Sign in to use this feature.

Years

Between: -

Subjects

remove_circle_outline

Journals

Article Types

Countries / Regions

Search Results (1)

Search Parameters:
Keywords = GEMI-DFI model

Order results
Result details
Results per page
Select all
Export citation of selected articles as:
17 pages, 4411 KB  
Article
Estimation of Photosynthetic and Non-Photosynthetic Vegetation Coverage in the Lower Reaches of Tarim River Based on Sentinel-2A Data
by Zengkun Guo, Alishir Kurban, Abdimijit Ablekim, Shupu Wu, Tim Van de Voorde, Hossein Azadi, Philippe De Maeyer and Edovia Dufatanye Umwali
Remote Sens. 2021, 13(8), 1458; https://doi.org/10.3390/rs13081458 - 9 Apr 2021
Cited by 15 | Viewed by 4300
Abstract
Estimating the fractional coverage of the photosynthetic vegetation (fPV) and non-photosynthetic vegetation (fNPV) is essential for assessing the growth conditions of vegetation growth in arid areas and for monitoring environmental changes and desertification. The aim of this [...] Read more.
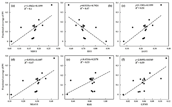
Estimating the fractional coverage of the photosynthetic vegetation (fPV) and non-photosynthetic vegetation (fNPV) is essential for assessing the growth conditions of vegetation growth in arid areas and for monitoring environmental changes and desertification. The aim of this study was to estimate the fPV, fNPV and the fractional coverage of the bare soil (fBS) in the lower reaches of Tarim River quantitatively. The study acquired field data during September 2020 for obtaining the fPV, fNPV and fBS. Firstly, six photosynthetic vegetation indices (PVIs) and six non-photosynthetic vegetation indices (NPVIs) were calculated from Sentinel-2A image data. The PVIs include normalized difference vegetation index (NDVI), ratio vegetation index (RVI), soil adjusted vegetation index (SAVI), modified soil adjusted vegetation index (MSAVI), reduced simple ratio index (RSR) and global environment monitoring index (GEMI). Meanwhile, normalized difference index (NDI), normalized difference tillage index (NDTI), normalized difference senescent vegetation index (NDSVI), soil tillage index (STI), shortwave infrared ratio (SWIR32) and dead fuel index (DFI) constitutes the NPVIs. We then established linear regression model of different PVIs and fPV, and NPVIs and fNPV, respectively. Finally, we applied the GEMI-DFI model to analyze the spatial and seasonal variation of fPV and fNPV in the study area in 2020. The results showed that the GEMI and fPV revealed the best correlation coefficient (R2) of 0.59, while DFI and fNPV had the best correlation of R2 = 0.45. The accuracy of fPV, fNPV and fBS based on the determined PVIs and NPVIs as calculated by GEMI-DFI model are 0.69, 0.58 and 0.43, respectively. The fPV and fNPV are consistent with the vegetation phonological development characteristics in the study area. The study concluded that the application of the GEMI-DFI model in the fPV and fNPV estimation was sufficiently significant for monitoring the spatial and seasonal variation of vegetation and its ecological functions in arid areas. Full article
(This article belongs to the Section Remote Sensing in Agriculture and Vegetation)
Show Figures

Figure 1

Back to TopTop