Testing and Validating the Suitability of Geospatially Informed Proxies on Land Tenure in North Korea for Korean (Re-)Unification
Abstract
1. Introduction
- To what extent does scientific, bureaucratic and stakeholder knowledge agree or disagree with a set of identified pixel-based proxies related to land tenure in North Korea?
- How does a knowledge co-production process help to validate suitability of geospatially informed proxies and become legitimate land tenure knowledge?
2. Validating the Suitability of Geospatially Informed Proxies
2.1. On the Need of Tailored Approaches to EO Data Validation
2.2. Knowledge Co-Production: Scientific, Bureaucratic and Stakeholder Knowledge
2.3. Geospatially Informed Analysis (GIA)
3. A Case Study: Geospatially Informed Analysis of North Korea
3.1. Identification of Proxies and Quality of Information
3.2. Selection of Proxies and Measurement of Information Quality
3.2.1. Participants
3.2.2. Questionnaire
3.2.3. Data Analysis
4. Results
4.1. Identification of Proxies
4.1.1. Land Ownership (LO)
4.1.2. Land Use Rights (LU)
4.1.3. Land Transfer Rights (LT)
4.1.4. Land Access Rights (LA)
4.2. Measurement of Information Quality
5. Summary and Discussion
6. Conclusions
Author Contributions
Funding
Institutional Review Board Statement
Informed Consent Statement
Acknowledgments
Conflicts of Interest
References
- Avtar, R.; Komolafe, A.A.; Kouser, A.; Singh, D.; Yunus, A.P.; Dou, J.; Kumar, P.; Gupta, R.D.; Johnson, B.A.; Thu Minh, H.V.; et al. Assessing sustainable development prospects through remote sensing: A review. Remote Sens. Appl. Soc. Environ. 2020, 20, 100402. [Google Scholar] [CrossRef]
- Sapena, M.; Wurm, M.; Taubenböck, H.; Tuia, D.; Ruiz, L.A. Estimating quality of life dimensions from urban spatial pattern metrics. Comput. Environ. Urban Syst. 2021, 85, 101549. [Google Scholar] [CrossRef]
- Warth, G.; Braun, A.; Assmann, O.; Fleckenstein, K.; Hochschild, V. Prediction of Socio-Economic Indicators for Urban Planning Using VHR Satellite Imagery and Spatial Analysis. Remote Sens. 2020, 12, 1730. [Google Scholar] [CrossRef]
- Watmough, G.R.; Marcinko, C.L.J.; Sullivan, C.; Tschirhart, K.; Mutuo, P.K.; Palm, C.A.; Svenning, J.-C. Socioecologically informed use of remote sensing data to predict rural household poverty. Proc. Natl. Acad. Sci. USA 2019, 116, 1213. [Google Scholar] [CrossRef]
- You, Z.; Shi, H.; Feng, Z.; Yang, Y. Creation and validation of a socioeconomic development index: A case study on the countries in the Belt and Road Initiative. J. Clean. Prod. 2020, 258, 120634. [Google Scholar] [CrossRef]
- Brown, M.E.; Grace, K.; Shively, G.; Johnson, K.B.; Carroll, M. Using satellite remote sensing and household survey data to assess human health and nutrition response to environmental change. Popul. Environ. 2014, 36, 48–72. [Google Scholar] [CrossRef]
- Greenough, P.G.; Nelson, E.L. Beyond mapping: A case for geospatial analytics in humanitarian health. Confl. Health 2019, 13, 50. [Google Scholar] [CrossRef] [PubMed]
- Jean, N.; Burke, M.; Xie, M.; Davis, W.M.; Lobell, D.B.; Ermon, S. Combining satellite imagery and machine learning to predict poverty. Science 2016, 353, 790–794. [Google Scholar] [CrossRef]
- Kuffer, M.; Thomson, D.R.; Boo, G.; Mahabir, R.; Grippa, T.; Vanhuysse, S.; Engstrom, R.; Ndugwa, R.; Makau, J.; Darin, E.; et al. The Role of Earth Observation in an Integrated Deprived Area Mapping “System” for Low-to-Middle Income Countries. Remote Sens. 2020, 12, 982. [Google Scholar] [CrossRef]
- Balaji, L.; Muthukannan, M. Investigation into valuation of land using remote sensing and GIS in Madurai, Tamilnadu, India. Eur. J. Remote Sens. 2020, 1–9. [Google Scholar] [CrossRef]
- Dale, P.; McLaughlin, J. Land Administration; Oxford University Press: Oxford, UK, 2000. [Google Scholar]
- Bennett, R.; Oosterom, P.v.; Lemmen, C.; Koeva, M. Remote Sensing for Land Administration. Remote Sens. 2020, 12, 2497. [Google Scholar] [CrossRef]
- Crommelinck, S.; Koeva, M.; Yang, M.Y.; Vosselman, G. Application of Deep Learning for Delineation of Visible Cadastral Boundaries from Remote Sensing Imagery. Remote Sens. 2019, 11, 2505. [Google Scholar] [CrossRef]
- Fetai, B.; Oštir, K.; Kosmatin Fras, M.; Lisec, A. Extraction of Visible Boundaries for Cadastral Mapping Based on UAV Imagery. Remote Sens. 2019, 11, 1510. [Google Scholar] [CrossRef]
- Koeva, M.; Nikoohemat, S.; Oude Elberink, S.; Morales, J.; Lemmen, C.; Zevenbergen, J. Towards 3D Indoor Cadastre Based on Change Detection from Point Clouds. Remote Sens. 2019, 11, 1972. [Google Scholar] [CrossRef]
- Koeva, M.; Stöcker, C.; Crommelinck, S.; Ho, S.; Chipofya, M.; Sahib, J.; Bennett, R.; Zevenbergen, J.; Vosselman, G.; Lemmen, C.; et al. Innovative Remote Sensing Methodologies for Kenyan Land Tenure Mapping. Remote Sens. 2020, 12, 273. [Google Scholar] [CrossRef]
- Park, S.; Song, A. Discrepancy Analysis for Detecting Candidate Parcels Requiring Update of Land Category in Cadastral Map Using Hyperspectral UAV Images: A Case Study in Jeonju, South Korea. Remote Sens. 2020, 12, 354. [Google Scholar] [CrossRef]
- Xia, X.; Persello, C.; Koeva, M. Deep Fully Convolutional Networks for Cadastral Boundary Detection from UAV Images. Remote Sens. 2019, 11, 1725. [Google Scholar] [CrossRef]
- Yan, J.; Jaw, S.W.; Soon, K.H.; Wieser, A.; Schrotter, G. Towards an Underground Utilities 3D Data Model for Land Administration. Remote Sens. 2019, 11, 1957. [Google Scholar] [CrossRef]
- Stöcker, C.; Ho, S.; Nkerabigwi, P.; Schmidt, C.; Koeva, M.; Bennett, R.; Zevenbergen, J. Unmanned Aerial System Imagery, Land Data and User Needs: A Socio-Technical Assessment in Rwanda. Remote Sens. 2019, 11, 1035. [Google Scholar] [CrossRef]
- Lee, C.; de Vries, W.T. Bridging the Semantic Gap between Land Tenure and EO Data: Conceptual and Methodological Underpinnings for a Geospatially Informed Analysis. Remote Sens. 2020, 12, 255. [Google Scholar] [CrossRef]
- Bégué, A.; Leroux, L.; Soumaré, M.; Faure, J.-F.; Diouf, A.A.; Augusseau, X.; Touré, L.; Tonneau, J.-P. Remote Sensing Products and Services in Support of Agricultural Public Policies in Africa: Overview and Challenges. Front. Sustain. Food Syst. 2020, 4. [Google Scholar] [CrossRef]
- Jewiss, J.L.; Brown, M.E.; Escobar, V.M. Satellite Remote Sensing Data for Decision Support in Emerging Agricultural Economies: How Satellite Data Can Transform Agricultural Decision Making [Perspectives]. IEEE Geosci. Remote Sens. Mag. 2020, 8, 117–133. [Google Scholar] [CrossRef]
- Head, B.W. Toward More “Evidence-Informed” Policy Making? Public Adm. Rev. 2016, 76, 472–484. [Google Scholar] [CrossRef]
- Parkhurst, J. The Politics of Evidence: From Evidence-Based Policy to the Good Governance of Evidence; Taylor & Francis: Abingdon, UK, 2017. [Google Scholar]
- Nutley, S.M.; Nutley, S.; Walter, I.; Davies, H.T. Using Evidence: How Research Can Inform Public Services; Policy Press: Bristol, UK, 2007. [Google Scholar]
- Oliver, K.; Lorenc, T.; Innvær, S. New directions in evidence-based policy research: A critical analysis of the literature. Health Res. Policy Syst. 2014, 12, 1–11. [Google Scholar] [CrossRef]
- Shaxson, L.; Datta, A.; Tshangela, M.; Matomela, B. Understanding the Organisational Context for Evidence-Informed Policy-Making; Department of Environmental Affairs: Pretoria, South Africa, 2016.
- Jung, E.-E. A Study on the Research Methodology of the North Korean Economy. In KDI Review of the North Korean Economy; Korea Development Institute: Sejong, Korea, 2019; pp. 63–65. [Google Scholar]
- Kang, J.W. North Korean Studies and the Uses of Qualitative Methodology. J. Asiat. Stud. 2015, 58, 66–97. [Google Scholar]
- Koh, Y.-H. A Study on the Research Trends of North Korean Studies after the Division of South and North Korea in 1945. Unification Policy Stud. 2015, 24, 29–54. [Google Scholar]
- Koh, Y.-H. A Study on Trends and Issues of North Korean Studies. J. Peace Unification Stud. 2019, 11, 5–32. [Google Scholar]
- Lee, H.K. The Present Status and Desirable Direction of North Korean Study. J. Peace Stud. 2010, 11, 83–104. [Google Scholar]
- Ryu, K.; Kim, Y.H. A Jasmine Revolution in North Korea? Looking for Alternative Approaches to the Study of North Korean Regime Change. North Korean Stud. Rev. 2012, 16, 399–431. [Google Scholar]
- Choe, S.C.; Lee, Y.S. A Study on Land Ownership and Use in North Korea. J. Korean Reg. Sci. Assoc. 1998, 14, 1–33. [Google Scholar]
- Choi, M.J.; Kim, H.-S.; Kim, Y.S.; Park, E.-S. An Application of South Korean Land and Housing Legislations to Real Estate Asset Distribution for North Korean Residents After Unification. J. Korea Plan. Assoc. 2015, 50, 89–103. [Google Scholar] [CrossRef]
- Kim, H.-S.; Seo, S.T.; Kim, D.-H.; Jeong, Y.W.; Choi, D.-S.; Cho, K.-H. Urban Planning of North Korea after Unification. Urban Inf. Serv. 2014, 389, 3–17. [Google Scholar]
- Kim, S.Y. A Study on the Formation and Changes of Socialist Land System in North Korea and its Future Directions after Unification. In Real Estate Focus; Research Institute of Korea Appraisal Board: Seoul, Korea, 2012; pp. 64–78. [Google Scholar]
- Lee, C.; de Vries, W.T. A divided nation: Rethinking and rescaling land tenure in the Korean (re-)unification. Land Use Policy 2018, 75, 127–136. [Google Scholar] [CrossRef]
- Lee, C.; de Vries, W.T.; Chigbu, U.E. Land Governance Re-Arrangements: The One-Country One-System (OCOS) Versus One-Country Two-System (OCTS) Approach. Adm. Sci. 2019, 9, 21. [Google Scholar] [CrossRef]
- Park, M.; Do, J. Research on North Korean Defectors’ Values using the Focus Group Interview (FGI) Method: Its Objectives, Methodology, and Significance. J. Humanit. Unification 2019, 79, 5–35. [Google Scholar] [CrossRef]
- Hong, M. The Marketization and Social Mobility in North Korea: Spatial Structure·Urban Politics·Social Stratum; Korea Institute for National Unification: Seoul, Korea, 2015. [Google Scholar]
- Shadbolt, N.R.; Smart, P.R.; Wilson, J.; Sharples, S. Knowledge elicitation: Methods, Tools and Techniques. In Evaluation of Human Work; CRC Press: Boca Raton, FL, USA, 2015; pp. 163–200. [Google Scholar]
- Mukherjee, N.; Zabala, A.; Huge, J.; Nyumba, T.O.; Adem Esmail, B.; Sutherland, W.J. Comparison of techniques for eliciting views and judgements in decision-making. Methods Ecol. Evol. 2018, 9, 54–63. [Google Scholar] [CrossRef]
- Jeong, E.-M. Application and Trend of Researches on North Korean Refugees as a Method of North Korea Studies. Rev. North Korean Stud. 2005, 8, 139–176. [Google Scholar]
- Park, S.; Kim, T.; Kim, S.; Song, J. Urban Planning and Development Practices in North Korea: Urban Consequences of Informal Market; Korea Research Institute for Human Settlements: Sejong, Korea, 2016. [Google Scholar]
- Olofsson, P.; Foody, G.M.; Herold, M.; Stehman, S.V.; Woodcock, C.E.; Wulder, M.A. Good practices for estimating area and assessing accuracy of land change. Remote Sens. Environ. 2014, 148, 42–57. [Google Scholar] [CrossRef]
- Congalton, R.G. Accuracy assessment and validation of remotely sensed and other spatial information. Int. J. Wildland Fire 2001, 10, 321–328. [Google Scholar] [CrossRef]
- Campbell, J.B.; Wynne, R.H. Introduction to Remote Sensing, 5th ed.; Guilford Press: New York, NY, USA, 2011. [Google Scholar]
- Radoux, J.; Bogaert, P. Good Practices for Object-Based Accuracy Assessment. Remote Sens. 2017, 9, 646. [Google Scholar] [CrossRef]
- Kelly, A.B.; Kelly, N.M. Validating the remotely sensed geography of crime: A review of emerging issues. Remote Sens. 2014, 6, 12723–12751. [Google Scholar] [CrossRef]
- Aditya, T.; Maria-Unger, E.; Bennett, R.; Saers, P.; Lukman Syahid, H.; Erwan, D.; Wits, T.; Widjajanti, N.; Budi Santosa, P.; Atunggal, D. Participatory Land Administration in Indonesia: Quality and Usability Assessment. Land 2020, 9, 79. [Google Scholar] [CrossRef]
- Asiama, K.; Bennett, R.; Zevenbergen, J. Participatory land administration on customary lands: A practical VGI experiment in Nanton, Ghana. ISPRS Int. J. Geo Inf. 2017, 6, 186. [Google Scholar] [CrossRef]
- Wassie, Y.A.; Koeva, M.N.; Bennett, R.M.; Lemmen, C.H.J. A procedure for semi-automated cadastral boundary feature extraction from high-resolution satellite imagery. J. Spat. Sci. 2018, 63, 75–92. [Google Scholar] [CrossRef]
- Loew, A.; Bell, W.; Brocca, L.; Bulgin, C.E.; Burdanowitz, J.; Calbet, X.; Donner, R.V.; Ghent, D.; Gruber, A.; Kaminski, T.; et al. Validation practices for satellite-based Earth observation data across communities. Rev. Geophys. 2017, 55, 779–817. [Google Scholar] [CrossRef]
- Armitage, D.; Berkes, F.; Dale, A.; Kocho-Schellenberg, E.; Patton, E. Co-management and the co-production of knowledge: Learning to adapt in Canada’s Arctic. Glob. Environ. Chang. 2011, 21, 995–1004. [Google Scholar] [CrossRef]
- Edelenbos, J.; van Buuren, A.; van Schie, N. Co-producing knowledge: Joint knowledge production between experts, bureaucrats and stakeholders in Dutch water management projects. Environ. Sci. Policy 2011, 14, 675–684. [Google Scholar] [CrossRef]
- Pohl, C.; Rist, S.; Zimmermann, A.; Fry, P.; Gurung, G.S.; Schneider, F.; Speranza, C.I.; Kiteme, B.; Boillat, S.; Serrano, E.; et al. Researchers’ roles in knowledge co-production: Experience from sustainability research in Kenya, Switzerland, Bolivia and Nepal. Sci. Public Policy 2010, 37, 267–281. [Google Scholar] [CrossRef]
- Lee, C.; de Vries, W.T. Sustaining a Culture of Excellence: Massive Open Online Course (MOOC) on Land Management. Sustainability 2019, 11, 3280. [Google Scholar] [CrossRef]
- Freedman, B. Scientific Value and Validity as Ethical Requirements for Research: A Proposed Explication. IRB Ethics Hum. Res. 1987, 9, 7–10. [Google Scholar] [CrossRef]
- Schie, N.V.; Duijn, M.; Edelenbos, J. Co-Valuation: Exploring methods for expert and stakeholder valuation. J. Environ. Assess. Policy Manag. 2011, 13, 619–650. [Google Scholar] [CrossRef]
- Eckhard, S. Bridging the citizen gap: Bureaucratic representation and knowledge linkage in (international) public administration. Governance 2020. [Google Scholar] [CrossRef]
- Kingdon, J.W.; Stano, E. Agendas, Alternatives, and Public Policies; Little, Brown: Boston, MA, USA, 1984; Volume 45. [Google Scholar]
- McClean, S.; Shaw, A. From Schism to Continuum? The Problematic Relationship Between Expert and Lay Knowledge—An Exploratory Conceptual Synthesis of Two Qualitative Studies. Qual. Health Res. 2005, 15, 729–749. [Google Scholar] [CrossRef]
- Hunt, J.; Shackley, S. Reconceiving Science and Policy: Academic, Fiducial and Bureaucratic Knowledge. Minerva 1999, 37, 141–164. [Google Scholar] [CrossRef]
- Stilgoe, J. The (co-)production of public uncertainty: UK scientific advice on mobile phone health risks. Public Underst. Sci. 2007, 16, 45–61. [Google Scholar] [CrossRef]
- Gray, S.; Chan, A.; Clark, D.; Jordan, R. Modeling the integration of stakeholder knowledge in social–ecological decision-making: Benefits and limitations to knowledge diversity. Ecol. Model. 2012, 229, 88–96. [Google Scholar] [CrossRef]
- Petts, J.; Brooks, C. Expert Conceptualisations of the Role of Lay Knowledge in Environmental Decisionmaking: Challenges for Deliberative Democracy. Environ. Plan. A Econ. Space 2006, 38, 1045–1059. [Google Scholar] [CrossRef]
- Enemark, S.; Bell, K.; Lemmen, C.; McLaren, R. Fit-For-Purpose Land Administration; FIG Publication. No. 60; International Federation of Surveyors: Copenhagen, Denmark, 2014. [Google Scholar]
- de Vries, W.T.; Bugri, J.T.; Mandhu, F. Responsible and Smart Land Management Interventions: An African Context; CRC Press: Boca Raton, FL, USA, 2020. [Google Scholar]
- de Vries, W.T.; Chigbu, U.E. Responsible land management-Concept and application in a territorial rural context. Fub. Flächenmanag. Bodenordn. 2017, 79, 65–73. [Google Scholar]
- Lee, Y.W.; Strong, D.M.; Kahn, B.K.; Wang, R.Y. AIMQ: A methodology for information quality assessment. Inf. Manag. 2002, 40, 133–146. [Google Scholar] [CrossRef]
- McDonald, J.H. Handbook of Biological Statistics; Sparky House Publishing: Baltimore, MD, USA, 2009; Volume 2. [Google Scholar]
- Warner, P. Testing association with Fisher’s Exact test. J. Fam. Plan. Reprod. Health Care 2013, 39, 281–284. [Google Scholar] [CrossRef]
- Bubela, T.; Nisbet, M.C.; Borchelt, R.; Brunger, F.; Critchley, C.; Einsiedel, E.; Geller, G.; Gupta, A.; Hampel, J.; Hyde-Lay, R. Science communication reconsidered. Nat. Biotechnol. 2009, 27, 514–518. [Google Scholar] [CrossRef] [PubMed]
- Fourez, G. Scientific and technological literacy as a social practice. Soc. Stud. Sci. 1997, 27, 903–936. [Google Scholar] [CrossRef]
- Jones, H. Promoting evidence-based decision-making in development agencies. ODI Backgr. Note 2012, 1, 1–6. [Google Scholar]


| Total | Knowledge Groups | |||
|---|---|---|---|---|
| Scientific (A) | Bureaucratic (B) | Stakeholder (C) | ||
| N | 77 | 29 | 30 | 18 |
| Gender (% female) | 32% | 28% | 27% | 50% |
| Age | ||||
| 30 years or younger | 23% | 17% | 23% | 33% |
| 31–50 years | 64% | 69% | 63% | 56% |
| 51 years or older | 13% | 14% | 14% | 11% |
| Completed educational level | ||||
| Middle-level applied: Middle & high school | 8% | 3% | 3% | 22% |
| Higher vocational: Bachelor’s degree | 35% | 10% | 40% | 67% |
| Higher academic: Master’s degree | 29% | 35% | 34% | 11% |
| Postgraduate academic: PhD | 28% | 52% | 23% | 0% |
| Work experience * | ||||
| 0–5 years | 47% | 48% | 37% | 61% |
| 6–10 years | 15% | 14% | 10% | 28% |
| 10 or more years | 38% | 38% | 53% | 11% |
| LO. | Proxies for Land Ownership Identification | Chi-Square Test | Knowledge Groups (Agreement, %) | ||
|---|---|---|---|---|---|
| χ2 (p-Value) | Scientific (A) | Bureaucratic (B) | Stakeholder (C) | ||
| 1 | Presence of (dry)paddy fields | 5.732 (0.056) | 24.1% | 43.3% | 66.7% |
| 2 | Rough/coarse image texture of (dry)paddy fields | 12.950 (0.0001 **) | 13.8% | 33.3% | 72.2% |
| 3 | High density/compactness of settlements | 8.337 (0.015 *) | 34.5% | 50.0% | 77.8% |
| 4 | Object colors in grey scales of rural dwellings | 5.873 (0.053) | 31.0% | 50.0% | 66.7% |
| 5 | A signature line of the slanting oof of rural dwellings | 12.260 (0.002 **) | 20.7% | 40.0% | 72.2% |
| 6 | Densely built-up structure with single-story detached houses | 5.732 (0.056) | 31.0% | 43.3% | 66.7% |
| 7 | Presence of portable farming-related objects | 5.366 (0.068) | 37.9% | 46.7% | 72.2% |
| 8 | Observation of seasonal changes of agricultural activities | 16.140 (0.000 ***) | 24.1% | 26.7% | 77.8% |
| 9 | Small dot-shaped patch of orchards | 12.440 (0.002 **) | 17.2% | 30.0% | 66.7% |
| 10 | Smooth texture of pastures | 7.631 (0.022 *) | 17.2% | 30.0% | 55.6% |
| 11 | Outbuildings of warehouses | 4.186 (0.123) | 31.0% | 40.0% | 61.1% |
| 12 | Low density of building (sites) | 6.407 (0.040 *) | 24.1% | 40.0% | 61.1% |
| 13 | Complex, elongated/irregular boundaries of buildings (sites) | 5.155 (0.076) | 20.7% | 43.3% | 50.0% |
| 14 | Blue, green, yellow, red, and light roof colors | 2.465 (0.291) | 37.9% | 50.0% | 61.1% |
| 15 | Presence of agricultural, monumental and welfare infrastructure | 0.462 (0.462) | 48.3% | 53.3% | 66.7% |
| LU | Proxies for Land Use Rights Identification | Chi-Square Test | Knowledge Groups (Agreement, %) | ||
|---|---|---|---|---|---|
| χ2 (p-Value) | Scientific (A) | Bureaucratic (B) | Stakeholder | ||
| 1 | LULC changes with intense land development | 3.237 (0.198) | 31.0% | 50.0% | 27.8% |
| 2 | LULC changes with increase in agricultural land | 1.149 (0.563) | 27.6% | 40.0% | 38.9% |
| 3 | LULC changes in urban areas with the development of water bodies | 0.449 (0.798) | 31.0% | 30.0% | 38.9% |
| 4 | LULC changes in border regions than inland area | 1.515 (0.468) | 31.0% | 46.7% | 38.9% |
| 5 | Presence of different types of houses/allotments | 0.119 (0.942) | 55.2% | 53.3% | 50.0% |
| 6 | Low building density of (semi-)detached houses | 0.026 (0.986) | 37.9% | 40.0% | 38.9% |
| 7 | Half-stories in (semi-)detached houses | 2.018 (0.364) | 27.6% | 43.3% | 44.4% |
| 8 | Uniformly shaped settlement of (semi-)detached houses | 1.637 (0.441) | 27.6% | 43.3% | 33.3% |
| 9 | In close proximity to roads with (semi-)detached houses | 1.637 (0.441) | 27.6% | 43.3% | 33.3% |
| 10 | Low to intermediate imperviousness of (semi-)detached houses | 1.527 (0.465) | 31.0% | 43.3% | 27.8% |
| 11 | Large, simple rectangular form of apartments | 1.795 (0.407) | 17.2% | 30.0% | 16.7% |
| 12 | Regular alignment of apartments | 0.761 (0.683) | 17.2% | 26.7% | 22.2% |
| 13 | More than three stories of apartments | 1.157 (0.560) | 17.2% | 23.3% | 11.1% |
| 14 | Low to intermediate imperviousness of apartments | 0.184 (0.912) | 17.2% | 20.0% | 22.2% |
| 15 | Shadow silhouettes of apartments | 0.590 (0.744) | 10.3% | 16.7% | 16.7% |
| 16 | Detached small-size allotment buildings | 2.128 (0.345) | 55.2% | 46.7% | 33.3% |
| 17 | Low built-up allotment land | 0.423 (0.809) | 48.3% | 46.7% | 38.9% |
| 18 | Low imperviousness of allotments | 0.967 (0.616) | 41.4% | 33.3% | 27.8% |
| 19 | Buffer between allotment houses | 0.043 (0.978) | 31.0% | 33.3% | 33.3% |
| 20 | Small roofs with slate material of harmonica houses | 0.281 (0.868) | 27.6% | 33.3% | 27.8% |
| 21 | Chimneys (small dot-shaped objects/light shadow silhouette) of harmonica houses | 4.481 (0.106) | 10.3% | 30.0% | 33.3% |
| 22 | Fences (line-shaped objects) of harmonica houses | 1.383 (0.500) | 34.5% | 46.7% | 50.0% |
| 23 | Observation of new construction or extension of residential buildings | 0.663 (0.717) | 27.6% | 33.3% | 38.9% |
| 24 | Observation of expansion of construction activities | 1.103 (0.576) | 27.6% | 30.0% | 16.7% |
| 25 | Presence of amalgamation of various community amenities | 0.539 (0.763) | 41.4% | 50.0% | 50.0% |
| 26 | Multiple building objects with similar patterns for land conversion in collective use | 0.835 (0.658) | 48.3% | 36.7% | 44.4% |
| 27 | High density of settlement for land conversion in collective use | 0.483 (0.785) | 37.9% | 46.7% | 44.4% |
| 28 | Simple rectangular forms for land conversion in collective use | 2.537 (0.281) | 24.1% | 43.3% | 38.9% |
| 29 | Same roof colors for land conversion in collective use | 0.715 (0.699) | 37.9% | 40.0% | 50.0% |
| 30 | Observation of construction/extension of community infrastructure | 0.377 (0.828) | 48.3% | 46.7% | 55.6% |
| 31 | Improved accessibility with increased paved roads and wider widths | 2.491 (0.287) | 27.6% | 40.0% | 50.0% |
| 32 | Newly built greenhouses on barren land adjacent to dwellings | 0.490 (0.782) | 34.5% | 36.7% | 44.4% |
| 33 | Light object colors/white or grey colored roofs/rough texture of newly built greenhouses | 3.524 (0.171) | 24.1% | 30.0% | 50.0% |
| 34 | Increase in the number of houses in a certain vicinity present in a high density | 2.264 (0.322) | 31.0% | 50.0% | 44.4% |
| 35 | Presence of undivided shared areas of common property | 2.413 (0.299) | 27.6% | 36.7% | 50.0% |
| LT | Proxies for Land Transfer Rights Identification | Chi-Square Test | Knowledge Groups (Agreement, %) | ||
|---|---|---|---|---|---|
| χ2 (p-value) | Scientific (A) | Bureaucratic (B) | Stakeholder (C) | ||
| 1 | Presence of small plots (sotoji) | 2.167 (0.338) | 38.0% | 26.7% | 33.3% |
| 2 | Small parcel size of garden plot (GP) | 0.783 (0.675) | 31.0% | 26.7% | 38.9% |
| 3 | GP in front/back yards or attached to each other | 1.038 (0.592) | 34.5% | 30.0% | 44.4% |
| 4 | GP with green colors | 0.918 (0.631) | 27.6% | 26.7% | 38.9% |
| 5 | Large parcel size of side-job plot (SJP) | 1.034 (0.596) | 17.2% | 16.7% | 27.8% |
| 6 | SJP in front/back yards or attached to each other | 1.415 (0.492) | 27.6% | 33.3% | 44.4% |
| 7 | SJP with green colors | 0.258 (0.878) | 24.1% | 30.0% | 27.8% |
| 8 | Lower elevation of tiny patch of land (TPL) | 1.413 (0.493) | 17.2% | 30.0% | 27.8% |
| 9 | Gentle slope less than 15% of TPL | 1.413 (0.493) | 17.2% | 30.0% | 27.8% |
| 10 | TPL with small patches of vegetation cover between neighboring lands | 0.761 (0.683) | 17.2% | 26.7% | 22.2% |
| 11 | Presence on the hillsides or along the streams or ditches of TPL | 0.761 (0.683) | 17.2% | 26.7% | 22.2% |
| LA | Proxies for Land Transfer Rights Identification | Chi-Square Test | Knowledge Groups (Agreement, %) | ||
|---|---|---|---|---|---|
| χ2 (p-Value) | Scientific (A) | Bureaucratic (B) | Stakeholder (C) | ||
| 1 | Public utility networks/nature reserves/heritage sites in close proximity to hazardous or isolated area | 1.768 (0.413) | 51.7% | 63.3% | 44.4% |
| 2 | Public utility networks/nature reserves/heritage sites with a lack of access to roads; low to intermediate imperviousness | 2.083 (0.352) | 48.3% | 60.0% | 38.9% |
| 3 | Elongated shapes of public utility networks/nature reserves/heritage site objects | 4.115 (0.127) | 44.8% | 70.0% | 50.0% |
| 4 | Fewer green colors and rough textures of public utility networks/nature reserves/heritage sites | 6.909 (0.031 *) | 34.5% | 66.7% | 38.9% |
| 5 | Observation of subdivision of land parcels | 1.474 (0.478) | 34.5% | 50.0% | 44.4% |
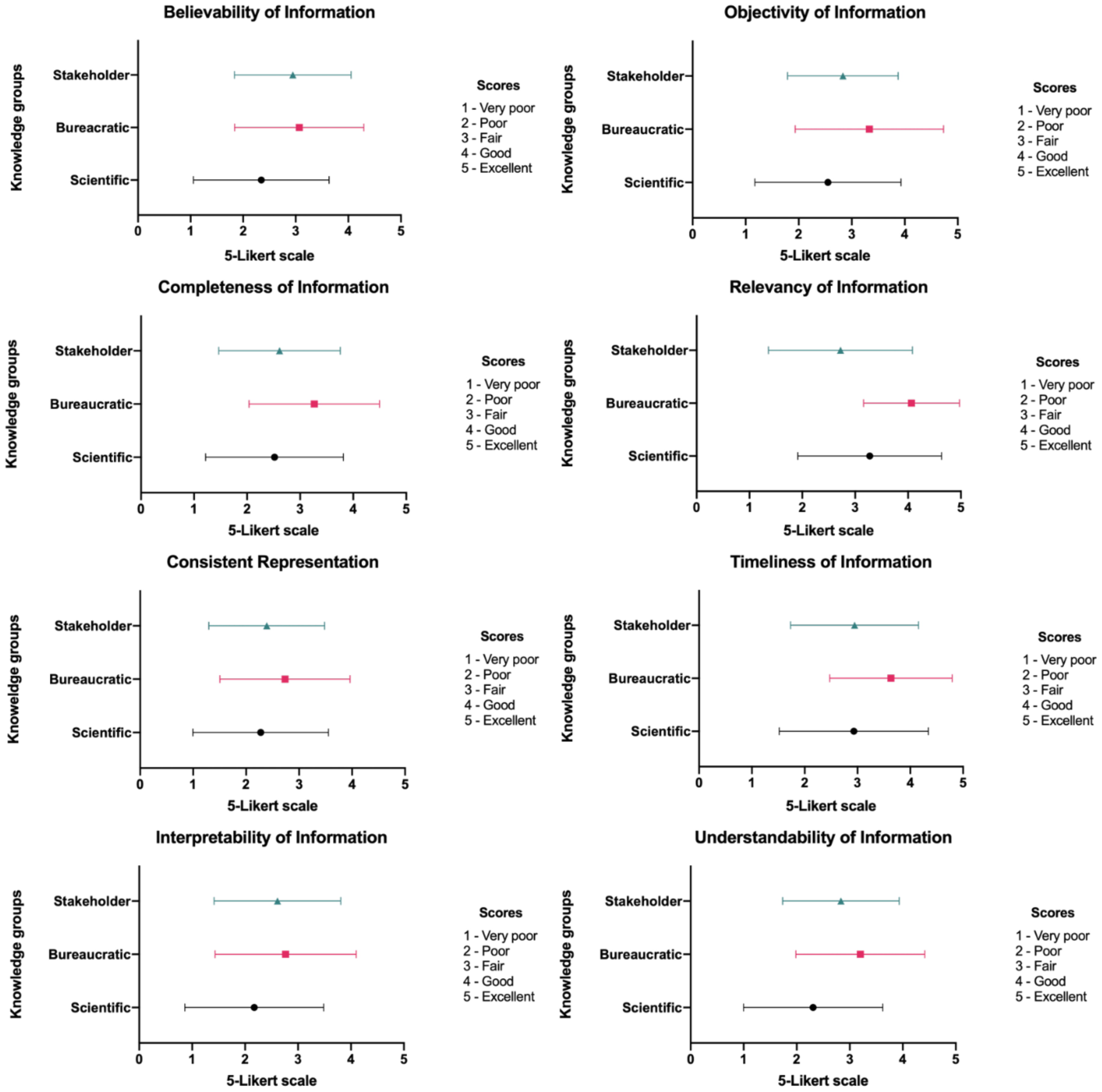
| One-Way Anova Test | SUM of Squares | Df (1) | MEAN Square | F | p-Value | |
|---|---|---|---|---|---|---|
| Believability | Between groups | 8.429 | 2 | 4.215 | 2.801 | 0.067 |
| Within groups | 111.400 | 74 | 1.505 | |||
| Total | 119.800 | 76 | ||||
| Completeness | Between groups | 9.419 | 2 | 4.710 | 3.074 | 0.052 |
| Within groups | 113.400 | 74 | 1.532 | |||
| Total | 122.800 | 76 | ||||
| Consistent representation | Between groups | 3.283 | 2 | 1.642 | 1.105 | 0.336 |
| Within groups | 109.900 | 74 | 1.486 | |||
| Total | 113.200 | 76 | ||||
| Interpretability | Between groups | 5.464 | 2 | 2.732 | 1.633 | 0.202 |
| Within groups | 123.800 | 74 | 1.673 | |||
| Total | 129.200 | 76 | ||||
| Objectivity | Between groups | 9.193 | 2 | 4.597 | 2.650 | 0.077 |
| Within groups | 128.300 | 74 | 1.734 | |||
| Total | 137.500 | 76 | ||||
| Relevancy | Between groups | 21.820 | 2 | 10.910 | 7.526 | 0.001 ** |
| Within groups | 107.300 | 74 | 1.450 | |||
| Total | 129.100 | 76 | ||||
| Timeliness | Between groups | 8.902 | 2 | 4.451 | 2.750 | 0.070 |
| Within groups | 119.800 | 74 | 1.619 | |||
| Total | 128.700 | 76 | ||||
| Understandability | Between groups | 11.740 | 2 | 5.870 | 3.895 | 0.024 * |
| Within groups | 111.500 | 74 | 1.507 | |||
| Total | 123.200 | 76 | ||||
| Tukey’s Multiple Comparisons Test | Difference of Levels | Mean Difference | Std. Error | 95.00% CI of Diff. | p-Value | |
|---|---|---|---|---|---|---|
| Lower Bound | Upper Bound | |||||
| Relevancy | A–B | −0.7908 | 0.3135 | −1.541 | −0.04089 | 0.036 * |
| A–C | 0.5536 | 0.3613 | −0.3104 | 1.418 | 0.281 | |
| B–C | 1.344 | 0.3590 | 0.4859 | 2.2 | 0.001 ** | |
| Understandability | A–B | −0.8897 | 0.3197 | −1.654 | −0.1251 | 0.018 * |
| A–C | −0.5230 | 0.3683 | −1.404 | 0.3580 | 0.336 | |
| B–C | 0.3667 | 0.3660 | −0.5087 | 1.242 | 0.578 | |
Publisher’s Note: MDPI stays neutral with regard to jurisdictional claims in published maps and institutional affiliations. |
© 2021 by the authors. Licensee MDPI, Basel, Switzerland. This article is an open access article distributed under the terms and conditions of the Creative Commons Attribution (CC BY) license (http://creativecommons.org/licenses/by/4.0/).
Share and Cite
Lee, C.; de Vries, W.T. Testing and Validating the Suitability of Geospatially Informed Proxies on Land Tenure in North Korea for Korean (Re-)Unification. Remote Sens. 2021, 13, 1301. https://doi.org/10.3390/rs13071301
Lee C, de Vries WT. Testing and Validating the Suitability of Geospatially Informed Proxies on Land Tenure in North Korea for Korean (Re-)Unification. Remote Sensing. 2021; 13(7):1301. https://doi.org/10.3390/rs13071301
Chicago/Turabian StyleLee, Cheonjae, and Walter Timo de Vries. 2021. "Testing and Validating the Suitability of Geospatially Informed Proxies on Land Tenure in North Korea for Korean (Re-)Unification" Remote Sensing 13, no. 7: 1301. https://doi.org/10.3390/rs13071301
APA StyleLee, C., & de Vries, W. T. (2021). Testing and Validating the Suitability of Geospatially Informed Proxies on Land Tenure in North Korea for Korean (Re-)Unification. Remote Sensing, 13(7), 1301. https://doi.org/10.3390/rs13071301
