Performance of SMAP and SMOS Salinity Products under Tropical Cyclones in the Bay of Bengal
Abstract
:1. Introduction
2. Data and Methods
3. Results and Discussion
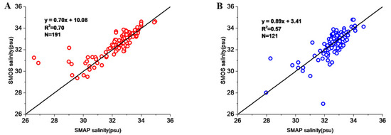
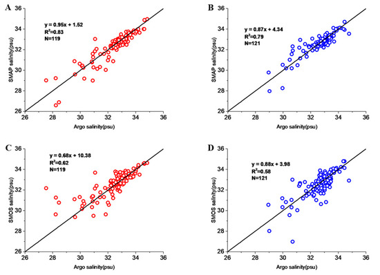
3.1. SMOS and SMAP Product Validation with Argo Salinity
3.2. Impact of TC Roanu (2016) and TC Kyant (2016) on Retrieved Salinity from Satellite Products
4. Conclusions
Author Contributions
Funding
Data Availability Statement
Acknowledgments
Conflicts of Interest
References
- Dube, S.K.; Rao, A.D.; Sinha, P.C.; Jain, I. Implications of climatic variations in the fresh water outflow on the wind-induced circulation of the Bay of Bengal. Atmos. Environ. 1995, 29, 2133–2138. [Google Scholar] [CrossRef]
- Vinayachandran, P.N.; Murty, V.S.N.; Babu, V.R. Observations of barrier layer formation in the Bay of Bengal during summer monsoon. J. Geophys. Res.-Oceans 2002, 107, C12. [Google Scholar] [CrossRef]
- Thadathil, P.; Muraleedharan, P.M.; Rao, R.R.; Somayajulu, Y.K.; Reddy, G.V.; Revichandran, C. Observed seasonal variability of barrier layer in the Bay of Bengal. J. Geophys. Res.-Oceans 2007, 112, C2. [Google Scholar] [CrossRef]
- Akhil, V.P.; Lengaigne, M.; Durand, F.; Vialard, J.; Chaitanya, A.V.S.; Keerthi, M.G.; Gopalakrishna, V.V.; Boutin, J.; Montegut, C.d.B. Assessment of seasonal and year-to-year surface salinity signals retrieved from SMOS and Aquarius missions in the Bay of Bengal. Int. J. Remote Sens. 2016, 37, 1089–1114. [Google Scholar] [CrossRef] [Green Version]
- Akhil, V.P.; Vialard, J.; Lengaigne, M.; Keerthi, M.G.; Boutin, J.; Vergely, J.L.; Papa, F. Bay of Bengal Sea surface salinity variability using a decade of improved SMOS re-processing. Remote Sens. Environ. 2020, 248, 111964. [Google Scholar] [CrossRef]
- Boutin, J.; Vergely, J.L.; Marchand, S.; D’Amico, F.; Hasson, A.; Kolodziejczyk, N.; Reul, N.; Reverdin, G.; Vialard, J. New SMOS Sea Surface Salinity with reduced systematic errors and improved variability. Remote Sens. Environ. 2018, 214, 115–134. [Google Scholar] [CrossRef] [Green Version]
- Sengupta, D.; Goddalehundi, B.R.; Anitha, D.S. Cyclone-induced mixing does not cool SST in the post-monsoon north Bay of Bengal. Atmos. Sci. Lett. 2008, 9, 1–6. [Google Scholar] [CrossRef]
- Neetu, S.; Lengaigne, M.; Vincent, E.M.; Vialard, J.; Madec, G.; Samson, G.; Kumar, M.R.R.; Durand, F. Influence of upper-ocean stratification on tropical cyclone-induced surface cooling in the Bay of Bengal. J. Geophys. Res.-Oceans. 2012, 117, C12. [Google Scholar] [CrossRef] [Green Version]
- Neetu, S.; Lengaigne, M.; Vialard, J.; Samson, G.; Masson, S.; Krishnamohan, K.S.; Suresh, I. Premonsoon/Postmonsoon Bay of Bengal Tropical Cyclones Intensity: Role of Air-Sea Coupling and Large-Scale Background State. Geophys. Res. Lett. 2019, 46, 2149–2157. [Google Scholar] [CrossRef]
- Grodsky, S.A.; Reul, N.; Lagerloef, G.; Reverdin, G.; Carton, J.A.; Chapron, B.; Quilfen, Y.; Kudryavtsev, V.N.; Kao, H.-Y. Haline hurricane wake in the Amazon/Orinoco plume: AQUARIUS/SACD and SMOS observations. Geophys. Res. Lett. 2012, 39, L20603. [Google Scholar] [CrossRef] [Green Version]
- Reul, N.; Quilfen, Y.; Chapron, B.; Fournier, S.; Kudryavtsev, V.; Sabia, R. Multisensor observations of the Amazon-Orinoco river plume interactions with hurricanes. J. Geophys. Res.-Oceans 2014, 119, 8271–8295. [Google Scholar] [CrossRef] [Green Version]
- Sun, J.; Vecchi, G.; Soden, B. Sea Surface Salinity Response to Tropical Cyclones Based on Satellite Observations. Remote Sen. 2021, 13, 420. [Google Scholar] [CrossRef]
- Reul, N.; Chapron, B.; Grodsky, S.A.; Guimbard, S.; Kudryavtsev, V.; Foltz, G.R.; Balaguru, K. Satellite Observations of the Sea Surface Salinity Response to Tropical Cyclones. Geophys. Res. Lett. 2021, 48, e2020GL091478. [Google Scholar] [CrossRef]
- Chacko, N. Insights into the haline variability induced by cyclone Vardah in the Bay of Bengal using SMAP salinity observations. Remote Sens. Lett. 2018, 9, 1205–1213. [Google Scholar] [CrossRef]
- Wang, X.; Yang, J.; Zhao, D.; Wang, X.; Sun, G. SMOS satellite salinity data accuracy assessment in the China coastal areas. Haiyang Xuebao 2013, 35, 169–176. (In Chinese) [Google Scholar]
- Yin, X.B.; Boutin, J.; Martin, N.; Spurgeon, P. Optimization of L-Band Sea Surface Emissivity Models Deduced From SMOS Data. IEEE Trans. Geosci. Remote Sens. 2012, 50, 1414–1426. [Google Scholar] [CrossRef]
- Xu, H.; Yu, R.; Tang, D.; Liu, Y.; Wang, S.; Fu, D. Effects of Tropical Cyclones on Sea Surface Salinity in the Bay of Bengal Based on SMAP and Argo Data. Water 2020, 12, 2975. [Google Scholar] [CrossRef]
- Meissner, T.; Wentz, F.J.; Manaster, A.; Lindsley, R. Remote Sensing Systems SMAP Ocean Surface Salinities [Level 2C, Level 3 Running 8-day, Level 3 Monthly], Version 4.0 validated release. Remote Sens. Syst. 2019. Available online: www.remss.com/missions/smap/ (accessed on 1 October 2021). [CrossRef]
- Boutin, J.; Vergely, J.L.; Khvorostyanov, D. SMOS SSS L3 maps generated by CATDS CEC LOCEAN. debias V5.0. SEANOE 2020. [Google Scholar] [CrossRef]
- Lin, X.; Qiu, Y.; Du, Y.; Zhou, X.; Xuan, L.; Xu, J. Study on the utilization of satellite remote sensing for variation characteristic of sea surface salinity in the Bay of Bengal. Haiyang Xuebao 2016, 38, 46–56. (In Chinese) [Google Scholar]
- Vidya, P.J.; Das, S.; Murali, M.R. Contrasting Chl-a responses to the tropical cyclones Thane and Phailin in the Bay of Bengal. J. Mar. Syst. 2017, 165, 103–114. [Google Scholar]
- Xu, H.; Tang, D.; Sheng, J.; Liu, Y.; Sui, Y. Study of dissolved oxygen responses to tropical cyclones in the Bay of Bengal based on Argo and satellite observations. Sci. Total Environ. 2019, 659, 912–922. [Google Scholar] [CrossRef] [PubMed]
- Remote Sensing Systems. New SMAP Sea Surface Salinity (SSS) 70 km Data. Available online: https://smap.jpl.nasa.gov/news/1265/smap-sees-sea-surface-salinity/ (accessed on 1 October 2021).
- Chacko, N. Chlorophyll bloom in response to tropical cyclone Hudhud in the Bay of Bengal: Bio-Argo subsurface observations. Deep. Sea Res. Part I Oceanogr. Res. Pap. 2017, 124, 66–72. [Google Scholar] [CrossRef]
- Xu, H.; Tang, D.; Liu, Y.; Li, Y. Dissolved oxygen responses to tropical cyclones “Wind Pump” on pre-existing cyclonic and anticyclonic eddies in the Bay of Bengal. Mar. Pollut. Bull. 2019, 146, 838–847. [Google Scholar] [CrossRef] [PubMed]
- Zhang, H.; Chen, D.; Zhou, L.; Liu, X.; Ding, T.; Zhou, B. Upper ocean response to typhoon Kalmaegi (2014). J. Geophys. Res. Ocean. 2016, 121, 6520–6535. [Google Scholar] [CrossRef]
- Price, J. Upper Ocean Response to a Hurricane. J. Phys. Oceanogr. 1981, 11, 153–175. [Google Scholar] [CrossRef] [Green Version]
- Potter, H.; Drennan, W.M.; Graber, H.C. Upper ocean cooling and air-sea fluxes under typhoons: A case study. J. Geophys. Res. Ocean. 2017, 122, 7237–7252. [Google Scholar] [CrossRef]
- Gonella, J. A rotary-component method for analysing meteorological and oceanographic vector time series. Deep. Sea Res. Oceanogr. Abstr. 1972, 19, 833–846. [Google Scholar] [CrossRef]
- Wright, C.W.; Walsh, E.L.; Vabdemark, D.; Krabill, W.B.; Garcia, A.W.; Houston, S.H.; Powell, M.D.; Black, P.G.; Marks, F.D. Hurricane Directional Wave Spectrum Spatial Variation in the Open Ocean. J. Phys. Oceanogr. 2001, 31, 2472–2490. [Google Scholar] [CrossRef]
- Bao, S.; Wang, H.; Zhang, R.; Yan, H.; Chen, J. Comparison of satellite-derived sea surface salinity products from SMOS, Aquarius and SMAP. J. Geophys. Res. Ocean. 2019, 124, 1932–1944. [Google Scholar] [CrossRef]
- Bao, S.; Wang, H.; Zhang, R.; Yan, H.; Chen, J. Spatial and temporal scales of sea surface salinity in the tropical Indian Ocean from SMOS, Aquarius and SMAP. J. Oceanogr. 2020, 76, 389–400. [Google Scholar] [CrossRef]
- Liu, S.S.; Sun, L.; Wu, Q.; Yang, Y.J. The responses of cyclonic and anticyclonic eddies to typhoon forcing: The vertical temperature-salinity structure changes associat ed with the horizontal convergence/divergence. J. Geophys. Res. Ocean. 2017, 122, 4974–4989. [Google Scholar] [CrossRef]
- Lin, X.; Qiu, Y.; Cha, J.; Guo, X. Assessment of Aquarius sea surface salinity with Argo in the Bay of Bengal. Int. J. Remote Sens. 2019, 40, 8547–8565. [Google Scholar] [CrossRef]
- Sabia, R.; Camps, A.; Vall-llossera, M.; Reul, N. Impact on Sea Surface Salinity Retrieval of Different Auxiliary Data Within the SMOS Mission. IEEE T. Geosci. Remote Sens. 2006, 44, 2769–2778. [Google Scholar] [CrossRef]
- Wang, J.; Jiao, Y.; Cao, Y.; Shi, J. Advances on ocean salinity remote sensing. Ocean Tech. 2006, 25, 76–81. (In Chinese) [Google Scholar]
- Bao, S.; Zhang, R.; Wang, H.; Yan, H.; Wang, Y. Correction of Satellite Sea Surface Salinity Products Using Ensemble Learning Method. IEEE Access 2021, 99, 1. [Google Scholar] [CrossRef]
- Alina, N.D.; Gaël, A.; Alex, C.S.; Adeola, B.; Arnaud, B. Global Analysis of Coastal Gradients of Sea Surface Salinity. Remote Sens. 2021, 13, 2507. [Google Scholar]
- Meissner, T.; Wentz, F.J.; Lee, T. Remote sensing systems SMAP ocean surface salinities [level 2C, level 3 running 8-day, Level 3 Monthly], Version 2.0 validated release. Remote Sens. Syst. 2019, 1–23. [Google Scholar] [CrossRef]








| Date | Minimum Pressure (hPa) | Name | R2 of SSMAP and SArgo before TCs | R2 of SSMAP and SArgo after TCs | R2 of SSMOS and SArgo before TCs | R2 of SSMOS and SArgo after TCs |
|---|---|---|---|---|---|---|
| 17–22 May 2016 | 983 | Cyclonic Storm Roanu | 0.53(8) | 0.85(10) | 0.38(8) | 0.67(10) |
| 21–28 October 2016 | 996 | Cyclonic Storm Kyant | 0.73(23) | 0.82(21) | 0.27(23) | 0.61(21) |
| 2–6 November 2016 | 1000 | Depression | 0.88(9) | 0.93(9) | 0.74(9) | 0.78(9) |
| 29 November–2 December 2016 | 1000 | Cyclonic Storm Nada | 0.97(7) | 0.86(7) | 0.98(7) | 0.93(7) |
| 6–13 December 2016 | 975 | VSCS Vardah | 0.90(26) | 0.53(22) | 0.78(26) | 0.27(22) |
| 15–17 April 2017 | 996 | Cyclonic Storm Maarutha | 0.85(13) | 0.80(15) | 0.43(13) | 0.30(15) |
| 28–31 May 2017 | 978 | SCS Mora | 0.51(11) | 0.43(14) | 0.68(11) | 0.04(14) |
| 6–9 December 2017 | 1002 | Deep Depression | 0.87(7) | 0.85(10) | 0.54(7) | 0.94(10) |
| 10–19 November 2018 | 976 | VSCS Gaja | 0.60(6) | 0.15(6) | 0.46(6) | 0.35(6) |
| 26 April–4 May 2019 | 932 | ESCS Fani | 0.86(9) | 0.81(7) | 0.73(9) | 0.71(7) |
| SSMAP before TCs | SArgo before TCs | SSMOS before TCs | SSMAP after TCs | SArgo after TCs | SSMOS after TCs | |
|---|---|---|---|---|---|---|
| Mean ± STD (psu) | 32.33 ± 1.39 | 32.44 ± 1.34 | 32.60 ± 1.16 | 32.64 ± 1.00 | 32.65 ± 1.03 | 32.59 ± 1.18 |
| Bias (SMAP and Argo, psu) | −0.11 | −0.01 | ||||
| RMSE (SMAP and Argo, psu) | 0.58 | 0.47 | ||||
| Bias (SMOS and Argo, psu) | 0.16 | −0.06 | ||||
| RMSE (SMOS and Argo, psu) | 0.84 | 0.78 | ||||
Publisher’s Note: MDPI stays neutral with regard to jurisdictional claims in published maps and institutional affiliations. |
© 2022 by the authors. Licensee MDPI, Basel, Switzerland. This article is an open access article distributed under the terms and conditions of the Creative Commons Attribution (CC BY) license (https://creativecommons.org/licenses/by/4.0/).
Share and Cite
Xu, H.; Shan, Y.; Xu, G. Performance of SMAP and SMOS Salinity Products under Tropical Cyclones in the Bay of Bengal. Remote Sens. 2022, 14, 3733. https://doi.org/10.3390/rs14153733
Xu H, Shan Y, Xu G. Performance of SMAP and SMOS Salinity Products under Tropical Cyclones in the Bay of Bengal. Remote Sensing. 2022; 14(15):3733. https://doi.org/10.3390/rs14153733
Chicago/Turabian StyleXu, Huabing, Yucai Shan, and Guangjun Xu. 2022. "Performance of SMAP and SMOS Salinity Products under Tropical Cyclones in the Bay of Bengal" Remote Sensing 14, no. 15: 3733. https://doi.org/10.3390/rs14153733
APA StyleXu, H., Shan, Y., & Xu, G. (2022). Performance of SMAP and SMOS Salinity Products under Tropical Cyclones in the Bay of Bengal. Remote Sensing, 14(15), 3733. https://doi.org/10.3390/rs14153733

