Machine Learning in Evaluating Multispectral Active Canopy Sensor for Prediction of Corn Leaf Nitrogen Concentration and Yield
Abstract
:1. Introduction
2. Materials and Methods
2.1. Study Site Description and Experimental Design
2.2. Data Collection
2.2.1. Leaf Nitrogen Sampling
2.2.2. Grain Yield
2.3. Statistical Analysis
2.3.1. Feature Selection
- 1-
- RFE builds a model and estimates the feature importance by using a training data set.
- 2-
- RFE sets the priority of the important features. It takes a subgroup of the selected variables in step 1 and builds models of a given subset size. In each iteration, the ranking of each feature is recalculated. In this step, the repeated cross-validations were implemented within the RFE method.
- 3-
- The model performance is evaluated across different subset sizes to derive an optimal list of predictors.
2.3.2. Machine Learning Methods

3. Results and Discussion
3.1. Regression Analysis
3.2. Machine Learning Results
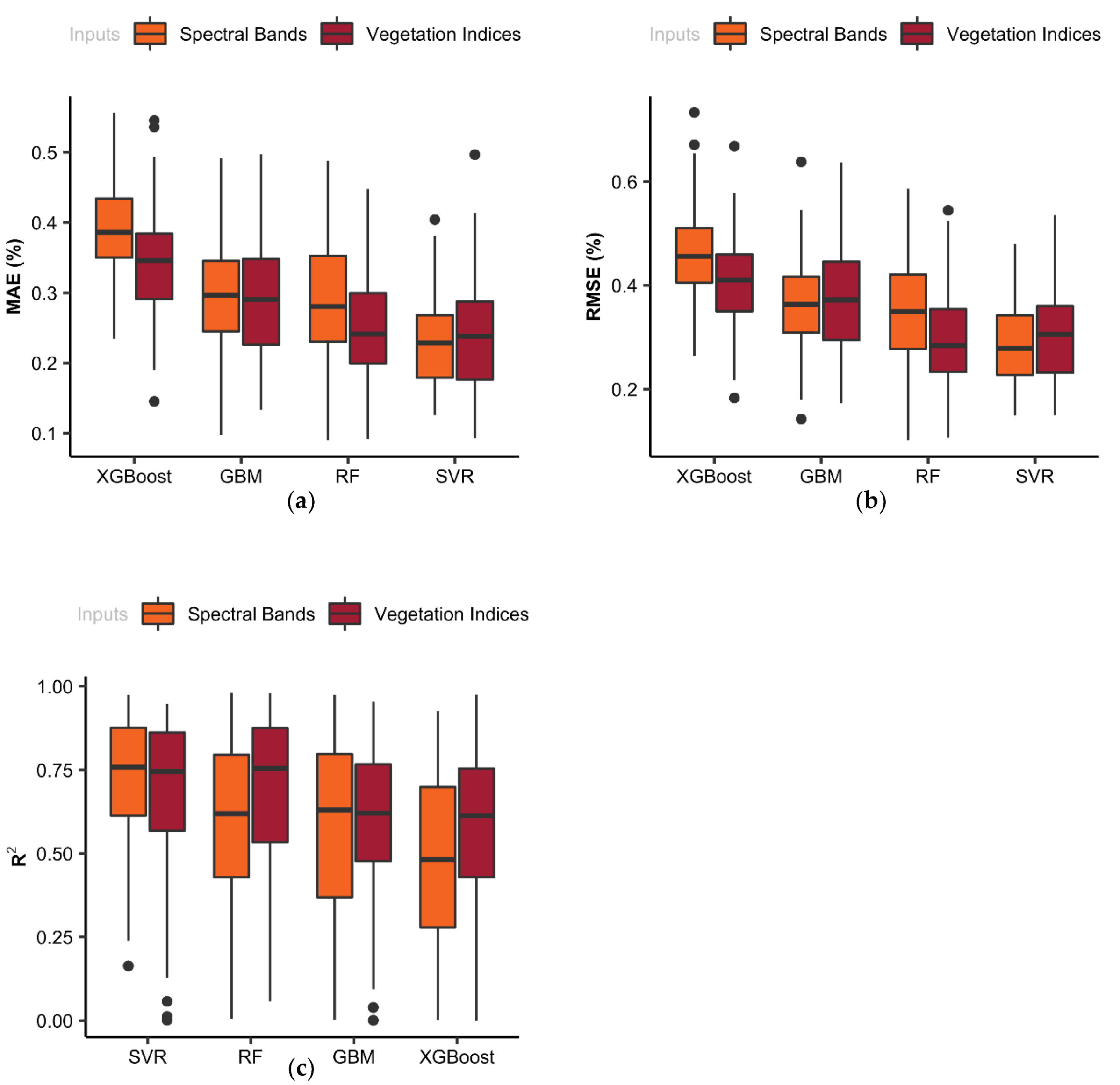
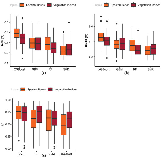
3.2.1. Machine Learning Results for N Estimation
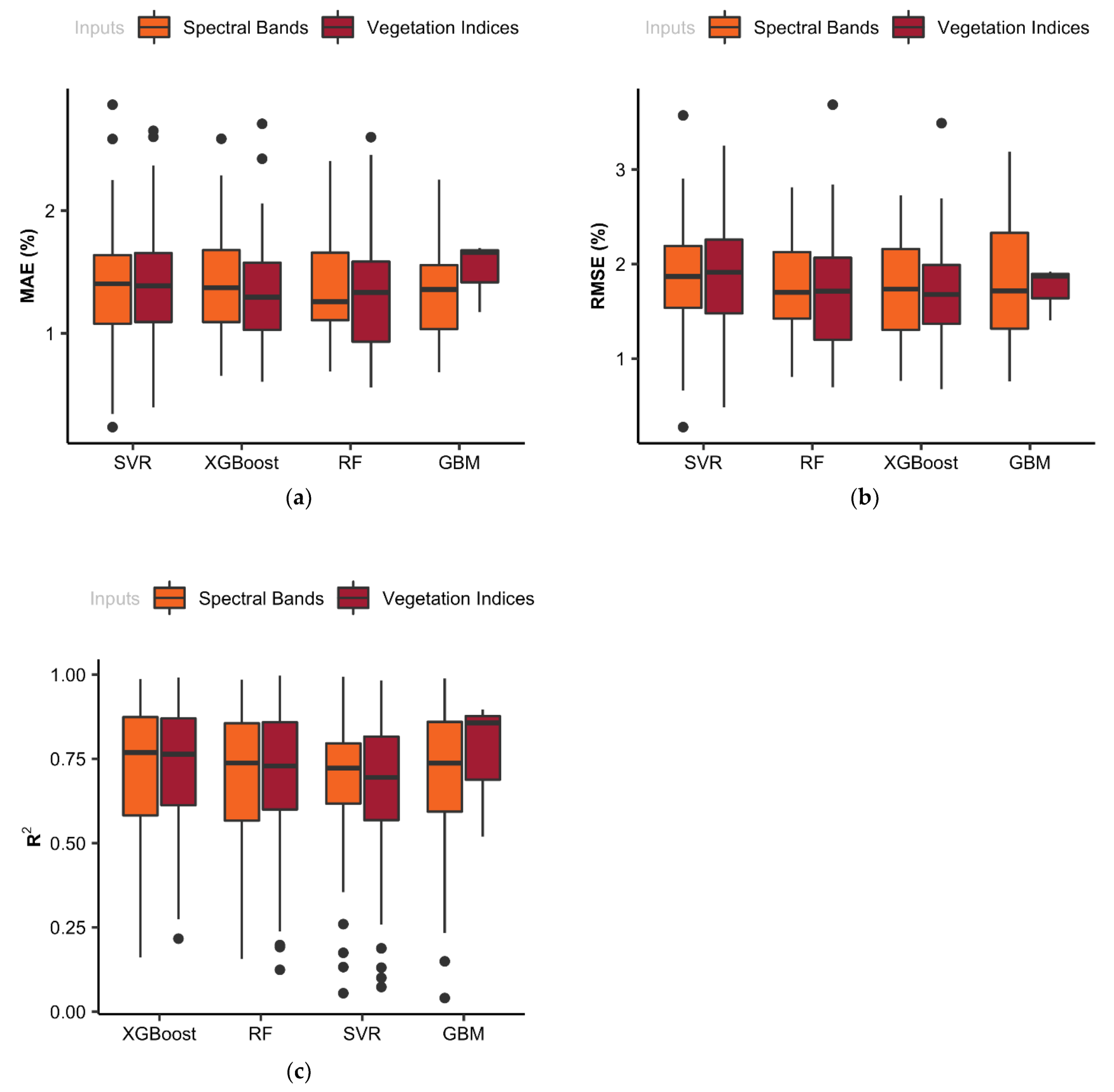
3.2.2. Machine Learning Results for Yield Estimation
4. Conclusions
Author Contributions
Funding
Institutional Review Board Statement
Informed Consent Statement
Data Availability Statement
Conflicts of Interest
References
- West, P.C.; Gibbs, H.K.; Monfreda, C.; Wagner, J.; Barford, C.C.; Carpenter, S.R. Trading Carbon for Food: Global Comparison of Carbon Stocks vs. Crop Yields on Agricultural Land. Proc. Natl. Acad. Sci. USA 2010, 107, 19645–19648. [Google Scholar] [CrossRef] [PubMed] [Green Version]
- McGuire, S. WHO, World Food Programme, and International Fund for Agricultural Development. 2012. The State of Food Insecurity in the World 2012. Economic Growth Is Necessary but Not Sufficient to Accelerate Reduction of Hunger and Malnutrition. Rome, FAO. Adv. Nutr. 2013, 4, 126–127. [Google Scholar] [CrossRef] [Green Version]
- USDA. NASS_USAD.pdf. Available online: http://www.nass.usda.gov/Quick_Stats (accessed on 21 December 2021).
- Andrews, M.; Raven, J.A.; Lea, P.J. Do Plants Need Nitrate? The Mechanisms by Which Nitrogen Form Affects Plants. Ann. Appl. Biol. 2013, 163, 174–199. [Google Scholar] [CrossRef]
- Cassman, K.G.; Dobermann, A.; Walters, D.T.; Yang, H. Meeting Cereal Demand While Protecting Natural Resources and Improving Environmental Quality. Annu. Rev. Environ. Resour. 2003, 28, 315–358. [Google Scholar] [CrossRef] [Green Version]
- Kim, S.; Dale, B.E. Effects of Nitrogen Fertilizer Application on Greenhouse Gas Emissions and Economics of Corn Production. Environ. Sci. Technol. 2008, 42, 6028–6033. [Google Scholar] [CrossRef] [PubMed]
- Gautam, R.K.; Panigrahi, S. Leaf Nitrogen Determination of Corn Plant Using Aerial Images and Artificial Neural Networks. Can. Biosyst. Eng./Genie Biosyst. Can. 2007, 49, 9. [Google Scholar]
- Raper, T.B.; Varco, J.J.; Hubbard, K.J. Canopy-Based Normalized Difference Vegetation Index Sensors for Monitoring Cotton Nitrogen Status. Agron. J. 2013, 105, 1345–1354. [Google Scholar] [CrossRef] [Green Version]
- Bronson, K.F.; Booker, J.D.; Keeling, J.W.; Boman, R.K.; Wheeler, T.A.; Lascano, R.J.; Nichols, R.L. Cotton Canopy Reflectance at Landscape Scale as Affected by Nitrogen Fertilization. Agron. J. 2005, 97, 654–660. [Google Scholar] [CrossRef]
- Fridgen, J.L.; Varco, J.J. Dependency of cotton leaf nitrogen, chlorophyll, and reflectance on nitrogen and potassium availability. Agron. J. 2004, 96, 63–69. [Google Scholar] [CrossRef]
- Zhao, D.; Reddy, K.R.; Kakani, V.G.; Read, J.J.; Carter, G.A. Corn (Zea mays L.) Growth, Leaf Pigment Concentration, Photosynthesis and Leaf Hyperspectral Reflectance Properties as Affected by Nitrogen Supply. Plant Soil 2003, 257, 205–218. [Google Scholar] [CrossRef]
- Li, F.; Miao, Y.; Hennig, S.D.; Gnyp, M.L.; Chen, X.; Jia, L.; Bareth, G. Evaluating Hyperspectral Vegetation Indices for Estimating Nitrogen Concentration of Winter Wheat at Different Growth Stages. Precis. Agric. 2010, 11, 335–357. [Google Scholar] [CrossRef]
- Zhu, Y.; Fan, X.; Hou, X.; Wu, J.; Wang, T. ScienceDirect Effect of Different Levels of Nitrogen Deficiency on Switchgrass Seedling Growth. Crop. J. 2014, 2, 223–234. [Google Scholar] [CrossRef] [Green Version]
- Reyniers, M.; Vrindts, E.; De Baerdemaeker, J. Comparison of an Aerial-Based System and an on the Ground Continuous Measuring Device to Predict Yield of Winter Wheat. Eur. J. Agron. 2006, 24, 87–94. [Google Scholar] [CrossRef]
- Chang, J.; Clay, D.E.; Dalsted, K.; Clay, S.; O’Neill, M. Corn (Zea mays L.) Yield Prediction Using Multispectral and Multidate Reflectance. Agron. J. 2003, 95, 1447–1453. [Google Scholar] [CrossRef]
- Solari, F.; Shanahan, J.; Ferguson, R.; Schepers, J.; Gitelson, A. Active Sensor Reflectance Measurements of Corn Nitrogen Status and Yield Potential. Agron. J. 2008, 100, 571–579. [Google Scholar] [CrossRef] [Green Version]
- Tadesse, A.; Kim, H.K.; Debela, A. Calibration of Nitrogen Fertilizer for Quality Protein Maize (Zea mays L.) Based on In-Season Estimated Yield Using a Handheld NDVI Sensor in the Central. Asia Pac. J. Energy Environ. 2015, 2, 25–32. [Google Scholar] [CrossRef]
- Sakamoto, T.; Gitelson, A.A.; Arkebauer, T.J. Near Real-Time Prediction of U.S. Corn Yields Based on Time-Series MODIS Data. Remote Sens. Environ. 2014, 147, 219–231. [Google Scholar] [CrossRef]
- Uno, Y.; Prasher, S.O.; Lacroix, R.; Goel, P.K.; Karimi, Y.; Viau, A.; Patel, R.M. Artificial Neural Networks to Predict Corn Yield from Compact Airborne Spectrographic Imager Data. Comput. Electron. Agric. 2005, 47, 149–161. [Google Scholar] [CrossRef]
- Dobermann, A.; Witt, C.; Dawe, D.; Abdulrachman, S.; Gines, H.C.; Nagarajan, R.; Satawathananont, S.; Son, T.T.; Tan, P.S.; Wang, G.H.; et al. Site-Specific Nutrient Management for Intensive Rice Cropping Systems in Asia. F. Crop. Res. 2002, 74, 37–66. [Google Scholar] [CrossRef]
- Gitelson, A.A.; Merzlyak, M.N. Remote Estimation of Chlorophyll Content in Higher Plant Leaves. Int. J. Remote Sens. 1998, 18, 2691–2697. [Google Scholar] [CrossRef]
- Yao, Y.; Miao, Y.; Huang, S.; Gao, L.; Ma, X.; Zhao, G.; Jiang, R.; Chen, X.; Zhang, F.; Yu, K.; et al. Active Canopy Sensor-Based Precision N Management Strategy for Rice. Agron. Sustain. Dev. 2012, 32, 925–933. [Google Scholar] [CrossRef] [Green Version]
- Cao, Q.; Miao, Y.; Wang, H.; Huang, S.; Cheng, S.; Khosla, R.; Jiang, R. Non-Destructive Estimation of Rice Plant Nitrogen Status with Crop Circle Multispectral Active Canopy Sensor. F. Crop. Res. 2013, 154, 133–144. [Google Scholar] [CrossRef]
- Hatfield, J.L.; Prueger, J.H. Value of Using Different Vegetative Indices to Quantify Agricultural Crop Characteristics at Different Growth Stages under Varying Management Practices. Remote Sens. 2010, 2, 562–578. [Google Scholar] [CrossRef] [Green Version]
- Cao, Q.; Miao, Y.; Li, F.; Gao, X. Developing a New Crop Circle Active Canopy Sensor- Based Precision Nitrogen Management Strategy for Winter. Precis. Agric. 2017, 18, 2–18. [Google Scholar] [CrossRef]
- Shi, W.; Lu, J.; Miao, Y.; Cao, Q.; Shen, J.; Wang, H.; Hu, X.; Hu, S. Evaluating a Crop Circle Active Canopy Sensor-Based Precision Nitrogen Management Strategy for Rice in Northeast China. In Proceedings of the 2015 Fourth International Conference on Agro-Geoinformatics (Agro-geoinformatics), Istanbul, Turkey, 20–24 July 2015; pp. 261–264. [Google Scholar] [CrossRef]
- Wahabzada, M.; Mahlein, A.; Bauckhage, C.; Steiner, U. Plant Phenotyping Using Probabilistic Topic Models: Uncovering the Hyperspectral Language of Plants. Nat. Publ. Gr. 2016, 6, 22482. [Google Scholar] [CrossRef] [PubMed] [Green Version]
- Goldstein, A.; Fink, L.; Meitin, A. Applying Machine Learning on Sensor Data for Irrigation Recommendations: Revealing the Agronomist’ s Tacit Knowledge. Precis. Agric. 2017, 19, 421–444. [Google Scholar] [CrossRef]
- Barzin, R.; Pathak, R.; Lotfi, H.; Varco, J.; Bora, G.C. Use of UAS Multispectral Imagery at Different Physiological Stages for Yield Prediction and Input Resource Optimization in Corn. Remote. Sens. 2020, 12, 2392. [Google Scholar] [CrossRef]
- Gutiérrez, S.; Diago, M.P.; Fernández-Novales, J.; Tardaguila, J. Vineyard Water Status Assessment Using On-the-Go Thermal Imaging and Machine Learning. PLoS ONE 2018, 13, e0192037. [Google Scholar] [CrossRef]
- Weng, H.; Lv, J.; Cen, H.; He, M.; Zeng, Y.; Hua, S.; Li, H.; Meng, Y.; Fang, H.; He, Y. Hyperspectral Re Fl Ectance Imaging Combined with Carbohydrate Metabolism Analysis for Diagnosis of Citrus Huanglongbing in Di Ff Erent Seasons and Cultivars. Sensors Actuators B. Chem. 2018, 275, 50–60. [Google Scholar] [CrossRef]
- Cao, Q.; Miao, Y.; Shen, J.; Yuan, F.; Cheng, S.; Cui, Z. Evaluating Two Crop Circle Active Canopy Sensors for In-Season Diagnosis of Winter Wheat. Agronomy 2018, 8, 201. [Google Scholar] [CrossRef] [Green Version]
- Rouse, J.W.; Hass, R.H.; Schell, J.A.; Deering, D.W.; Harlan, J.C. Monitoring the Vernal Advancement and Retrogradation (GreenWave Effect) of Natural Vegetation; NASA: Greenbelt, MD, USA, 1974. [Google Scholar]
- Roujean, J.L.; Breon, F.M. Estimating PAR Absorbed by Vegetation from Bidirectional Reflectance Measurements. Remote Sens. Environ. 1995, 51, 375–384. [Google Scholar] [CrossRef]
- Bannari, A.; Asalhi, H.; Teillet, P.M. Transformed Difference Vegetation Index (TDVI) for Vegetation Cover Mapping. IEEE Int. Geosci. Remote Sens. Symp. 2002, 5, 3053–3055. [Google Scholar] [CrossRef]
- Tucker, C.J. Red and Photographic Infrared Linear Combinations for Monitoring Vegetation. Remote Sens. Environ. 1979, 8, 127–150. [Google Scholar] [CrossRef] [Green Version]
- Gitelson, A.A.; Merzlyak, M.N. Quantitative Estimation of Chlorophyll-a Using Reflectance Spectra: Experiments with Autumn Chestnut and Maple Leaves. J. Photochem. Photobiol. 1994, 22, 247–252. [Google Scholar] [CrossRef]
- Raper, T.B.; Varco, J.J. Canopy-Scale Wavelength and Vegetative Index Sensitivities to Cotton Growth Parameters and Nitrogen Status. Precis. Agric. 2015, 16, 62–76. [Google Scholar] [CrossRef] [Green Version]
- Vescovo, L.; Gianelle, D. Using the MIR Bands in Vegetation Indices for the Estimation of Grassland Biophysical Parameters from Satellite Remote Sensing in the Alps Region of Trentino (Italy). Adv. Sp. Res. 2008, 41, 1764–1772. [Google Scholar] [CrossRef]
- Gong, P.; Pu, R.; Biging, G.S.; Larrieu, M.R. Estimation of Forest Leaf Area Index Using Vegetation Indices Derived from Hyperion Hyperspectral Data. IEEE Trans. Geosci. Remote Sens. 2003, 41, 1355–1362. [Google Scholar] [CrossRef] [Green Version]
- Feng, W.; Wu, Y.; He, L.; Ren, X.; Wang, Y.; Hou, G.; Wang, Y.; Liu, W.; Guo, T. An Optimized Non-Linear Vegetation Index for Estimating Leaf Area Index in Winter Wheat. Precis. Agric. 2019, 20, 1157–1176. [Google Scholar] [CrossRef] [Green Version]
- Rondeaux, G.; Steven, M.; Baret, F. Optimization of Soil-Adjusted Vegetation Indices. Remote Sens. Environ. 1996, 55, 95–107. [Google Scholar] [CrossRef]
- Qi, J.; Chehbouni, A.; Huete, A.R.; Kerr, Y.H.; Sorooshian, S. A Modify Soil Adjust Vegetation Index. Remote Sens. Environ. 1994, 126, 119–126. [Google Scholar] [CrossRef]
- Fraser, R.H.; Latifovic, R. Mapping Insect-Induced Tree Defoliation and Mortality Using Coarse Spatial Resolution Satellite Imagery. Int. J. Remote Sens. 2005, 26, 193–200. [Google Scholar] [CrossRef]
- Chen, J.M. Evaluation of Vegetation Indices and a Modified Simple Ratio for Boreal Applications. Can. J. Remote Sens. 1996, 22, 229–242. [Google Scholar] [CrossRef]
- Gitelson, A.A. Wide Dynamic Range Vegetation Index for Remote Quantification of Biophysical Characteristics of Vegetation. J. Plant Physiol. 2004, 161, 165–173. [Google Scholar] [CrossRef] [Green Version]
- Gitelson, A.A.; Viña, A.; Ciganda, V.; Rundquist, D.C.; Arkebauer, T.J. Remote Estimation of Canopy Chlorophyll Content in Crops. Geophys. Res. Lett. 2005, 32, 7. [Google Scholar] [CrossRef] [Green Version]
- Granitto, P.M.; Furlanello, C.; Biasioli, F.; Gasperi, F. Recursive Feature Elimination with Random Forest for PTR-MS Analysis of Agroindustrial Products. Chemom. Intell. Lab. Syst. 2006, 83, 83–90. [Google Scholar] [CrossRef]
- Breiman, L. Random Forests. Mach. Learn. 2001, 45, 5–32. [Google Scholar] [CrossRef] [Green Version]
- Natekin, A.; Knoll, A. Gradient Boosting Machines, a Tutorial. Front. Neurorobotics 2013, 7, 21. [Google Scholar] [CrossRef] [Green Version]
- Friedman, J.H. Stochastic Gradient Boosting. Comput. Stat. Data Anal. 2002, 38, 367–378. [Google Scholar] [CrossRef]
- Chen, T.; Guestrin, C. XGBoost: A Scalable Tree Boosting System. In Proceedings of the 22nd ACM SIGKDD International Conference on Knowledge Discovery and Data Mining, San Francisco, CA, USA, 13–17 August 2016; pp. 785–794. [Google Scholar] [CrossRef]
- Mo, H.; Sun, H.; Liu, J.; Wei, S. Developing Window Behavior Models for Residential Buildings Using XGBoost Algorithm. Energy Build 2019, 205, 109564. [Google Scholar] [CrossRef]
- Vapnik, V.; Golowich, S.E.; Ave, M.; Hill, M. Support Vector Method for Function Approximation, Regression Estimation, and Signal Processing. Adv. Neural Inf. Process. Syst. 1997, 20, 281–287. [Google Scholar]
- Vapnik, V. The Support Vector Method of Function Estimation. In Nonlinear Modeling; Springer: Boston, MA, USA, 1998; pp. 55–85. [Google Scholar]
- Awad, M.; Khanna, R. Efficient Learning Machines: Theories, Concepts, and Applications for Engineers and System Designers; Apress: New York, NY, USA, 2015. [Google Scholar]
- Sumner, Z. Multi-Platform Comparison of Canopy Reflectance on Corn Whole Plant and Leaf Tissue Nitrogen Status. Ph.D. Thesis, Mississippi State University, Starkville, MS, USA, 2019. [Google Scholar]
- Fox, A.A.A. An Integrated Approach for Predicting Nitrogen Status in Early Cotton and Corn. Ph.D. Thesis, Mississippi State University, Starkville, MS, USA, 2015. [Google Scholar]
- Sumner, Z.; Varco, J.J.; Dhillon, J.S.; Fox, A.A.A.; Czarnecki, J.; Henry, W.B. Ground versus Aerial Canopy Reflectance of Corn: Red-Edge and Non-Red Edge Vegetation Indices. Agron. J. 2021, 113, 2773–2788. [Google Scholar] [CrossRef]
- Barzin, R.; Kamangir, H.; Bora, G.C. Comparison of Machine Learning Methods for Leaf Nitrogen Estimation in Corn Using Multispectral UAV images. Trans. ASABE 2021, 64, 2089–2101. [Google Scholar] [CrossRef]
- Erdle, K.; Mistele, B.; Schmidhalter, U. Field Crops Research Comparison of Active and Passive Spectral Sensors in Discriminating Biomass Parameters and Nitrogen Status in Wheat Cultivars. Field Crop. Res. 2011, 124, 74–84. [Google Scholar] [CrossRef]
- Bronson, K.F.; Conley, M.M.; French, A.N.; Hunsaker, D.J.; Thorp, K.R.; Barnes, E.M. Which active optical sensor vegetation index is best for nitrogen assessment in irrigated cotton? Agron. J. 2020, 112, 2205–2218. [Google Scholar] [CrossRef]
- Miao, Y.; Mulla, D.J.; Randall, G.W.; Vetsch, J.A.; Vintila, R. Combining Chlorophyll Meter Readings and High Spatial Resolution Remote Sensing Images for In-Season Site-Specific Nitrogen Management of Corn. Precis. Agric. 2008, 10, 45–62. [Google Scholar] [CrossRef]
- Li, F.; Mistele, B.; Hu, Y.; Yue, X.; Yue, S.; Miao, Y.; Chen, X.; Cui, Z.; Meng, Q.; Schmidhalter, U. Remotely Estimating Aerial N Status of Phenologically Differing Winter Wheat Cultivars Grown in Contrasting Climatic and Geographic Zones in China and Germany. Field Crop. Res. 2012, 138, 21–32. [Google Scholar] [CrossRef]
- Yu, K.; Li, F.; Gnyp, M.L.; Miao, Y.; Bareth, G.; Chen, X. Remotely Detecting Canopy Nitrogen Concentration and Uptake of Paddy Rice in the Northeast China Plain. ISPRS J. Photogramm. Remote Sens. 2013, 78, 102–115. [Google Scholar] [CrossRef]
- Shen, J.; Miao, Y.; Cao, Q.; Wang, H.; Yu, W.; Hu, S.; Wu, H.; Lu, J. Estimating Rice Nitrogen Status Using Active Canopy Sensor Crop Circle 430 in Northeast China. In Proceedings of the Third International Conference on Agro-Geoinformatics, Beijing, China, 11–14 August 2014; pp. 1–7. [Google Scholar] [CrossRef]
- Cummings, C.; Miao, Y.; Paiao, G.D.; Kang, S.; Fernández, F.G. Corn nitrogen status diagnosis with an innovative multi-parameter crop circle phenom sensing system. Remote Sens. 2021, 13, 401. [Google Scholar] [CrossRef]
- Bakar, B.A.; Muslimin, J.; Rani, M.N.F.A.; Bookeri, M.A.M.; Ahmad, M.T.; Abdullah, M.Z.K.; Ismail, R. On-The-Go Variable Rate Fertilizer Application Method for Rice Through Classification of Crop Nitrogen Nutrition Index (NNI). ASM Sci. J. 2021, 15, 1–10. [Google Scholar] [CrossRef]









| Vegetation Indices (VIs) | Abbreviation | Formula | Reference | |
|---|---|---|---|---|
| 1 | Normalized Difference Vegetation Index | NDVI | (NIR − Red)/(NIR + Red) | [33] |
| 2 | Renormalized Difference Vegetation Index | RDVI | (NIR − Red)/ | [34] |
| 3 | Transformed Difference Vegetation Index | TDVI | 1.5 × (NIR − Red)/ | [35] |
| 4 | Difference Vegetation Index | DVI | NIR − Red | [36] |
| 5 | Red-edge difference vegetation index | REDVI | NIR − Red-edge | [36] |
| 6 | Red-edge re-normalized different vegetation index | RERDVI | (NIR − Red-edge)/ | [23] |
| 7 | Normalized Difference Red-edge | NDRE | (NIR − Red-edge)/(NIR + Red-edge) | [8,37] |
| 8 | Simplified Canopy Chlorophyll Content Index | SCCCI | NDRE/NDVI | [38] |
| 9 | Non-Linear Index | NLI | (NIR − Red)/(NIR2 + Red) | [39] |
| 10 | Modified Non-Linear Index | MNLI | (NIR − Red) × (1 + 0.5)/ (NIR2 + Red + 0.5) | [40] [41] |
| 11 | Soil Adjusted Vegetation Index | SAVI | 1.5 × (NIR − Red)/(NIR + Red + 0.5) | [42] |
| 12 | Optimized Soil Adjusted Vegetation Index | OSAVI | (NIR − Red)/(NIR + Red + 0.16) | [42] |
| 13 | Modified Soil Adjusted Vegetation Index 2 | MSAVI2 | (2NIR + 1 − )/2 | [43] |
| 14 | Simple Ratio | SR | NIR/Red | [44] |
| 15 | Modified Simple Ratio | MSR | (NIR/Red) − 1/ | [45] |
| 16 | Wide Dynamic Range Vegetation Index | WDRVI | (0.1 NIR − Red)/(0.1 NIR + Red) | [46] |
| 17 | Red-edge wide dynamic range vegetation index | REWDRVI | (0.12 × NIR − Red-edge)/(0.12 × NIR + Red-edge) | [23] |
| 18 | Red-edge ratio vegetation index | RERVI | NIR/Red-edge | [36] |
| 19 | Red-edge difference vegetation index | REDVI | NIR − Red-edge | [36] |
| 20 | Red-edge chlorophyll index | CIRE | (NIR/Red-edge) − 1 | [47] |
| 21 | Modified red-edge simple ratio | MSR_RE | ((NIR/Red-edge) – 1) / | [23] |
| 22 | Red-edge soil adjusted vegetation index | RESAVI | 1.5 × [(NIR − Red-edge)/(NIR + Red-edge + 0.5)] | [23] |
| 23 | Modified RESAVI | MRESAVI | 0.5 × [2 * NIR + 1 − ] | [23] |
| 24 | Red-edge optimal soil adjusted vegetation index | REOSAVI | 1.16 × (NIR − Red-edge)/(NIR + Red-edge + 0.16) | [23] |
| 25 | Red-edge re-normalized different vegetation index | RERDVI | (NIR − Red-edge)/ | [23] |
| Stage | Residual Standard Error | R2 | p-Value |
|---|---|---|---|
| V4 | 0.44 | 0.23 | 0.006 ** |
| V6 | 0.36 | 0.54 | 1.45 10−6 *** |
| VT | 0.19 | 0.89 | 5.8 10−16 *** |
Publisher’s Note: MDPI stays neutral with regard to jurisdictional claims in published maps and institutional affiliations. |
© 2021 by the authors. Licensee MDPI, Basel, Switzerland. This article is an open access article distributed under the terms and conditions of the Creative Commons Attribution (CC BY) license (https://creativecommons.org/licenses/by/4.0/).
Share and Cite
Barzin, R.; Lotfi, H.; Varco, J.J.; Bora, G.C. Machine Learning in Evaluating Multispectral Active Canopy Sensor for Prediction of Corn Leaf Nitrogen Concentration and Yield. Remote Sens. 2022, 14, 120. https://doi.org/10.3390/rs14010120
Barzin R, Lotfi H, Varco JJ, Bora GC. Machine Learning in Evaluating Multispectral Active Canopy Sensor for Prediction of Corn Leaf Nitrogen Concentration and Yield. Remote Sensing. 2022; 14(1):120. https://doi.org/10.3390/rs14010120
Chicago/Turabian StyleBarzin, Razieh, Hossein Lotfi, Jac J. Varco, and Ganesh C. Bora. 2022. "Machine Learning in Evaluating Multispectral Active Canopy Sensor for Prediction of Corn Leaf Nitrogen Concentration and Yield" Remote Sensing 14, no. 1: 120. https://doi.org/10.3390/rs14010120
APA StyleBarzin, R., Lotfi, H., Varco, J. J., & Bora, G. C. (2022). Machine Learning in Evaluating Multispectral Active Canopy Sensor for Prediction of Corn Leaf Nitrogen Concentration and Yield. Remote Sensing, 14(1), 120. https://doi.org/10.3390/rs14010120

