Synchronization, Decoupling, and Regime Shift of Urban Thermal Conditions in Xi’an, an Ancient City in China under Rapid Expansion
Abstract
:1. Introduction
2. Materials and Methods
2.1. Study Area
2.2. Retrieval and Quantification of Land Surface Temperature Data
2.3. Identification of Urban Area and Calculation of Landscape Pattern Index and SUHI Values
2.4. Trend Analysis
2.5. Double Temperature Curve Approach (DTCA)
3. Results
3.1. Spatiotemporal Changes in Urban Thermal Environments
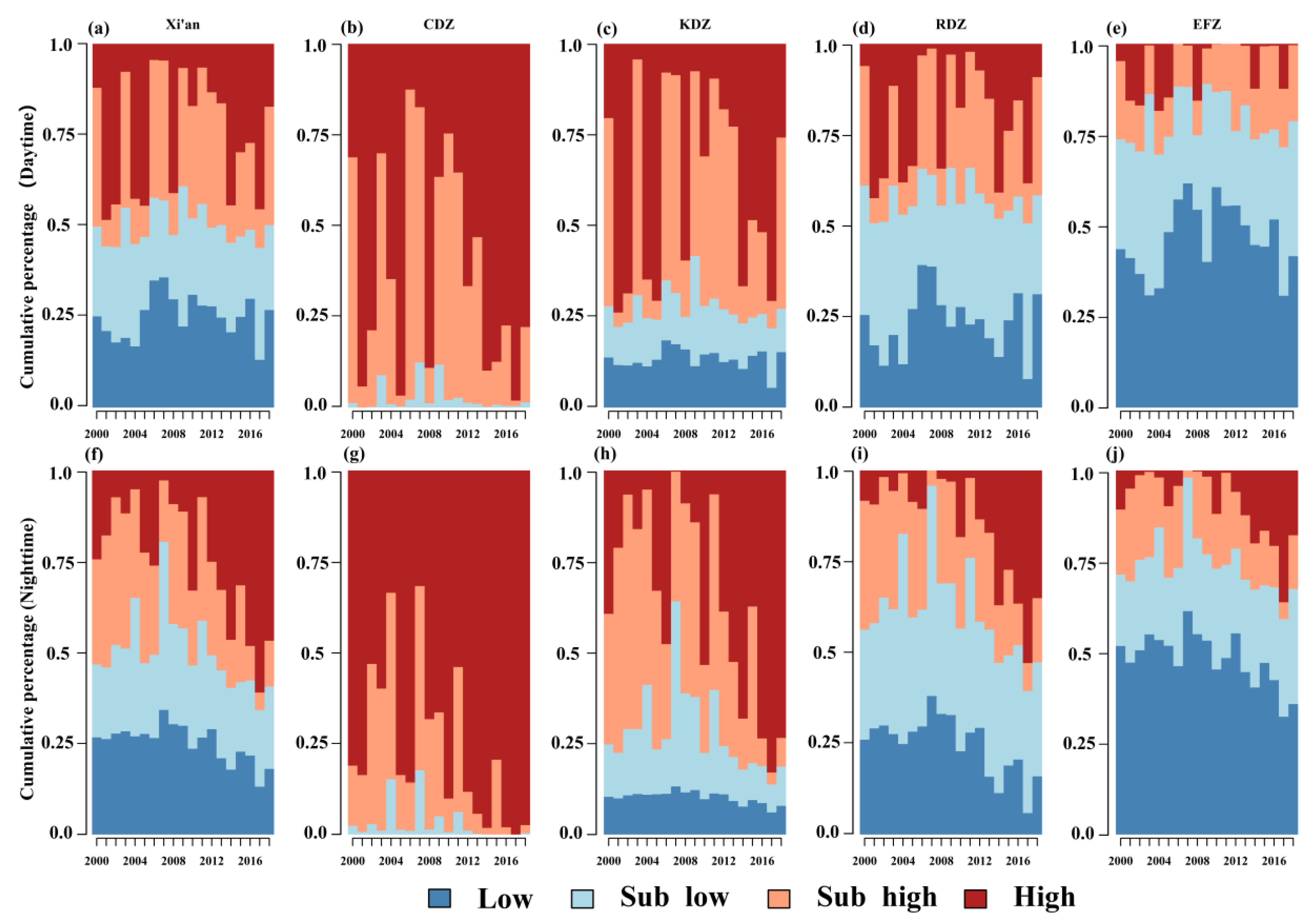
3.2. LST Variations across Functional Zones
3.3. Changes in Thermal Environment of Relics in the Process of Urban Development
3.4. Correlation of Landscape with Thermal Environment
4. Discussion
4.1. Statistical vs. Double Temperature Curve Analysis
4.2. Importance of Studying Temporal Changes
4.3. Urban Development Zoning and Thermal Environment Changes
4.4. Temperature Decoupling and the Management of Relics
4.5. Limitations and Opportunities
5. Conclusions
Author Contributions
Funding
Data Availability Statement
Conflicts of Interest
Appendix A
| Slope | Intercept | ||
|---|---|---|---|
| Daytime | CDZ | 0.23 | −1.31 |
| KDZ | 0.31 * | −7.20 * | |
| RDZ | −0.02 | 0.11 | |
| EFZ | −0.36 * | 7.74 * | |
| Nighttime | CDZ | 0.36 * | −3.51 |
| KDZ | 0.12 * | −0.97 | |
| RDZ | −0.01 | −0.16 | |
| EFZ | −0.21 * | 2.19 * | |
| Relics | Army Riffraff | 0.11 | −0.42 |
| Huaqing Palace | −0.09 | 5.32 | |
| Epang Palace | 0.38 | −4.05 | |
| Daming Palace | 0.12 | 4.79 |

References
- Ritchie, H.; Roser, M. Urbanization. In Our World in Data; Global Change Data Lab: Oxford, UK, 2018. [Google Scholar]
- Guo, L.; Liu, R.; Men, C.; Wang, Q.; Miao, Y.; Zhang, Y. Quantifying and simulating landscape composition and pattern impacts on land surface temperature: A decadal study of the rapidly urbanizing city of Beijing, China. Sci. Total Envion. 2019, 654, 430–440. [Google Scholar] [CrossRef] [PubMed]
- Duan, L.; Liu, Z.; Yu, W.; Chen, W.; Jin, D.; Sun, S.; Dai, R. Trend of Urbanization rate in china various regions. In Proceedings of the IOP Conference Series: Earth and Environmental Science, Moscow, Russia, 27 May–6 June 2019; p. 012008. [Google Scholar]
- Lo, C.P.; Quattrochi, D.A.; Luvall, J.C. Application of high-resolution thermal infrared remote sensing and GIS to assess the urban heat island effect. Int. J. Remote Sens. 1997, 18, 287–304. [Google Scholar] [CrossRef] [Green Version]
- Liang, L.; Wang, Z.; Li, J. The effect of urbanization on environmental pollution in rapidly developing urban agglomerations. J. Clean. Prod. 2019, 237, 117649. [Google Scholar] [CrossRef]
- Oke, T.R. The energetic basis of the urban heat island. Q. J. R. Meteorol. Soc. 1982, 108, 1–24. [Google Scholar] [CrossRef]
- Oke, T.R. The urban energy balance. Prog. Phys. Geogr. 1988, 12, 471–508. [Google Scholar] [CrossRef]
- Gunawardena, K.R.; Wells, M.J.; Kershaw, T. Utilising green and bluespace to mitigate urban heat island intensity. Sci. Total Environ. 2017, 584, 1040–1055. [Google Scholar] [CrossRef]
- Churkina, G.; Kuik, F.; Bonn, B.; Lauer, A.; Grote, R.d.; Tomiak, K.; Butler, T.M. Effect of VOC emissions from vegetation on air quality in Berlin during a heatwave. Environ. Sci. Technol. 2017, 51, 6120–6130. [Google Scholar] [CrossRef] [Green Version]
- Santamouris, M.; Kolokotsa, D. On the impact of urban overheating and extreme climatic conditions on housing, energy, comfort and environmental quality of vulnerable population in Europe. Energy Build. 2015, 98, 125–133. [Google Scholar] [CrossRef]
- Shahmohamadi, P.; Che-Ani, A.; Etessam, I.; Maulud, K.; Tawil, N. Healthy environment: The need to mitigate urban heat island effects on human health. Procedia. Eng. 2011, 20, 61–70. [Google Scholar] [CrossRef] [Green Version]
- Weng, Q.; Fu, P. Modeling annual parameters of clear-sky land surface temperature variations and evaluating the impact of cloud cover using time series of Landsat TIR data. Remote Sens. Environ. 2014, 140, 267–278. [Google Scholar] [CrossRef]
- Xian, G.; Crane, M. An analysis of urban thermal characteristics and associated land cover in Tampa Bay and Las Vegas using Landsat satellite data. Remote Sens. Environ. 2006, 104, 147–156. [Google Scholar] [CrossRef]
- Li, J.-j.; Wang, X.-r.; Wang, X.-j.; Ma, W.-c.; Zhang, H. Remote sensing evaluation of urban heat island and its spatial pattern of the Shanghai metropolitan area, China. Ecol. Complex. 2009, 6, 413–420. [Google Scholar] [CrossRef]
- Yadav, N.; Sharma, C. Spatial variations of intra-city urban heat island in megacity Delhi. Sustain. Cities Soc. 2018, 37, 298–306. [Google Scholar] [CrossRef]
- Chakraborty, T.; Hsu, A.; Manya, D.; Sheriff, G. A spatially explicit surface urban heat island database for the United States: Characterization, uncertainties, and possible applications. ISPRS J. Photogramm. Remote Sens. 2020, 168, 74–88. [Google Scholar] [CrossRef]
- Zhou, D.; Bonafoni, S.; Zhang, L.; Wang, R. Remote sensing of the urban heat island effect in a highly populated urban agglomeration area in East China. Sci. Total Environ. 2018, 628, 415–429. [Google Scholar] [CrossRef] [PubMed]
- Zhou, D.; Zhao, S.; Zhang, L.; Sun, G.; Liu, Y. The footprint of urban heat island effect in China. Sci. Rep. 2015, 5, 11160. [Google Scholar] [CrossRef]
- Yao, R.; Wang, L.; Huang, X.; Zhang, W.; Li, J.; Niu, Z. Interannual variations in surface urban heat island intensity and associated drivers in China. J. Environ. Manag. 2018, 222, 86–94. [Google Scholar] [CrossRef]
- Sun, R.; Chen, L. Effects of green space dynamics on urban heat islands: Mitigation and diversification. Ecosyst. Serv. 2017, 23, 38–46. [Google Scholar] [CrossRef]
- Wang, C.; Myint, S.W.; Wang, Z.; Song, J. Spatio-temporal modeling of the urban heat island in the Phoenix metropolitan area: Land use change implications. Remote Sens. 2016, 8, 185. [Google Scholar] [CrossRef] [Green Version]
- Wang, J.; Zhou, W.; Wang, J. Time-Series Analysis Reveals Intensified Urban Heat Island Effects but without Significant Urban Warming. Remote Sens. 2019, 11, 2229. [Google Scholar] [CrossRef] [Green Version]
- Zhou, D.; Xiao, J.; Bonafoni, S.; Berger, C.; Deilami, K.; Zhou, Y.; Frolking, S.; Yao, R.; Qiao, Z.; Sobrino, J.A. Satellite Remote Sensing of Surface Urban Heat Islands: Progress, Challenges, and Perspectives. Remote Sens. 2019, 11, 48. [Google Scholar] [CrossRef] [Green Version]
- Feng, Y.; Du, S.; Myint, S.W.; Shu, M. Do Urban Functional Zones Affect Land Surface Temperature Differently? A Case Study of Beijing, China. Remote Sens. 2019, 11, 1802. [Google Scholar] [CrossRef] [Green Version]
- Hu, T.; Yang, J.; Li, X.; Gong, P. Mapping urban land use by using landsat images and open social data. Remote Sens. 2016, 8, 151. [Google Scholar] [CrossRef]
- Batty, M. The size, scale, and shape of cities. Science 2008, 319, 769–771. [Google Scholar] [CrossRef] [Green Version]
- Li, C.; Liu, M.; Hu, Y.; Shi, T.; Qu, X.; Walter, M.T. Effects of urbanization on direct runoff characteristics in urban functional zones. Sci. Total Environ. 2018, 643, 301–311. [Google Scholar] [CrossRef]
- Wu, J. Urban ecology and sustainability: The state-of-the-science and future directions. Landsc. Urban Plan. 2014, 125, 209–221. [Google Scholar] [CrossRef]
- Xu, S.; Qing, L.; Han, L.; Liu, M.; Peng, Y.; Shen, L. A New Remote Sensing Images and Point-of-Interest Fused (RPF) Model for Sensing Urban Functional Regions. Remote Sens. 2020, 12, 1032. [Google Scholar] [CrossRef] [Green Version]
- Zhou, W.; Ming, D.; Lv, X.; Zhou, K.; Bao, H.; Hong, Z. SO–CNN based urban functional zone fine division with VHR remote sensing image. Remote Sens. Environ. 2020, 236, 111458. [Google Scholar] [CrossRef]
- Huang, X.; Wang, Y. Investigating the effects of 3D urban morphology on the surface urban heat island effect in urban functional zones by using high-resolution remote sensing data: A case study of Wuhan, Central China. ISPRS J. Photogramm. Remote Sens. 2019, 152, 119–131. [Google Scholar] [CrossRef]
- Li, T.; Cao, J.; Xu, M.; Wu, Q.; Yao, L. The influence of urban spatial pattern on land surface temperature for different functional zones. Landsc. Ecol. Eng. 2020, 16, 249–262. [Google Scholar] [CrossRef]
- Yao, L.; Xu, Y.; Zhang, B. Effect of urban function and landscape structure on the urban heat island phenomenon in Beijing, China. Landsc. Ecol. Eng. 2019, 15, 379–390. [Google Scholar] [CrossRef]
- De Jong, M.; Yu, C.; Joss, S.; Wennersten, R.; Yu, L.; Zhang, X.; Ma, X. Eco city development in China: Addressing the policy implementation challenge. J. Clean. Prod. 2016, 134, 31–41. [Google Scholar] [CrossRef]
- Liu, M.; Liu, S.; Ning, Y.; Zhu, Y.; Valbuena, R.; Guo, R.; Li, Y.; Tang, W.; Mo, D.; Rosa, I.M.D.; et al. Co-Evolution of Emerging Multi-Cities: Rates, Patterns and Driving Policies Revealed by Continuous Change Detection and Classification of Landsat Data. Remote Sens. 2020, 12, 2905. [Google Scholar] [CrossRef]
- Sun, R.; Lü, Y.; Chen, L.; Yang, L.; Chen, A. Assessing the stability of annual temperatures for different urban functional zones. Build. Environ. 2013, 65, 90–98. [Google Scholar] [CrossRef]
- Agelakopoulou, T.; Metaxa, E.; Karagianni Ch, S.; Roubani-Kalantzopoulou, F. Air pollution effect of SO2 and/or aliphatic hydrocarbons on marble statues in Archaeological Museums. J. Hazard. Mater. 2009, 169, 182–189. [Google Scholar] [CrossRef]
- Luo, X.; Gu, Z.; Li, T.; Meng, X.; Ma, T.; Yu, C. Environmental control strategies for the in situ preservation of unearthed relics in archaeology museums. J. Cult. Herit. 2015, 16, 790–797. [Google Scholar] [CrossRef]
- Niknami, K.A. Iran: Archaeological heritage in crisis. J. Cult. Herit. 2005, 6, 345–350. [Google Scholar] [CrossRef]
- Sabbioni, C.; Cassar, M.; Brimblecombe, P.; Lefevre, R.-A. Vulnerability of cultural heritage to climate change. EUR-OPA Major Hazards Agreem. Counc. Eur. Novemb. 2008, 11, 112. [Google Scholar]
- Grossi, C.M.; Brimblecombe, P.; Harris, I. Predicting long term freeze-thaw risks on Europe built heritage and archaeological sites in a changing climate. Sci. Total Envion. 2007, 377, 273–281. [Google Scholar] [CrossRef]
- Richards, J.; Bailey, R.; Mayaud, J.; Viles, H.; Guo, Q.; Wang, X. Deterioration risk of dryland earthen heritage sites facing future climatic uncertainty. Sci. Rep. 2020, 10, 16419. [Google Scholar] [CrossRef]
- Sardella, A.; Palazzi, E.; von Hardenberg, J.; Del Grande, C.; De Nuntiis, P.; Sabbioni, C.; Bonazza, A. Risk Mapping for the Sustainable Protection of Cultural Heritage in Extreme Changing Environments. Atmosphere 2020, 11, 700. [Google Scholar] [CrossRef]
- Sesana, E.; Gagnon, A.S.; Bonazza, A.; Hughes, J.J. An integrated approach for assessing the vulnerability of World Heritage Sites to climate change impacts. J. Cult. Herit. 2020, 41, 211–224. [Google Scholar] [CrossRef]
- Yao, R.; Wang, L.; Huang, X.; Niu, Y.; Chen, Y.; Niu, Z. The influence of different data and method on estimating the surface urban heat island intensity. Ecol. Indic. 2018, 89, 45–55. [Google Scholar] [CrossRef]
- Holben, B.N. Characteristics of maximum-value composite images from temporal AVHRR data. Int. J. Remote Sens. 2007, 7, 1417–1434. [Google Scholar] [CrossRef]
- Karabulut, M. An examination of relationships between vegetation and rainfall using maximum value composite AVHRR-NDVI data. Turk. J. Bot. 2003, 27, 93–101. [Google Scholar]
- Lucky, L.A.; Sam, A.D. Poverty and income inequality in Nigeria: An illustration of Lorenz curve from NBS survey. Am. Econ. Soc. Rev. 2018, 2, 80–92. [Google Scholar] [CrossRef]
- Yue, W.; Qiu, S.; Xu, H.; Xu, L.; Zhang, L. Polycentric urban development and urban thermal environment: A case of Hangzhou, China. Landsc. Urban Plan. 2019, 189, 58–70. [Google Scholar] [CrossRef]
- Xie, Y.; Weng, Q. Updating urban extents with nighttime light imagery by using an object-based thresholding method. Remote Sens. Environ. 2016, 187, 1–13. [Google Scholar] [CrossRef]
- Zhou, Y.; Smith, S.J.; Elvidge, C.D.; Zhao, K.; Thomson, A.; Imhoff, M. A cluster-based method to map urban area from DMSP/OLS nightlights. Remote Sens. Environ. 2014, 147, 173–185. [Google Scholar] [CrossRef]
- Zhou, Y.; Smith, S.J.; Zhao, K.; Imhoff, M.; Thomson, A.; Bond-Lamberty, B.; Asrar, G.R.; Zhang, X.; He, C.; Elvidge, C.D. A global map of urban extent from nightlights. Environ. Res. Lett. 2015, 10, 054011. [Google Scholar] [CrossRef]
- Peng, J.; Liu, Q.; Xu, Z.; Lyu, D.; Du, Y.; Qiao, R.; Wu, J. How to effectively mitigate urban heat island effect? A perspective of waterbody patch size threshold. Landsc. Urban Plan. 2020, 202, 103873. [Google Scholar] [CrossRef]
- Zhang, P.; Imhoff, M.L.; Wolfe, R.E.; Bounoua, L. Characterizing urban heat islands of global settlements using MODIS and nighttime lights products. Can. J. Remote Sens. 2010, 36, 185–196. [Google Scholar] [CrossRef] [Green Version]
- Zhou, D.; Zhao, S.; Liu, S.; Zhang, L.; Zhu, C. Surface urban heat island in China’s 32 major cities: Spatial patterns and drivers. Remote Sens. Environ. 2014, 152, 51–61. [Google Scholar] [CrossRef]
- Li, H.; Zhou, Y.; Li, X.; Meng, L.; Wang, X.; Wu, S.; Sodoudi, S. A new method to quantify surface urban heat island intensity. Sci. Total Envion. 2018, 624, 262–272. [Google Scholar] [CrossRef] [PubMed]
- Costanzini, S.; Despini, F.; Beltrami, L.; Fabbi, S.; Muscio, A.; Teggi, S. Identification of SUHI in Urban Areas by Remote Sensing Data and Mitigation Hypothesis through Solar Reflective Materials. Atmosphere 2021, 13, 70. [Google Scholar] [CrossRef]
- Kardinal Jusuf, S.; Wong, N.H.; Hagen, E.; Anggoro, R.; Hong, Y. The influence of land use on the urban heat island in Singapore. Habitat Int. 2007, 31, 232–242. [Google Scholar] [CrossRef]
- Yue, W.; Liu, X.; Zhou, Y.; Liu, Y. Impacts of urban configuration on urban heat island: An empirical study in China mega-cities. Sci. Total Environ. 2019, 671, 1036–1046. [Google Scholar] [CrossRef]
- McGarigal, K. FRAGSTATS: Spatial Pattern Analysis Program for Quantifying Landscape Structure; US Department of Agriculture, Forest Service, Pacific Northwest Research Station: Corvallis, OR, USA, 1995; Volume 351.
- Basarir, A.; Arman, H.; Hussein, S.; Murad, A.; Aldahan, A.; Al-Abri, M.A. Trend detection in annual temperature and precipitation using Mann–Kendall test—A case study to assess climate change in Abu Dhabi, United Arab Emirates. In International Sustainable Buildings Symposium; Springer: Berlin/Heidelberg, Germany, 2017; pp. 3–12. [Google Scholar]
- Pirnia, A.; Golshan, M.; Darabi, H.; Adamowski, J.; Rozbeh, S. Using the Mann–Kendall test and double mass curve method to explore stream flow changes in response to climate and human activities. J. Water Clim. Change 2019, 10, 725–742. [Google Scholar] [CrossRef]
- Hu, C.; Wang, Y.; Guan, J.; Shi, Z. The causes of runoff variation based on double cumulative curve analysis method. J. Water Resour. Res. 2012, 1, 204–210. [Google Scholar] [CrossRef]
- Klemeš, V. Storage mass-curve analysis in a systems-analytic perspective. Water Resour. Res. 1979, 15, 359–370. [Google Scholar] [CrossRef]
- Peng, J.; Xie, P.; Liu, Y.; Ma, J. Urban thermal environment dynamics and associated landscape pattern factors: A case study in the Beijing metropolitan region. Remote Sens. Environ. 2016, 173, 145–155. [Google Scholar] [CrossRef]
- Weng, Q.; Fu, P. Modeling diurnal land temperature cycles over Los Angeles using downscaled GOES imagery. ISPRS J. Photogramm. Remote Sens. 2014, 97, 78–88. [Google Scholar] [CrossRef]
- Huang, F.; Zhan, W.; Voogt, J.; Hu, L.; Wang, Z.; Quan, J.; Ju, W.; Guo, Z. Temporal upscaling of surface urban heat island by incorporating an annual temperature cycle model: A tale of two cities. Remote Sens. Environ. 2016, 186, 1–12. [Google Scholar] [CrossRef]
- Zhou, D.; Zhang, L.; Hao, L.; Sun, G.; Liu, Y.; Zhu, C. Spatiotemporal trends of urban heat island effect along the urban development intensity gradient in China. Sci. Total Envion. 2016, 544, 617–626. [Google Scholar] [CrossRef]
- Chapman, S.; Watson, J.E.; Salazar, A.; Thatcher, M.; McAlpine, C.A. The impact of urbanization and climate change on urban temperatures: A systematic review. Landsc. Ecol. 2017, 32, 1921–1935. [Google Scholar] [CrossRef]
- Yao, R.; Wang, L.; Huang, X.; Niu, Z.; Liu, F.; Wang, Q. Temporal trends of surface urban heat islands and associated determinants in major Chinese cities. Sci. Total Envion. 2017, 609, 742–754. [Google Scholar] [CrossRef]
- Zhou, X.; Chen, H. Impact of urbanization-related land use land cover changes and urban morphology changes on the urban heat island phenomenon. Sci. Total Envion. 2018, 635, 1467–1476. [Google Scholar] [CrossRef]
- Shi, Y.; Liu, S.; Yan, W.; Zhao, S.; Ning, Y.; Peng, X.; Chen, W.; Chen, L.; Hu, X.; Fu, B. Influence of landscape features on urban land surface temperature: Scale and neighborhood effects. Sci. Total Environ. 2021, 771, 145381. [Google Scholar] [CrossRef]
- Zhang, J.; Kang, L.; Li, H.; Ballesteros-Pérez, P.; Skitmore, M.; Zuo, J. The impact of environmental regulations on urban Green innovation efficiency: The case of Xi’an. Sustain. Cities Soc. 2020, 102123. [Google Scholar] [CrossRef]
- Hou, L.; Wu, F.; Xie, X. The spatial characteristics and relationships between landscape pattern and ecosystem service value along an urban-rural gradient in Xi’an city, China. Ecol. Indic. 2020, 108, 105720. [Google Scholar] [CrossRef]
- Cheng, J.; Xu, Z.; Bambrick, H.; Su, H.; Tong, S.; Hu, W. Heatwave and elderly mortality: An evaluation of death burden and health costs considering short-term mortality displacement. Envion. Int. 2018, 115, 334–342. [Google Scholar] [CrossRef] [PubMed]
- Change, I.P.O.C. Climate change 2007: Impacts, adaptation and vulnerability. Genebra Suíça 2001, 14, 452. [Google Scholar]
- Logan, T.M.; Zaitchik, B.; Guikema, S.; Nisbet, A. Night and day: The influence and relative importance of urban characteristics on remotely sensed land surface temperature. Remote Sens. Environ. 2020, 247, 111861. [Google Scholar] [CrossRef]
- Sobstyl, J.M.; Emig, T.; Qomi, M.J.A.; Ulm, F.J.; Pellenq, R.J. Role of City Texture in Urban Heat Islands at Nighttime. Phys. Rev. Lett. 2018, 120, 108701. [Google Scholar] [CrossRef] [Green Version]
- Wicki, A.; Parlow, E. Multiple Regression Analysis for Unmixing of Surface Temperature Data in an Urban Environment. Remote Sens. 2017, 9, 684. [Google Scholar] [CrossRef] [Green Version]
- Chun, B.; Guhathakurta, S. Daytime and nighttime urban heat islands statistical models for Atlanta. Environ. Plan. B Urban Anal. City Sci. 2016, 44, 308–327. [Google Scholar] [CrossRef]
- Corumluoglu, O.; Asri, I. The effect of urban heat island on Izmir’s city ecosystem and climate. Environ. Sci. Pollut. Res. 2015, 22, 3202–3211. [Google Scholar] [CrossRef]
- Hao, Y.; Yang, D.; Yin, J.; Chen, X.; Bao, A.; Wu, M.; Zhang, X. The Effects of Ecological Policy of Kyrgyzstan Based on Data Envelope Analysis. Sustainability 2019, 11, 1922. [Google Scholar] [CrossRef] [Green Version]
- Duncan, J.; Boruff, B.; Saunders, A.; Sun, Q.; Hurley, J.; Amati, M. Turning down the heat: An enhanced understanding of the relationship between urban vegetation and surface temperature at the city scale. Sci. Total Environ. 2019, 656, 118–128. [Google Scholar] [CrossRef]
- Melaas, E.K.; Wang, J.A.; Miller, D.L.; Friedl, M.A. Interactions between urban vegetation and surface urban heat islands: A case study in the Boston metropolitan region. Environ. Res. Lett. 2016, 11, 054020. [Google Scholar] [CrossRef] [Green Version]
- Li, L.; Shao, M.; Wang, S.; Li, Z. Preservation of earthen heritage sites on the Silk Road, northwest China from the impact of the environment. Environ. Earth Sci. 2010, 64, 1625–1639. [Google Scholar] [CrossRef]
- Verbeke, S.; Audenaert, A. Thermal inertia in buildings: A review of impacts across climate and building use. Renew. Sustain. Energy Rev. 2018, 82, 2300–2318. [Google Scholar] [CrossRef]
- Grinzato, E.; Bison, P.G.; Marinetti, S. Monitoring of ancient buildings by the thermal method. J. Cult. Herit. 2002, 3, 21–29. [Google Scholar] [CrossRef]
- Jia, J.; Zheng, Q.; Gao, H.; Sun, H. Research of Ancient Architectures in Jin-Fen Area Based on GIS&BIM Technology. J. Phys. Conf. Ser. 2017, 842, 012035. [Google Scholar] [CrossRef]
- Cacace, M.; Scheck-Wenderoth, M. Modeling the thermal field and the impact of salt structures in the North East German Basin. In Proceedings of the World Geothermal Congress, Bali, Indonesia, 25–30 April 2010; p. 1540. [Google Scholar]
- Luo, X.; Gu, Z.; Tian, W.; Xia, Y.; Ma, T. Experimental study of a local ventilation strategy to protect semi-exposed relics in a site museum. Energy Build. 2018, 159, 558–571. [Google Scholar] [CrossRef]
- Swarnali, C.; Qazi Shamima, A.; Lala Shourav, D.; Dhaka, C.; Mohammad, M.R. Effect of variation in air conditioner temperature on peak expiratory flow rate of air conditioner users. World J. Adv. Res. Rev. 2021, 11, 151–156. [Google Scholar] [CrossRef]
- Liu, F.; Zhang, X.; Murayama, Y.; Morimoto, T. Impacts of Land Cover/Use on the Urban Thermal Environment: A Comparative Study of 10 Megacities in China. Remote Sens. 2020, 12, 307. [Google Scholar] [CrossRef] [Green Version]
- Zhou, W.; Wang, J.; Cadenasso, M.L. Effects of the spatial configuration of trees on urban heat mitigation: A comparative study. Remote Sens. Environ. 2017, 195, 1–12. [Google Scholar] [CrossRef]
- Li, M.; Zhou, Z. Positive and negative ecosystem services evaluation and its spatial pattern analysis on urban landscape: A case study of Xi’an City. Acta Geogr. Sin. 2016, 71, 1125–1230. [Google Scholar]
- Wang, S.; Jiang, Y.; Xu, Y.; Zhang, L.; Li, X.; Zhu, L. Sustainability of Historical Heritage: The Conservation of the Xi’an City Wall. Sustainability 2019, 11, 740. [Google Scholar] [CrossRef] [Green Version]
- Osborne, P.E.; Alvares-Sanches, T. Quantifying how landscape composition and configuration affect urban land surface temperatures using machine learning and neutral landscapes. Comput. Environ. Urban Syst. 2019, 76, 80–90. [Google Scholar] [CrossRef]
- Yu, Z.; Xu, S.; Zhang, Y.; Jorgensen, G.; Vejre, H. Strong contributions of local background climate to the cooling effect of urban green vegetation. Sci. Rep. 2018, 8, 6798. [Google Scholar] [CrossRef] [PubMed]
- Wu, C.; Li, J.; Wang, C.; Song, C.; Chen, Y.; Finka, M.; La Rosa, D. Understanding the relationship between urban blue infrastructure and land surface temperature. Sci. Total Envion. 2019, 694, 133742. [Google Scholar] [CrossRef] [PubMed]
- Schwarz, N.; Lautenbach, S.; Seppelt, R. Exploring indicators for quantifying surface urban heat islands of European cities with MODIS land surface temperatures. Remote Sens. Environ. 2011, 115, 3175–3186. [Google Scholar] [CrossRef]
- Irons, J.R.; Dwyer, J.L.; Barsi, J.A. The next Landsat satellite: The Landsat data continuity mission. Remote Sens. Environ. 2012, 122, 11–21. [Google Scholar] [CrossRef] [Green Version]
- Loveland, T.R.; Dwyer, J.L. Landsat: Building a strong future. Remote Sens. Environ. 2012, 122, 22–29. [Google Scholar] [CrossRef]
- Wulder, M.A.; Masek, J.G.; Cohen, W.B.; Loveland, T.R.; Woodcock, C.E. Opening the archive: How free data has enabled the science and monitoring promise of Landsat. Remote Sens. Environ. 2012, 122, 2–10. [Google Scholar] [CrossRef]
- Stewart, I.D.; Oke, T.R. Local climate zones for urban temperature studies. Bull. Am. Meteorol. Soc. 2012, 93, 1879–1900. [Google Scholar] [CrossRef]







| 2000 | 2005 | 2010 | 2015 | 2018 | ||
|---|---|---|---|---|---|---|
| Day | AI_green space | −0.521 * | −0.548 * | −0.564 * | −0.566 * | −0.561 * |
| AI_water | 0.05 | 0.084 * | −0.083 * | 0.053 | 0.089 * | |
| AI_impervious surface | 0.039 * | −0.018 | 0.023 | 0.128 * | 0.208 * | |
| AREA_MN_green space | −0.703 * | −0.73 * | −0.724 * | −0.736 * | −0.723 * | |
| AREA_MN_water | 0.025 | −0.039 | −0.123 * | −0.037 | −0.044 | |
| AREA_MN_impervious surface | 0.318 * | 0.137 * | 0.075 * | 0.368 * | 0.549 * | |
| LPI_green space | −0.732 * | −0.79 * | −0.767 * | −0.786 * | −0.776 * | |
| LPI_water | 0.011 | −0.045 | −0.148 * | −0.043 | −0.055 | |
| LPI_impervious surface | 0.319 * | 0.162 * | 0.084 * | 0.402 * | 0.573 * | |
| LSI_green space | 0.457 * | 0.411 * | 0.467 * | 0.443 * | 0.436 * | |
| LSI_water | −0.148 * | −0.154 * | 0.006 | −0.04 | −0.119 * | |
| LSI_impervious surface | 0.033 * | 0.175 * | 0.057 * | 0.034 * | −0.074 * | |
| PLAND_green space | −0.745 * | −0.821 * | −0.786 * | −0.811 * | −0.804 * | |
| PLAND_water | −0.001 | −0.046 | −0.15 * | −0.041 | −0.057 | |
| PLAND_impervious surface | 0.324 * | 0.188 * | 0.093 * | 0.421 * | 0.588 * | |
| Night | AI_green space | −0.462 * | −0.46 * | −0.484 * | −0.45 * | −0.481 * |
| AI_water | 0.188 * | 0.17 * | 0.159 * | 0.064 * | 0.191 * | |
| AI_impervious surface | 0.076 * | 0.116 * | 0.123 * | 0.15 * | 0.222 * | |
| AREA_MN_green space | −0.641 * | −0.631 * | −0.648 * | −0.611 * | −0.63 * | |
| AREA_MN_water | 0.188 * | 0.147 * | 0.159 * | 0.091 * | 0.162 * | |
| AREA_MN_impervious surface | 0.418 * | 0.518 * | 0.456 * | 0.341 * | 0.605 * | |
| LPI_green space | −0.673 * | −0.669 * | −0.687 * | −0.637 * | −0.669 * | |
| LPI_water | 0.191 * | 0.148 * | 0.165 * | 0.076 * | 0.182 * | |
| LPI_impervious surface | 0.443 * | 0.537 * | 0.477 * | 0.354 * | 0.627 * | |
| LSI_green space | 0.376 * | 0.363 * | 0.376 * | 0.381 * | 0.376 * | |
| LSI_water | −0.184 * | −0.176 * | −0.154 * | −0.045 | −0.14 * | |
| LSI_impervious surface | 0.069 * | −0.001 | 0.017 | −0.071 * | −0.084 * | |
| PLAND_green space | −0.688 * | −0.688 * | −0.707 * | −0.65 * | −0.689 * | |
| PLAND_water | 0.198 * | 0.156 * | 0.173 * | 0.075 * | 0.19 * | |
| PLAND_impervious surface | 0.46 * | 0.55 * | 0.492 * | 0.358 * | 0.643 * |
Publisher’s Note: MDPI stays neutral with regard to jurisdictional claims in published maps and institutional affiliations. |
© 2022 by the authors. Licensee MDPI, Basel, Switzerland. This article is an open access article distributed under the terms and conditions of the Creative Commons Attribution (CC BY) license (https://creativecommons.org/licenses/by/4.0/).
Share and Cite
Guo, R.; Liu, S.; Shi, Y.; Zhao, S.; Yuan, W.; Li, Y.; Wu, Y. Synchronization, Decoupling, and Regime Shift of Urban Thermal Conditions in Xi’an, an Ancient City in China under Rapid Expansion. Remote Sens. 2022, 14, 2586. https://doi.org/10.3390/rs14112586
Guo R, Liu S, Shi Y, Zhao S, Yuan W, Li Y, Wu Y. Synchronization, Decoupling, and Regime Shift of Urban Thermal Conditions in Xi’an, an Ancient City in China under Rapid Expansion. Remote Sensing. 2022; 14(11):2586. https://doi.org/10.3390/rs14112586
Chicago/Turabian StyleGuo, Rui, Shuguang Liu, Yi Shi, Shuqing Zhao, Wenping Yuan, Yuanyuan Li, and Yiping Wu. 2022. "Synchronization, Decoupling, and Regime Shift of Urban Thermal Conditions in Xi’an, an Ancient City in China under Rapid Expansion" Remote Sensing 14, no. 11: 2586. https://doi.org/10.3390/rs14112586
APA StyleGuo, R., Liu, S., Shi, Y., Zhao, S., Yuan, W., Li, Y., & Wu, Y. (2022). Synchronization, Decoupling, and Regime Shift of Urban Thermal Conditions in Xi’an, an Ancient City in China under Rapid Expansion. Remote Sensing, 14(11), 2586. https://doi.org/10.3390/rs14112586

