Examining the Links between Multi-Frequency Multibeam Backscatter Data and Sediment Grain Size
Abstract
1. Introduction
2. Materials and Methods
2.1. Description of Study Area
2.2. Acoustic Data Acquisition and Processing
2.3. Sediment Sampling and Grain Size Analysis
2.4. Texture Extraction
2.5. Statistical Analysis and Modelling
- a link function that describes how the mean,
- a variance function that describes how the variance (var (Yi)) depends on the mean
3. Results
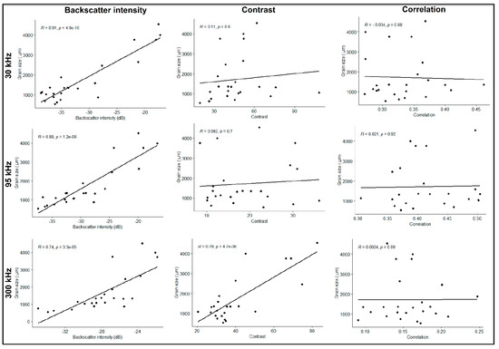
3.1. Acoustic Discrimination of Sediments
3.1.1. Multifrequency-Based Acoustic Discrimination
3.1.2. Texture-Based Acoustic Discrimination
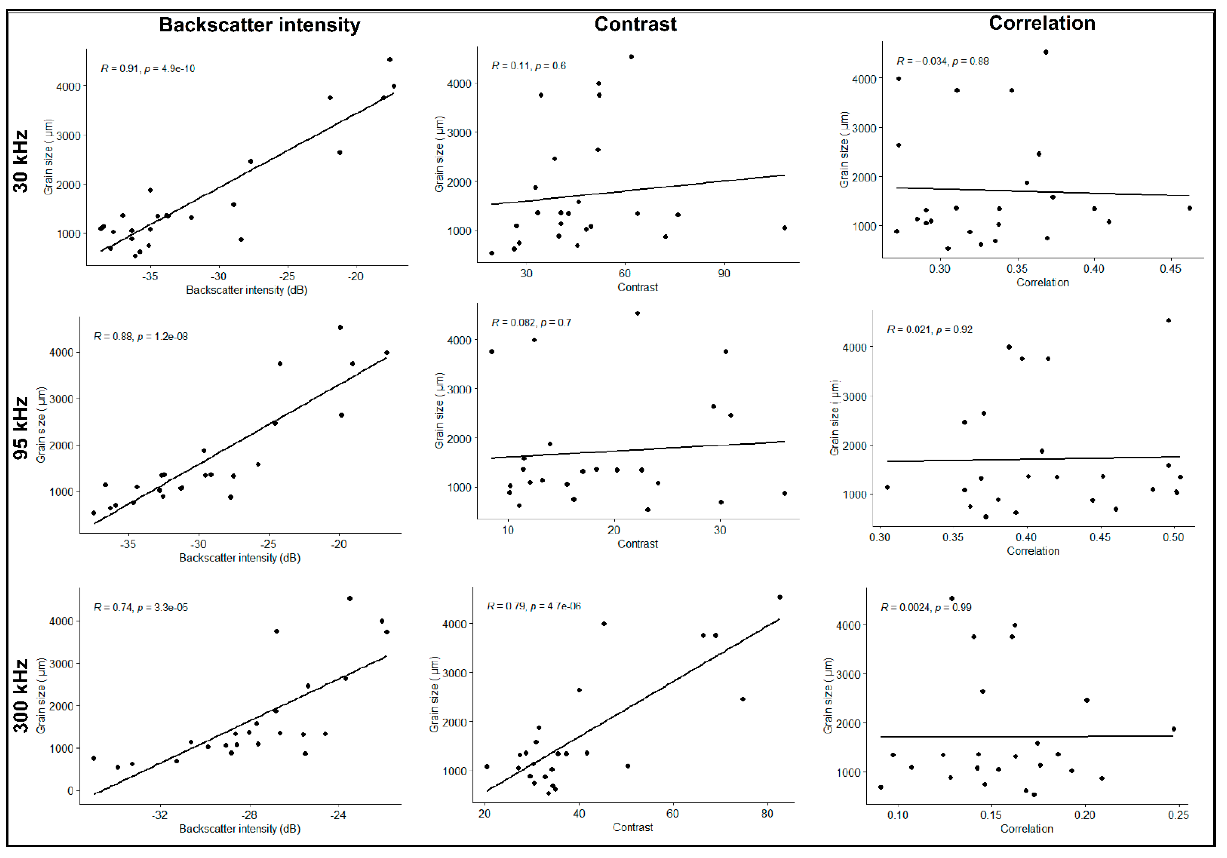
3.2. Modelling of Sediment Grain Size
4. Discussion
4.1. Acoustic Discrimination of Sediments
4.2. Modelling Sediment Grain Size
5. Limitations and Future Research
6. Conclusions
Author Contributions
Funding
Institutional Review Board Statement
Informed Consent Statement
Data Availability Statement
Acknowledgments
Conflicts of Interest
Appendix A


| Features | Description | Equation |
|---|---|---|
| Contrast | Measures local variations in the GLCM. | |
| Correlation | Measures the joint probability occurrence of the specified pixel pairs. | |
| Dissimilarity | Measures mean of the grey level distribution of the image. | |
| Entropy | Measures the lack of spatial organization in computational window. | |
| Homogeneity | Measures closeness of the distribution of elements in the GLCM to the GLCM diagonal. | |
| Mean | Measures the average of the grey levels. | |
| Second moment | Measure of heterogeneity that has higher weights on differing intensity level pairs that deviate more from the mean. | |
| Variance | A measure of uniformity that gives the sum of squared elements in the GLCM (also known as uniformity). |
References
- Cui, X.; Liu, H.; Fan, M.; Ai, B.; Ma, D.; Yang, F. Seafloor Habitat Mapping Using Multibeam Bathymetric and Backscatter Intensity Multi-Features SVM Classification Framework. Appl. Acoust. 2021, 174, 107728. [Google Scholar] [CrossRef]
- Gaida, T.C.; Mohammadloo, T.H.; Snellen, M.; Simons, D.G. Mapping the Seabed and Shallow Subsurface with Multi-Frequency Multibeam Echosounders. Remote Sens. 2020, 12, 52. [Google Scholar] [CrossRef]
- Lamarche, G.; Lurton, X. Recommendations for Improved and Coherent Acquisition and Processing of Backscatter Data from Seafloor-Mapping Sonars. Mar. Geophys. Res. 2018, 39, 5–22. [Google Scholar] [CrossRef]
- Lecours, V.; Devillers, R.; Schneider, D.C.; Lucieer, V.L.; Brown, C.J.; Edinger, E.N. Spatial Scale and Geographic Context in Benthic Habitat Mapping: Review and Future Directions. MEPS 2015, 535, 259–284. [Google Scholar] [CrossRef]
- Brown, C.J.; Smith, S.J.; Lawton, P.; Anderson, J.T. Benthic Habitat Mapping: A Review of Progress towards Improved Understanding of the Spatial Ecology of the Seafloor Using Acoustic Techniques. Estuar. Coast. Shelf Sci. 2011, 92, 502–520. [Google Scholar] [CrossRef]
- Lurton, X.; Lamarche, G. Backscatter Measurements by Seafloor-mapping Sonars: Guidelines and Recommendations. In Geohab Report. 2015. Available online: https://niwa.co.nz/static/BWSG_REPORT_MAY2015_web.pdf (accessed on 15 January 2021).
- Costa, B. Multispectral Acoustic Backscatter: How Useful Is It for Marine Habitat Mapping and Management? J. Coast. Res. 2019, 35, 1062. [Google Scholar] [CrossRef]
- Feldens, P.; Schulze, I.; Papenmeier, S.; Schönke, M.; von Deimling, J.S. Improved Interpretation of Marine Sedimentary Environments Using Multi-Frequency Multibeam Backscatter Data. Geosciences 2018, 8, 214. [Google Scholar] [CrossRef]
- Gaida, T.C.; Ali, T.A.T.; Snellen, M.; Amiri-Simkooei, A.; van Dijk, T.A.G.P.; Simons, D.G. A Multispectral Bayesian Classification Method for Increased Acoustic Discrimination of Seabed Sediments Using Multi-Frequency Multibeam Backscatter Data. Geosciences 2018, 8, 455. [Google Scholar] [CrossRef]
- Huvenne, V.A.I.; Huhnerbach, V.; Blondel, P.; Gomez Sichi, O.; Le Bas, T. Detailed Mapping of Shallow-Water Environments Using Image Texture Analysis on Sidescan Sonar And Multibeam Backscatter Imagery. In Proceedings of the 2nd International Conference & Exhibition on “Underwater Acoustic Measurements: Technologies & Result”, Heraklion, Greece, 25–29 June 2007; pp. 879–886. [Google Scholar]
- Boswarva, K.; Butters, A.; Fox, C.J.; Howe, J.A.; Narayanaswamy, B. Improving Marine Habitat Mapping Using High-Resolution Acoustic Data; A Predictive Habitat Map for the Firth of Lorn, Scotland. Cont. Shelf Res. 2018, 168, 39–47. [Google Scholar] [CrossRef]
- Brown, C.; Beaudoin, J.; Brissette, M.; Gazzola, V. Setting the Stage for Multi-Spectral Acoustic Backscatter Research. In Proceedings of the United States Hydrographic Conference, Galveston, TX, USA, 26 September 2017. [Google Scholar]
- Tamsett, D.; McIlvenny, J.; Watts, A. Colour Sonar: Multi-Frequency Sidescan Sonar Images of the Seabed in the Inner Sound of the Pentland Firth, Scotland. J. Mar. Sci. Eng. 2016, 4, 26. [Google Scholar] [CrossRef]
- McGonigle, C.; Collier, J.S. Interlinking Backscatter, Grain Size and Benthic Community Structure. Estuar. Coast. Shelf Sci. 2014, 147, 123–136. [Google Scholar] [CrossRef]
- Brown, C.J.; Beaudoin, J.; Brissette, M.; Gazzola, V. Multispectral Multibeam Echo Sounder Backscatter as a Tool for Improved Seafloor Characterization. Geosciences 2019, 9, 126. [Google Scholar] [CrossRef]
- Fakiris, E.; Zoura, D.; Ramfos, A.; Spinos, E.; Georgiou, N.; Ferentinos, G.; Papatheodorou, G. Object-Based Classification of Sub-Bottom Profiling Data for Benthic Habitat Mapping. Comparison with Sidescan and RoxAnn in a Greek Shallow-Water Habitat. Estuar. Coast. Shelf Sci. 2018, 208, 219–234. [Google Scholar] [CrossRef]
- Montereale-Gavazzi, G.; Roche, M.; Lurton, X.; Degrendele, K.; Terseleer, N.; Van Lancker, V. Seafloor Change Detection Using Multibeam Echosounder Backscatter: Case Study on the Belgian Part of the North Sea. Mar. Geophys. Res. 2018, 39, 229–247. [Google Scholar] [CrossRef]
- Ierodiaconou, D.; Schimel, A.C.G.; Kennedy, D.; Monk, J.; Gaylard, G.; Young, M.; Diesing, M.; Rattray, A. Combining Pixel and Object Based Image Analysis of Ultra-High Resolution Multibeam Bathymetry and Backscatter for Habitat Mapping in Shallow Marine Waters. Mar. Geophys. Res. 2018, 39, 271–288. [Google Scholar] [CrossRef]
- Kirui, K.B.; Kairo, J.G.; Bosire, J.; Viergever, K.M.; Rudra, S.; Huxham, M.; Briers, R.A. Mapping of Mangrove Forest Land Cover Change along the Kenya Coastline Using Landsat Imagery. Ocean Coast. Manag. 2013, 83, 19–24. [Google Scholar] [CrossRef]
- Dahdouh-guebas, F. The use of remote sensing and gis in the sustainable management of tropical coastal ecosystems each of these habitats is formed by species that are to a large extent adapted to trop-intertidal forests that are composed of halotolerant plant species. Environ. Dev. Sustain. 2002, 4, 93–112. [Google Scholar] [CrossRef]
- Ruddick, K.; Neukermans, G.; Vanhellemont, Q.; Jolivet, D. Challenges and Opportunities for Geostationary Ocean Colour Remote Sensing of Regional Seas: A Review of Recent Results. Remote Sens. Environ. 2014, 146, 63–76. [Google Scholar] [CrossRef]
- Lacharité, M.; Brown, C.J.; Gazzola, V. Multisource Multibeam Backscatter Data: Developing a Strategy for the Production of Benthic Habitat Maps Using Semi-Automated Seafloor Classification Methods. Mar. Geophys. Res. 2018, 39, 307–322. [Google Scholar] [CrossRef]
- Buscombe, D.; Grams, P.E.; Kaplinski, M.A. Compositional Signatures in Acoustic Backscatter Over Vegetated and Unvegetated Mixed Sand-Gravel Riverbeds. J. Geophys. Res. Earth Surf. 2017, 122, 1771–1793. [Google Scholar] [CrossRef]
- Brown, C.J.; Collier, J.S. Mapping Benthic Habitat in Regions of Gradational Substrata: An Automated Approach Utilising Geophysical, Geological, and Biological Relationships. Estuar. Coast. Shelf Sci. 2008, 78, 203–214. [Google Scholar] [CrossRef]
- Collier, J.S.; Brown, C.J. Correlation of Sidescan Backscatter with Grain Size Distribution of Surficial Seabed Sediments. Mar. Geol. 2005, 214, 431–449. [Google Scholar] [CrossRef]
- Lucieer, V.; Hill, N.A.; Barrett, N.S.; Nichol, S. Do Marine Substrates “look” and “Sound” the Same? Supervised Classification of Multibeam Acoustic Data Using Autonomous Underwater Vehicle Images. Estuar. Coast. Shelf Sci. 2013, 117, 94–106. [Google Scholar] [CrossRef]
- Janowski, A.; Tȩgowski, J.; Nowak, J. Seafloor Mapping Based on Multibeam Echosounder Bathymetry and Backscatter Data Using Object-Based Image Analysis: A Case Study from the Rewal Site, the Southern Baltic. Oceanol. Hydrobiol. Stud. 2018, 47, 248–259. [Google Scholar] [CrossRef]
- Buscombe, D.; Grams, P.E. Probabilistic Substrate Classification with Multispectral Acoustic Backscatter: A Comparison of Discriminative and Generative Models. Geosciences 2018, 8, 395. [Google Scholar] [CrossRef]
- Fakiris, E.; Blondel, P.; Papatheodorou, G.; Christodoulou, D.; Dimas, X.; Georgiou, N.; Kordella, S.; Dimitriadis, C.; Rzhanov, Y.; Geraga, M.; et al. Multi-Frequency, Multi-Sonar Mapping of Shallow Habitats-Efficacy and Management Implications in the National Marine Park of Zakynthos, Greece. Remote Sens. 2019, 11, 461. [Google Scholar] [CrossRef]
- Feldens, P.; Survey, A.H. Sensitivity of Texture Parameters to Acoustic Incidence Angle in Multibeam Backscatter. IEEE Geosci. Remote Sens. Lett. 2017, 14, 2215–2219. [Google Scholar] [CrossRef]
- MARPAMM. Marine Protected Area Management & Monitoring. Available online: https://www.mpa-management.eu/ (accessed on 19 December 2020).
- Long, D. BGS Detailed Explanation of Seabed Sediment Modified Folk Classification; MESH Report; Joint Nature Conservation Committee: Peterborough, UK, 2006. [Google Scholar]
- Evans, W. Hydrodynamic Modelling of Sediment Transport and Bedform Formation on the NW Irish Shelf. Ph.D. Thesis, Ulster University, Coleraine, UK, 2018. [Google Scholar]
- Picton, B.; Costello, M.J. BioMar Biotope Viewer: A Guide to Marine Habitats, Fauna and Flora of Britain and Ireland; Environmental Sciences Unit Trinity College: Dublin, UK, 1998; ISBN 0 9526 735 4. [Google Scholar]
- NPWS. Hempton’s Turbot Bank SAC (Site Code: 2999) Conservation Objectives Supporting Document—Marine Habitats; Version 1; 2015. Available online: https://www.npws.ie/protected-sites/sac/002999 (accessed on 15 March 2021).
- Evans, W.; Benetti, S.; Sacchetti, F.; Jackson, D.W.T.; Dunlop, P.; Monteys, X. Bedforms on the Northwest Irish Shelf: Indication of Modern Active Sediment Transport and over Printing of Paleo-Glacial Sedimentary Deposits. J. Maps 2015, 11, 561–574. [Google Scholar] [CrossRef]
- Williams, J.J.; MacDonald, N.J.; O’Connor, B.A.; Pan, S. Offshore Sand Bank Dynamics. J. Mar. Syst. 2000, 24, 153–173. [Google Scholar] [CrossRef]
- Simpson, J.H.; Allen, C.M.; Morris, N.C.G. Fronts on the Continental Shelf. J. Geophys. Res. 1978, 83, 4607–4614. [Google Scholar] [CrossRef]
- Kupidura, P. The Comparison of Different Methods of Texture Analysis for Their Efficacy for Land Use Classification in Satellite Imagery. Remote Sens. 2019, 11, 1233. [Google Scholar] [CrossRef]
- Febriawan, H.K.; Helmholz, P.; Parnum, I.M. Support Vector Machine and Decision Tree Based Classification of Side-Scan Sonar Mosaics Using Textural Features. Int. Arch. Photogramm. Remote Sens. Spat. Inf. Sci. ISPRS Arch. 2019, 42, 27–34. [Google Scholar] [CrossRef]
- Haralick, M.R.; Shanmugam, K.; Dinstein, I. Textural Features for Image Classification. IEEE Trans. Syst. Man Cybern. 1973, 6, 610–621. [Google Scholar] [CrossRef]
- Clausi, D.A. An Analysis of Co-Occurence Texture Statistics as a Function of Grey Level Quantization. Can. J. Remote Sens. 2002, 28, 45–62. [Google Scholar] [CrossRef]
- Zuur, A.F.; Ieno, E.N.; Elphick, C.S. A Protocol for Data Exploration to Avoid Common Statistical Problems. Methods Ecol. Evol. 2010, 1, 3–14. [Google Scholar] [CrossRef]
- Price, D.M.; Robert, K.; Callaway, A.; Lo lacono, C.; Hall, R.A.; Huvenne, V.A.I. Using 3D Photogrammetry from ROV Video to Quantify Cold-Water Coral Reef Structural Complexity and Investigate Its Influence on Biodiversity and Community Assemblage. Coral Reefs 2019, 38, 1007–1021. [Google Scholar] [CrossRef]
- O’Fallon, W.M.; Cooley, W.W.; Lohnes, P.R. Multivariate Data Analysis. Technometrics 1973, 15, 648. [Google Scholar] [CrossRef]
- Reiss, H.; Cunze, H.; König, K.; Neumann, K.; Kröncke, I. Species Distribution Modelling of Marine Benthos: A North Sea Case Study. MEPS 2011, 442, 71–86. [Google Scholar] [CrossRef]
- Fournier, A.; Barbet-Massin, M.; Rome, Q.; Courchamp, F. Predicting Species Distribution Combining Multi-Scale Drivers. GECCO 2017, 12, 215–226. [Google Scholar] [CrossRef]
- Trzcinska, K.; Janowski, L.; Nowak, J.; Rucinska-Zjadacz, M.; Kruss, A.; von Deimling, J.S.; Pocwiardowski, P.; Tegowski, J. Spectral Features of Dual-Frequency Multibeam Echosounder Data for Benthic Habitat Mapping. Mar. Geol. 2020, 427, 106239. [Google Scholar] [CrossRef]
- Izzo, G.; Jackiewicz, Z. Generalized Linear Multistep Methods for Ordinary Differential Equations. Appl. Numer. Math. 2017, 114, 165–178. [Google Scholar] [CrossRef]
- Koc, E.K.; Bozdogan, H. Model Selection in Multivariate Adaptive Regression Splines (MARS) Using Information Complexity as the Fitness Function. Mach. Learn. 2015, 101, 35–58. [Google Scholar] [CrossRef]
- Casal, G.; Harris, P.; Monteys, X.; Hedley, J.; Cahalane, C.; McCarthy, T. Understanding Satellite-Derived Bathymetry Using Sentinel 2 Imagery and Spatial Prediction Models. GIScience Remote Sens. 2020, 57, 271–286. [Google Scholar] [CrossRef]
- Sacchetti, F.; Benetti, S.; Georgiopoulou, A.; Shannon, P.M.; O’Reilly, B.M.; Dunlop, P.; Quinn, R.; Cofaigh, C.Ó. Deep-Water Geomorphology of the Glaciated Irish Margin from High-Resolution Marine Geophysical Data. Mar. Geol. 2012, 291–294, 113–131. [Google Scholar] [CrossRef]
- Huang, Z.; Siwabessy, J.; Cheng, H.; Nichol, S. Using Multibeam Backscatter Data to Investigate Sediment-Acoustic Relationships. J. Geophys. Res. Oceans 2018, 123, 4649–4665. [Google Scholar] [CrossRef]
- Clarke, J.E.H. Multispectral Acoustic Backscatter from Multibeam, Improved Classification Potential. In Proceedings of the United States Hydrographic Conference, San Diego, CA, USA, 16–19 March 2015; pp. 15–19. [Google Scholar]
- Misiuk, B.; Brown, C.J.; Robert, K. Harmonizing Multi-Source Sonar Backscatter Datasets for Seabed Mapping Using Bulk Shift Approaches. Remote Sens. 2020, 12, 601. [Google Scholar] [CrossRef]
- Misiuk, B.; Diesing, M.; Aitken, A.; Brown, C.J.; Edinger, E.N.; Bell, T. A Spatially Explicit Comparison of Quantitative and Categorical Modelling Approaches for Mapping Seabed Sediments Using Random Forest. Geosciences 2019, 9, 254. [Google Scholar] [CrossRef]
- Gaida, T.C.; Snellen, M.; van Dijk, T.A.G.P.; Simons, D.G. Geostatistical Modelling of Multibeam Backscatter for Full-Coverage Seabed Sediment Maps. Hydrobiologia 2019, 845, 55–79. [Google Scholar] [CrossRef]










| Covariates | Estimate | Std. Error | t-Value | p-Value |
|---|---|---|---|---|
| (1) 30 kHz model | ||||
| Intercept | 5862.7 | 892.2 | 6.6 | 0.000002 * |
| Backscatter | 152.7 | 14.8 | 10.3 | 0.000000002 * |
| Contrast | −1.9 | 5.4 | −0.3 | 0.7 |
| Correlation | 2220.0 | 2170.1 | 1.0 | 0.3 |
| (2) 95 kHz model | ||||
| Intercept | 6712.5 | 1153.7 | 5.8 | 0.00001 * |
| Backscatter | 172.2 | 20.6 | 8.4 | 0.00000006 * |
| Contrast | −4.1 | 15.4 | −0.3 | 0.8 |
| Correlation | 276.7 | 2134.9 | 0.1 | 0.9 |
| (3) 300 kHz model | ||||
| Intercept | 4280.6 | 1537.8 | 2.8 | 0.01 * |
| Backscatter | 154.0 | 40.8 | 3.8 | 0.001 * |
| Contrast | 39.8 | 8.7 | 4.6 | 0.0002 * |
| Correlation | 552.5 | 3424.9 | 0.2 | 0.9 |
| (4) Multifrequency model | ||||
| Intercept | 2465.8 | 757.7 | 3.3 | 0.004 * |
| Backscatter | 577.0 | 83.5 | 6.9 | 0.000001 * |
| Contrast | 26.2 | 10.7 | 2.4 | 0.02 * |
| Correlation | −4998.9 | 2392.9 | −2.1 | 0.05 |
Publisher’s Note: MDPI stays neutral with regard to jurisdictional claims in published maps and institutional affiliations. |
© 2021 by the authors. Licensee MDPI, Basel, Switzerland. This article is an open access article distributed under the terms and conditions of the Creative Commons Attribution (CC BY) license (https://creativecommons.org/licenses/by/4.0/).
Share and Cite
Runya, R.M.; McGonigle, C.; Quinn, R.; Howe, J.; Collier, J.; Fox, C.; Dooley, J.; O’Loughlin, R.; Calvert, J.; Scott, L.; et al. Examining the Links between Multi-Frequency Multibeam Backscatter Data and Sediment Grain Size. Remote Sens. 2021, 13, 1539. https://doi.org/10.3390/rs13081539
Runya RM, McGonigle C, Quinn R, Howe J, Collier J, Fox C, Dooley J, O’Loughlin R, Calvert J, Scott L, et al. Examining the Links between Multi-Frequency Multibeam Backscatter Data and Sediment Grain Size. Remote Sensing. 2021; 13(8):1539. https://doi.org/10.3390/rs13081539
Chicago/Turabian StyleRunya, Robert Mzungu, Chris McGonigle, Rory Quinn, John Howe, Jenny Collier, Clive Fox, James Dooley, Rory O’Loughlin, Jay Calvert, Louise Scott, and et al. 2021. "Examining the Links between Multi-Frequency Multibeam Backscatter Data and Sediment Grain Size" Remote Sensing 13, no. 8: 1539. https://doi.org/10.3390/rs13081539
APA StyleRunya, R. M., McGonigle, C., Quinn, R., Howe, J., Collier, J., Fox, C., Dooley, J., O’Loughlin, R., Calvert, J., Scott, L., Abernethy, C., & Evans, W. (2021). Examining the Links between Multi-Frequency Multibeam Backscatter Data and Sediment Grain Size. Remote Sensing, 13(8), 1539. https://doi.org/10.3390/rs13081539

