Long-Term Landsat-Based Monthly Burned Area Dataset for the Brazilian Biomes Using Deep Learning
Abstract
:1. Introduction
2. Materials and Methods
2.1. Study Area
2.2. Burned Area Classification Approach
2.2.1. Definition of Classification Regions
2.2.2. Annual Quality Mosaic
2.2.3. Sampling Strategy
2.2.4. Deep Learning Model
2.3. Post-Classification
2.4. Data Outputs
2.4.1. Monthly and Annual Fire Scar Maps
2.4.2. Cumulative Burned Area
2.4.3. Fire Frequency
2.5. Validation
3. Results
3.1. Annual Variability of Burned Area
3.2. Burned Area by Brazilian Biome
3.3. Monthly Burned Area
3.4. Fire Frequency
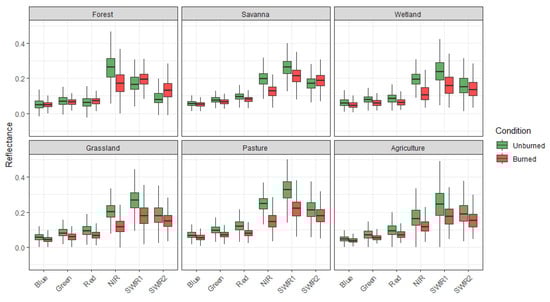
3.5. Burned Area by Land Cover and Land Use Type
4. Discussion
4.1. Novel Strategy for Mapping Temporal Dynamics of Burned Area in the Brazilian Biomes
4.2. Classification Challenges and Comparisons with Other Burned Areas Products
4.3. Dynamics of Fire in the Brazilian Biomes
5. Conclusions
Supplementary Materials
Author Contributions
Funding
Data Availability Statement
Acknowledgments
Conflicts of Interest
References
- Bowman, D.M.J.S.; Balch, J.; Artaxo, P.; Bond, W.J.; Cochrane, M.A.; D’Antonio, C.M.; Defries, R.; Johnston, F.H.; Keeley, J.E.; Krawchuk, M.A.; et al. The human dimension of fire regimes on Earth. J. Biogeogr. 2011, 38, 2223–2236. [Google Scholar] [CrossRef] [PubMed] [Green Version]
- Bowman, D.M.J.S.; Balch, J.K.; Artaxo, P.; Bond, W.J.; Jean, M.; Cochrane, M.A.; Antonio, C.M.D.; Defries, R.S.; Doyle, J.C.; Harrison, P.; et al. Fire in the Earth System. Science 2009, 324, 481–484. [Google Scholar] [CrossRef] [PubMed]
- Shlisky, A.; Alencar, A.; Manta, M.; Curran, L.M. Overview: Global fire regime conditions, threats, and opportunities for fire management in the Tropics. In Tropical Fire Ecology; Cochrane, M.A., Ed.; Springer: New York, NY, USA, 2009; pp. 65–83. ISBN 9783540773818. [Google Scholar]
- Berlinck, C.N.; Batista, E.K.L. Good fire, bad fire: It depends on who burns. Flora Morphol. Distrib. Funct. Ecol. Plants 2020, 268, 151610. [Google Scholar] [CrossRef]
- Pivello, V.R.; Vieira, I.; Christianini, A.V.; Ribeiro, D.B.; da Silva Menezes, L.; Berlinck, C.N.; Melo, F.P.L.; Marengo, J.A.; Tornquist, C.G.; Tomas, W.M.; et al. Understanding Brazil’s catastrophic fires: Causes, consequences and policy needed to prevent future tragedies. Perspect. Ecol. Conserv. 2021, 19, 233–255. [Google Scholar] [CrossRef]
- Behling, H.; Pillar, V.D.P.; Orlóci, L.; Bauermann, S.G. Late Quaternary Araucaria forest, grassland (Campos), fire and climate dynamics, studied by high-resolution pollen, charcoal and multivariate analysis of the Cambará do Sul core in southern Brazil. Palaeogeogr. Palaeoclimatol. Palaeoecol. 2004, 203, 277–297. [Google Scholar] [CrossRef]
- de Oliveira, M.T.; Damasceno-Junior, G.A.; Pott, A.; Paranhos Filho, A.C.; Suarez, Y.R.; Parolin, P. Regeneration of riparian forests of the Brazilian Pantanal under flood and fire influence. For. Ecol. Manag. 2014, 331, 256–263. [Google Scholar] [CrossRef]
- Overbeck, G.E.; Scasta, J.D.; Furquim, F.F.; Boldrini, I.I.; Weir, J.R. The South Brazilian grasslands—A South American tallgrass prairie? Parallels and implications of fire dependency. Perspect. Ecol. Conserv. 2018, 16, 24–30. [Google Scholar] [CrossRef]
- Alencar, A.A.; Brando, P.M.; Asner, G.P.; Putz, F.E. Landscape fragmentation, severe drought, and the new Amazon forest fire regime. Ecol. Appl. 2015, 25, 1493–1505. [Google Scholar] [CrossRef]
- Scarano, F.R.; Ceotto, P. Brazilian Atlantic forest: Impact, vulnerability, and adaptation to climate change. Biodivers. Conserv. 2015, 24, 2319–2331. [Google Scholar] [CrossRef]
- Althoff, T.D.; Menezes, R.S.C.; de Carvalho, A.L.; de Siqueira Pinto, A.; Santiago, G.A.C.F.; Ometto, J.P.H.B.; von Randow, C.; de Sá Barretto Sampaio, E.V. Climate change impacts on the sustainability of the firewood harvest and vegetation and soil carbon stocks in a tropical dry forest in Santa Teresinha Municipality, Northeast Brazil. For. Ecol. Manag. 2016, 360, 367–375. [Google Scholar] [CrossRef]
- Brando, P.M.; Soares-Filho, B.; Rodrigues, L.; Assunção, A.; Morton, D.; Tuchschneider, D.; Fernandes, E.C.M.; Macedo, M.N.; Oliveira, U.; Coe, M.T. The gathering firestorm in southern Amazonia. Sci. Adv. 2020, 6, eaay1632. [Google Scholar] [CrossRef] [PubMed] [Green Version]
- Fidelis, A. Is fire always the “bad guy”? Flora Morphol. Distrib. Funct. Ecol. Plants 2020, 268, 151611. [Google Scholar] [CrossRef]
- Durigan, G. Zero-fire: Not possible nor desirable in the Cerrado of Brazil. Flora Morphol. Distrib. Funct. Ecol. Plants 2020, 268, 151612. [Google Scholar] [CrossRef]
- de Arruda, F.V.; de Sousa, D.G.; Teresa, F.B.; Do Prado, V.H.M.; da Cunha, H.F.; Izzo, T.J. Trends and gaps of the scientific literature about the effects of fire on brazilian cerrado. Biota Neotrop. 2018, 18, 1–6. [Google Scholar] [CrossRef]
- Feng, X.; Merow, C.; Liu, Z.; Park, D.S.; Roehrdanz, P.R.; Maitner, B.; Newman, E.A.; Boyle, B.L.; Lien, A.; Burger, J.R.; et al. How deregulation, drought and increasing fire impact Amazonian biodiversity. Nature 2021, 597, 516–521. [Google Scholar] [CrossRef]
- De Mendonça, M.J.C.; Vera Diaz, M.D.C.; Nepstad, D.; Seroa Da Motta, R.; Alencar, A.; Gomes, J.C.; Ortiz, R.A. The economic cost of the use of fire in the Amazon. Ecol. Econ. 2004, 49, 89–105. [Google Scholar] [CrossRef]
- Morello, T.F. COVID-19 and agricultural fire pollution in the Amazon: Puzzles and solutions. World Dev. 2021, 138, 105276. [Google Scholar] [CrossRef]
- Campanharo, W.A.; Lopes, A.P.; Anderson, L.O.; da Silva, T.F.M.R.; Aragão, L.E.O.C. Translating fire impacts in Southwestern Amazonia into economic costs. Remote Sens. 2019, 11, 764. [Google Scholar] [CrossRef] [Green Version]
- Alencar, A.; Nepstad, D.; Del Carmen Vera Diaz, M. Forest understory fire in the Brazilian Amazon in ENSO and non-ENSO years: Area burned and committed carbon emissions. Earth Interact. 2006, 10, 1–17. [Google Scholar] [CrossRef]
- Aragão, L.E.O.C.; Anderson, L.O.; Fonseca, M.G.; Rosan, T.M.; Vedovato, L.B.; Wagner, F.H.; Silva, C.V.J.; Silva Junior, C.H.L.; Arai, E.; Aguiar, A.P.; et al. 21st Century drought-related fires counteract the decline of Amazon deforestation carbon emissions. Nat. Commun. 2018, 9, 536. [Google Scholar] [CrossRef]
- da Silva Junior, C.A.; Teodoro, P.E.; Delgado, R.C.; Teodoro, L.P.R.; Lima, M.; de Andréa Pantaleão, A.; Baio, F.H.R.; de Azevedo, G.B.; de Oliveira Sousa Azevedo, G.T.; Capristo-Silva, G.F.; et al. Persistent fire foci in all biomes undermine the Paris Agreement in Brazil. Sci. Rep. 2020, 10, 16246. [Google Scholar] [CrossRef] [PubMed]
- Silva, C.V.J.; Aragão, L.E.O.C.; Young, P.J.; Espirito-Santo, F.; Berenguer, E.; Anderson, L.O.; Brasil, I.; Pontes-Lopes, A.; Ferreira, J.; Withey, K.; et al. Estimating the multi-decadal carbon deficit of burned Amazonian forests. Environ. Res. Lett. 2020, 15, 114023. [Google Scholar] [CrossRef]
- Gatti, L.V.; Basso, L.S.; Miller, J.B.; Gloor, M.; Gatti Domingues, L.; Cassol, H.L.G.; Tejada, G.; Aragão, L.E.O.C.; Nobre, C.; Peters, W.; et al. Amazonia as a carbon source linked to deforestation and climate change. Nature 2021, 595, 388–393. [Google Scholar] [CrossRef] [PubMed]
- Melchiorre, A.; Boschetti, L. Global Analysis of Burned Area Persistence Time with MODIS Data. Remote Sens. 2018, 10, 750. [Google Scholar] [CrossRef] [Green Version]
- Miranda, C.S.; Gamarra, R.M.; Mioto, C.L.; Silva, N.M.; Conceição Filho, A.P.; Pott, A. Analysis of the landscape complexity and heterogeneity of the Pantanal wetland. Braz. J. Biol. 2018, 78, 318–327. [Google Scholar] [CrossRef] [PubMed] [Green Version]
- Nogueira, J.M.P.; Rambal, S.; Mouillot, F. Spatial Pattern of the Seasonal Drought / Burned Area Relationship across Brazilian Biomes: Sensitivity to Drought Metrics and Global Remote-Sensing Fire Products. Climate 2017, 5, 42. [Google Scholar] [CrossRef] [Green Version]
- Pereira, A.A.; Pereira, J.M.C.; Libonati, R.; Oom, D.; Setzer, A.W.; Morelli, F.; Machado-Silva, F.; de Carvalho, L.M.T. Burned area mapping in the Brazilian Savanna using a one-class support vector machine trained by active fires. Remote Sens. 2017, 9, 1161. [Google Scholar] [CrossRef] [Green Version]
- Rodrigues, J.A.; Libonati, R.; Pereira, A.A.; Nogueira, J.M.P.; Santos, F.L.M.; Peres, L.F.; Santa Rosa, A.; Schroeder, W.; Pereira, J.M.C.; Giglio, L.; et al. How well do global burned area products represent fire patterns in the Brazilian Savannas biome? An accuracy assessment of the MCD64 collections. Int. J. Appl. Earth Obs. Geoinf. 2019, 78, 318–331. [Google Scholar] [CrossRef]
- Alencar, A.; Asner, G.P.; Knapp, D.; Zarin, D. Temporal variability of forest fires in eastern Amazonia. Ecol. Appl. 2011, 21, 2397–2412. [Google Scholar] [CrossRef]
- Morton, D.C.; Le Page, Y.; DeFries, R.; Collatz, G.J.; Hurtt, G.C. Understorey fire frequency and the fate of burned forests in southern Amazonia. Philos. Trans. R. Soc. Lond. B Biol. Sci. 2013, 368, 20120163. [Google Scholar] [CrossRef]
- Giglio, L.; Boschetti, L.; Roy, D.P.; Humber, M.L.; Justice, C.O. The Collection 6 MODIS burned area mapping algorithm and product. Remote Sens. Environ. 2018, 217, 72–85. [Google Scholar] [CrossRef] [PubMed]
- Lizundia-Loiola, J.; Otón, G.; Ramo, R.; Chuvieco, E. A spatio-temporal active-fire clustering approach for global burned area mapping at 250 m from MODIS data. Remote Sens. Environ. 2020, 236, 111493. [Google Scholar] [CrossRef]
- Pessôa, A.C.M.; Anderson, L.O.; Carvalho, N.S.; Campanharo, W.A.; Silva Junior, C.H.L.; Rosan, T.M.; Reis, J.B.C.; Pereira, F.R.S.; Assis, M.; Jacon, A.D.; et al. Intercomparison of burned area products and its implication for carbon emission estimations in the amazon. Remote Sens. 2020, 12, 3864. [Google Scholar] [CrossRef]
- Long, T.; Zhang, Z.; He, G.; Jiao, W.; Tang, C.; Wu, B.; Zhang, X.; Wang, G.; Yin, R. 30m resolution global annual burned area mapping based on landsat images and Google Earth Engine. Remote Sens. 2019, 11, 489. [Google Scholar] [CrossRef] [Green Version]
- Hawbaker, T.J.; Vanderhoof, M.K.; Schmidt, G.L.; Beal, Y.J.; Picotte, J.J.; Takacs, J.D.; Falgout, J.T.; Dwyer, J.L. The Landsat Burned Area algorithm and products for the conterminous United States. Remote Sens. Environ. 2020, 244, 111801. [Google Scholar] [CrossRef]
- Hawbaker, T.J.; Vanderhoof, M.K.; Beal, Y.; Takacs, J.D.; Schmidt, G.L.; Falgout, J.T.; Williams, B.; Fairaux, N.M.; Caldwell, M.K.; Picotte, J.J.; et al. Remote Sensing of Environment Mapping burned areas using dense time-series of Landsat data. Remote Sens. Environ. 2017, 198, 504–522. [Google Scholar] [CrossRef]
- Gorelick, N.; Hancher, M.; Dixon, M.; Ilyushchenko, S.; Thau, D.; Moore, R. Google Earth Engine: Planetary-scale geospatial analysis for everyone. Remote Sens. Environ. 2017, 202, 18–27. [Google Scholar] [CrossRef]
- Tamiminia, H.; Salehi, B.; Mahdianpari, M.; Quackenbush, L.; Adeli, S.; Brisco, B. Google Earth Engine for geo-big data applications: A meta-analysis and systematic review. ISPRS J. Photogramm. Remote Sens. 2020, 164, 152–170. [Google Scholar] [CrossRef]
- Kumar, L.; Mutanga, O. Google Earth Engine Applications Since Inception: Usage, Trends and Potential. Remote Sens. 2018, 10, 1509. [Google Scholar] [CrossRef] [Green Version]
- Parks, S.A.; Holsinger, L.M.; Voss, M.A.; Loehman, R.A.; Robinson, N.P. Mean composite fire severity metrics computed with google earth engine offer improved accuracy and expanded mapping potential. Remote Sens. 2018, 10, 879. [Google Scholar] [CrossRef] [Green Version]
- Coutinho, L. Biomas Brasileiros; Oficina de Textos: São Paulo, SP, Brazil, 2016. [Google Scholar]
- Souza, C.M.; Shimbo, J.Z.; Rosa, M.R.; Parente, L.L.; Alencar, A.A.; Rudorff, B.F.T.; Hasenack, H.; Matsumoto, M.; Ferreira, L.G.; Souza-Filho, P.W.M.; et al. Reconstructing three decades of land use and land cover changes in brazilian biomes with landsat archive and earth engine. Remote Sens. 2020, 12, 2735. [Google Scholar] [CrossRef]
- Hardesty, J.; Myers, R.; Fulks, W. Fire, ecosystems, and people: A preliminary assessment of fire as a global conservation issue. Georg. Wright Forum 2005, 22, 78–87. [Google Scholar]
- Thonicke, K.; Venevsky, S.; Sitch, S.; Cramer, W. The role of fire disturbance for global vegetation dynamics: Coupling fire into a Dynamic Global Vegetation Model. Glob. Ecol. Biogeogr. 2001, 10, 661–677. [Google Scholar] [CrossRef] [Green Version]
- Staver, A.C.; Brando, P.M.; Barlow, J.; Morton, D.C.; Paine, C.E.T.; Malhi, Y.; Araujo Murakami, A.; del Aguila Pasquel, J. Thinner bark increases sensitivity of wetter Amazonian tropical forests to fire. Ecol. Lett. 2020, 23, 99–106. [Google Scholar] [CrossRef] [PubMed] [Green Version]
- Brando, P.; Macedo, M.; Silverio, D.; Rattis, L.; Paolucci, L.; Alencar, A.; Coe, M.; Amorim, C. Amazon wildfires: Scenes from a foreseeable disaster. Flora 2020, 268, 151609. [Google Scholar] [CrossRef]
- De Abreu, L.P.; Gonçalves, W.A.; Mattos, E.V.; Albrecht, R.I. Geoinformation Assessment of the total lightning flash rate density (FRD) in northeast Brazil (NEB) based on TRMM orbital data from 1998 to 2013. Int. J. Appl. Earth Obs. Geoinf. 2020, 93, 102195. [Google Scholar] [CrossRef]
- Dos Santos, S.M.B.; Bento-Gonçalves, A.; Franca-Rocha, W.; Baptista, G. Assessment of burned forest area severity and postfire regrowth in chapada diamantina national park (Bahia, brazil) using dnbr and rdnbr spectral indices. Geosciences 2020, 10, 106. [Google Scholar] [CrossRef] [Green Version]
- Mapbiomas Collection 6 of the Annual Series of Land Use and Land Cover Maps of Brazil. 2021. Available online: https://www.mapbiomas.org (accessed on 4 April 2022).
- Simmons, C.S.; Walker, R.T.; Wood, C.H.; Arima, E.; Cochrane, M.A. Wildfires in Amazonia: A pilot study examining the role of farming systems, social capital, and fire contagion. J. Lat. Am. Geogr. 2004, 3, 81–95. [Google Scholar] [CrossRef] [Green Version]
- Bowman, M.S.; Amacher, G.S.; Merry, F.D. Fire use and prevention by traditional households in the Brazilian Amazon ☆. Ecol. Econ. 2008, 67, 117–130. [Google Scholar] [CrossRef]
- Nepstad, D.C.; Moreira, A.G.; Alencar, A.A. Floresta em Chamas: Origens, Impactos e Prevenção do Fogo na Amazonia; Programa Piloto para a Proteção das Florestas: Brasília, Brazil, 1999; 202p.
- Eloy, L.; Schmidt, I.B.; Borges, S.L.; Ferreira, M.C.; dos Santos, T.A. Seasonal fire management by traditional cattle ranchers prevents the spread of wildfire in the Brazilian Cerrado. Ambio 2019, 48, 890–899. [Google Scholar] [CrossRef]
- Barlow, J.; Berenguer, E.; Carmenta, R.; França, F. Clarifying Amazonia’s burning crisis. Glob. Chang. Biol. 2020, 26, 319–321. [Google Scholar] [CrossRef] [PubMed] [Green Version]
- Libonati, R.; DaCamara, C.C.; Peres, L.F.; Sander de Carvalho, L.A.; Garcia, L.C. Rescue Brazil’s burning Pantanal wetlands. Nature 2020, 588, 217–219. [Google Scholar] [CrossRef] [PubMed]
- Marengo, J.A.; Cunha, A.P.; Cuartas, L.A.; Deusdará Leal, K.R.; Broedel, E.; Seluchi, M.E.; Michelin, C.M.; De Praga Baião, C.F.; Chuchón Ângulo, E.; Almeida, E.K.; et al. Extreme Drought in the Brazilian Pantanal in 2019–2020: Characterization, Causes, and Impacts. Front. Water 2021, 3, 13. [Google Scholar] [CrossRef]
- Schmidt, I.B.; Moura, L.C.; Ferreira, M.C.; Eloy, L.; Sampaio, A.B.; Dias, P.A.; Berlinck, C.N. Fire management in the Brazilian savanna: First steps and the way forward. J. Appl. Ecol. 2018, 55, 2094–2101. [Google Scholar] [CrossRef] [Green Version]
- Langford, Z.; Kumar, J.; Hoffman, F. Wildfire mapping in interior alaska using deep neural networks on imbalanced datasets. In Proceedings of the 2018 IEEE International Conference on Data Mining Workshops (ICDMW), Singapore, 17–20 November 2018; pp. 770–778. [Google Scholar] [CrossRef]
- USGS Landsat Collection 1 Level-1 Quality Assessment Band. Available online: https://www.usgs.gov/landsat-missions/landsat-collection-1-level-1-quality-assessment-band (accessed on 1 January 2022).
- Key, C.; Benson, N. Landscape assessment: Remote sensing measure of severity: The normalized burn Ratio. In FIREMON: Fire Effects Monitoring and Inventory System; General Technical Report; RMRS-GTR-164-CD:LA1-LA51; USDA Forest Service, Rocky Mountain Research Station: Ogden, UT, USA, 2006. [Google Scholar]
- Roy, D.P.; Boschetti, L.; Trigg, S.N. Remote Sensing of Fire Severity: Assessing the Performance of the Normalized Burn Ratio. IEEE Geosci. Remote Sens. Lett. 2006, 3, 112–116. [Google Scholar] [CrossRef] [Green Version]
- Pereira, M.C.; Setzer, A.W. Spectral characteristics of deforestation fires in NOAA/AVHRR images. Int. J. Remote Sens. 1993, 14, 583–597. [Google Scholar] [CrossRef]
- Prins, M.; Menzel, W.P. Trends in South American biomass burning detected with the GOES visible infrared spin scan radiometer atmospheric sounder from 1983 to 1991. J. Geophys. Res. 1994, 99, 16719–16735. [Google Scholar] [CrossRef]
- Stroppiana, D.; Pinnock, S. The Global Fire Product: Daily re occurrence from April 1992 to December 1993 derived from NOAA AVHRR data. Int. J. Remote Sens. 2000, 21, 1279–1288. [Google Scholar] [CrossRef]
- Safi, Y.; Bouroumi, A. Prediction of Forest Fires Using Artificial Neural Networks Description of the proposed method Artificial neural networks. Appl. Math. Sci. 2013, 7, 271–286. [Google Scholar]
- Hu, X.; Weng, Q. Remote Sensing of Environment Estimating impervious surfaces from medium spatial resolution imagery using the self-organizing map and multi-layer perceptron neural networks. Remote Sens. Environ. 2009, 113, 2089–2102. [Google Scholar] [CrossRef]
- Arruda, V.L.S.; Piontekowski, V.J.; Alencar, A.; Pereira, R.S.; Matricardi, E.A.T. An alternative approach for mapping burn scars using Landsat imagery, Google Earth Engine, and Deep Learning in the Brazilian Savanna. Remote Sens. Appl. Soc. Environ. 2021, 22, 100472. [Google Scholar] [CrossRef]
- Goodfellow, I.; Bengio, Y.; Courville, A. Deep Learning; MIT Press: Cambridge, MA, USA, 2016. [Google Scholar]
- Davies, D.K.; Ilavajhala, S.; Wong, M.M.; Justice, C.O. Fire Information for Resource Management System: Archiving and Distributing MODIS Active Fire Data. IEEE Trans. Geosci. Remote Sens. 2009, 47, 72–79. [Google Scholar] [CrossRef]
- Marengo, J.A.; Alves, L.M.; Soares, W.R.; Rodriguez, D.A.; Camargo, H.; Riveros, M.P.; Pabló, A.D. Two contrasting severe seasonal extremes in tropical South America in 2012: Flood in Amazonia and drought in Northeast Brazil. J. Clim. 2013, 26, 9137–9154. [Google Scholar] [CrossRef]
- Bond, W.J.; Keeley, J.E. Fire as a global “herbivore”: The ecology and evolution of flammable ecosystems. Trends Ecol. Evol. 2005, 20, 387–394. [Google Scholar] [CrossRef] [PubMed]
- Timmermann, A.; An, S.; Kug, J.; Jin, F.; Cai, W.; Capotondi, A.; Cobb, K.; Lengaigne, M.; Mcphaden, M.J.; Stuecker, M.F.; et al. El Niño—Southern Oscillation complexity. Nature 2018, 559, 535–545. [Google Scholar] [CrossRef]
- Perillo, L.I.; de Oliveira Bordonal, R.; de Figueiredo, E.B.; Moitinho, M.R.; Aguiar, D.A.; Rudorff, B.F.T.; Panosso, A.R.; La Scala, N. Avoiding burning practice and its consequences on the greenhouse gas emission in sugarcane areas southern Brazil. Environ. Sci. Pollut. Res. 2022, 29, 719–730. [Google Scholar] [CrossRef]
- Ferreira, L.G.; Sano, E.E.; Fernandez, L.E.; Araújo, F.M. Biophysical characteristics and fire occurrence of cultivated pastures in the brazilian savanna observed by moderate resolution satellite data. Int. J. Remote Sens. 2013, 34, 154–167. [Google Scholar] [CrossRef]
- Trigg, S.; Flasse, S. Characterizing the spectral- temporal response of burned savannah using in situ spectroradiometry and infrared thermometry. Int. J. Remote Sens. 2014, 21, 3161–3168. [Google Scholar] [CrossRef]
- de Araújo, F.M.; Ferreira, L.G.; Arantes, A.E. Distribution Patterns of Burned Areas in the Brazilian Biomes: An Analysis Based on Satellite Data for the 2002-2010 Period. Remote Sens. 2012, 4, 1929–1946. [Google Scholar] [CrossRef] [Green Version]
- Eva, H.D.; Lambin, E.F. Fires and land-cover change in the tropics: A remote sensing analysis at the landscape scale. J. Biogeogr. 2000, 27, 765–776. [Google Scholar] [CrossRef]
- Brunel, M.; Rammig, A.; Furquim, F.; Overbeck, G.; Barbosa, H.M.J.; Thonicke, K.; Rolinski, S. When do Farmers Burn Pasture in Brazil: A Model-Based Approach to Determine Burning Date. Rangel. Ecol. Manag. 2021, 79, 110–125. [Google Scholar] [CrossRef]
- Miranda, H.S.; Sato, M.N.; Neto, W.N.; Aires, F.S. Fires in the cerrado, the Brazilian savanna. In Tropical Fire Ecology; Springer: Berlin, Germany, 2009; pp. 427–450. [Google Scholar]
- Nepstad, D.; Carvalho, G.; Barros, A.C.; Alencar, A.; Capobianco, J.P.; Bishop, J.; Moutinho, P.; Lefebvre, P.; Silva, U.L.; Prins, E. Road paving, fire regime feedbacks, and the future of Amazon forests. For. Ecol. Manag. 2001, 154, 395–407. [Google Scholar] [CrossRef]
- Pivello, V.R. The use of fire in the cerrado and Amazonian rainforests of Brazil: Past and present. Fire Ecol. 2011, 7, 24–39. [Google Scholar] [CrossRef]
- Kumar, S.; Getirana, A.; Libonati, R.; Hain, C.; Mahanama, S.; Andela, N. Changes in land use enhance the sensitivity of tropical ecosystems to fire—Climate extremes. Sci. Rep. 2022, 12, 964. [Google Scholar] [CrossRef]
- Cano-Crespo, A.; Oliveira, P.J.C.; Boit, A.; Cardoso, M.; Thonicke, K. Forest edge burning in the Brazilian Amazon promoted by escaping fires from managed pastures. J. Geophys. Res. Biogeosci. 2015, 120, 2095–2107. [Google Scholar] [CrossRef] [Green Version]
- Cochrane, M.A. Fire science for rainforests. Nature 2003, 421, 913–919. [Google Scholar] [CrossRef]
- Schmidt, I.B. Fire regime in the Brazilian Savanna: Recent changes, policy and management. Flora 2020, 268, 151613. [Google Scholar] [CrossRef]
- Fidelis, A.; Alvarado, S.T.; Barradas, A.C.S.; Pivello, V.R. The Year 2017: Megafires and Management in the Cerrado. Fire 2018, 1, 49. [Google Scholar] [CrossRef] [Green Version]
- Oliveira-Santos, C.; Mesquita, V.V.; Parente, L.L.; Pinto, A.D.S.; Ferreira, L.G., Jr. Assessing the Wall-To-Wall Spatial and Qualitative Dynamics of the Brazilian Pasturelands, between 2010 and 2018, Based on the Analysis of the Landsat Data Archive. Remote Sens. 2022, 14, 1024. [Google Scholar] [CrossRef]
- Alencar, A.; Shimbo, J.Z.; Lenti, F.; Marques, C.B.; Zimbres, B.; Rosa, M.; Arruda, V.; Castro, I.; Fernandes, M.; Alencar, I.; et al. Mapping Three Decades of Changes in the Brazilian Savanna Native Vegetation Using Landsat Data Processed in the Google Earth Engine Platform. Remote Sens. 2020, 12, 924. [Google Scholar] [CrossRef] [Green Version]
- Silva, P.S.; Nogueira, J.; Rodrigues, J.A.; Santos, F.L.M.; Pereira, J.M.C.; DaCamara, C.C.; Daldegan, G.A.; Pereira, A.A.; Peres, L.F.; Schmidt, I.B.; et al. Putting fire on the map of Brazilian savanna ecoregions. J. Environ. Manag. 2021, 296, 113098. [Google Scholar] [CrossRef] [PubMed]
- Hofmann, G.S.; Cardoso, M.F.; Alves, R.J.V.; Weber, E.J.; Barbosa, A.A.; De Toledo, P.M.; Pontual, F.B.; Salles, L.D.O.; Hasenack, H.; Cordeiro, J.L.P.; et al. The Brazilian Cerrado is becoming hotter and drier. Glob. Chang. Biol. 2021, 27, 4060–4073. [Google Scholar] [CrossRef] [PubMed]
- Rodrigues, C.A.; Zirondi, H.L.; Fidelis, A. Fire frequency affects fire behavior in open savannas of the Cerrado. For. Ecol. Manag. 2021, 482, 118850. [Google Scholar] [CrossRef]
- Gomes, L.; Miranda, H.S.; Silvério, D.V.; Bustamante, M.M.C. Effects and behaviour of experimental fires in grasslands, savannas, and forests of the Brazilian Cerrado. For. Ecol. Manag. 2020, 458, 117804. [Google Scholar] [CrossRef]
- Brito, B.; Barreto, P.; Brandão, A., Jr.; Baima, S.; Gomes, P.H. Stimulus for land grabbing and deforestation in the Brazilian Amazon. Environ. Res. Lett. 2019, 14, 064018. [Google Scholar] [CrossRef]
- Silvério, D.V.; Brando, P.M.; Balch, J.K.; Putz, F.E.; Nepstad, D.C.; Oliveira-Santos, C.; Bustamante, M.M.C. Testing the Amazon savannization hypothesis: Fire effects on invasion of a neotropical forest by native cerrado and exotic pasture grasses. Philos. Trans. R. Soc. B 2013, 368, 20120427. [Google Scholar] [CrossRef]
- Pontes-lopes, A.; Silva, C.V.J.; Barlow, J.; Rincón, L.M.; Campanharo, W.A.; Nunes, C.A.; De Almeida, C.T.; Júnior, C.H.L.S.; Cassol, H.L.G.; Dalagnol, R.; et al. Drought-driven wildfire impacts on structure and dynamics in a wet Central Amazonian forest. Proc. R. Soc. B 2021, 288, 20210094. [Google Scholar] [CrossRef]
- de Oliveira, A.S.; Rajão, R.G.; Soares Filho, B.S.; Oliveira, U.; Santos, L.R.S.; Assunção, A.C.; van der Hoff, R.; Rodrigues, H.O.; Ribeiro, S.M.C.; Merry, F.; et al. Economic losses to sustainable timber production by fire in the Brazilian Amazon. Geogr. J. 2019, 185, 55–67. [Google Scholar] [CrossRef]
- Morello, T.; Martino, S.; Duarte, A.F.; Anderson, L.; Davis, K.J.; Silva, S.; Bateman, I.J. Fire, tractors, and health in the amazon: A cost-benefit analysis of fire policy. Land Econ. 2019, 95, 409–434. [Google Scholar] [CrossRef]
- Berenguer, E.; Lennox, G.D.; Ferreira, J.; Malhi, Y.; Aragão, L.E.O.C.; Maria, M.; De Seixas, M.; Smith, C.C.; Withey, K.; Barlow, J. Tracking the impacts of El Niño drought and fire in human-modified Amazonian forests. Proc. Natl. Acad. Sci. USA 2021, 118, e2019377118. [Google Scholar] [CrossRef]
- Withey, K.; Berenguer, E.; Palmeira, A.F.; Lennox, G.D.; Silva, C.V.J.; Espı, F.D.B.; Ferreira, J.; Franc, F.; Malhi, Y.; Rossi, L.C.; et al. Quantifying immediate carbon emissions from El Nino-mediated wildfires in humid tropical forests. Philos. Trans. B 2018, 373, 20170312. [Google Scholar] [CrossRef] [PubMed] [Green Version]
- Marengo, J.A.; Souza, C.A.; Thonicke, K.; Burton, C.; Halladay, K.; Betts, R.A.; Alves, L.M.; Soares, W.R. Changes in Climate and Land Use Over the Amazon Region: Current and Future Variability and Trends. Front. Earth Sci. 2018, 6, 228. [Google Scholar] [CrossRef]
- De Faria, B.L.; Brando, P.M.; Macedo, M.N.; Panday, P.K.; Soares-Filho, B.S.; Coe, M.T. Erratum: Current and future patterns of fire-induced forest degradation in Amazonia (2017 Environ. Res. Lett. 9 095005). Environ. Res. Lett. 2017, 12, 119601. [Google Scholar] [CrossRef]
- Schulz, C.; Whitney, B.S.; Carmem, O.; Neves, D.M.; Crabb, L.; Castro, E.; Oliveira, D.; Luiz, P.; Lima, T.; Afzal, M.; et al. Physical, ecological and human dimensions of environmental change in Brazil’s Pantanal wetland: Synthesis and research agenda. Sci. Total Environ. 2019, 687, 1011–1027. [Google Scholar] [CrossRef] [PubMed]
- Pettit, N.E.; Naiman, R.J. Fire in the Riparian Zone: Characteristics and Ecological Consequences. Ecosystems 2007, 10, 673–687. [Google Scholar] [CrossRef]
- Menezes, L.S.; De Oliveira, A.M.; Santos, F.L.M.; Russo, A.; De Souza, R.A.F.; Roque, F.O.; Libonati, R. Lightning patterns in the Pantanal: Untangling natural and anthropogenic-induced wild fires. Sci. Total Environ. 2022, 820, 153021. [Google Scholar] [CrossRef] [PubMed]
- Arruda, W.D.S.; Oldeland, J.; Conceiç, A.; Filho, P. Inundation and Fire Shape the Structure of Riparian Forests in the Pantanal, Brazil. PLoS ONE 2016, 11, e0156825. [Google Scholar] [CrossRef] [Green Version]
- Rosa, M.R.; Brancalion, P.H.S.; Crouzeilles, R.; Tambosi, L.R.; Piffer, P.R.; Lenti, F.E.B.; Hirota, M.; Santiami, E.; Metzger, J.P. Hidden destruction of older forests threatens Brazil’s Atlantic Forest and challenges restoration programs. Sci. Adv. 2021, 7, eabc4547. [Google Scholar] [CrossRef]
- Sampaio, E.V.S.B.; Salcedo, I.H.; Kauffman, J.B. Effect of Different Fire Severities on Coppicing of Caatinga Vegetation in Serra Talhada, PE, Brazil. Biotropica 1993, 25, 452. [Google Scholar] [CrossRef]
- Overbeck, G.E.; Pfadenhauer, J. Adaptive strategies in burned subtropical grassland in southern Brazil. Flora 2007, 202, 27–49. [Google Scholar] [CrossRef]
- Overbeck, G.; Muller, S.C.; Fidelis, A.; Pfadenhauer, J.; Pillar, V.D.; Blanco, C.C.; Boldrini, I.I.; Both, R.; Forneck, E.D. Brazil’s neglected biome: The South Brazilian Campos. Perspect. Plant Ecol. Evol. Syst. 2007, 9, 101–116. [Google Scholar] [CrossRef]
- Marengo, J.A. Interdecadal variability and trends of rainfall across the Amazon basin. Theor. Appl. Climatol. 2004, 78, 79–96. [Google Scholar] [CrossRef]
- Morello, T.F.; Parry, L.; Markusson, N.; Barlow, J. Policy instruments to control Amazon fires: A simulation approach. Ecol. Econ. 2017, 138, 199–222. [Google Scholar] [CrossRef] [Green Version]
- Durigan, G.; Ratter, J.A. The need for a consistent fire policy for Cerrado conservation. J. Appl. Ecol. 2016, 53, 11–15. [Google Scholar] [CrossRef]
- Conciani, D.E.; Pereira, L.; Sanna, T.; Silva, F.; Durigan, G.; Alvarado, S.T. Human-climate interactions shape fire regimes in the Cerrado of São Paulo state, Brazil. J. Nat. Conserv. 2021, 61, 126006. [Google Scholar] [CrossRef]
- INPE Monitoramento do Desmatamento da Floresta Amazônica Brasileira por Satélite. 2021. Available online: http://www.obt.inpe.br/OBT/assuntos/programas/amazonia/prodes (accessed on 4 April 2022).
- Dinerstein, E.; Olson, D.; Joshi, A.; Vynne, C.; Burgess, N.D.; Wikramanayake, E.; Hahn, N.; Palminteri, S.; Hedao, P.; Noss, R.; et al. An Ecoregion-Based Approach to Protecting Half the Terrestrial Realm. Bioscience 2017, 67, 534–545. [Google Scholar] [CrossRef]
- Sano, E.E.; Rodrigues, A.A.; Martins, E.S.; Bettiol, G.M.; Bustamante, M.M.C.; Bezerra, A.S.; Couto, A.F.; Vasconcelos, V.; Schüler, J.; Bolfe, E.L. Cerrado ecoregions: A spatial framework to assess and prioritize Brazilian savanna environmental diversity for conservation. J. Environ. Manag. 2019, 232, 818–828. [Google Scholar] [CrossRef]
- Brasil Plano de ação: Estratégia Nacional para o Gerenciamento dos Recursos Hídricos 2022–2040; Governo Federal: Brasilia, Brazil, 2022.












| Biomes | Biome Area (km2) | Cumulative Burned Area (km2) | Mean Annual Burned Area (km2) | Proportion of the Total Brazil’s Burned Area | Proportion of the Biome Burned at Least Once | Proportion of the Biome Burned Annually |
|---|---|---|---|---|---|---|
| Cerrado | 1,983,017 | 733,878 | 67,068 | 43.9% | 37.0% | 3.4% |
| Amazon | 4,212,743 | 690,025 | 65,780 | 41.3% | 16.4% | 1.6% |
| Caatinga | 862,818 | 88,549 | 3828 | 5.3% | 10.3% | 0.4% |
| Pantanal | 150,900 | 86,425 | 8337 | 5.2% | 57.3% | 5.5% |
| Atlantic Forest | 1,107,419 | 71,587 | 3122 | 4.3% | 6.5% | 0.3% |
| Pampa | 193,831 | 1930 | 202 | 0.1% | 1.0% | 0.1% |
| Brazil | 8,514,877 | 1,672,394 | 148,336 | 100% | 19.6% | 1.7% |
| Burned Area(km2) | |||||||
|---|---|---|---|---|---|---|---|
| Frequency Class | Cerrado | Amazon | Pantanal | Caatinga | Atlantic Forest | Pampa | Brazil |
| 1 | 291,988 | 216,883 | 28,490 | 59,028 | 51,564 | 1666 | 649,620 |
| 2 | 137,435 | 141,737 | 17,161 | 16,775 | 11,392 | 190 | 324,690 |
| 3 | 81,640 | 101,094 | 11,644 | 6267 | 4094 | 44 | 204,783 |
| 4 | 54,514 | 70,380 | 7934 | 2972 | 1865 | 15 | 137,680 |
| 5 | 38,912 | 47,843 | 5574 | 1562 | 968 | 6 | 94,867 |
| 6 | 29,082 | 32,358 | 4039 | 823 | 539 | 3 | 66,844 |
| 7 | 22,188 | 21,926 | 2947 | 448 | 314 | 2 | 47,824 |
| 8 | 17,154 | 15,034 | 2292 | 253 | 201 | 1 | 34,935 |
| 9 | 13,349 | 10,484 | 1805 | 154 | 136 | 1 | 25,928 |
| 10 | 10,464 | 7449 | 1396 | 93 | 99 | 1 | 19,501 |
| 11 | 8243 | 5385 | 1074 | 58 | 74 | 0 | 14,834 |
| 12 | 6516 | 3978 | 772 | 37 | 56 | 0 | 11,361 |
| 13 | 5169 | 3008 | 519 | 24 | 45 | 0 | 8765 |
| 14 | 4116 | 2318 | 322 | 16 | 37 | 0 | 6810 |
| >15 | 13,106 | 10,148 | 455 | 39 | 204 | 2 | 23,953 |
| Total area burned (km2) | 733,877 | 690,024 | 86,425 | 88,549 | 71,587 | 1930 | 1,672,394 |
| Mean Burned Area and Standard Deviation (km2) | ||||||||||||||
|---|---|---|---|---|---|---|---|---|---|---|---|---|---|---|
| Land Use and Cover | Brazil | Amazon | Cerrado | Pantanal | Caatinga | Atlantic forest | Pampa | |||||||
| Forest | 18,443 | (±8412) | 8237 | (±4553) | 2748 | (±1423) | 658 | (±742) | 275 | (±160) | 382 | (±332) | 7 | (±4) |
| Savanna | 42,952 | (±16,186) | 3941 | (±1444) | 33,971 | (±14,356) | 1486 | (±1196) | 3103 | (±1175) | 122 | (±130) | 0 | (±) |
| Grassland | 41,707 | (±10,762) | 13,160 | (±3481) | 22,314 | (±7745) | 5392 | (±3644) | 229 | (±107) | 731 | (±371) | 53 | (±31) |
| Pasture | 38,159 | (±13,824) | 37,727 | (±14,974) | 4530 | (±1877) | 513 | (±354) | 206 | (±172) | 1018 | (±719) | 0 | (±1) |
| Cropland | 3562 | (±1989) | 1713 | (±1576) | 1903 | (±719) | 2 | (±2) | 8 | (±11) | 256 | (±102) | 0 | (±) |
| Agric. Mosaic | 2798 | (±1918) | 86 | (±45) | 2151 | (±1564) | 2 | (±2) | 207 | (±147) | 534 | (±294) | 30 | (±20) |
| Other | 485 | (±274) | 89 | (±29) | 217 | (±53) | 1 | (±1) | 22 | (±9) | 152 | (±51) | 3 | (±2) |
| Total | 148,106 | (±42,325) | 64,952 | (±21,769) | 67,833 | (±25,295) | 8053 | (±5551) | 4051 | (±1479) | 3195 | (±1601) | 92 | (±50) |
Publisher’s Note: MDPI stays neutral with regard to jurisdictional claims in published maps and institutional affiliations. |
© 2022 by the authors. Licensee MDPI, Basel, Switzerland. This article is an open access article distributed under the terms and conditions of the Creative Commons Attribution (CC BY) license (https://creativecommons.org/licenses/by/4.0/).
Share and Cite
Alencar, A.A.C.; Arruda, V.L.S.; Silva, W.V.d.; Conciani, D.E.; Costa, D.P.; Crusco, N.; Duverger, S.G.; Ferreira, N.C.; Franca-Rocha, W.; Hasenack, H.; et al. Long-Term Landsat-Based Monthly Burned Area Dataset for the Brazilian Biomes Using Deep Learning. Remote Sens. 2022, 14, 2510. https://doi.org/10.3390/rs14112510
Alencar AAC, Arruda VLS, Silva WVd, Conciani DE, Costa DP, Crusco N, Duverger SG, Ferreira NC, Franca-Rocha W, Hasenack H, et al. Long-Term Landsat-Based Monthly Burned Area Dataset for the Brazilian Biomes Using Deep Learning. Remote Sensing. 2022; 14(11):2510. https://doi.org/10.3390/rs14112510
Chicago/Turabian StyleAlencar, Ane A. C., Vera L. S. Arruda, Wallace Vieira da Silva, Dhemerson E. Conciani, Diego Pereira Costa, Natalia Crusco, Soltan Galano Duverger, Nilson Clementino Ferreira, Washington Franca-Rocha, Heinrich Hasenack, and et al. 2022. "Long-Term Landsat-Based Monthly Burned Area Dataset for the Brazilian Biomes Using Deep Learning" Remote Sensing 14, no. 11: 2510. https://doi.org/10.3390/rs14112510
APA StyleAlencar, A. A. C., Arruda, V. L. S., Silva, W. V. d., Conciani, D. E., Costa, D. P., Crusco, N., Duverger, S. G., Ferreira, N. C., Franca-Rocha, W., Hasenack, H., Martenexen, L. F. M., Piontekowski, V. J., Ribeiro, N. V., Rosa, E. R., Rosa, M. R., dos Santos, S. M. B., Shimbo, J. Z., & Vélez-Martin, E. (2022). Long-Term Landsat-Based Monthly Burned Area Dataset for the Brazilian Biomes Using Deep Learning. Remote Sensing, 14(11), 2510. https://doi.org/10.3390/rs14112510

