z.Y.; Nozawa, T.; Yoshida, S.; Watanabe, T. ChemInform Abstract: Spectral Characteristics and Colloidal Properties of Chlorophyll a′ in Aqueous Methanol. ChemInform 1997, 28, 99–113. [Google Scholar] [CrossRef]
- Tian, G.; Mi, X.; Song, F.; Zhao, W. Estimation of Chlorophyll Concentration in Water Using Spectral Dat. Environ. Remote Sens. 1988, 1, 71–80. [Google Scholar]
- Lin, S.; Wu, Q.; Wang, X.; Pu, X.; Dai, Y. The relationship between chlorophyll content of phytoplankton in Chaohu Lake and the characteristics of reflectance spectrum. J. Lake Sci. 2002, 228–234. [Google Scholar]
- Lin, Y.; Ye, Z.; Zhang, Y.; Yu, J. Spectral feature analysis for quantitative estimation of cyabobacteria chlorophyll-a. ISPRS Int. Arch. Photogramm. Remote Sens. Spat. Inf. Sci. 2016, 91, XLI-B7. [Google Scholar]
- Liu, X.; Li, T.; Chen, Q. The influence of the main components of water body on the apparent chemometrics. Mar. Technol. 2004, 1, 85–89. [Google Scholar]
- Shuyi, H.; Jianqiang, L.; Lina, C.; Minrui, Z.; Juan, B.; Jieni, X. Satellites HY-1C and Landsat 8 Combined to Observe the Influence of Bridge on Sea Surface Temperature and Suspended Sediment Concentration in Hangzhou Bay, China. Water 2020, 12, 2595. [Google Scholar]
- Menon, H.B.; Adhikari, A. Remote Sensing of Chlorophyll-A in Case II Waters: A Novel Approach With Improved Accuracy Over Widely Implemented Turbid Water Indices. J. Geophys. Res. Ocean. 2018, 123, 8138–8158. [Google Scholar] [CrossRef]
- Liu, Z.; Ning, X.; Cai, Y. Phytoplankton existing stock and primary productivity in autumn in Hangzhou Bay-Zhoushan fishery. Chin. J. Oceanogr. (Chin. Version) 2001, 2, 93–99. [Google Scholar]
- Çulha, S.T.; Karaduman, F.R. The influence of marine fish farming on water and sediment quality: Ildır Bay (Aegean Sea). Environ. Monit. Assess. 2020, 192, 528–537. [Google Scholar] [CrossRef]
- Russ, G.R.; Rizzari, J.R.; Abesamis, R.A.; Alcala, A.C. Coral cover a stronger driver of reef fish trophic biomass than fishing. Ecol. Appl. A Publ. Ecol. Soc. Am. 2020, 31, 21–43. [Google Scholar] [CrossRef]
- Ji, C.; Zhang, Y.; Cheng, Q.; Tsou, J.; Jiang, T.; Liang, X.S. Evaluating the impact of sea surface temperature (SST) on spatial distribution of chlorophyll-a concentration in the East China Sea. Int. J. Appl. Earth Obs. Geoinf. ITC J. 2018, 68, 252–261. [Google Scholar] [CrossRef]
- Jiang, S.; Wang, Y.; Ma, R. Variation analysis of chlorophyll concentration in East China Sea and its response to seawater temperature. Bull. Surv. Mapp. 2020, 6, 39–44. [Google Scholar]
- Tae, J.S.; Hak, L.J.; Ho, K.C.; Joo, J.C.; Suk, J.Y. Movement of Cold Water Mass in the Northern East China Sea in Summer. Sea 2011, 16, 1–13. [Google Scholar]
- Liu, X.; Hou, Y.; Yin, D.; Yang, S. Dynamics of circulation, temperature and salt structure in the Yangtze Estuary and its adjacent sea area Ⅲ Temperature structure. Oceanol. Limnol. Sin. 2015, 46, 526–533. [Google Scholar]
- Ma, B.; Zhao, H. Distribution characteristics of chlorophyll a and nutrients in the Pearl River Estuary in summer and their relationship with environmental factors. Mar. Environ. Sci. 2021, 40, 707–716. [Google Scholar]
- Zhu, J. Dynamic mechanism of the upwelling on the west side of the submerged river valley off the Changjiang mouth in summertime. Chin. Sci. Bull. 2003, 48, 2754–2758. [Google Scholar] [CrossRef]
- Li, W.; Wang, Z.; Huang, H. Relationship between the southern Yellow Sea Cold Water Mass and the distribution and composition of suspended particulate matter in summer and autumn seasons. J. Sea Res. 2019, 154, 101812–101827. [Google Scholar] [CrossRef]
- Seaman, W. Artificial Reef Evaluation:With Application to Natural Marine Habitats; CRC Press: Boca Raton, FL, USA, 2000. [Google Scholar]
- Feng, J.; Wang, Y. Reefs and bioenvironments—fish distribution and activity in reef fisheries. Aquat. Technol. 2002, 3, 22–24. [Google Scholar]
- Wang, H.; Chen, P.; Zhang, S.; Jia, X. Effects of artificial reefs on the proliferation of fishery resources. Guangdong Agric. Sci. 2009, 8, 18–21. [Google Scholar]
- Wolanski, E.; Hamner, W.M. Topographically controlled fronts in the ocean and their biological influence. Science 1988, 241, 177–181. [Google Scholar] [CrossRef]








| Sensor | Band No. | Spectral Range/μm |
|---|---|---|
| HY-1C CZI | Band 1 (Blue) | 0.421–0.500 |
| Band 2 (Green) | 0.517–0.598 | |
| Band 3 (Red) | 0.608–0.690 | |
| Band 4 (NIR) | 0.761–0.891 |
| Band Combination(X) | |
|---|---|
| (B3 − B1)/((B3 + B1) × (B3/B2)0.45) | 0.94 |
| B3/((B1 + B2) × (B3/B2)0.45) | 0.88 |
| Log(B3/B2) | 0.83 |
| Log((B3/B1) × (B3/B2)0.45) | 0.95 |
| (B3 − B2)/(B3 + B2) | 0.817 |
| B4/(B2 + B4) | 0.71 |
| B4/(B1 + B3) | 0.53 |
| (B4 − B3)/(B4 + B3) | 0.95 |
| B3/(B1 + B3) | 0.95 |
| B3/(B2 + B3) | 0.81 |
| (B2 − B4)/(B2 + B3) × (B3/B2)0.45 | 0.62 |
| Log(B3/B4) | 0.69 |
| (B1 − B4)/(B1 + B4) | 0.80 |
| B1 × B2/B3 | 0.67 |
| (B1 × B3)/(B2 × B4) | 0.49 |
| (B1/B2) × (B3/B2)−0.45 | 0.96 |
| Band Combination(X) | Function | Fitting Model | ||
|---|---|---|---|---|
| B3/(B2 + B3) | Exponential | + 4.506 × X − 1.684 | 0.83 | 0.0368 |
| B3/(B2 + B3) | Sum of sine | 29.93 × sin(0.5394 × X + 18.4) | 0.82 | 0.1106 |
| B3/(B2 + B3) | Gaussian | 12.15 × ) | 0.82 | 0.1095 |
| B3/(B2 + B3) | Exponential | 0.1402 × Exp(5.542 × X) | 0.80 | 0.0039 |
| (B1 − B3)/(B1 + B4) | Polynomial | − 0.5954 × X + 1.054 | 0.55 | 0.0464 |
| B4/(B1 + B2) | Polynomial | + 17.88 × X + 0.3271 | 0.49 | 0.1379 |
| B3/(B1 + B3) | Exponential | 0.05077 × Exp(5.916 × X) | 0.89 | 0.0638 |
| B3/(B1 + B3) | Exponential | ) | 0.88 | 0.0638 |
| Log(B3/B1) | Exponential | 0.7367 × Exp(0.6388 × X) | 0.90 | 0.0605 |
| Log(B3/B1) | Power | 1.062 × X1.303 | 0.88 | 0.0629 |
| (B3 − B1)/(B3 + B1) | Exponential | Exp(0.2919 × Exp(3.516 × X) | 0.92 | 0.0221 |
| (B3 − B1)/(B3 + B1) | Exponential | Exp(2.88 × X + 0.004282) | 0.87 | 0.0238 |
| (B3 − B1)/(B3 + B1) | Rational | Exp(9985 × X − 518.4)/(X + 2970) | 0.91 | 0.0204 |
| (B3 − B1)/(B3 + B1) | Sum of sine | Exp(13.28 × sin(0.252 × X + 6.27)) | 0.9 | 0.02309 |
| (B3 − B1)/(B3 + B1) | Polynomial | 74.37 × X2 − 43.35 × X + 8.789 | 0.91 | 0.0545 |
| (B1/B2) × ((B3/B2)−0.45 | Polynomial | −12.81 × X3 + 38.17 × X2 − 39.17 × X + 14.9 | 0.95 | 0.0325 |
| (B3 − B1)/((B3 + B1) × (B3/B2)0.45) | Exponential | Exp(1.208 × X2 − 2.4583 × X + 5.7829) | 0.87 | 0.045 |
Publisher’s Note: MDPI stays neutral with regard to jurisdictional claims in published maps and institutional affiliations. |
© 2022 by the authors. Licensee MDPI, Basel, Switzerland. This article is an open access article distributed under the terms and conditions of the Creative Commons Attribution (CC BY) license (https://creativecommons.org/licenses/by/4.0/).
Share and Cite
Cai, L.; Yu, M.; Yan, X.; Zhou, Y.; Chen, S. HY-1C/D Reveals the Chlorophyll-a Concentration Distribution Details in the Intensive Islands’ Waters and Its Consistency with the Distribution of Fish Spawning Ground. Remote Sens. 2022, 14, 4270. https://doi.org/10.3390/rs14174270
Cai L, Yu M, Yan X, Zhou Y, Chen S. HY-1C/D Reveals the Chlorophyll-a Concentration Distribution Details in the Intensive Islands’ Waters and Its Consistency with the Distribution of Fish Spawning Ground. Remote Sensing. 2022; 14(17):4270. https://doi.org/10.3390/rs14174270
Chicago/Turabian StyleCai, Lina, Menghan Yu, Xiaojun Yan, Yongdong Zhou, and Songyu Chen. 2022. "HY-1C/D Reveals the Chlorophyll-a Concentration Distribution Details in the Intensive Islands’ Waters and Its Consistency with the Distribution of Fish Spawning Ground" Remote Sensing 14, no. 17: 4270. https://doi.org/10.3390/rs14174270
APA StyleCai, L., Yu, M., Yan, X., Zhou, Y., & Chen, S. (2022). HY-1C/D Reveals the Chlorophyll-a Concentration Distribution Details in the Intensive Islands’ Waters and Its Consistency with the Distribution of Fish Spawning Ground. Remote Sensing, 14(17), 4270. https://doi.org/10.3390/rs14174270

