Study on Sensitivity of Observation Error Statistics of Doppler Radars to the Radar forward Operator in Convective-Scale Data Assimilation
Abstract
1. Introduction
2. The Desroziers Method
3. The ICON Model, Radar Observations, and the Radar Forward Operator
3.1. The ICON Model
3.2. Radar Observations and EMVORADO
3.2.1. Radar Observations
3.2.2. Beam Bending and Broadening
3.2.3. Simulation of Reflectivity and Attenuation
3.2.4. Simulation of Radial Wind and Hydrometeor Terminal Fall Speed
4. Sensitivity Experiments
4.1. Experimental Setup
4.2. Experimental Results
4.2.1. Standard Deviations of Estimated Observation Error
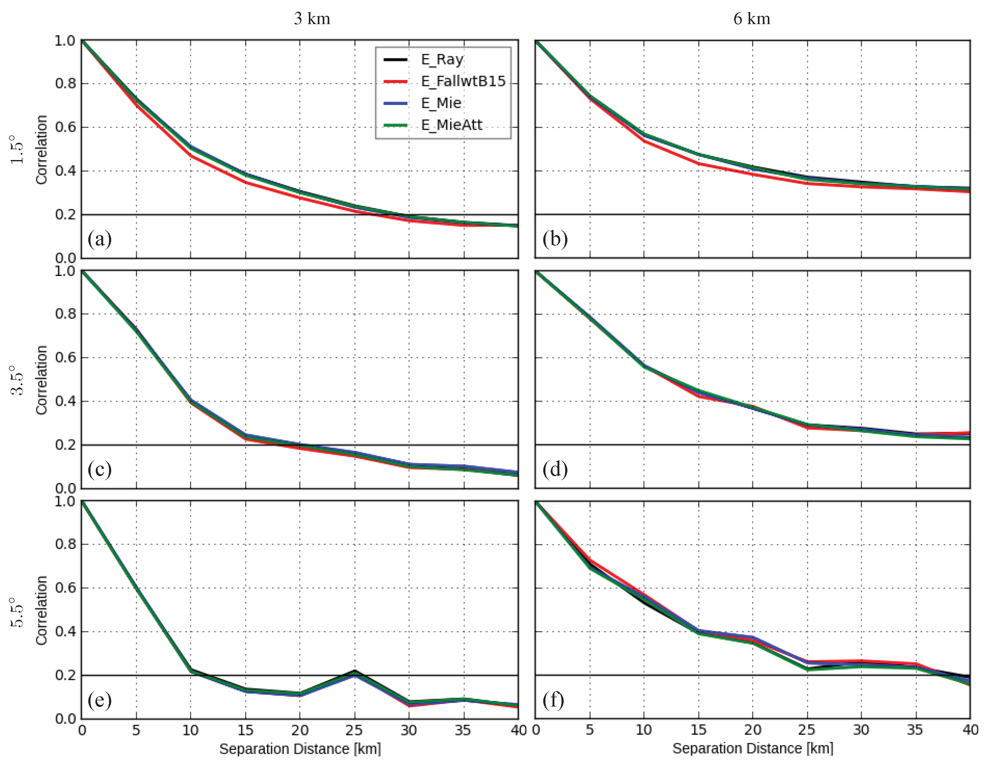
4.2.2. Correlation Length Scales of Estimated Observation Error
5. Summary and Outlook
Author Contributions
Funding
Data Availability Statement
Acknowledgments
Conflicts of Interest
References
- Simonin, D.; Ballard, S.; Li, Z. Doppler radar radial wind assimilation using an hourly cycling 3D-Var with a 1.5 km resolution version of the Met Office Unified Model for nowcasting. Q. J. R. Meteorol. Soc. 2014, 140, 2298–2314. [Google Scholar] [CrossRef]
- Wattrelot, E.; Caumont, O.; Mahfouf, J. Operational implementation of the 1D+3D-Var assimilation method of radar reflectivity data in the AROME model. Mon. Weather Rev. 2014, 142, 1852–1873. [Google Scholar] [CrossRef]
- Schraff, C.; Reich, H.; Rhodin, A.; Schomburg, A.; Stephan, K.; Periáñez, A.; Potthast, R. Kilometre-Scale Ensemble Data Assimilation for the COSMO Model (KENDA). Q. J. R. Meteorol. Soc. 2016, 142, 1453–1472. [Google Scholar] [CrossRef]
- Gustafsson, N.; Janjić, T.; Schraff, C.; Leuenberger, D.; Weissman, M.; Reich, H.; Brousseau, P.; Montmerle, T.; Wattrelot, E.; Bucanek, A.; et al. Survey of data assimilation methods for convective-scale numerical weather prediction at operational centres. Q. J. R. Meteorol. Soc. 2018, 144, 1218–1256. [Google Scholar] [CrossRef]
- Zängl, G.; Reinert, D.; Rïpodas, P.; Baldauf, M. The ICON (ICOsahedral Non-hydrostatic) modelling framework of DWD and MPI-M: Description of the non-hydrostatic dynamical core. Q. J. R. Meteorol. Soc. 2015, 141, 563–579. [Google Scholar] [CrossRef]
- Bick, T.; Simmer, C.; Trömel, S.; Wapler, K.; Stephan, K.; Blahak, U.; Zeng, Y.; Potthast, R. Assimilation of 3D-Radar Reflectivities with an Ensemble Kalman Filter on the Convective Scale. Q. J. R. Meteorol. Soc. 2016, 142, 1490–1504. [Google Scholar] [CrossRef]
- Hunt, B.R.; Kostelich, E.J.; Szunyogh, I. Efficient data assimilation for Spatiotemporal Chaos: A Local Ensemble Transform Kalman Filter. Phys. Nonlinear Phenom. 2007, 230, 112–126. [Google Scholar] [CrossRef]
- Zeng, Y. Efficient Radar Forward Operator for Operational Data Assimilation within the COSMO-Model. Ph.D. Dissertation, Karlsruhe Insititute of Technology, Karlsruhe, Germany, 2013. [Google Scholar]
- Zeng, Y.; Blahak, U.; Neuper, M.; Jerger, D. Radar Beam Tracing Methods Based on Atmospheric Refractive Index. J. Atmos. Ocean. Technol. 2014, 31, 2650–2670. [Google Scholar] [CrossRef]
- Zeng, Y.; Blahak, U.; Jerger, D. An efficient modular volume-scanning radar forward operator for NWP models: Description and coupling to the COSMO model. Q. J. R. Meteorol. Soc. 2016, 142, 3234–3256. [Google Scholar] [CrossRef]
- Blahak, U.; RADAR_MIE_LM and RADAR_MIELIB – Calculation of Radar Reflectivity from Model Output. COSMO Technical Report No. 28, Consortium for Small Scale Modeling. 2016. Available online: http://www.cosmo-model.org/content/model/documentation/techReports/cosmo/docs/techReport28.pdf (accessed on 20 June 2022).
- Blahak, U.; de Lozar, A. EMVORADO—Efficient Modular VOlume scan RADar Operator. A User’s Guide; Deutscher Wetterdienst: Offenbach, Germany, 2021. [Google Scholar]
- Trömel, S.; Simmer, C.; Blahak, U.; Blanke, A.; Ewald, F.; Frech, M.; Gergely, M.; Hagen, M.; Hörnig, S.; Janjic, T.; et al. Overview: Fusion of Radar Polarimetry and Numerical Atmospheric Modelling Towards an Improved Understanding of Cloud and Precipitation Processes. Atmos. Chem. Phys. Discuss. 2021, 2021, 1–36. [Google Scholar] [CrossRef]
- Gastaldo, T.; Poli, V.; Marsigli, C.; Cesari, D.; Alberoni, P.P.; Paccagnella, T. Assimilation of radar reflectivity volumes in a pre-operational framework. Q. J. R. Meteorol. Soc. 2021, 147, 1031–1054. [Google Scholar] [CrossRef]
- Janjic, T.; Bormann, N.; Bocquet, M.; Carton, J.A.; Cohn, S.E.; Dance, S.L.; Losa, S.N.; Nichols, N.K.; Potthast, R.; Waller, J.A.; et al. On the representation error in data assimilation. Q. J. R. Meteorol. Soc. 2018, 144, 1257–1278. [Google Scholar] [CrossRef]
- Hollingsworth, A.; Lonnberg, P. The statistical structure of short-range forecast errors as determined from radiosonde data. Part 1: The wind field. Tellus 1986, 38, 111–136. [Google Scholar] [CrossRef]
- Desroziers, G.; Berre, L.; Chapnik, B.; Poli, P. Diagnosis of observation, background and analysis-error statistics in observation space. Q. J. R. Meteorol. Soc. 2005, 131, 3385–3396. [Google Scholar] [CrossRef]
- Wattrelot, E.; Montmerle, T.; Guerrero, C. Evolution of the assimilation of radar data in the AROME model at Météo-France. In Proceedings of the Seventh European Conference on Radar in Meteorology and Hydrology, Toulouse, France, 24–29 June 2012. [Google Scholar]
- Simonin, D.; Waller, J.A.; Ballard, S.P.; Dance, S.L.; Nichols, N.K. A pragmatic strategy for implementing spatially correlated observation errors in an operational system: An application to Doppler radial winds. Q. J. R. Meteorol. Soc. 2019, 145, 2772–2790. [Google Scholar] [CrossRef]
- Fujita, T.; Seko, H.; Kawabata, T.; Ikuta, Y.; Sawada, K.; Hotta, D.; Kunii, M. Variational Data Assimilation with Spatial and Temporal Observation Error Correlations of Doppler Radar Radial Winds. In Proceedings of the Working Group on Numerical Experimentation, Report No. 50.WCRP Report No.12/2020, Online, 2–5 November 2020. [Google Scholar]
- Doviak, R.J.; Zrnic, D.S. Doppler Radar and Weather Observations; Academic Press, Inc.: San Diego, CA, USA, 1993; Volume 2. [Google Scholar]
- Xue, M.; Jung, Y.; Zhang, G. Error modeling of simulated reflectivity observations for ensemble Kalman filter assimilation of convective storms. Geophys. Res. Lett. 2007, 148, L10802. [Google Scholar] [CrossRef]
- Zeng, Y.; Janjic, T.; Feng, Y.; Blahak, U.; de Lozar, A.; Bauernschubert, E.; Stephan, K.; Min, J. Interpreting estimated Observation Error Statistics of Weather Radar Measurements using the ICON-LAM-KENDA System. Atmos. Meas. Tech. 2021, 14, 5735–5756. [Google Scholar] [CrossRef]
- Jung, Y.; Xue, M.; Zhang, G. Simulations of Polarimetric Radar Signatures of a Supercell Storm Using a Two-Moment Bulk Microphysics Scheme. J. Appl. Meteorol. Clim. 2010, 49, 146–163. [Google Scholar] [CrossRef]
- Waller, J.A.; Simonin, D.; Dance, S.L.; Nichols, N.K.; Ballard, S.P. Diagnosing Observation Error Correlations for Doppler Radar Radial Winds in the Met Office UKV Model Using Observation-Minus-Background and Observation-Minus-Analysis Statistics. Mon. Weather Rev. 2016, 144, 3533–3551. [Google Scholar] [CrossRef]
- Waller, J.A.; Dance, S.L.; Nichols, N.K. Theoretical insight into diagnosing observation error correlations using observation-minus-background and observation-minus-analysis statistics. Q. J. R. Meteorol. Soc. 2016, 142, 418–431. [Google Scholar] [CrossRef]
- Waller, J.A.; Bauernschubert, E.; Dance, S.L.; Nichols, N.K.; Potthast, R.; Simonin, D. Observation Error Statistics for Doppler Radar Radial Wind Superobservations Assimilated into the DWD COSMO-KENDA System. Mon. Weather Rev. 2019, 147, 3351–3364. [Google Scholar] [CrossRef]
- Lin, Y.; Farley, R.D.; Orville, H.D. Bulk parameterization of the snow field in a cloud model. J. Clim. Appl. Meteorol. 1983, 22, 1065–1092. [Google Scholar] [CrossRef]
- Reinhardt, T.; Seifert, A. A three-category ice scheme for LMK. COSMO News Lett. 2006, 6, 115–120. [Google Scholar]
- Seifert, A.; Beheng, K.D. A two-moment cloud microphysics parameterization for mixed-phase clouds. Part I: Model description. Meteorol. Atmos. Phys. 2006, 92, 45–66. [Google Scholar] [CrossRef]
- Raschendorfer, M. The New Turbulence Parametrization of LM; COSMO-Newsletter; Consortium for Smallscale Modeling: Offenbach, Germany, 2001; Volume 1. [Google Scholar]
- Tiedtke, M. A comprehensive mass flux scheme for cumulus parameterization in large-scale models. Mon. Weather Rev. 1989, 117, 1779–1799. [Google Scholar] [CrossRef]
- Werner, M. A New Radar Data Post-Processing Quality Control Workflow for the DWD Weather Radar Network. In Proceedings of the Eighth European Conference on Radar in Meteorology and Hydrology, Garmisch-Partenkirchen, Germany, 1–5 September 2014. [Google Scholar]
- Stephan, K.; Klink, S.; Schraff, C. Assimilation of radar-derived rain rates into convective-scale model COSMO-DE at DWD. Q. J. R. Meteorol. Soc. 2008, 134, 1315–1326. [Google Scholar] [CrossRef]
- Press, W.H.; Teukolsky, S.A.; Vetterling, W.T.; Flannery, B.P. Numerical Recipes in Fortran 77; Cambridge University Press: Cambridge, UK, 1993. [Google Scholar]
- Blahak, U. An approximation to the effective beam weighting function for scanning meteorological radars with axissymmetric antenna pattern. J. Atmos. Ocean. Technol. 2008, 25, 1182–1196. [Google Scholar] [CrossRef]
- Ray, P.S. Broadband complex refractive indices of ice and water. Appl. Opt. 1972, 11, 1836–1844. [Google Scholar] [CrossRef]
- Liebe, H.J.; Hufford, G.A.; Manabe, T. A model for the complex permittivity of water at frequencies below 1THz. Int. J. Infrared Millim. Waves 1991, 12, 659–675. [Google Scholar] [CrossRef]
- Warren, S.G. Optical constants of ice from the ultraviolet to the microwave. Appl. Opt. 1984, 23, 1029–1078. [Google Scholar] [CrossRef]
- Mätzler, C. Microwave properties of ice and snow. Sol. Syst. Ices Astrophys. Space Sci. Libr. 1998, 227, 241–257. [Google Scholar]
- Wolfensberger, D.; Berne, A. From model to radar variables: A new forward polarimetricradar operator for COSMO. Atmos. Meas. Tech. 2018, 11, 3883–3916. [Google Scholar] [CrossRef]
- Maxwell-Garnett, J.C. Colours in metal glasses and in metallic films. Proc. R. Soc. Lond. 1904, A203, 385–420. [Google Scholar]
- Bruggemann, D.A.G. Brechung verschiender physikalischer Konstanten von heteogenes Substanzen I. Dielektrizitätskonstanten und Leitfähigkeiten der Misachkörper aus isotropen Substanzen. Ann. Phys. 1935, 416, 636–664. [Google Scholar] [CrossRef]
- Oguchi, T. Electromagnetic wave propagation and scattering in rain and other hydrometeors. Proc. IEEE 1983, 71, 1029–1078. [Google Scholar] [CrossRef]
- Batten, L.; Bohren, C. Radar backscattering by melting snowflakes. J. Appl. Meteorol. 1982, 21, 1937–1938. [Google Scholar] [CrossRef][Green Version]
- Lange, H.; Janjić, T. Assimilation of Mode-S EHS Aircraft Observations in COSMO-KENDA. Mon. Weather Rev. 2016, 144, 1697–1711. [Google Scholar] [CrossRef]
- Zeng, Y.; Janjić, T.; de Lozar, A.; Blahak, U.; Reich, H.; Keil, C.; Seifert, A. Representation of model error in convective-scale data assimilation: Additive noise, relaxation methods and combinations. J. Adv. Model. Earth Syst. 2018, 10, 2889–2911. [Google Scholar] [CrossRef]
- Feng, Y.; Janjić, T.; Zeng, Y.; Seifert, A.; Min, J. Representing microphysical uncertainty in convective-scale data assimilation using additive noise. J. Adv. Model. Earth Syst. 2021, 13, e2021MS002606. [Google Scholar] [CrossRef]
- Aksoy, A.; Dowell, D.C.; Snyder, C. A multiscale comparative assessment of the ensemble Kalman filter for assimilation of radar observations. Part I: Storm-scale analyses. Mon. Weather Rev. 2009, 137, 1805–1824. [Google Scholar] [CrossRef]
- Zeng, Y.; Janjic, T.; de Lozar, A.; Welzbacher, C.A.; Blahak, U.; Seifert, A. Assimilating radar radial wind and reflectivity data in an idealized setup of the COSMO-KENDA system. Atmos. Res. 2021, 249, 105282. [Google Scholar] [CrossRef]
- Anderson, J.L. Spatially and temporally varing adaptive covariance inflation for ensemble filters. Tellus 2009, 61A, 72–83. [Google Scholar] [CrossRef]
- Zhang, F.; Snyder, C.; Sun, J. Impacts of initial estimate and observation availability on convective-scale data assimilation with an ensemble Kalman filter. Mon. Weather Rev. 2004, 132, 1238–1253. [Google Scholar] [CrossRef]
- Janjic, T.; Zeng, Y. Weakly constrained LETKF for estimation of hydrometeor variables in convective-scale data assimilation. Geophys. Res. Lett. 2021, 48, e2021GL094962. [Google Scholar] [CrossRef]
- Waller, J.A.; Ballard, S.P.; Dance, S.L.; Kelly, G.; Nichols, N.K.; Simonin, D. Diagnosing horizontal and inter-channelobservation error correlations for SEVIRI observations using observation-minus-background and observation-minus-analysis statistics. Remote Sens. 2016, 8, 581. [Google Scholar] [CrossRef]
- Weissmann, M.; Göber, M.; Hohenegger, C.; Janjić, T.; Keller, J.; Ohlwein, C.; Seifert, A.; Trömel, S.; Ulbrich, T.; Wapler, K.; et al. Initial phase of the Hans-Ertel Centre for Weather Research - A virtual centre at the interface of basic and applied weather and climate research. Meteorol. Z. 2014, 23, 193–208. [Google Scholar] [CrossRef]
- Simmer, C.; Adrian, G.; Jones, S.; Wirth, V.; Göber, M.; Hohenegger, C.; Janjić, T.; Keller, J.; Ohlwein, C.; Seifert, A.; et al. HErZ – The German Hans-Ertel Centre for Weather Research. Bull. Am. Meteorol. Soc. 2016, 97, 1057–1068. [Google Scholar] [CrossRef]






| EXP | Ray./Mie | Term. Fall Speed | Reflect. Weighting | Broaden. Effect | Atten. |
|---|---|---|---|---|---|
| E_Ray | Ray. | × | × | × | × |
| E_Fall | Ray. | ✓ | × | × | × |
| E_Fallwt | Ray. | ✓ | ✓ | × | × |
| E_B15 | Ray. | × | × | × | |
| E_B35 | Ray. | × | × | × | |
| E_FallwtB15 | Ray. | ✓ | ✓ | × | |
| E_Mie | Mie | × | × | × | × |
| E_MieAtt | Mie | × | × | × | ✓ |
Publisher’s Note: MDPI stays neutral with regard to jurisdictional claims in published maps and institutional affiliations. |
© 2022 by the authors. Licensee MDPI, Basel, Switzerland. This article is an open access article distributed under the terms and conditions of the Creative Commons Attribution (CC BY) license (https://creativecommons.org/licenses/by/4.0/).
Share and Cite
Zeng, Y.; Li, H.; Feng, Y.; Blahak, U.; de Lozar, A.; Luo, J.; Min, J. Study on Sensitivity of Observation Error Statistics of Doppler Radars to the Radar forward Operator in Convective-Scale Data Assimilation. Remote Sens. 2022, 14, 3685. https://doi.org/10.3390/rs14153685
Zeng Y, Li H, Feng Y, Blahak U, de Lozar A, Luo J, Min J. Study on Sensitivity of Observation Error Statistics of Doppler Radars to the Radar forward Operator in Convective-Scale Data Assimilation. Remote Sensing. 2022; 14(15):3685. https://doi.org/10.3390/rs14153685
Chicago/Turabian StyleZeng, Yuefei, Hong Li, Yuxuan Feng, Ulrich Blahak, Alberto de Lozar, Jingyao Luo, and Jinzhong Min. 2022. "Study on Sensitivity of Observation Error Statistics of Doppler Radars to the Radar forward Operator in Convective-Scale Data Assimilation" Remote Sensing 14, no. 15: 3685. https://doi.org/10.3390/rs14153685
APA StyleZeng, Y., Li, H., Feng, Y., Blahak, U., de Lozar, A., Luo, J., & Min, J. (2022). Study on Sensitivity of Observation Error Statistics of Doppler Radars to the Radar forward Operator in Convective-Scale Data Assimilation. Remote Sensing, 14(15), 3685. https://doi.org/10.3390/rs14153685
