Comparison of Macro- and Microphysical Properties in Precipitating and Non-Precipitating Clouds over Central-Eastern China during Warm Season
Abstract
1. Introduction
2. Data and Methods
3. Results
3.1. Cloud Occurrence Frequency
3.2. Cloud Height and Thickness
3.3. Comparison of Single-Layer Precipitating and Non-Precipitating Clouds
3.3.1. Macrophysical Properties
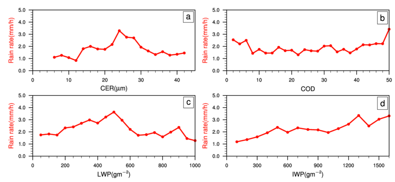
3.3.2. Microphysical Properties
3.3.3. NCFADs of Radar Reflectivity
4. Discussions
5. Conclusions
Author Contributions
Funding
Institutional Review Board Statement
Informed Consent Statement
Data Availability Statement
Acknowledgments
Conflicts of Interest
References
- Hartmann, D.L.; Ockert-Bell, M.E.; Michelsen, M.L. The Effect of Cloud Type on Earth’s Energy Balance: Global Analysis. J. Clim. 1992, 5, 1281–1304. [Google Scholar] [CrossRef]
- Eric, E.; Wandjie, B.B.; Lenouo, A.; Monkam, D.; Manatsa, D. African summer monsoon active and break spells cloud properties: Insight from CloudSat-CALIPSO. Atmos. Res. 2020, 237, 104842. [Google Scholar] [CrossRef]
- Sassen, K.; Wang, Z. The clouds of the middle troposphere: Composition, radiative impact, and global distribution. Surv. Geophys. 2011, 33, 677–691. [Google Scholar] [CrossRef]
- Turner, D.D.; Vogelmann, A.M.; Austin, R.T.; Barnard, J.C.; Cady-Pereira, K.; Chiu, J.C.; Clough, S.A.; Flynn, C.; Khaiyer, M.M.; Liljegren, J.; et al. Thin liquid water clouds: Their importance and our challenge. Bull. Am. Meteor. Soc. 2007, 88, 177–190. [Google Scholar] [CrossRef]
- Liu, D.; Liu, Q.; Liu, G.; Wei, J.; Deng, S.; Fu, Y. Multiple factors explaining the deficiency of cloud profiling radar on detecting oceanic warm clouds. J. Geophys. Res. Atmos. 2018, 123, 8135–8158. [Google Scholar] [CrossRef]
- Donovan, D.P.; Klein, B.H.; Henzing, J.S.; De Roode, S.R.; Siebesma, A.P. A depolarisation lidar-based method for the determination of liquid-cloud microphysical properties. Atmos. Meas. Tech. 2015, 8, 237–266. [Google Scholar] [CrossRef]
- Gultepe, I.; Isaac, G.A.; Strawbridge, K.B. Variability of cloud microphysical and optical parameters obtained from aircraft and satellite remote sensing measurements during RACE. Int. J. Climatol. 2001, 21, 507–525. [Google Scholar] [CrossRef]
- Boucher, O.; Randall, D.; Artaxo, P.; Bretherton, C.; Feingold, G.; Forster, P.; Kerminen, V.; Kondo, Y.; Liao, H.; Lohmann, U.; et al. Clouds and aerosols. In Climate Change 2013: The Physical Science Basis. Contribution of Working Group I to the Fifth Assessment Report of the Intergovernmental Panel on Climate Change; Stocker, T.F., Qin, D., Eds.; Cambridge University Press: New York, NY, USA, 2014; pp. 866–871. [Google Scholar]
- Hong, Y.; Liu, G.; Li, J.L. Assessing the radiative effects of global ice clouds based on CloudSat and CALIPSO measurements. J. Clim. 2016, 29, 7651–7674. [Google Scholar] [CrossRef]
- Miao, H.; Wang, X.; Liu, Y.; Wu, G. An evaluation of cloud vertical structure in three reanalyses against CloudSat/cloud—aerosol lidar and infrared pathfinder satellite observations. Atmos. Sci. Lett. 2019, 20, e906. [Google Scholar] [CrossRef]
- Daloz, A.S.; Nelson, E.; L’Ecuyer, T.; Rapp, A.D.; Sun, L. Assessing the Coupled Influences of Clouds on the Atmospheric Energy and Water Cycles in Reanalyses with A-Train Observations. J. Clim. 2018, 31, 8241–8264. [Google Scholar] [CrossRef]
- Sun, G.; Li, Y.; Li, S. The differences in cloud vertical structures between active and break spells of the East Asian summer monsoon based on CloudSat data. Atmos. Res. 2019, 224, 157–167. [Google Scholar] [CrossRef]
- Hang, Y.; L’Ecuyer, T.S.; Henderson, D.S.; Matus, A.V.; Wang, Z. Reassessing the effect of cloud type on Earth’s energy balance in the age of active spaceborne observations. Part II: Atmospheric heating. J. Clim. 2019, 32, 6219–6236. [Google Scholar] [CrossRef]
- Schumacher, C.; Zhang, M.H.; Ciesielski, P.E. Heating structures of the TRMM field campaigns. J. Atmos. Sci. 2007, 64, 2593–2610. [Google Scholar] [CrossRef]
- Lau, K.M.; Wu, H.T. Warm rain processes over tropical oceans and climate implications. Geophy. Res. Lett. 2004, 30. [Google Scholar] [CrossRef]
- Tao, W.K.; Takayabu, Y.N.; Lang, S.; Shige, S.; Olson, W.; Hou, A.; Skofronick, J.G.; Jiang, X.; Zhang, C.; Lau, W.; et al. TRMM latent heating retrieval: Applications and comparisons with field campaigns and large-scale analyses. Meteorol. Monogr. 2016, 56, 2.1–2.34. [Google Scholar] [CrossRef]
- Nelson, E.L.; L’Ecuyer, T.S. Global character of latent heat release in oceanic warm rain systems. J. Geophys. Res. Atmos. 2018, 123, 4797–4817. [Google Scholar] [CrossRef]
- Jakob, C.; Klein, S.A. The role of vertically varying cloud fraction in the parametrization of microphysical processes in the ECMWF model. Q. J. R. Meteorol. Soc. 1999, 125, 941–965. [Google Scholar] [CrossRef]
- Yan, Y.F.; Wang, X.C.; Liu, Y.M. Cloud vertical structures associated with precipitation magnitudes over the Tibetan Plateau and its neighboring regions. Atmos. Ocean. Sci. Lett. 2018, 11, 44–53. [Google Scholar] [CrossRef]
- Klein, S.A.; Zhang, Y.; Zelinka, M.D.; Pincus, R.; Boyle, J.; Gleckler, P.J. Are climate model simulations of clouds improving? An evaluation using the ISCCP simulator. J. Geophys. Res. Atmos. 2013, 118, 1329–1342. [Google Scholar] [CrossRef]
- Cesana, G.; Del Genio, A.D.; Chepfer, H. The cumulus and stratocumulus cloudsat-calipso dataset (casccad). Earth Syst. Sci. Data 2019, 11, 1745–1764. [Google Scholar] [CrossRef]
- Hong, Y.; Di Girolamo, L. Cloud phase characteristics over Southeast Asia from A-Train satellite observations. Atmos. Chem. Phys. 2020, 20, 8267–8291. [Google Scholar] [CrossRef]
- Stephens, G.L.; Vane, D.G.; Boain, R.J.; Mace, G.G.; Sassen, K.; Wang, Z.; Illingworth, A.J.; O’connor, E.J.; Rossow, W.B.; Durden, S.L.; et al. The CloudSat mission and the A-Train: A new dimension of space-based observations of clouds and precipitation. Bull. Am. Meteor. Soc. 2002, 83, 1771–1790. [Google Scholar] [CrossRef]
- Winker, D.M.; Pelon, J.R.; McCormick, M.P. The CALIPSO mission: Spaceborne lidar for observation of aerosols and clouds. Proc. SPIE Int. Soc. Opt. Eng. 2003, 4893, 1–11. [Google Scholar] [CrossRef]
- Stephens, G.L.; Vane, D.G.; Tanelli, S.; Im, E.; Durden, S.; Rokey, M.; Reinke, D.; Partain, P.; Mace, G.G.; Austin, R. CloudSat mission: Performance and early science after the first year of operation. J. Geophys. Res. Atmos. 2008, 113. [Google Scholar] [CrossRef]
- Luo, Y.; Zhang, R.; Wang, H. Comparing occurrences and vertical structures of hydrometeors between eastern China and the Indian monsoon region using CloudSat/CALIPSO data. J. Clim. 2009, 22, 1052–1064. [Google Scholar] [CrossRef]
- Das, S.K.; Golhait, R.B.; Uma, K.N. Clouds vertical properties over the Northern Hemisphere monsoon regions from CloudSat-CALIPSO measurements. Atmos. Res. 2017, 183, 73–83. [Google Scholar] [CrossRef]
- Kukulies, J.; Chen, D.; Wang, M. Temporal and spatial variations of convection and precipitation over the Tibetan Plateau based on recent satellite observations. Part I: Cloud climatology derived from CloudSat and CALIPSO. Int. J. Climatol. 2019, 39, 5396–5412. [Google Scholar] [CrossRef]
- Yu, L.; Fu, Y.; Yang, Y.; Pan, X.; Tan, R. Trumpet-shaped topography modulation of the frequency, vertical structures, and water path of cloud systems in the summertime over the southeastern Tibetan Plateau: A perspective of daytime—Nighttime differences. J. Geophys. Res. Atmos. 2020, 125, e2019JD031803. [Google Scholar] [CrossRef]
- Fu, Y.; Ma, Y.; Zhong, L.; Yang, Y.; Guo, X.; Wang, C.; Xu, X.; Yang, K.; Xu, X.; Liu, L.; et al. Land-surface processes and summer-cloud-precipitation characteristics in the Tibetan Plateau and their effects on downstream weather: A review and perspective. Natl. Sci. Rev. 2020, 7, 500–515. [Google Scholar] [CrossRef] [PubMed]
- Gao, W.; Sui, C.H.; Hu, Z. A study of macrophysical and microphysical properties of warm clouds over the Northern Hemisphere using CloudSat/CALIPSO data. J. Geophys. Res. Atmos. 2014, 119, 3268–3280. [Google Scholar] [CrossRef]
- Kikuchi, M.; Suzuki, K. Characterizing vertical particle structure of precipitating cloud system from multiplatform measurements of A-Train constellation. Geophys. Res. Lett. 2019, 46, 1040–1048. [Google Scholar] [CrossRef]
- Li, S.; Li, Y.; Sun, G.; Lu, Z. Macro- and Microphysical Characteristics of Precipitating and Non-Precipitating Stratocumulus Clouds over Eastern China. Atmosphere 2018, 9, 237. [Google Scholar] [CrossRef]
- Stephens, G.L.; Kummerow, C.D. The remote sensing of clouds and precipitation from space: A review. J. Atmos. Sci. 2007, 64, 3742–3765. [Google Scholar] [CrossRef]
- Yang, Y.; Wang, H.; Chen, F.; Zheng, X.; Fu, Y.; Zhou, S. TRMM-Based Optical and Microphysical Features of Precipitating Clouds in Summer Over the Yangtze—Huaihe River Valley, China. Pure Appl. Geophys. 2019, 176, 357–370. [Google Scholar] [CrossRef]
- Stein, T.H.M.; Parker, D.J.; Delanoe, J.; Dixon, N.S.; Hogan, R.J.; Knippertz, P.; Maidment, R.I.; Marsham, J.H. The vertical cloud structure of the West African monsoon: A 4 year climatology using CloudSat and CALIPSO. J. Geophys. Res. Space Phys. 2011, 116, D22205. [Google Scholar] [CrossRef]
- Marchand, R.; Mace, G. Level 2 GEOPROF Product Process Description and Interface Control Document. Available online: https://www.cloudsat.cira.colostate.edu/cloudsat-static/info/dl/2b-geoprof/2B-GEOPROF_PDICD.P1_R05.rev0__0.pdf (accessed on 26 October 2021).
- Ding, Y.; Liu, Q.; Lao, P. Characteristics of Oceanic Warm Cloud Layers within Multilevel Cloud Systems Derived by Satellite Measurements. Atmosphere 2019, 10, 465. [Google Scholar] [CrossRef]
- Polonsky, I.N.; Labonnote, L.C.; Cooper, S. Level 2 Cloud Optical Depth Product Process Description and Interface Control Document. Available online: https://www.cloudsat.cira.colostate.edu/cloudsat-static/info/dl/2b-tau/2B-TAU_PDICD.P_R04.20080220.pdf (accessed on 26 October 2021).
- Liu, Y.; Shupe, M.D.; Wang, Z.; Mace, G. Cloud vertical distribution from combined surface and space radar-lidar observations at two Arctic atmospheric observatories. Atmos. Chem. Phys. 2017, 17, 5973–5989. [Google Scholar] [CrossRef]
- Li, X.; Zheng, X.; Zhang, D.; Zhang, W.; Wang, F.; Deng, Y.; Zhu, W. Clouds over East Asia Observed with Collocated CloudSat and CALIPSO Measurements: Occurrence and Macrophysical Properties. Atmosphere 2018, 9, 168. [Google Scholar] [CrossRef]
- Wang, Z. CloudSat 2B-CLDCLASS-LIDAR Product Process Description and Interface Control Document. Available online: https://www.cloudsat.cira.colostate.edu/cloudsat-static/info/dl/2b-cldclass-lidar/2B-CLDCLASS-LIDAR_PDICD.P1_R05.rev0_.pdf (accessed on 26 October 2021).
- Leinonen, J. Level 2B CWC-RVOD Product Process Description and Interface Control Document. Available online: https://www.cloudsat.cira.colostate.edu/cloudsat-static/info/dl/2b-cwc-rvod/2B-CWC-RVOD_PDICD.P1_R05.rev0_.pdf (accessed on 26 October 2021).
- Haynes, J.M. CloudSat 2C-PRECIP-COLUMN Data Product Process Description and Interface Control Document. Available online: https://www.cloudsat.cira.colostate.edu/cloudsat-static/info/dl/2c-precip-column/2C-PRECIP-COLUMN_PDICD.P1_R05.rev1_.pdf (accessed on 26 October 2021).
- Hagihara, Y.; Okamoto, H.; Yoshida, R. Development of a combined CloudSat-CALIPSO cloud mask to show global cloud distribution. J. Geophys. Res. Atmos. 2010, 115. [Google Scholar] [CrossRef]
- Marchand, R.; Mace, G.G.; Ackerman, T.; Stephens, G. Hydrometeor detection using CloudSat—An Earth-orbiting 94-GHz cloud radar. J. Geophys. Res. Atmos. 2008, 25, 519–533. [Google Scholar] [CrossRef]
- Liu, D.; Liu, Q.; Qi, L.; Fu, Y. Oceanic single-layer warm clouds missed by the cloud profiling radar as inferred from modis and caliop measurements. J. Geophys. Res. Atmos. 2016, 121, 12947–12965. [Google Scholar] [CrossRef]
- Yuter, S.E.; Houze, R.A., Jr. Three-dimensional kinematic and microphysical evolution of Florida cumulonimbus. Part III: Vertical mass transport, mass divergence, and synthesis. Mon. Weather Rev. 1995, 123, 1964–1983. [Google Scholar] [CrossRef]
- Guo, J.; Liu, H.; Li, Z.; Rosenfeld, D.; Jiang, M.; Xu, W.; Jiang, J.H.; He, J.; Chen, D.; Min, M.; et al. Aerosol-induced changes in the vertical structure of precipitation: A perspective of TRMM precipitation radar. Atmos. Chem. Phys. 2018, 18, 13329–13343. [Google Scholar] [CrossRef]
- Luo, J.; Tian, W.; Pu, Z.; Zhang, P.; Shang, L.; Zhang, M.; Hu, J. Characteristics of stratosphere-troposphere exchange during the Meiyu season. J. Geophys. Res. Atmos. 2013, 118, 2058–2072. [Google Scholar] [CrossRef]
- Chen, X.; Zhang, F.; Zhao, K. Influence of monsoonal wind speed and moisture content on intensity and diurnal variations of the mei-yu season coastal rainfall over south China. J. Atmos. Sci. 2017, 74, 2835–2856. [Google Scholar] [CrossRef]
- Nauss, T.; Kokhanovsky, A.A. Discriminating raining from non-raining clouds at mid-latitudes using multispectral satellite data. Atmos. Chem. Phys. 2006, 6, 5031–5036. [Google Scholar] [CrossRef]
- Heymsfield, A.J.; Donner, L.J. A scheme for parameterizing ice-cloud water content in general circulation models. J. Atmos. Sci. 1990, 47, 1865–1877. [Google Scholar] [CrossRef][Green Version]
- Thies, B.; Nauss, T.; Bendix, J. Discriminating raining from non-raining clouds at mid-latitudes using meteosat second generation daytime data. Atmos. Chem. Phys. 2008, 8, 2341–2349. [Google Scholar] [CrossRef]
- Chen, F.; Sheng, S.; Bao, Z.; Wen, H.; Hua, L.; Paul, N.J.; Fu, Y. Precipitation clouds delineation scheme in tropical cyclones and its validation using precipitation and cloud parameter datasets from TRMM. J. Appl. Meteorol. Clim. 2018, 57, 821–836. [Google Scholar] [CrossRef]
- Mülmenstädt, J.; Sourdeval, O.; Delanoë, J.; Quaas, J. Frequency of occurrence of rain from liquid-, mixed-, and ice-phase clouds derived from A-Train satellite retrievals. Geophys. Res. Lett. 2015, 42, 6502–6509. [Google Scholar] [CrossRef]
- Nakajima, T.Y.; Suzuki, K.; Stephens, G.L. Droplet growth in warm water clouds observed by the A-Train. Part II: A multisensor view. J. Atmos. Sci. 2010, 67, 1897–1907. [Google Scholar] [CrossRef]
- Kumjian, M.R.; Prat, O.P. The impact of raindrop collisional processes on the polarimetric radar variables. J. Atmos. Sci. 2014, 71, 3052–3067. [Google Scholar] [CrossRef]
- Houze, R.A., Jr. Cloud Dynamics, 2nd ed.; Academic Press: Cambridge, MA, USA, 2014; p. 58. [Google Scholar]
- Mubara, K.; Dawood, A.; Al Dosary, A. Global mapping of height of bright band. In Proceedings of the 2007 9th International Symposium on Signal Processing and Its Applications, Sharjah, United Arab Emirates, 12–15 February 2007. [Google Scholar] [CrossRef]
- Matrosov, S.Y. Potential for attenuation-based estimations of rainfall rate from CloudSat. Geophys. Res. Lett. 2007, 34, L05817. [Google Scholar] [CrossRef]
- Christensen, M.W.; Stephens, G.L.; Lebsock, M.D. Exposing biases in retrieved low cloud properties from CloudSat: A guide for evaluating observations and climate data. J. Geophys. Res. Atmos. 2013, 118, 12120–12131. [Google Scholar] [CrossRef]
- Mace, G.G.; Marchand, R.; Zhang, Q.; Stephens, G. Global hydrometeor occurrence as observed by CloudSat: Initial observations from summer 2006. Geophys. Res. Lett. 2007, 34, L09808. [Google Scholar] [CrossRef]
- Lu, D.; Yang, Y.; Fu, Y. Interannual variability of summer monsoon convective and stratiform precipitation in East Asia during 1998–2013. Int. J. Climatol. 2016, 36, 3507–3520. [Google Scholar] [CrossRef]
- Cattani, E.; Torricella, F.; Laviola, S.; Levizzani, V. On the statistical relationship between cloud optical and microphysical characteristics and rainfall intensity for convective storms over the Mediterranean. Nat. Hazards Earth Syst. Sci. 2009, 9, 2135–2142. [Google Scholar] [CrossRef]
- Zhang, A.; Fu, Y. Life cycle effects on the vertical structure of precipitation in East China measured by Himawari-8 and GPM DPR. Mon. Weather Rev. 2018, 146, 2183–2199. [Google Scholar] [CrossRef]
- Battaglia, A.; Kollias, P.; Dhillon, R.; Roy, R.; Tanelli, S.; Lamer, K.; Grecu, M.; Lebsock, M.; Watters, D.; Mroz, K.; et al. Spaceborne cloud and precipitation radars: Status, challenges, and ways forward. Rev. Geophys. 2020, 58, e2019RG000686. [Google Scholar] [CrossRef] [PubMed]
- Liu, C.; Zipser, E.J.; Mace, G.G.; Benson, S. Implications of the differences between daytime and nighttime CloudSat observations over the tropics. J. Geophys. Res. Atmos. 2008, 113, D00A04. [Google Scholar] [CrossRef]
- Peng, J.; Zhang, H.; Li, Z. Temporal and spatial variations of global deep cloud systems based on CloudSat and CALIPSO satellite observations. Adv. Atmos. Sci. 2014, 31, 593–603. [Google Scholar] [CrossRef]
- Oreopoulos, L.; Cho, N.; Lee, D. New insights about cloud vertical structure from CloudSat and CALIPSO observations. J. Geophys. Res. Atmos. 2017, 122, 9280–9300. [Google Scholar] [CrossRef]
- Zhang, Q.; Zheng, Y.; Singh, V.P.; Luo, M.; Xie, Z. Summer extreme precipitation in eastern China: Mechanisms and impacts. J. Geophys. Res. Atmos. 2017, 122, 2766–2778. [Google Scholar] [CrossRef]
- Rosenfeld, D.; Wang, H.; Rasch, P.J. The roles of cloud drop effective radius and LWP in determining rain properties in marine stratocumulus. Geophys. Res. Lett. 2012, 39, L13801. [Google Scholar] [CrossRef]
- Zhu, Y.; Rosenfeld, D.; Yu, X.; Li, Z. Separating aerosol microphysical effects and satellite measurement artifacts of the relationships between warm rain onset height and aerosol optical depth. J. Geophys. Res. Atmos. 2015, 120, 7726–7736. [Google Scholar] [CrossRef]
- Fu, Y.; Pan, X.; Yang, Y.; Chen, F.; Liu, P. Climatological characteristics of summer precipitation over East Asia measured by TRMM PR: A review. J. Meteorol. Res. 2017, 31, 142–159. [Google Scholar] [CrossRef]
- Guo, J.; Deng, M.; Fan, J.; Li, Z.; Chen, Q.; Zhai, P.; Dai, Z.; Li, X. Precipitation and air pollution at mountain and plain stations in northern China: Insights gained from observations and modeling. J. Geophys. Res. Atmos. 2014, 119, 4793–4807. [Google Scholar] [CrossRef]
- Yang, Y.; Zhao, C.; Wang, Y.; Zhao, X.; Sun, W.; Yang, J.; Ma, Z.; Fan, H. Multi-Source Data Based Investigation of Aerosol-Cloud Interaction Over the North China Plain and North of the Yangtze Plain. J. Geophys. Res. Atmos. 2021, 126, e2021JD035609. [Google Scholar] [CrossRef]













Publisher’s Note: MDPI stays neutral with regard to jurisdictional claims in published maps and institutional affiliations. |
© 2021 by the authors. Licensee MDPI, Basel, Switzerland. This article is an open access article distributed under the terms and conditions of the Creative Commons Attribution (CC BY) license (https://creativecommons.org/licenses/by/4.0/).
Share and Cite
Zheng, X.; Yang, Y.; Yuan, Y.; Cao, Y.; Gao, J. Comparison of Macro- and Microphysical Properties in Precipitating and Non-Precipitating Clouds over Central-Eastern China during Warm Season. Remote Sens. 2022, 14, 152. https://doi.org/10.3390/rs14010152
Zheng X, Yang Y, Yuan Y, Cao Y, Gao J. Comparison of Macro- and Microphysical Properties in Precipitating and Non-Precipitating Clouds over Central-Eastern China during Warm Season. Remote Sensing. 2022; 14(1):152. https://doi.org/10.3390/rs14010152
Chicago/Turabian StyleZheng, Xiaoyi, Yuanjian Yang, Ye Yuan, Yanan Cao, and Jinlan Gao. 2022. "Comparison of Macro- and Microphysical Properties in Precipitating and Non-Precipitating Clouds over Central-Eastern China during Warm Season" Remote Sensing 14, no. 1: 152. https://doi.org/10.3390/rs14010152
APA StyleZheng, X., Yang, Y., Yuan, Y., Cao, Y., & Gao, J. (2022). Comparison of Macro- and Microphysical Properties in Precipitating and Non-Precipitating Clouds over Central-Eastern China during Warm Season. Remote Sensing, 14(1), 152. https://doi.org/10.3390/rs14010152

