High-Dimensional Satellite Image Compositing and Statistics for Enhanced Irrigated Crop Mapping
Abstract
1. Introduction
2. Materials and Methods
2.1. Site Selection and Information
2.2. Data Collection and Preprocessing-Digital Earth Australia
2.3. Data Collection and Preprocessing-Digital Earth Africa
2.4. Data Sampling and Classification
2.5. Comparison to Existing Products
3. Results
3.1. Calculation of Geomedian and Spectral Median Absolute Deviation
3.2. Irrigated Area Classification
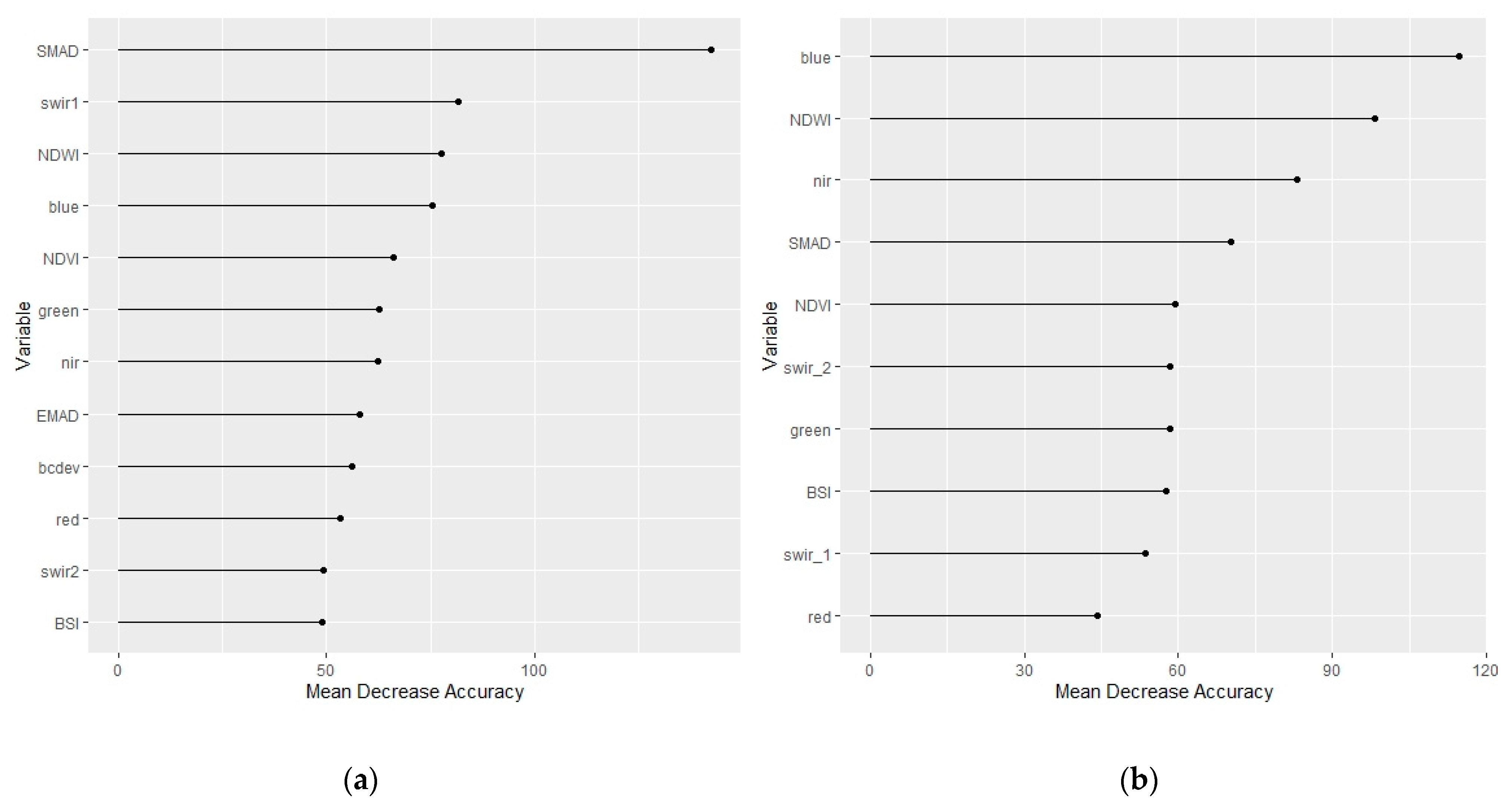
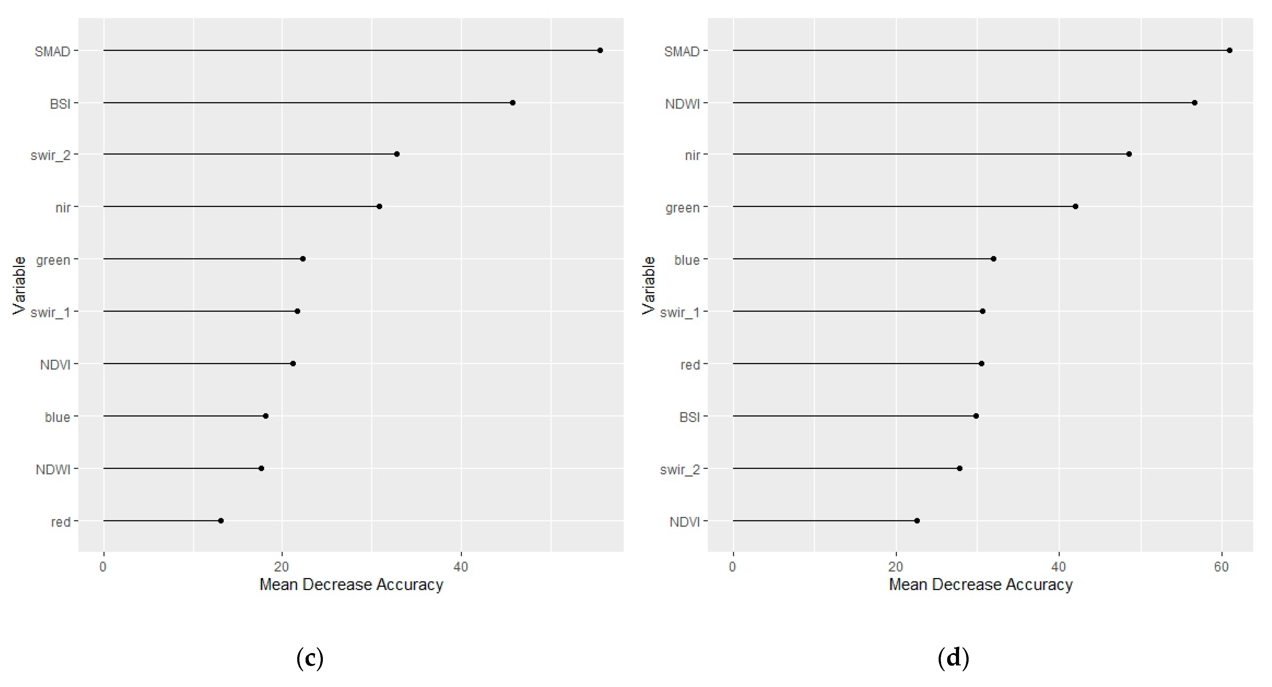
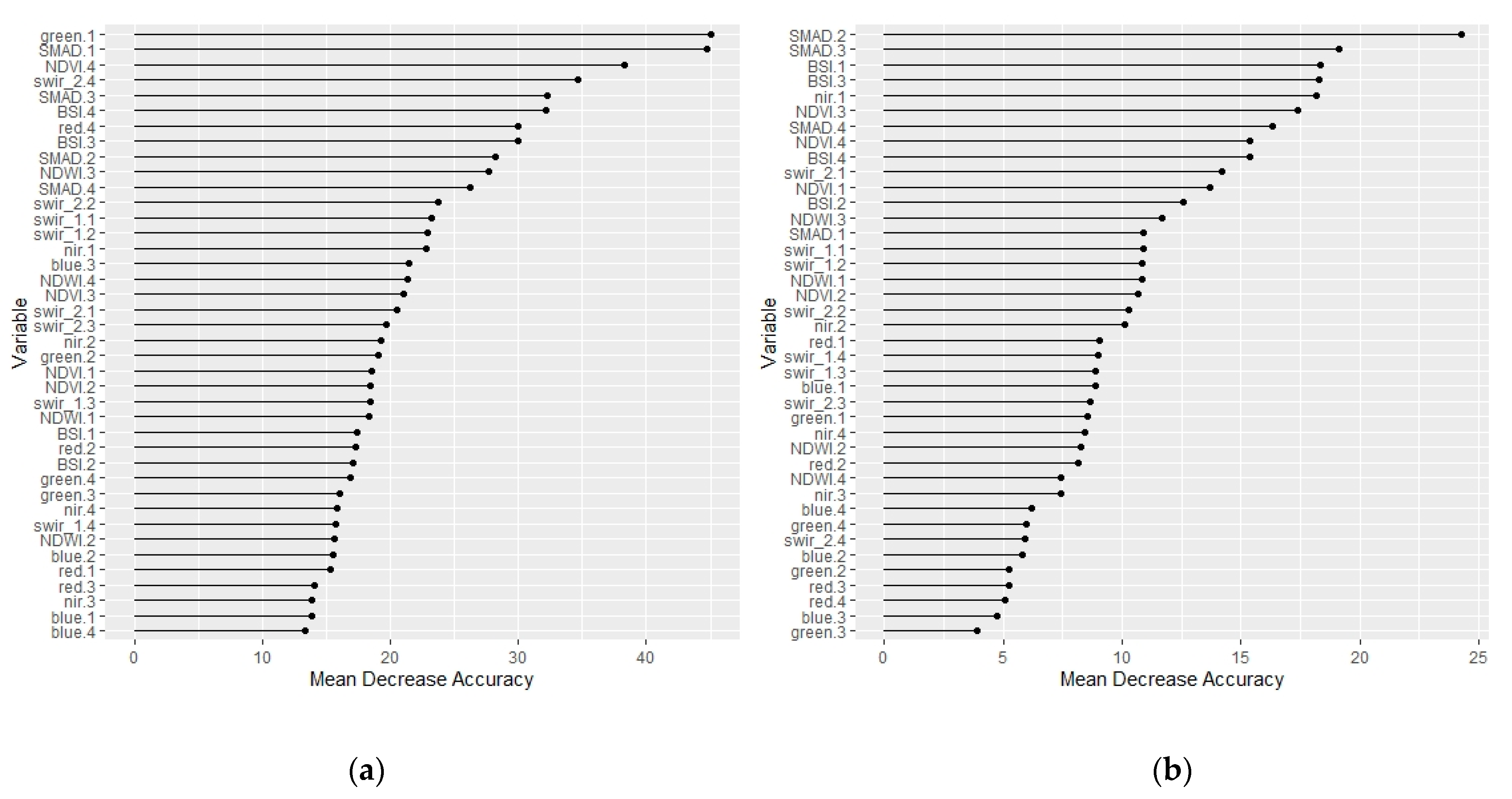
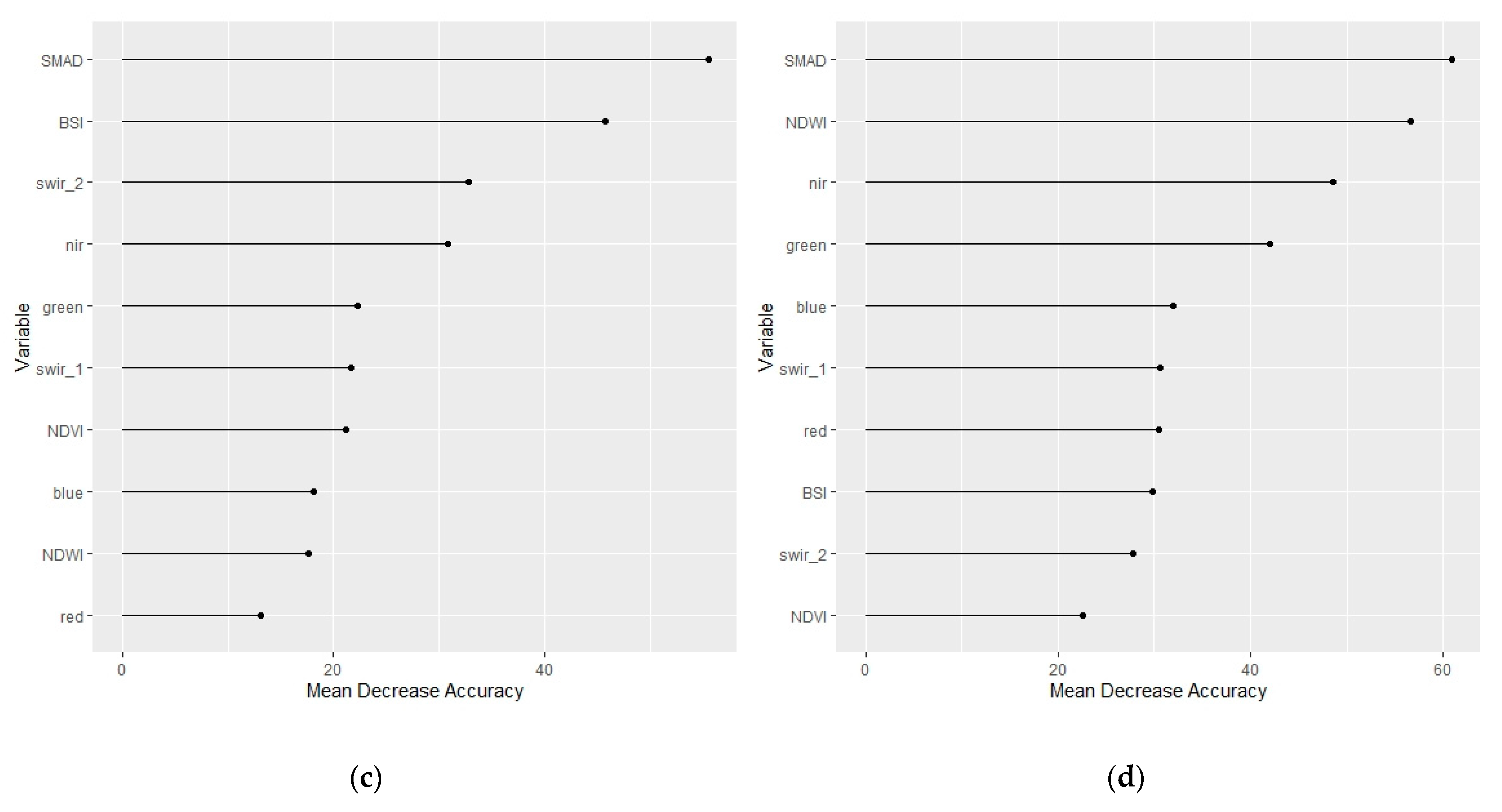
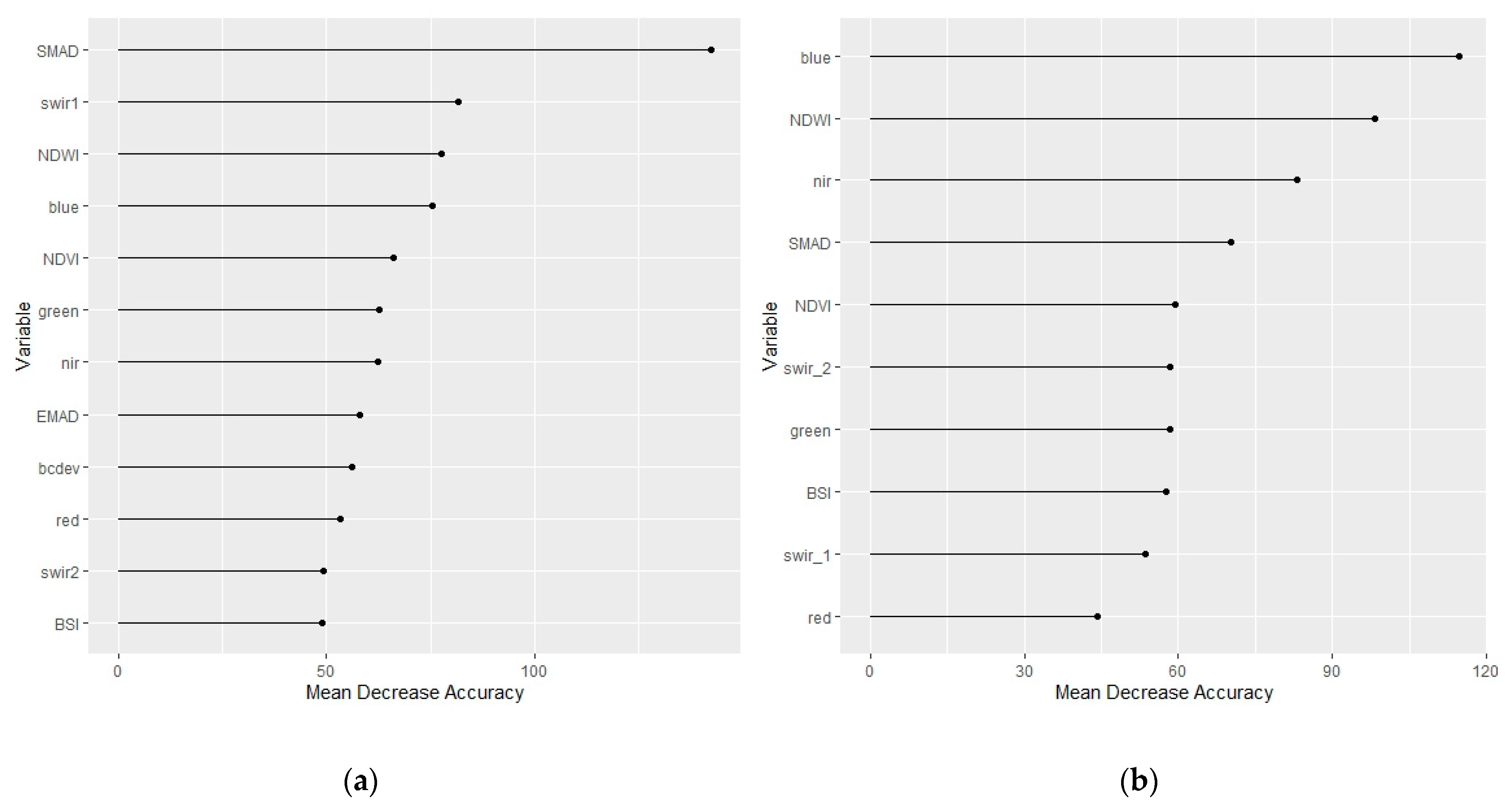
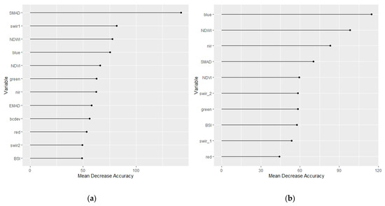
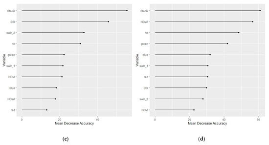
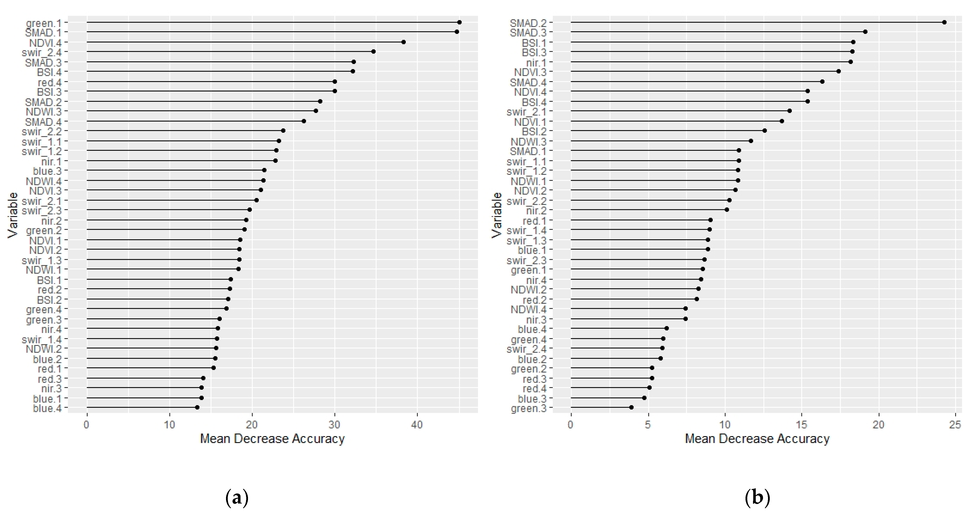
3.3. Variable Importance for Irrigated Area Classification
3.4. Comparison to Existing Products
4. Discussion
4.1. High-Dimensional Geomedians and Statistics for Irrigated Cropland Mapping
4.2. Application to Irrigated Area Mapping
5. Conclusions
Author Contributions
Funding
Institutional Review Board Statement
Informed Consent Statement
Data Availability Statement
Acknowledgments
Conflicts of Interest
References
- Vogels, M.F.; De Jong, S.M.; Sterk, G.; Douma, H.; Addink, E.A. Spatio-Temporal Patterns of Smallholder Irrigated Agriculture in the Horn of Africa Using GEOBIA and Sentinel-2 Imagery. Remote Sens. 2019, 11, 143. [Google Scholar] [CrossRef]
- Zawe, C.; Madyiwa, S.; Matete, M. Trends and Outlook: Agricultural Water Management in Southern Africa-Country Report Zimbabwe; International Water Management Institute: Colombo, Sri Lanka, 2015. [Google Scholar]
- AQUASTAT. Agricultural Water Use Statistics: Zimbabwe. Available online: http://www.fao.org/nr/water/aquastat/data/query/index.html?lang=en (accessed on 1 September 2020).
- Food and Agriculture Organisation. Zimbabwe. Available online: http://www.fao.org/aquastat/en/geospatial-information/global-maps-irrigated-areas/irrigation-by-country/country/ZWE (accessed on 10 December 2020).
- Pittock, J.; Ramshaw, P.; Bjornlund, H.; Kimaro, E.; Mdemu, M.V.; Moyo, M.; Ndema, S.; van Rooyen, A.; Stirzaker, R.; de Sousa, W. Transforming Smallholder Irrigation Schemes in Africa. A Guide to Help Farmers Become More Profitable and Sustainable; Australian Centre for International Agricultural Research, Australian National University: Canberra, Australia, 2018; Volume 202, p. 64.
- Bjornlund, V.; Bjornlund, H.; Van Rooyen, A.F. Why agricultural production in sub-Saharan Africa remains low compared to the rest of the world—A historical perspective. Int. J. Water Resour. Dev. 2020, 36, S20–S53. [Google Scholar] [CrossRef]
- Mwamakamba, S.N.; Sibanda, L.M.; Pittock, J.; Stirzaker, R.; Bjornlund, H.; Van Rooyen, A.; Munguambe, P.; Mdemu, M.V.; Kashaigili, J.J. Irrigating Africa: Policy barriers and opportunities for enhanced productivity of smallholder farmers. Int. J. Water Resour. Dev. 2017, 33, 824–838. [Google Scholar] [CrossRef]
- Ozdogan, M.; Yang, Y.; Allez, G.; Cervantes, C. Remote Sensing of Irrigated Agriculture: Opportunities and Challenges. Remote Sens. 2010, 2, 2274–2304. [Google Scholar] [CrossRef]
- Lebourgeois, V.; Dupuy, S.; Vintrou, É.; Ameline, M.; Butler, S.; Bégué, A. A Combined Random Forest and OBIA Classification Scheme for Mapping Smallholder Agriculture at Different Nomenclature Levels Using Multisource Data (Simulated Sentinel-2 Time Series, VHRS and DEM). Remote Sens. 2017, 9, 259. [Google Scholar] [CrossRef]
- Weiss, M.; Jacob, F.; Duveiller, G. Remote sensing for agricultural applications: A meta-review. Remote Sens. Environ. 2020, 236, 111402. [Google Scholar] [CrossRef]
- Bousbih, S.; Zribi, M.; El Hajj, M.; Baghdadi, N.; Lili-Chabaane, Z.; Gao, Q.; Fanise, P. Soil Moisture and Irrigation Mapping in A Semi-Arid Region, Based on the Synergetic Use of Sentinel-1 and Sentinel-2 Data. Remote Sens. 2018, 10, 1953. [Google Scholar] [CrossRef]
- Hollander, V.R. Mapping of Farmer-Led Irrigated Agriculture with Remote Sensing: A Case Study in Central Mozambique; Delft University of Technology: Delft, The Netherlands, 2018. [Google Scholar]
- Ouattara, B.; Forkuor, G.; Zoungrana, B.J.B.; Dimobe, K.; Danumah, J.; Saley, B.; Tondoh, J.E. Crops monitoring and yield estimation using sentinel products in semi-arid smallholder irrigation schemes. Int. J. Remote Sens. 2020, 41, 6527–6549. [Google Scholar] [CrossRef]
- Roberts, D.; Mueller, N.; Mcintyre, A. High-Dimensional Pixel Composites from Earth Observation Time Series. IEEE Trans. Geosci. Remote Sens. 2017, 55, 6254–6264. [Google Scholar] [CrossRef]
- Landmann, T.; Eidmann, D.; Cornish, N.; Franke, J.; Siebert, S. Optimizing harmonics from Landsat time series data: The case of mapping rainfed and irrigated agriculture in Zimbabwe. Remote Sens. Lett. 2019, 10, 1038–1046. [Google Scholar] [CrossRef]
- Belgiu, M.; Csillik, O. Sentinel-2 cropland mapping using pixel-based and object-based time-weighted dynamic time warping analysis. Remote Sens. Environ. 2018, 204, 509–523. [Google Scholar] [CrossRef]
- Vuolo, F.; Neuwirth, M.; Immitzer, M.; Atzberger, C.; Ng, W.-T. How much does multi-temporal Sentinel-2 data improve crop type classification? Int. J. Appl. Earth Obs. Geoinf. 2018, 72, 122–130. [Google Scholar] [CrossRef]
- Roberts, D.; Dunn, B.; Mueller, N. Open Data Cube Products Using High-Dimensional Statistics of Time Series. In Proceedings of the IGARSS 2018—2018 IEEE International Geoscience and Remote Sensing Symposium, Valencia, Spain, 22–27 July 2018; Institute of Electrical and Electronics Engineers (IEEE): New York, NY, USA, 2018; pp. 8647–8650. [Google Scholar]
- Geoscience Australia. DEA Surface Reflectance Geomedian (Landsat). Available online: https://cmi.ga.gov.au/data-products/dea/140/dea-surface-reflectance-geomedian-landsat (accessed on 1 September 2020).
- Geoscience Australia. DEA Surface Reflectance Median Absolute Deviation (Landsat). Available online: https://cmi.ga.gov.au/data-products/dea/346/dea-surface-reflectance-median-absolute-deviation-landsat (accessed on 1 September 2020).
- Davies, A.; Strickland, G.; Moulden, J.; Yeates, S. NORpak Ord River Irrigation Area Cotton Production and Management Guidelines for the Ord River Irrigation Area (ORIA) 2007. Available online: http://www.insidecotton.com/xmlui/handle/1/204 (accessed on 1 September 2020).
- Ash, A.; Gleeson, T.; Hall, M.; Higgins, A.; Hopwood, G.; MacLeod, N.; Paini, D.; Poulton, P.; Prestwidge, D.; Webster, T.; et al. Irrigated agricultural development in northern Australia: Value-chain challenges and opportunities. Agric. Syst. 2017, 155, 116–125. [Google Scholar] [CrossRef]
- Ramshaw, P. Locations of TISA Irrigation Schemes in Zimbabwe; Wellington, M., Ed.; Australian National University: Canberra, Australia, 2020. [Google Scholar]
- DAFWA. Ord River Development and Irrigated Agriculture. Available online: https://www.agric.wa.gov.au/assessment-agricultural-expansion/ord-river-development-and-irrigated-agriculture (accessed on 12 February 2021).
- Moyo, M.; Van Rooyen, A.; Chivenge, P.; Bjornlund, H. Irrigation development in Zimbabwe: Understanding productivity barriers and opportunities at Mkoba and Silalatshani irrigation schemes. Int. J. Water Resour. Dev. 2017, 33, 740–754. [Google Scholar] [CrossRef]
- Digital Earth Australia. Calculating Band Indices. Available online: https://docs.dea.ga.gov.au/notebooks/Frequently_used_code/Calculating_band_indices.html (accessed on 1 September 2020).
- Rouse, J.; Haas, R.; Deering, D.; Schell, J.A.; Harlan, J. Monitoring vegetation systems in the Great Plains with ERTS. In Proceedings of the 3rd ERTS Symposium, Washington, DC, USA, 10–14 December 1973; pp. 309–317. [Google Scholar]
- McFeeters, S.K. The use of the Normalized Difference Water Index (NDWI) in the delineation of open water features. Int. J. Remote Sens. 1996, 17, 1425–1432. [Google Scholar] [CrossRef]
- Rikimaru, A.; Roy, P.; Miyatake, S. Tropical forest cover density mapping. Trop. Ecol. 2002, 43, 39–47. [Google Scholar]
- Digital Earth Africa. s2_l2a. Available online: https://explorer.digitalearth.africa/products/s2_l2a (accessed on 1 September 2020).
- Kirill Kouzoubov. _geomedian.py. Available online: https://github.com/opendatacube/odc-tools/blob/develop/libs/algo/odc/algo/_geomedian.py (accessed on 1 September 2020).
- Digital Earth Africa. Band Indices. Available online: https://training.digitalearthafrica.org/en/latest/session_4/01_band_indices.html (accessed on 1 September 2020).
- Pebesma, E.J.; Bivand, R.S. Classes and methods for spatial data in R. R News, 1 February 2005; Volume 5, 1–21. [Google Scholar]
- Kuhn, M. Caret: Classification and regression training. R package version 6.0-86. R News, 20 March 2020; 1–223. [Google Scholar]
- Liaw, A.; Wiener, M. Classification and regression by randomForest. R News, 30 November 2001; Volume 2, 1–6. [Google Scholar]
- Food and Agriculture Organisation. AQUASTAT Maps. Available online: https://data.apps.fao.org/aquamaps/ (accessed on 15 January 2020).
- Food and Agriculture Organisation. Global Map of Irrigation Areas (GMIA). Available online: http://www.fao.org/aquastat/en/geospatial-information/global-maps-irrigated-areas/ (accessed on 14 February 2021).
- Siebert, S.; Henrich, V.; Frenken, K.; Burke, J. Global Map of Irrigation Areas Version 5; Rheinische Friedrich-Wilhelms-University: Bonn, Germany, 2013. [Google Scholar]
- Food and Agriculture Organisation. WaPOR Database Methodology: Level 1; Remote Sensing for Water Productivity Technical Report; Food and Agriculture Organisation: Rome, Italy, 2018. [Google Scholar]
- Food and Agriculture Organisation. WaPOR 2.1. Available online: https://wapor.apps.fao.org/home/WAPOR_2/1 (accessed on 12 February 2021).
- Bolten, R. Distribution of Crop Types in the Ord River Irrigation Area; Wellington, M., Ed.; Australian National University: Canberra, Australia, 2021. [Google Scholar]
- Savva, A.P.; Frenken, K. Planning, Development, Monitoring and Evaluation of Irrigated Agriculture with Farmer Participation; Food and Agriculture Organisation: Harare, Zimbabwe, 2002. [Google Scholar]
- Quirke, G. Assessing Smallholder Irrigated Plot-Use in Zimbabwe; Australian National University: Canberra, Australia, 2019. [Google Scholar]
- Bell, M.; Faulkner, R.; Hotchkiss, P.; Lambert, R.; Roberts, N.; Windram, A. The Use of Dambos in Rural Development, with Reference to Zimbabwe; Loughborough University, University of Zimbabwe: Leicestershire, UK, 1987. [Google Scholar]
- Nyamadzawo, G.; Wuta, M.; Nyamangara, J.; Nyamugafata, P.; Chirinda, N. Optimizing dambo (seasonal wetland) cultivation for climate change adaptation and sustainable crop production in the smallholder farming areas of Zimbabwe. Int. J. Agric. Sustain. 2014, 13, 23–39. [Google Scholar] [CrossRef]











| Irrigation Scheme | Location | Coordinates | Area Equipped for Irrigation (ha) |
|---|---|---|---|
| Ord River Irrigation Area | Kununurra, Western Australia | −15.601, 128.762 | 14,000 [24] |
| Silalatshani | Matabeleland South Province, Zimbabwe | −20.799, 29.296 | 442 [25] |
| Nabusenga | Matabeleland North Province, Zimbabwe | −17.462, 28.063 | 19 (measured) |
| Lungwalala | Matabeleland North Province, Zimbabwe | −17.938, 27.561 | 132 (measured) |
| Group | Variable | Band or Source |
|---|---|---|
| Spectral bands | Blue | B1 |
| Green | B2 | |
| Red | B3 | |
| Near Infrared | B4 | |
| Shortwave Infrared 1 | B5 | |
| Shortwave Infrared 2 | B6 | |
| Indices | Normalized Difference Vegetation Index (NDVI) | [27] |
| Normalized Difference Water Index (NDWI) | [28] | |
| Bare Soil Index (BSI) | [29] | |
| Temporal variation | Spectral median absolute deviation (SMAD) | [18] |
| Euclidean median absolute deviation (EMAD) | [18] | |
| Bray-Curtis Dissimilarity (bcdev) | [18] |
| Group | Variable | Formula | Band or Source |
|---|---|---|---|
| Spectral bands | Green | B1 | |
| Red | B2 | ||
| Blue | B3 | ||
| Near Infrared (NIR) | B4 | ||
| Shortwave Infrared 1 (SWIR1) | B5 | ||
| Shortwave Infrared 2 (SWIR2) | B6 | ||
| Indices | Normalised Difference Vegetation Index (NDVI) | (NIR − Red)/(NIR + Red | [27] |
| Normalised Difference Water Index (NDWI) | (NIR − SWIR)/(NIR + SWIR) | [28] | |
| Bare Soil Index (BSI) | ((Red + SWIR) − (NIR + Blue))/((Red + SWIR) + (NIR + Blue)) | [29] | |
| Temporal variation | Spectral median absolute deviation (SMAD) | Equation (2) | [14] |
| Ord River Irrigation Area | Observed | |
|---|---|---|
| Predicted | Irrigated | Other |
| Irrigated | 8382 | 351 |
| Other | 2820 | 8447 |
| Overall accuracy (%) | 84.1 | |
| Kappa coefficient | 0.69 | |
| Silalatshani | ||
| (A) Annual dataset | Observed | |
| Predicted | Irrigated | Other |
| Irrigated | 2583 | 226 |
| Other | 1554 | 15,637 |
| Overall accuracy (%) | 91.1 | |
| Kappa coefficient | 0.69 | |
| (B) Stacked quarter dataset | Observed | |
| Predicted | Irrigated | Other |
| Irrigated | 3498 | 0 |
| Other | 627 | 15,860 |
| Overall accuracy (%) | 96.8 | |
| Kappa coefficient | 0.90 | |
| Nabusenga | ||
| (A) Annual dataset | Observed | |
| Predicted | Irrigated | Other |
| Irrigated | 4284 | 0 |
| Other | 583 | 15,133 |
| Overall accuracy (%) | 97.1 | |
| Kappa coefficient | 0.92 | |
| (B) Stacked quarter dataset | Observed | |
| Predicted | Irrigated | Other |
| Irrigated | 4789 | 0 |
| Other | 161 | 15,050 |
| Overall accuracy (%) | 99.2 | |
| Kappa coefficient | 0.98 | |
| Lungwalala | ||
| (A) Annual dataset | Observed | |
| Predicted | Irrigated | Other |
| Irrigated | 4411 | 46 |
| Other | 41 | 15,502 |
| Overall accuracy (%) | 99.6 | |
| Kappa coefficient | 0.99 | |
| (B) Stacked quarter dataset | Observed | |
| Predicted | Irrigated | Other |
| Irrigated | 4452 | 0 |
| Other | 0 | 15,548 |
| Overall accuracy (%) | 1 | |
| Kappa coefficient | 1 |
| Silalatshani | ||
|---|---|---|
| Observed | ||
| Predicted (WaPOR) | Irrigated | Other |
| Irrigated | 489 | 1919 |
| Other | 3644 | 13,948 |
| Overall accuracy (%) | 72.2 | |
| Kappa coefficient | −0.003 | |
| Nabusenga | ||
| Observed | ||
| Predicted (WaPOR) | Irrigated | Other |
| Irrigated | 0 | 0 |
| Other | 4867 | 15,133 |
| Overall accuracy (%) | 75.7 | |
| Kappa coefficient | 0 | |
| Lungwalala | ||
| Observed | ||
| Predicted(WaPOR) | Irrigated | Other |
| Irrigated | 1174 | 0 |
| Other | 3278 | 15,548 |
| Overall accuracy (%) | 83.6 | |
| Kappa coefficient | 0.36 |
Publisher’s Note: MDPI stays neutral with regard to jurisdictional claims in published maps and institutional affiliations. |
© 2021 by the authors. Licensee MDPI, Basel, Switzerland. This article is an open access article distributed under the terms and conditions of the Creative Commons Attribution (CC BY) license (http://creativecommons.org/licenses/by/4.0/).
Share and Cite
Wellington, M.J.; Renzullo, L.J. High-Dimensional Satellite Image Compositing and Statistics for Enhanced Irrigated Crop Mapping. Remote Sens. 2021, 13, 1300. https://doi.org/10.3390/rs13071300
Wellington MJ, Renzullo LJ. High-Dimensional Satellite Image Compositing and Statistics for Enhanced Irrigated Crop Mapping. Remote Sensing. 2021; 13(7):1300. https://doi.org/10.3390/rs13071300
Chicago/Turabian StyleWellington, Michael J., and Luigi J. Renzullo. 2021. "High-Dimensional Satellite Image Compositing and Statistics for Enhanced Irrigated Crop Mapping" Remote Sensing 13, no. 7: 1300. https://doi.org/10.3390/rs13071300
APA StyleWellington, M. J., & Renzullo, L. J. (2021). High-Dimensional Satellite Image Compositing and Statistics for Enhanced Irrigated Crop Mapping. Remote Sensing, 13(7), 1300. https://doi.org/10.3390/rs13071300

