Evaluation and Comparison of Satellite-Derived Estimates of Rainfall in the Diverse Climate and Terrain of Central and Northeastern Ethiopia
Abstract
1. Introduction
2. Data and Methods
2.1. Study Area
2.2. Data Type
2.2.1. Pre-Processing of Data
2.2.2. Consistency Analysis
2.3. Methods
2.3.1. Areal Rainfall Using Thiessen Polygon
2.3.2. SRE Detection Skill Indices
2.3.3. Statistical Evaluation of Satellite-Derived Rainfall
2.3.4. Mann–Kendall (MK) Trend Test and Sen’s Slope Estimator
3. Results
3.1. Rainfall–Elevation Relationship
3.2. Area-Weighted Rainfall of the River Basin
3.3. Evaluation and Comparison of Satellite Rainfall Data
3.3.1. SRE Detection Using Categorical Indices
3.3.2. Statistical Comparison of SREs
3.4. MK Trend Test and Sen’s Slope Estimate of Satellite Rainfall Products
4. Discussion
5. Conclusions
- The monthly weighted rainfall estimation using the observed and satellite data displayed relatively comparable results. However, peak mean rainfall shifts were noted from July (for observed rainfall) to August (for all satellite rainfall products).
- The annual PERSIANN-CDR rainfall exhibited a decreasing trend, particularly in the highest elevation areas, ranging from 2250 to 2800 m. This indicates that the SREs using PERSIANN-CDR are highly affected by elevation due to the orographic effect and rainfall regime of the river basin. Furthermore, the very deep convective systems forced not to capture the heavy rainfall in the highlands of Upper Awash Basin using infrared-based SREs (PER-SIANN-CDR).
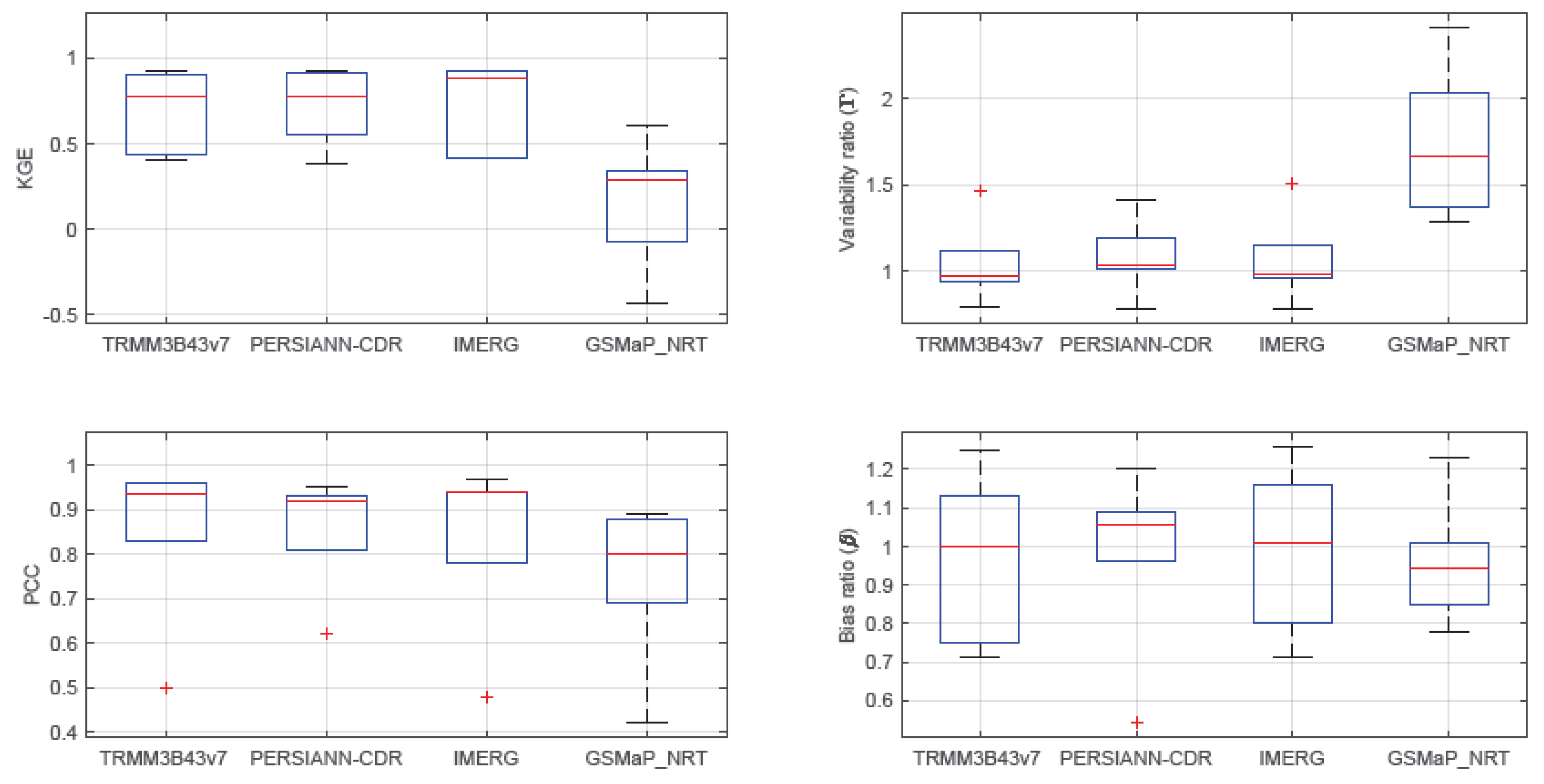
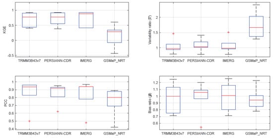
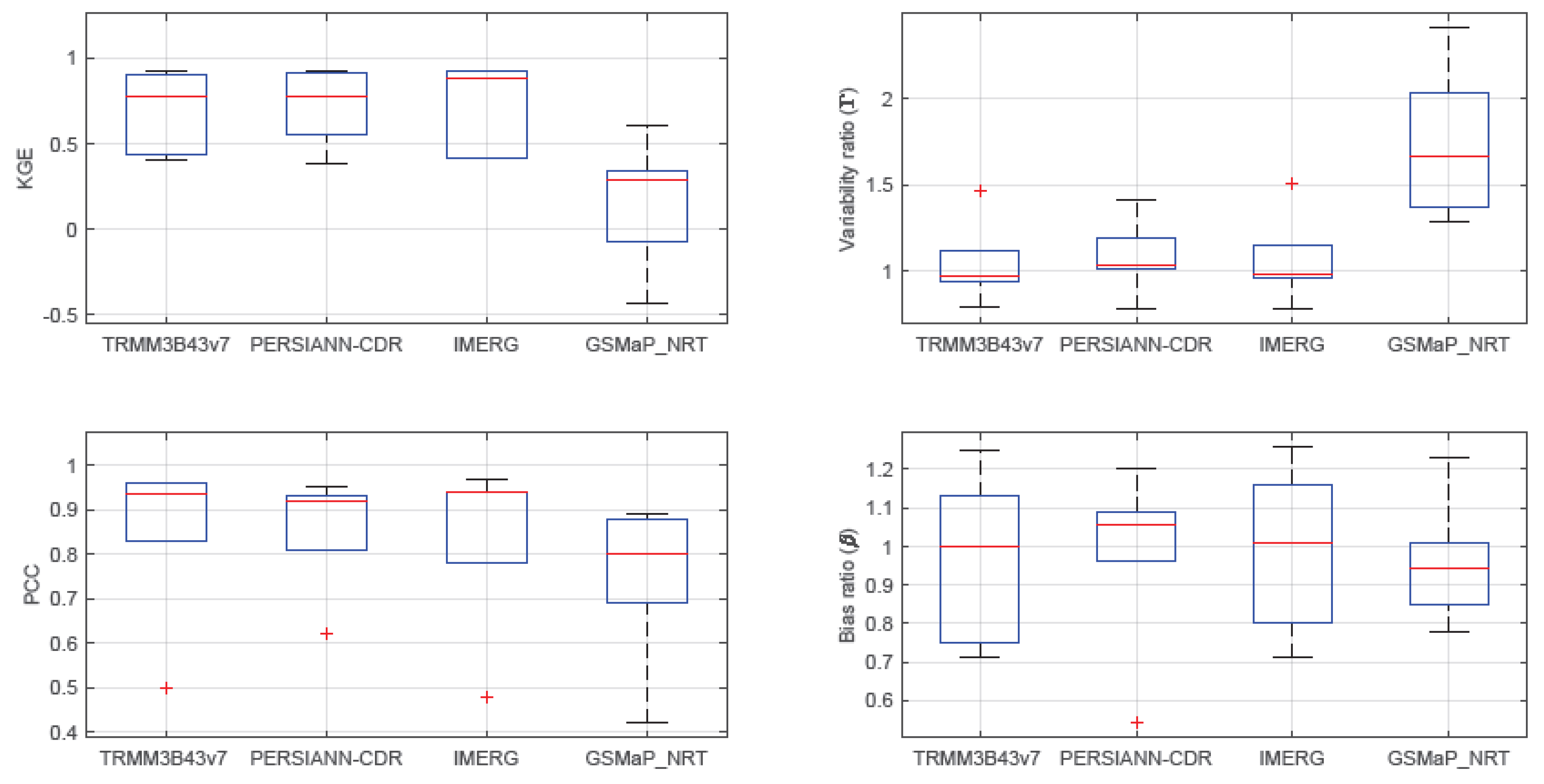
- On the basis of the statistical result of modified Kling–Gupta efficiency, we found that the microwave-based SREs (IMERG v06 and TRMM 3B43v7) performed well in descending order over the entire basin, followed by the infrared-based SREs (PERSIANN-CDR). However, GSMaP showed poor performance, except in the upland of the ARB.
- In terms of the categorical error metric criteria (POD, FAR, FBI), all the SREs showed relatively lower detection skill (POD) in the Western highlands of the ARB. However, IMERGv06 product estimates showed relatively better performance across the entire basin.
- High dispersion of the SREs was observed in the western highlands of the river basin in all satellite rainfall products, and the GSMap records in particular showed high variability.
- TRMM 3B43v7, PERSIANN-CDR, IMERG, and GSMap rainfall data exhibited poor performance in the eastern catchment with lower KGE and PCC.
- A high frequency of bias that led to an overestimation of SREs was noted in TRMM 3B43v7 and PERSIANN-CDR products in the eastern and Lower Awash Basin.
- Statistically, no monotonic trends of SREs were observed in all six sub-basins, except that the GSMap rainfall product in the upland sub-basin showed a monotonic increasing trend.
- In general, TRMM 3B43v7 and IMERG v06 tended to underestimate 50% of the sub-basin and vice versa. In contrast, the PERSIANN-CDR product exhibited overestimation (67%) for elevations below 2250 m asl and highly underestimated the result for the western highlands of the ARB. This requires bias corrections before being used for hydro-climatic, flood, and drought-related analyses.
6. Recommendations
Author Contributions
Funding
Institutional Review Board Statement
Informed Consent Statement
Data Availability Statement
Acknowledgments
Conflicts of Interest
Appendix A




References
- Bharti, V.; Singh, C. Evaluation of error in TRMM 3B42V7 precipitation estimates over the Himalayan region. J. Geophys. Res. Atmos. 2015, 120, 12458–12473. [Google Scholar] [CrossRef]
- Hong, Y.; Gochis, D.; Cheng, J.; Hsu, K.; Sorooshian, S. Evaluation of PERSIANN-CCS rainfall measurement using the NAME event rain gauge network. J. Hydrometeorol. 2007, 8, 469–482. [Google Scholar] [CrossRef]
- Kidd, C.; Huffman, G. Global precipitation measurement. Meteorol. Appl. 2011, 18, 334–353. [Google Scholar] [CrossRef]
- Hong, Y.; Tang, G.; Ma, Y.; Huang, Q.; Han, Z.; Zeng, Z.; Yang, Y.; Wang, C.; Guo, X. Remote Sensing Precipitation: Sensors, Retrievals, Validations, and Applications. In Observation and Measurement of Ecohydrological Processes; Li, X., Vereecken, H., Eds.; Springer: Berlin/Heidelberg, Germany, 2018; pp. 1–23. [Google Scholar]
- Dinku, T. Chapter 7-Challenges with availability and quality of climate data in Africa. In Extreme Hydrology and Climate Variability; Melesse, A.M., Abtew, W., Senay, G.B.T., Eds.; Elsevier: Amsterdam, The Netherlands, 2019; pp. 71–80. ISBN 978-0-12-815998-9. [Google Scholar]
- Alexandratos, N.; Bruinsma, J. World Agriculture Towards 2030/2050: The 2012 Revision; FAO: Italy, Rome, 2012. [Google Scholar]
- Li, X.; Zhang, Q.; Xu, C.-Y. Assessing the performance of satellite-based precipitation products and its dependence on topography over Poyang Lake basin. Theor. Appl. Climatol. 2014, 115, 713–729. [Google Scholar] [CrossRef]
- Yin, Z.-Y.; Zhang, X.; Liu, X.; Colella, M.; Chen, X. An assessment of the biases of satellite rainfall estimates over the Tibetan Plateau and correction methods based on topographic analysis. J. Hydrometeorol. 2008, 9, 301–326. [Google Scholar] [CrossRef]
- de Melo, D.C.D.; Xavier, A.C.; Bianchi, T.; Oliveira, P.T.S.; Scanlon, B.R.; Lucas, M.C.; Wendland, E. Performance evaluation of rainfall estimates by TRMM Multi-satellite Precipitation Analysis 3B42V6 and V7 over Brazil. J. Geophys. Res. Atmos. 2015, 120, 9426–9436. [Google Scholar] [CrossRef]
- Paredes-Trejo, F.J.; Barbosa, H.A.; Kumar, T.V.L. Validating CHIRPS-based satellite precipitation estimates in Northeast Brazil. J. Arid Environ. 2017, 139, 26–40. [Google Scholar] [CrossRef]
- Milewski, A.; Elkadiri, R.; Durham, M. Assessment and comparison of TMPA satellite precipitation products in varying climatic and topographic regimes in Morocco. Remote Sens. 2015, 7, 5697–5717. [Google Scholar] [CrossRef]
- Derin, Y.; Yilmaz, K.K. Evaluation of multiple satellite-based precipitation products over complex topography. J. Hydrometeorol. 2014, 15, 1498–1516. [Google Scholar] [CrossRef]
- Gebere, S.B.; Alamirew, T.; Merkel, B.J.; Melesse, A.M. Performance of high resolution satellite rainfall products over data scarce parts of Eastern Ethiopia. Remote Sens. 2015, 7, 11639–11663. [Google Scholar] [CrossRef]
- Bayissa, Y.; Tadesse, T.; Demisse, G.; Shiferaw, A. Evaluation of satellite-based rainfall estimates and application to monitor meteorological drought for the Upper Blue Nile Basin, Ethiopia. Remote Sens. 2017, 9, 669. [Google Scholar] [CrossRef]
- Dinku, T.; Ceccato, P.; Grover-Kopec, E.; Lemma, M.; Connor, S.J.; Ropelewski, C.F. Validation of satellite rainfall products over East Africa’s complex topography. Int. J. Remote Sens. 2007, 28, 1503–1526. [Google Scholar] [CrossRef]
- Gella, G.W. Statistical evaluation of high resolution satellite precipitation products in arid and semi-arid parts of Ethiopia: A note for hydro-meteorological applications. Water Environ. J. 2019, 33, 86–97. [Google Scholar] [CrossRef]
- Hirpa, F.A.; Gebremichael, M.; Hopson, T. Evaluation of high-resolution satellite precipitation products over very complex terrain in Ethiopia. J. Appl. Meteorol. Climatol. 2010, 49, 1044–1051. [Google Scholar] [CrossRef]
- Romilly, T.G.; Gebremichael, M. Evaluation of satellite rainfall estimates over Ethiopian river basins. Hydrol. Earth Syst. Sci. 2011, 15, 1505. [Google Scholar] [CrossRef]
- Worqlul, A.W.; Maathuis, B.; Adem, A.A.; Demissie, S.S.; Langan, S.; Steenhuis, T.S. Comparison of rainfall estimations by TRMM 3B42, MPEG and CFSR with ground-observed data for the Lake Tana basin in Ethiopia. Hydrol. Earth Syst. Sci. 2014, 18, 4871–4881. [Google Scholar] [CrossRef]
- Mekonnen, K.; Melesse, A.M.; Woldesenbet, T.A. Spatial evaluation of satellite-retrieved extreme rainfall rates in the Upper Awash River Basin, Ethiopia. Atmos. Res. 2021, 249, 105297. [Google Scholar] [CrossRef]
- Dinku, T.; Connor, S.J.; Ceccato, P. Comparison of CMORPH and TRMM-3B42 over mountainous regions of Africa and South America. In Satellite Rainfall Applications for Surface Hydrology; Springer: Dordrecht, The Netherlands, 2010; pp. 193–204. [Google Scholar]
- Nesbitt, S.W.; Gochis, D.J.; Lang, T.J. The diurnal cycle of clouds and precipitation along the Sierra Madre Occidental observed during NAME-2004: Implications for warm season precipitation estimation in complex terrain. J. Hydrometeorol. 2008, 9, 728–743. [Google Scholar] [CrossRef]
- Lemma, E.; Upadhyaya, S.; Ramsankaran, R. Investigating the performance of satellite and reanalysis rainfall products at monthly timescales across different rainfall regimes of Ethiopia. Int. J. Remote Sens. 2019, 40, 4019–4042. [Google Scholar] [CrossRef]
- Adeba, D.; Kansal, M.L.; Sen, S. Assessment of water scarcity and its impacts on sustainable development in Awash basin, Ethiopia. Sustain. Water Resour. Manag. 2015, 1, 71–87. [Google Scholar] [CrossRef]
- Berhe, F.T.; Melesse, A.M.; Hailu, D.; Sileshi, Y. MODSIM-based water allocation modeling of Awash River Basin, Ethiopia. Catena 2013, 109, 118–128. [Google Scholar] [CrossRef]
- Karimi, P.; Bastiaanssen, W.G.M. Spatial evapotranspiration, rainfall and land use data in water accounting. Part 1: Review of the accuracy of the remote sensing data. Hydrol. Earth Syst. Sci. Discuss. 2014, 11, 1073–1123. [Google Scholar]
- Adane, G.B.; Hirpa, B.A.; Lim, C.-H.; Lee, W.-K. Spatial and Temporal Analysis of Dry and Wet Spells in Upper Awash River Basin, Ethiopia. Water 2020, 12, 3051. [Google Scholar] [CrossRef]
- Ashouri, H.; Hsu, K.-L.; Sorooshian, S.; Braithwaite, D.K.; Knapp, K.R.; Cecil, L.D.; Nelson, B.R.; Prat, O.P. PERSIANN-CDR: Daily precipitation climate data record from multisatellite observations for hydrological and climate studies. Bull. Am. Meteorol. Soc. 2015, 96, 69–83. [Google Scholar] [CrossRef]
- Adane, G.B.; Hirpa, B.A.; Song, C.; Lee, W.-K. Rainfall Characterization and Trend Analysis of Wet Spell Length across Varied Landscapes of the Upper Awash River Basin, Ethiopia. Sustainability 2020, 12, 9221. [Google Scholar] [CrossRef]
- Ngongondo, C.; Xu, C.-Y.; Gottschalk, L.; Alemaw, B. Evaluation of spatial and temporal characteristics of rainfall in Malawi: A case of data scarce region. Theor. Appl. Climatol. 2011, 106, 79–93. [Google Scholar] [CrossRef]
- Searcy, J.K.; Hardison, C.H. Double-mass curves. Manual of hydrology: Part I, General surface water techniques. Geol. Surv. Water-Supply Pap. United States Gov. Print. Off. Washingt. 1960, 1541, 31–40. [Google Scholar]
- Faisal, N.; Gaffar, A. Development of Pakistan’s new area weighted rainfall using Thiessen polygon method. Pakistan J. Meteorol. 2012, 9, 107–116. [Google Scholar]
- Bajracharya, S.R.; Palash, W.; Shrestha, M.S.; Khadgi, V.R.; Duo, C.; Das, P.J.; Dorji, C. Systematic evaluation of satellite-based rainfall products over the Brahmaputra basin for hydrological applications. Adv. Meteorol. 2015, 2015. [Google Scholar] [CrossRef]
- Ayehu, G.T.; Tadesse, T.; Gessesse, B.; Dinku, T. Validation of new satellite rainfall products over the Upper Blue Nile Basin, Ethiopia. Atmos. Meas. Tech. 2018, 11, 1921–1936. [Google Scholar] [CrossRef]
- Kling, H.; Fuchs, M.; Paulin, M. Runoff conditions in the upper Danube basin under an ensemble of climate change scenarios. J. Hydrol. 2012, 424, 264–277. [Google Scholar] [CrossRef]
- Knoben, W.J.M.; Freer, J.E.; Woods, R.A. Inherent benchmark or not? Comparing Nash–Sutcliffe and Kling–Gupta efficiency scores. Hydrol. Earth Syst. Sci. 2019, 23, 4323–4331. [Google Scholar] [CrossRef]
- Gupta, H.V.; Kling, H.; Yilmaz, K.K.; Martinez, G.F. Decomposition of the mean squared error and NSE performance criteria: Implications for improving hydrological modelling. J. Hydrol. 2009, 377, 80–91. [Google Scholar] [CrossRef]
- Harrigan, S.; Zsoter, E.; Alfieri, L.; Prudhomme, C.; Salamon, P.; Wetterhall, F.; Barnard, C.; Cloke, H.; Pappenberger, F. GloFAS-ERA5 operational global river discharge reanalysis 1979–present. Earth Syst. Sci. Data 2020, 12, 2043–2060. [Google Scholar] [CrossRef]
- Ali, R.; Kuriqi, A.; Abubaker, S.; Kisi, O. Long-term trends and seasonality detection of the observed flow in Yangtze River using Mann-Kendall and Sen’s innovative trend method. Water 2019, 11, 1855. [Google Scholar] [CrossRef]
- Gocic, M.; Trajkovic, S. Analysis of changes in meteorological variables using Mann-Kendall and Sen’s slope estimator statistical tests in Serbia. Glob. Planet. Chang. 2013, 100, 172–182. [Google Scholar] [CrossRef]
- Karpouzos, D.K.; Kavalieratou, S.; Babajimopoulos, C. Trend analysis of precipitation data in Pieria Region (Greece). Eur. Water 2010, 30, 30–40. [Google Scholar]
- Shadmani, M.; Marofi, S.; Roknian, M. Trend analysis in reference evapotranspiration using Mann-Kendall and Spearman’s Rho tests in arid regions of Iran. Water Resour. Manag. 2012, 26, 211–224. [Google Scholar] [CrossRef]
- Ashkriz, E. Regional Sources of Precipitation in the Ethiopian Highlands; Department of Earth Sciences, Uppsala University: Uppsala, Sweden, 2015; pp. 5–10. [Google Scholar]
- Beck, H.E.; Vergopolan, N.; Pan, M.; Levizzani, V.; Van Dijk, A.I.J.M.; Weedon, G.P.; Brocca, L.; Pappenberger, F.; Huffman, G.J.; Wood, E.F. Global-scale evaluation of 22 precipitation datasets using gauge observations and hydrological modeling. Hydrol. Earth Syst. Sci. 2017, 21, 6201–6217. [Google Scholar] [CrossRef]
- Nguyen, P.; Ombadi, M.; Sorooshian, S.; Hsu, K.; AghaKouchak, A.; Braithwaite, D.; Ashouri, H.; Thorstensen, A.R. The PERSIANN family of global satellite precipitation data: A review and evaluation of products. Hydrol. Earth Syst. Sci. 2018, 22, 5801–5816. [Google Scholar] [CrossRef]
- Castaneda-Gonzalez, M.; Poulin, A.; Romero-Lopez, R.; Arsenault, R.; Brissette, F.; Chaumont, D.; Paquin, D. Impacts of regional climate model spatial resolution on summer flood simulation. Epic Ser. Eng. 2018, 3, 372–380. [Google Scholar]
- Berg, P.; Feldmann, H.; Panitz, H.-J. Bias correction of high resolution regional climate model data. J. Hydrol. 2012, 448, 80–92. [Google Scholar] [CrossRef]
- Teutschbein, C.; Seibert, J. Bias correction of regional climate model simulations for hydrological climate-change impact studies: Review and evaluation of different methods002E. J. Hydrol. 2012, 456, 12–29. [Google Scholar] [CrossRef]








| Rainfall Type/Product | Temporal Resolution | Spatial Resolution | Length of Record |
|---|---|---|---|
| Observed Rainfall | Daily/monthly | point rainfall | 1998–2014 |
| IMERG v06 | Monthly | 0.1° (≈11.1 km) | 2000–2018 |
| TRMM_3B43v7 | Monthly | 0.25° (≈27 km) | 1998–2018 |
| PERSIANN-CDR | Monthly | 0.25° (≈27 km) | 1998–2018 |
| GSMap_NRT | Hourly | 0.1° (≈11.1 km) | 2000–2018 |
| Sub-Basins | RFMean | RFmin | RFmax | Lower Quartile | Upper Quartile | Range | SD | CV (%) |
|---|---|---|---|---|---|---|---|---|
| Observed Rainfall | ||||||||
| Upland | 983.1 | 765.6 | 1097.8 | 950.3 | 1036.9 | 332.2 | 85.4 | 8.7 |
| UV | 831.7 | 560.9 | 1009.6 | 817.9 | 868.0 | 448.7 | 108.9 | 13.1 |
| MV | 563.1 | 416.8 | 762.6 | 480.9 | 656.3 | 345.8 | 114.3 | 20.3 |
| WH | 1332.4 | 1077.8 | 1480.5 | 1272.2 | 1404.3 | 402.6 | 108.5 | 8.1 |
| EC | 993.7 | 833.8 | 1173.1 | 917.9 | 1061.5 | 339.4 | 101.9 | 10.3 |
| LB | 461.4 | 321.4 | 606.9 | 411.0 | 527.8 | 285.5 | 85.1 | 18.5 |
| PERSIANN-CDR | ||||||||
| Upland | 973.4 | 673.4 | 1204.8 | 898.3 | 1076.8 | 531.4 | 144.2 | 14.8 |
| UV | 882.2 | 664.7 | 1127.4 | 814.4 | 967.3 | 462.7 | 114.9 | 13.0 |
| MV | 660.3 | 441.8 | 894.0 | 571.4 | 740.4 | 452.2 | 114.5 | 17.3 |
| WH | 707.8 | 479.1 | 909.1 | 778.6 | 628.3 | 430.1 | 110.8 | 15.6 |
| EC | 1072.8 | 835.7 | 1381.8 | 995.5 | 1162.5 | 546.1 | 127.3 | 11.9 |
| LB | 435.8 | 252.4 | 546.4 | 383.4 | 482.5 | 294.0 | 76.3 | 17.5 |
| TRMM 3B43v7 | ||||||||
| Upland | 1047.4 | 824.0 | 1206.8 | 968.7 | 1132.4 | 382.8 | 113.6 | 10.8 |
| UV | 930.7 | 660.3 | 1159.8 | 683.4 | 1011.9 | 499.5 | 134.6 | 14.5 |
| MV | 713.6 | 472.1 | 915.5 | 616.0 | 783.1 | 443.4 | 117.6 | 16.5 |
| WH | 935.6 | 636.7 | 1161.8 | 844.8 | 1059.6 | 525.2 | 137.0 | 14.6 |
| EC | 751.1 | 561.9 | 932.0 | 694.8 | 805.2 | 370.1 | 92.8 | 12.4 |
| LB | 445.6 | 317.6 | 616.0 | 384.9 | 488.5 | 298.5 | 79.7 | 17.9 |
| IMERG v06 | ||||||||
| Upland | 1141.7 | 925.6 | 1320.1 | 1026.3 | 1242.1 | 394.5 | 122.8 | 10.7 |
| UV | 952.6 | 707.3 | 1109.4 | 853.5 | 1042.4 | 402.1 | 116.0 | 12.2 |
| MV | 708.6 | 534.2 | 936.8 | 642.8 | 756.8 | 402.6 | 100.9 | 14.2 |
| WH | 926.5 | 662.6 | 1194.9 | 859.4 | 980.9 | 532.3 | 122.1 | 13.2 |
| EC | 791.0 | 649.6 | 1023.9 | 719.7 | 851.0 | 374.3 | 99.9 | 12.6 |
| LB | 398.6 | 298.3 | 546.1 | 349.1 | 433.2 | 247.8 | 64.8 | 16.2 |
| GSMaP_NRT | ||||||||
| Upland | 985.4 | 607.1 | 1452.0 | 729.2 | 1383.0 | 844.9 | 308.2 | 31.3 |
| UV | 699.0 | 297.3 | 1198.7 | 453.2 | 844.6 | 901.4 | 260.0 | 37.2 |
| MV | 547.2 | 233.3 | 871.7 | 461.6 | 626.0 | 638.4 | 172.0 | 31.4 |
| WH | 1028.3 | 660.0 | 1620.2 | 668.9 | 1237.1 | 960.3 | 301.8 | 30.0 |
| EC | 883.0 | 400.0 | 1347.1 | 778.7 | 985.5 | 947.7 | 254.9 | 30.0 |
| LB | 558.0 | 177.4 | 831.6 | 408.1 | 713.4 | 654.2 | 213.7 | 38.3 |
| Categorical Error Matrix | Sub-Basins | |||||
|---|---|---|---|---|---|---|
| UL | UV | MV | WH | EC | LB | |
| TRMM 3B43v7 | ||||||
| POD | 0.90 | 0.83 | 0.80 | 0.68 | 0.88 | 0.89 |
| FAR | 0.09 | 0.18 | 0.19 | 0.01 | 0.15 | 0.13 |
| FBI | 0.99 | 1.01 | 0.99 | 0.69 | 1.04 | 1.02 |
| PERSIANN-CDR | ||||||
| POD | 0.93 | 0.82 | 0.78 | 0.59 | 0.90 | 0.92 |
| FAR | 0.06 | 0.16 | 0.15 | 0.00 | 0.19 | 0.16 |
| FBI | 0.99 | 0.98 | 0.92 | 0.59 | 1.12 | 1.10 |
| IMERG v06 | ||||||
| POD | 0.95 | 0.80 | 0.82 | 0.70 | 0.89 | 0.86 |
| FAR | 0.13 | 0.22 | 0.20 | 0.00 | 0.18 | 0.12 |
| FBI | 1.07 | 1.03 | 1.03 | 0.70 | 1.08 | 0.98 |
| GSMap_NRT | ||||||
| POD | 0.77 | 0.63 | 0.53 | 0.42 | 0.67 | 0.75 |
| FAR | 0.06 | 0.00 | 0.13 | 0.00 | 0.08 | 0.09 |
| FBI | 0.82 | 0.63 | 0.61 | 0.42 | 0.73 | 0.83 |
| Statistics | Sub-Basins | |||||
|---|---|---|---|---|---|---|
| UL | UV | MV | WH | EC | LB | |
| TRMM 3B43v7 | ||||||
| KGE | 0.90 | 0.92 | 0.67 | 0.44 | 0.40 | 0.89 |
| ϒ | 0.96 | 0.99 | 1.12 | 1.47 | 0.79 | 0.94 |
| PCC | 0.96 | 0.93 | 0.83 | 0.94 | 0.50 | 0.96 |
| β | 1.08 | 1.13 | 1.25 | 0.71 | 0.75 | 0.92 |
| PERSIANN-CDR | ||||||
| KGE | 0.92 | 0.88 | 0.67 | 0.38 | 0.55 | 0.91 |
| ϒ | 1.06 | 1.01 | 1.19 | 1.41 | 0.78 | 1.01 |
| PCC | 0.95 | 0.92 | 0.81 | 0.93 | 0.62 | 0.92 |
| β | 1.03 | 1.08 | 1.20 | 0.54 | 1.09 | 0.96 |
| IMERG v06 | ||||||
| KGE | 0.92 | 0.85 | 0.92 | 0.41 | 0.41 | 0.92 |
| ϒ | 0.96 | 1.01 | 1.15 | 1.51 | 0.78 | 0.96 |
| PCC | 0.97 | 0.94 | 0.78 | 0.94 | 0.48 | 0.94 |
| β | 1.16 | 1.14 | 1.26 | 0.71 | 0.80 | 0.88 |
| GSMap | ||||||
| KGE | 0.61 | 0.30 | −0.08 | −0.44 | 0.34 | 0.28 |
| ϒ | 1.37 | 1.68 | 2.03 | 2.41 | 1.29 | 1.65 |
| PCC | 0.88 | 0.89 | 0.69 | 0.82 | 0.42 | 0.78 |
| β | 1.01 | 0.85 | 0.98 | 0.78 | 0.91 | 1.23 |
| SRE with Areal GROS | PBIAS (%) | ||||
|---|---|---|---|---|---|
| [−50, −30) | [−30, −10) | [−10, 10) | [10, 30) | [30, 50) | |
| Sub-Basin Names | |||||
| TRMM 3B43v7 | WH, EC | UL, LB | UV, MV | ||
| PERSIANN-CDR | WH | UL, UV, EC, LB | MV | ||
| IMERG v06 | WH, EC, LB | UL, UV, MV | |||
| GSMaP_NRT | UV, WH | UL, MV, EC | LB | ||
| TRMM 3B43v7 with GROS | IMERG with GROS | ||||||||
| Sstatistics | ZMK | p Value | Q2 | Sstatistics | ZMK | p Value | Q2 | ||
| Upland | 350 | 0.53 | 0.59 | 0.04 | Upland | −20 | −0.03 | 0.98 | 0 |
| UV | 190 | 0.29 | 0.77 | 0.02 | UV | −420 | −0.64 | 0.52 | −0.04 |
| MV | 292 | 0.45 | 0.66 | 0.02 | MV | −406 | −0.62 | 0.53 | −0.03 |
| WH | 296 | 0.45 | 0.65 | 0.04 | WH | −1076 | −1.65 | 0.1 | −0.15 |
| EC | −238 | −0.36 | 0.72 | −0.04 | EC | −900 | −1.38 | 0.17 | −0.11 |
| LB | 6 | 0.01 | 0.99 | 0 | LB | −934 | −1.43 | 0.15 | −0.05 |
| PERSIANN-CDR with GROS | GSMap_RT with GROS | ||||||||
| Sstatistics | ZMK | p Value | Q2 | Sstatistics | ZMK | p Value | Q2 | ||
| Upland | 152 | 0.23 | 0.82 | 0.02 | Upland | 1676 | 3.29 * | 0 | 0.57 |
| UV | −42 | −0.06 | 0.95 | −0.01 | UV | 228 | 0.45 | 0.66 | 0.08 |
| MV | 294 | 0.45 | 0.65 | 0.03 | MV | −94 | −0.18 | 0.85 | −0.02 |
| WH | 372 | 0.57 | 0.57 | 0.05 | WH | 320 | 0.63 | 0.53 | 0.1 |
| EC | −116 | −0.18 | 0.86 | −0.02 | EC | −16 | −0.03 | 0.98 | −0.01 |
| LB | −164 | −0.25 | 0.8 | −0.01 | LB | −66 | −0.13 | 0.9 | −0.02 |
Publisher’s Note: MDPI stays neutral with regard to jurisdictional claims in published maps and institutional affiliations. |
© 2021 by the authors. Licensee MDPI, Basel, Switzerland. This article is an open access article distributed under the terms and conditions of the Creative Commons Attribution (CC BY) license (http://creativecommons.org/licenses/by/4.0/).
Share and Cite
Adane, G.B.; Hirpa, B.A.; Lim, C.-H.; Lee, W.-K. Evaluation and Comparison of Satellite-Derived Estimates of Rainfall in the Diverse Climate and Terrain of Central and Northeastern Ethiopia. Remote Sens. 2021, 13, 1275. https://doi.org/10.3390/rs13071275
Adane GB, Hirpa BA, Lim C-H, Lee W-K. Evaluation and Comparison of Satellite-Derived Estimates of Rainfall in the Diverse Climate and Terrain of Central and Northeastern Ethiopia. Remote Sensing. 2021; 13(7):1275. https://doi.org/10.3390/rs13071275
Chicago/Turabian StyleAdane, Girma Berhe, Birtukan Abebe Hirpa, Chul-Hee Lim, and Woo-Kyun Lee. 2021. "Evaluation and Comparison of Satellite-Derived Estimates of Rainfall in the Diverse Climate and Terrain of Central and Northeastern Ethiopia" Remote Sensing 13, no. 7: 1275. https://doi.org/10.3390/rs13071275
APA StyleAdane, G. B., Hirpa, B. A., Lim, C.-H., & Lee, W.-K. (2021). Evaluation and Comparison of Satellite-Derived Estimates of Rainfall in the Diverse Climate and Terrain of Central and Northeastern Ethiopia. Remote Sensing, 13(7), 1275. https://doi.org/10.3390/rs13071275

