Estimation of Photosynthetic and Non-Photosynthetic Vegetation Coverage in the Lower Reaches of Tarim River Based on Sentinel-2A Data
Abstract
1. Introduction
2. Materials and Methods
2.1. Study Area
2.2. Datasets
2.2.1. Field Data
2.2.2. Remote Sensing Data
2.3. Methods
2.3.1. PVIs and NPVIs
2.3.2. Linear Unmixed Model
2.3.3. Determination of the GEMI and DFI End Member Value
2.3.4. Model Evaluation
3. Results
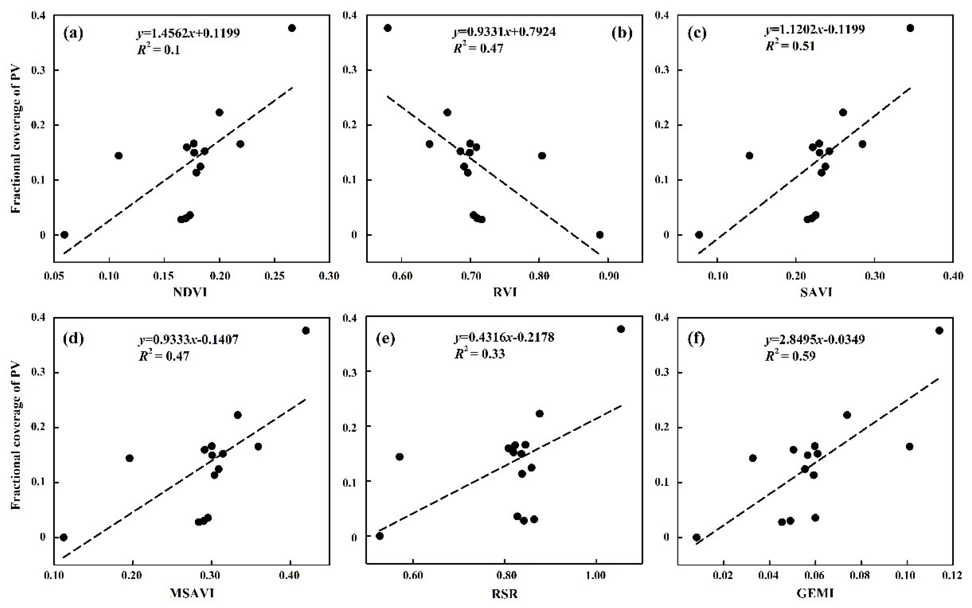
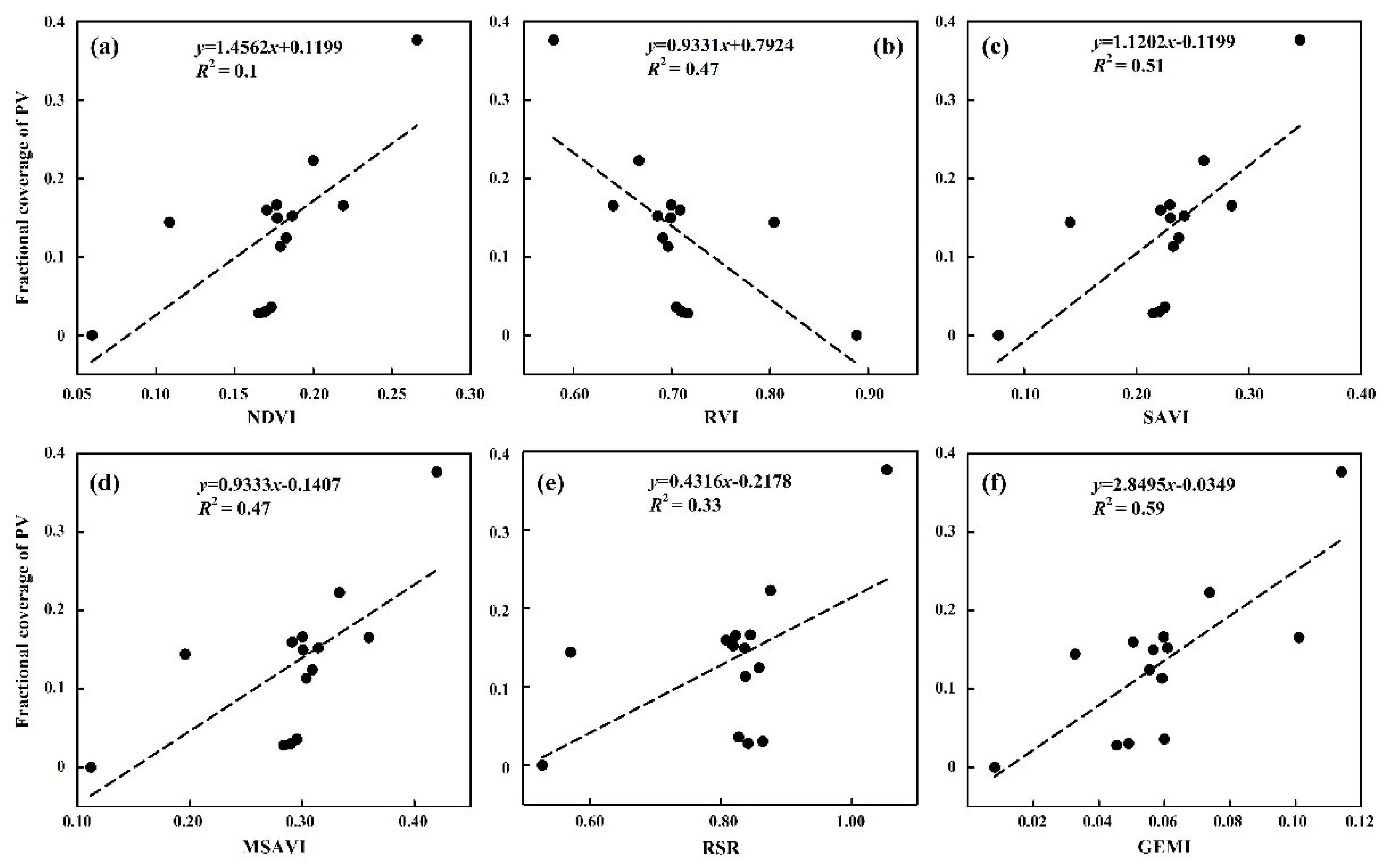
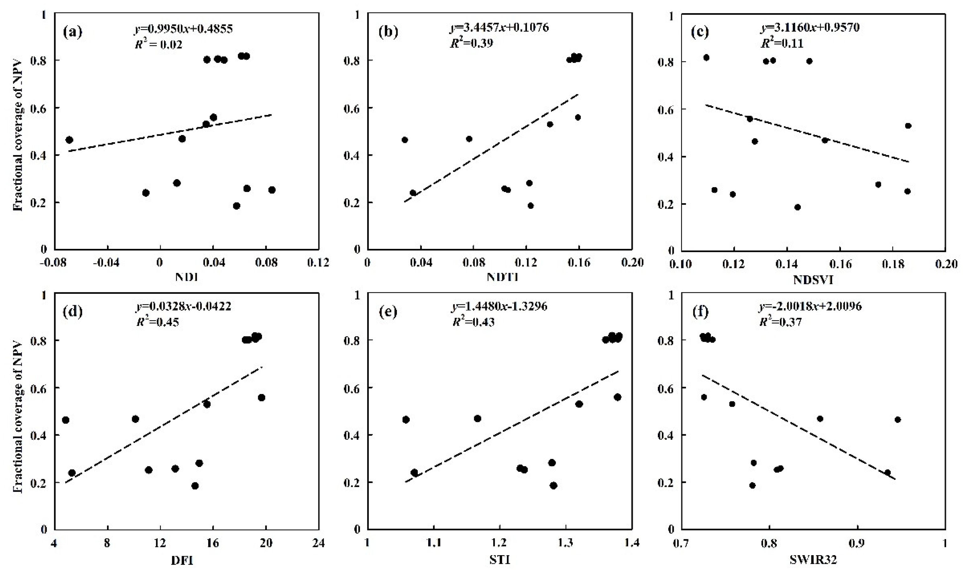
3.1. PVI and NPVI Index Optimization
3.2. The Feasibility of the GEMI-DFI Model
3.3. Evaluation of the fPV and fNPV Estimation Accuracy
3.4. Seasonal Variation of the fPV and fNPV
4. Discussion
5. Conclusions
Author Contributions
Funding
Acknowledgments
Conflicts of Interest
References
- Novillo, C.; Arrogante-Funes, P.; Romero-Calcerrada, R. Recent NDVI Trends in Mainland Spain: Land-Cover and Phytoclimatic-Type Implications. ISPRS Int. J. Geo. Inf. 2019, 8, 43. [Google Scholar] [CrossRef]
- Xu, H.; Ye, M.; Song, Y.; Chen, Y. The natural vegetation responses to the groundwater change resulting from ecological water conveyances to the lower Tarim River. Environ. Monit. Assess. 2007, 131, 37–48. [Google Scholar] [CrossRef]
- Guerschman, J.P.; Hill, M.J.; Renzullo, L.J.; Barrett, D.J.; Marks, A.S.; Botha, E.J. Estimating fractional cover of photosynthetic vegetation, non-photosynthetic vegetation and bare soil in the Australian tropical savanna region upscaling the EO-1 Hyperion and MODIS sensors. Remote Sens. Environ. 2009, 113, 928–945. [Google Scholar] [CrossRef]
- Chai, G.; Wang, J.; Wang, G.; Kang, L.; Wu, M.; Wang, Z. Estimating fractional cover of non-photosynthetic vegetation in a typical grassland area of northern China based on Moderate Resolution Imaging Spectroradiometer (MODIS) image data. Int. J. Remote Sens. 2019, 40, 8793–8810. [Google Scholar] [CrossRef]
- Li, Z.; Guo, X. Remote sensing of terrestrial non-photosynthetic vegetation using hyperspectral, multispectral, SAR, and LiDAR data. Prog. Phys. Geogr. Earth Environ. 2015, 40, 276–304. [Google Scholar] [CrossRef]
- Ren, H.; Zhou, G. Estimating senesced biomass of desert steppe in Inner Mongolia using field spectrometric data. Agric. For. Meteorol. 2012, 161, 66–71. [Google Scholar] [CrossRef]
- Facelli, J.M.; Pickett, S.T.A. Plant litter Its dynamics and effects on plant community structure. Bot. Rev. 1991, 57, 1–32. [Google Scholar] [CrossRef]
- Daughtry, C.S.T.; Hunt, E.R.; McMurtrey, J.E. Assessing crop residue cover using shortwave infrared reflectance. Remote Sens. Environ. 2004, 90, 126–134. [Google Scholar] [CrossRef]
- Wang, J.; Zhao, M.; Willms, W.D.; Han, G.; Wang, Z.; Bai, Y. Can plant litter affect net primary production of a typical steppe in Inner Mongolia? J. Veg. Sci. 2011, 22, 367–376. [Google Scholar] [CrossRef]
- Nagler, P.L.; Inoue, Y.; Glenn, E.P.; Russ, A.L.; Daughtry, C.S.T. Cellulose absorption index (CAI) to quantify mixed soil–plant litter scenes. Remote Sens. Environ. 2003, 87, 310–325. [Google Scholar] [CrossRef]
- Henry, H.A.L.; Brizgys, K.; Field, C.B. Litter Decomposition in a California Annual Grassland: Interactions Between Photodegradation and Litter Layer Thickness. Ecosystems 2008, 11, 545–554. [Google Scholar] [CrossRef]
- Daughtry, C.S.; Serbin, G.; Reeves, J.; Doraiswamy, P.; Hunt, E.R. Spectral Reflectance of Wheat Residue during Decomposition and Remotely Sensed Estimates of Residue Cover. Remote Sens. 2010, 2, 416–431. [Google Scholar] [CrossRef]
- Wu, S.; Gao, X.; Lei, J.; Zhou, N.; Wang, Y. Spatial and Temporal Changes in the Normalized Difference Vegetation Index and Their Driving Factors in the Desert/Grassland Biome Transition Zone of the Sahel Region of Africa. Remote Sens. 2020, 12, 4119. [Google Scholar] [CrossRef]
- Chai, G.; Wang, J.; Wu, M.; Li, G.; Zhang, L.; Wang, Z. Mapping the fractional cover of non-photosynthetic vegetation and its spatiotemporal variations in the Xilingol grassland using MODIS imagery (2000–2019). Geocarto Int. 2020, 1–17. [Google Scholar] [CrossRef]
- de Jong, R.; de Bruin, S.; de Wit, A.; Schaepman, M.E.; Dent, D.L. Analysis of monotonic greening and browning trends from global NDVI time-series. Remote Sens. Environ. 2011, 115, 692–702. [Google Scholar] [CrossRef]
- Qi, J.; Chehbouni, A.; Huete, A.R.; Kerr, Y.H.; Sorooshian, S. A modified soil adjusted vegetation index. Remote Sens. Environ. 1994, 48, 119–126. [Google Scholar] [CrossRef]
- Pinty, B.; Verstraete, M.M. GEMI: A non-linear index to monitor global vegetation from satellites. Vegetatio 1992, 101, 15–20. [Google Scholar] [CrossRef]
- Numata, I.; Roberts, D.; Chadwick, O.; Schimel, J.; Galvao, L.; Soares, J. Evaluation of hyperspectral data for pasture estimate in the Brazilian Amazon using field and imaging spectrometers. Remote Sens. Environ. 2008, 112, 1569–1583. [Google Scholar] [CrossRef]
- Deventer, V.; Ward, A.; Gowda, P.; Lyon, J. Using Thematic Mapper Data to Identify Contrasting Soil Plains and Tillage Practices. Photogramm. Eng. Remote Sens. 1997, 63, 87–93. [Google Scholar] [CrossRef]
- Qi, J.; Marsett, R.; Heilman, P.; Biedenbender, S.; Moran, S.; Goodrich, D. RANGES improve satellite-based information and land cover assessments in southwest United States. Eos Trans. Am. Geophys. Union 2002, 83, 601–605. [Google Scholar] [CrossRef]
- Daughtry, C.; McMurtrey, J., III; Nagler, P.; Kim, M.; Chappelle, E. Spectral reflectance of soils and crop residues. In Near Infrared Spectroscopy: The Future Waves; Nir Publications: Chichester, UK, 1996; pp. 505–510. [Google Scholar]
- Biard, F.; Bannari, A.; Bonn, F. SACRI (Soil Adjusted Corn Residue Index): An index using near and mid-infrared for the detection of residues of maize. In Proceedings of the 17th Canadian Symposium on Remote Sensing, Saskatoon, SK, Canada, 13–15 June 1995; pp. 417–423. [Google Scholar]
- McNairn, H.; Protz, R. Mapping Corn Residue Cover on Agricultural Fields in Oxford County, Ontario, Using Thematic Mapper. Can. J. Remote Sens. 1993, 19, 152–159. [Google Scholar] [CrossRef]
- Cao, X.; Chen, J.; Matsushita, B.; Imura, H. Developing a MODIS-based index to discriminate dead fuel from photosynthetic vegetation and soil background in the Asian steppe area. Int. J. Remote Sens. 2010, 31, 1589–1604. [Google Scholar] [CrossRef]
- Guangzhen, W. Estimating Fractional Cover of Photosynthetic/Non-Photosynthetic Vegetation in the Xilingol Typical Grassland Region with Remote Sensing Data. Master’s Thesis, Ludong University, Yaitai, China, 2018. [Google Scholar]
- Jiapaer, G.; Xi, C.; Anming, B. Coverage ectraction and up-scaling of sparse desert vegetation in arid. Chin. J. Appl. Ecol. 2009, 20, 2925–2934. [Google Scholar]
- Xiangting, L.; Jie, B.; Guanglu, L.; Geping, L.; Jiapaer, G.; Junli, L. Comparison of methods based on MODIS for estimating sparse vegetation fraction across desert in Xinjiang. Arid Land Geogr. 2013, 36, 502–511. [Google Scholar]
- Changming, Z.; Junli, L.; Zhanfeng, S.; Qian, S. Satiotemporal dynamics of vegetation activities in the lower reach of the TarimRiver based on MODIS intensive time series data. Resour. Sci. 2019, 41, 591–600. [Google Scholar]
- Liu, G.; Kurban, A.; Duan, H.; Halik, U.; Ablekim, A.; Zhang, L. Desert riparian forest colonization in the lower reaches of Tarim River based on remote sensing analysis. Environ. Earth Sci. 2013, 71, 4579–4589. [Google Scholar] [CrossRef]
- Chen, Y.; Chen, Y.; Xu, C.; Ye, Z.; Li, Z.; Zhu, C.; Ma, X. Effects of ecological water conveyance on groundwater dynamics and riparian vegetation in the lower reaches of Tarim River, China. Hydrol. Process. Int. J. 2009, 24, 170–177. [Google Scholar] [CrossRef]
- Xu, J.; Chen, Y.; Li, W.; Zhang, L.; Hong, Y.; Bi, X.; Yang, Y. Statistical analysis of groundwater chemistry of the Tarim River lower reaches, Northwest China. Environ. Earth Sci. 2011, 65, 1807–1820. [Google Scholar] [CrossRef]
- Chen, Y.; Chen, Y.; Xu, C.; Li, W. Groundwater depth affects the daily course of gas exchange parameters of Populus euphratica in arid areas. Environ. Earth Sci. 2012, 66, 433–440. [Google Scholar] [CrossRef]
- Deering, D.W. Rangeland Reflectance Characteristics Measured by Aircraft and Spacecraft Sensors. Ph.D. Thesis, Texas A&M University, College Station, TX, USA, 1978; 338p. [Google Scholar]
- Jordan, C.F. Derivation of leaf-area index from quality of light on the forest floor. Ecology 1969, 50, 663–666. [Google Scholar] [CrossRef]
- Huete, A.R. A soil-adjusted vegetation index (SAVI). Remote Sens. Environ. 1988, 25, 295–309. [Google Scholar] [CrossRef]
- Brown, L.; Chen, J.M.; Leblanc, S.G.; Cihlar, J. A Shortwave Infrared Modification to the Simple Ratio for LAI Retrieval in Boreal Forests: An Image and Model Analysis. Remote Sens. Environ. 2000, 71, 16–25. [Google Scholar] [CrossRef]
- Schlerf, M.; Atzberger, C.; Hill, J. Remote sensing of forest biophysical variables using HyMap imaging spectrometer data. Remote Sens. Environ. 2005, 95, 177–194. [Google Scholar] [CrossRef]
- Guilin, L.; Luocheng, Z.; Guanyu, L. Sparse Desert Vegetation Extraction in Extreme Arid Region Based on Remote Sensing Imagery. J. Arid Land Resour. Environ. 2013, 27, 37–40. [Google Scholar]
- Ji, C.; Li, X.; Wei, H.; Li, S. Comparison of Different Multispectral Sensors for Photosynthetic and Non-Photosynthetic Vegetation-Fraction Retrieval. Remote Sens. 2020, 12, 115. [Google Scholar] [CrossRef]
- Wang, G.; Wang, J.; Zou, X.; Chai, G.; Wu, M.; Wang, Z. Estimating the fractional cover of photosynthetic vegetation, non-photosynthetic vegetation and bare soil from MODIS data: Assessing the applicability of the NDVI-DFI model in the typical Xilingol grasslands. Int. J. Appl. Earth Obs. Geoinf. 2019, 76, 154–166. [Google Scholar] [CrossRef]
- Daughtry, C.S.T.; Hunt, E.R.; Doraiswamy, P.C.; McMurtrey, J.E. Remote Sensing the Spatial Distribution of Crop Residues. Agron. J. 2005, 97, 864–871. [Google Scholar] [CrossRef]
- Guoqi, C.; Jingpu, W.; Xueyong, Z.; Guangzhen, W.; Liu, H.; Zhoulong, W. Estimating Fractional Cover of Photosynthetic /Non-Photosynthetic Vegetation in a Typical Steppe Region Based on Sentinel-2 Data. Pratacult. Sci. 2018, 35, 70–78. [Google Scholar]
- Bingru, Z.; Chuang, L.; Jingjie, W.; Wenbo, C. Spatial and Temporal Change of MODIS-NDVI in Xilinguole Ggrassland. Grassl. China 2004, 26, 2–9. [Google Scholar]











| Vegetation Index | Equation | Citation |
|---|---|---|
| NDVI (normalized difference vegetation index) | Deering. 1978 | |
| RVI (ratio vegetation index) | Jordan. 1969 | |
| SAVI (soil adjusted vegetation index) | Huete. 1988 | |
| MSAVI (modified soil adjusted vegetation index) | Qi et al., 1994 | |
| RSR (reduced simple ratio index) | Brown et al., 2000 | |
| GEMI (global environment monitoringindex) | ; | Pinty et al., 1992 |
| Vegetation Index | Equation | Citation |
|---|---|---|
| NDI (normalized difference index) | Mc Nairn et al., 1993 | |
| NDTI (normalized difference tillage index) | Deventer et al., 1997 | |
| NDSVI (normalized difference senescent vegetation index) | Qi et al., 2002 | |
| STI (soil tillage index) | Deventer et al., 1997 | |
| SWIR32 (shortwave infrared ratio) | Guerschman et al., 2009 | |
| DFI (dead fuel index) | Cao et al., 2010 |
| PVIs | Regression Equation | R2 | RMSECV | p |
|---|---|---|---|---|
| NDVI | y = 1.4562x + 0.1199 | 0.51 | 0.0815 | p < 0.05 |
| RVI | y = 0.9331x + 0.7924 | 0.47 | 0.0817 | p < 0.05 |
| SAVI | y = 1.1202x − 0.1199 | 0.51 | 0.0795 | p < 0.05 |
| MSAVI | y = 0.9333x − 0.1407 | 0.47 | 0.0814 | p < 0.05 |
| RSR | y = 0.4316x − 0.2178 | 0.33 | 0.1283 | p < 0.05 |
| GEMI | y = 2.8495x − 0.0349 | 0.59 | 0.0752 | p < 0.05 |
| NPVIs | Regression Equation | R2 | RMSECV | p |
|---|---|---|---|---|
| NDI | y = 0.9950x + 0.4855 | 0.02 | 0.2627 | p < 0.05 |
| NDTI | y = 3.4457x + 0.1076 | 0.39 | 0.2223 | p < 0.05 |
| NDSVI | y = 3.1160x + 0.9570 | 0.11 | 0.2606 | p < 0.05 |
| DFI | y = 0.0328x − 0.0422 | 0.45 | 0.2111 | p < 0.05 |
| STI | y = 1.4480x − 1.3296 | 0.43 | 0.2161 | p < 0.05 |
| SWIR32 | y = −2.0018x + 2.0096 | 0.37 | 0.2272 | p < 0.05 |
Publisher’s Note: MDPI stays neutral with regard to jurisdictional claims in published maps and institutional affiliations. |
© 2021 by the authors. Licensee MDPI, Basel, Switzerland. This article is an open access article distributed under the terms and conditions of the Creative Commons Attribution (CC BY) license (https://creativecommons.org/licenses/by/4.0/).
Share and Cite
Guo, Z.; Kurban, A.; Ablekim, A.; Wu, S.; Van de Voorde, T.; Azadi, H.; Maeyer, P.D.; Dufatanye Umwali, E. Estimation of Photosynthetic and Non-Photosynthetic Vegetation Coverage in the Lower Reaches of Tarim River Based on Sentinel-2A Data. Remote Sens. 2021, 13, 1458. https://doi.org/10.3390/rs13081458
Guo Z, Kurban A, Ablekim A, Wu S, Van de Voorde T, Azadi H, Maeyer PD, Dufatanye Umwali E. Estimation of Photosynthetic and Non-Photosynthetic Vegetation Coverage in the Lower Reaches of Tarim River Based on Sentinel-2A Data. Remote Sensing. 2021; 13(8):1458. https://doi.org/10.3390/rs13081458
Chicago/Turabian StyleGuo, Zengkun, Alishir Kurban, Abdimijit Ablekim, Shupu Wu, Tim Van de Voorde, Hossein Azadi, Philippe De Maeyer, and Edovia Dufatanye Umwali. 2021. "Estimation of Photosynthetic and Non-Photosynthetic Vegetation Coverage in the Lower Reaches of Tarim River Based on Sentinel-2A Data" Remote Sensing 13, no. 8: 1458. https://doi.org/10.3390/rs13081458
APA StyleGuo, Z., Kurban, A., Ablekim, A., Wu, S., Van de Voorde, T., Azadi, H., Maeyer, P. D., & Dufatanye Umwali, E. (2021). Estimation of Photosynthetic and Non-Photosynthetic Vegetation Coverage in the Lower Reaches of Tarim River Based on Sentinel-2A Data. Remote Sensing, 13(8), 1458. https://doi.org/10.3390/rs13081458

